INTRODUCTION
Sorghum (Sorghum bicolor (L.) Moench) grain is used extensively in poultry diets. The nutritional values of sorghum grain may change due to the chemical composition and anti-nutritional factors (Neucere & Sumrell Reference Neucere and Sumrell1980). Hence, information on the nutritional value of sorghum grain is of major concern in poultry nutrition. True digestible amino acids (TDAA) and nitrogen-corrected true metabolizable energy (TMEn) of sorghum grain are the most important elements of nutritional values that have a large impact on poultry performance. The conventional bioassay for TDAA and TMEn content of feed ingredients requires live animals and special facilities, which are time-consuming and costly. Therefore, nutritionists are interested in developing rapid, inexpensive and accurate methods to estimate the nutritional values of feedstuffs based on chemical composition.
Mathematical models have been used to estimate the nutritional value of feedstuffs. Multiple linear regression (MLR) and artificial neural network (ANN) models have been used previously to describe the correlation between chemical composition and TMEn in poultry feedstuffs (Ahmadi et al. Reference Ahmadi, Golian, Mottaghitalab and Nariman-Zadeh2008; Perai et al. Reference Perai, Nassiri Moghaddam, Asadpour, Bahrampour and Mansoori2010; Sedghi et al. Reference Sedghi, Ebadi, Golian and Ahmadi2011) and the results of these studies showed that the ANN model estimated the TMEn values of feed ingredients more accurately than the MLR model. Estimates of total amino acid as a function of chemical composition have been reported in some studies (Roush & Cravener Reference Roush and Cravener1997; Cravener & Roush Reference Cravener and Roush1999, Reference Cravener and Roush2001), which revealed that the ANN models could more accurately predict the total amino acid content of sorghum grain, based on chemical composition. Poultry diet formulations based on digestible amino acids produce a better performance than those with crude protein (CP) or total amino acids when low digestible amino acid ingredients are used (Ravindran & Bryden Reference Ravindran and Bryden1999).
Although an accurate calibration for total amino acids has been created for near infra red analysis (NIRA), it is difficult to estimate the metabolizable energy and TDAA content with NIRA (Maiorka et al. Reference Maiorka, Dahlke, Santin, Kessler and Penz2004; Leeson & Summers Reference Leeson and Summers2005). The commercial rapid method for digestible amino acid determination is the use of constant digestibility coefficients (total amino acids determined×digestibility coefficients). The estimate of amino acid digestibility using the constant digestibility coefficients in sorghum samples with different chemical compositions may decrease the accuracy of estimation. Therefore, the purpose of the current study was to estimate the TDAAs and TMEn values of sorghum grain for poultry from total amino acid contents.
MATERIALS AND METHODS
Data collection
Two separate datasets, from sorghum grain that consisted of 68 raw data lines, were used in the current study. The first dataset consisted of 48 data lines (four samples from each of 12 sorghum varieties), which were analysed for total amino acids, and assayed for TDAA and TMEn contents.
Amino acid concentration in sorghum grain samples were analysed by ion exchange chromatography, following hydrolysis of samples in 6 N HCl for 24 h at 110 °C (Andrews & Baldar Reference Andrews and Baldar1985). Post-column derivatization using ninhydrin was undertaken and the quantity of each amino acid was determined using the Beckman Biochrom 20 Amino Acid Analyzer at the University of Manitoba, Canada. Methionine and cystine were determined on samples that had been oxidized in performic acid prior to acid hydrolysis (Moore Reference Moore1963). A reference standard of known amino acid composition was always run along with test samples. The 16 total amino acids determined were: aspartic acid (Asp), threonine (Thr), serine (Ser), glutamic acid (Glu), alanine (Ala), cystine (Cys), valine (Val), methionine (Met), isoleucine (Ile), leucine (Leu), tyrosine (Tyr), phenylalanine (Phe), histidine (His), lysine (Lys), glycine (Gly) and arginine (Arg).
Single comb white leghorn roosters were caecectomized according to the method of Parsons (Reference Parsons1985). After a recovery period and 24 h feed deprivation, roosters were randomly given 30 g of sorghum sample via crop intubation (six roosters for each sorghum sample). Six additional roosters were fed with 30 g of glucose to measure endogenous amino acids excreted (Green et al. Reference Green, Bertrand, Duron and Maillard1987; McNab & Blair Reference McNab and Blair1988). The excreta were collected over a 48 h period and stored at −20 °C until analysis. All excreta were freeze-dried and the concentration of amino acids was analysed as described previously. True amino acid digestibility coefficient was calculated by the method of Sibbald (Reference Sibbald1986). The TDAA values were obtained by multiplying total amino acid contents by true amino acid digestibility coefficients. The nine essential amino acids that were used to calculate the true digestibility were: Thr, Val, Met, Ile, Leu, Phe, His, Lys and Arg. TMEn were determined and calculated according to the procedure described by Sibbald (Reference Sibbald1986).
The other 20 data lines used were those reported by Elkin et al. (Reference Elkin, Freed, Hamaker, Zhang and Parsons1996). The 68 data lines (48 data lines from the current study+20 data lines reported by Elkin et al. Reference Elkin, Freed, Hamaker, Zhang and Parsons1996), consisting of total amino acids, TDAA and TMEn for sorghum grain samples, were used to construct the MLR and ANN models.
Model development and evaluation
To evaluate which amino acids had a significant impact on the model outputs, all 16 amino acids were used as inputs in the MLR model. Each non-essential amino acid was removed from the model in a stepwise fashion and, if the R 2 value was unchanged, the component was permanently excluded from the model. Eliminating all non-essential amino acids from model in this fashion decreased the R 2 value by <0·01 absolute units. The minimal error for the estimation was used to select the more important inputs. There was no significant improvement in the model by the addition of >10 amino acids as inputs (nine essential amino acids+Gly). The total Thr, Val, Met, Ile, Leu, Phe, His, Lys, Arg and Gly were included to describe the relationship between total amino acids with TDAA and TMEn contents.
To construct the ANN models, 68 data lines (48 experimental data lines+20 datasets reported by Elkin et al. Reference Elkin, Freed, Hamaker, Zhang and Parsons1996) were divided randomly into training and testing datasets with 48 and 20 data lines, respectively. An algorithm of feed-forward multi-layer perceptron with five hidden neurons (with hyperbolic tangent activation function) was considered appropriate to construct the ANN models. A quasi-Newton training algorithm was used to train the network (Lou & Nakai Reference Lou and Nakai2001; Ahmadi & Golian Reference Ahmadi and Golian2010). The ANN models were obtained using the Statistical Neural Networks software version 8.0 (StatSoft 2009).
The regression analysis was undertaken using 0·70 of the dataset used as a training set in ANN models. The model was fitted to data using PROC REG of the SAS (SAS Institute Inc. 2003). The goodness of fit for both ANN and MLR models was tested using R 2, mean square (MS) error and bias (Roush et al. Reference Roush, Dozier Iii and Branton2006).
RESULTS
Average, minimum, maximum and standard deviation (s.d.) values of model inputs (total amino acids) and outputs (TDAA and TMEn contents) of sorghum samples are shown in Table 1. These data demonstrate that considerable variability existed in the total amino acid contents of different sorghum grain samples. Additionally the results showed that the variation in TDAA values between sorghum varieties was greater than in total amino acid contents.
Table 1. The average, maximum, minimum and s.d. for total and TDAAs, and TMEn content obtained by 68 sorghum grain samples

Dataset reported by Elkin et al. (Reference Elkin, Freed, Hamaker, Zhang and Parsons1996) (20 data lines).
Entire dataset (68 data lines).
The maximum R 2, MS error and bias values, attained when MLR and ANN were used to estimate TDAA and TMEn contents in sorghum grain are shown in Table 2. The R 2 values of regression models for testing and training datasets were in the range of 0·45–0·77 for all TDAAs and TMEn estimates. The calculated R 2 indicated that there was a good relationship between the observed and the estimated values for most TDAA contents obtained via regression models. The ANN architecture results showed a higher R 2 value for all TDAA and TMEn estimates than those obtained by MLR methods. The R 2 values obtained by the ANN testing dataset for all amino acids, except for His, were >0·90. The ANN models also resulted in a lower MS error for all selected output variables as compared to that in the MLR models. Based on the current results, it is evident that the prediction of TDAA and TMEn contents of sorghum grain as a function of total amino acids concentration through ANN model provides much more accurate values than those with MLR model. Similar findings have been reported in other studies, when the capability of ANN and MLR models to estimate nutritional values of poultry feedstuffs from chemical composition were compared (Roush & Cravener Reference Roush and Cravener1997; Cravener & Roush Reference Cravener and Roush1999; Ahmadi et al. Reference Ahmadi, Golian, Mottaghitalab and Nariman-Zadeh2008; Perai et al. Reference Perai, Nassiri Moghaddam, Asadpour, Bahrampour and Mansoori2010; Sedghi et al. Reference Sedghi, Ebadi, Golian and Ahmadi2011). The results of all these studies showed that the ANN models often describe more accurately the complex relationships between input and output variables than that of regression methods.
Table 2. The statistic values derived from regression and ANN models and network information to estimate TDAA and TMEn content based on total amino acid content of sorghum grain

In terms of bias, both ANN and MLR model showed low values (Table 2). The architectures of the chosen ANN models are shown in Table 2. Roush & Cravener (Reference Roush and Cravener1997) reported that the ANN model must be customized to each individual amino acid in order to improve predictive performance. In the current study, default architectures were held constant for all individual ANN model during the training for each amino acid. Therefore, it is possible to improve the accuracy of the individual ANN by changing the defaults and training parameters of each network. The prediction equations obtained by MLR models using training ANN dataset are presented in Table 3, which shows which of the total amino acids had a significant effect on each individual TDAA and TMEn outputs.
Table 3. Linear regression equations for TMEn and TDAA content as a function of total amino acid concentrations (g/kg DM) of sorghum samples (n=48)*

* AAs and TMEn units are, respectively, the g/kg DM and MJ/kg in sorghum grain; TD, true digestible value.
In equations the terms that significantly differed from zero (P<0·05) are depicted in bold font.
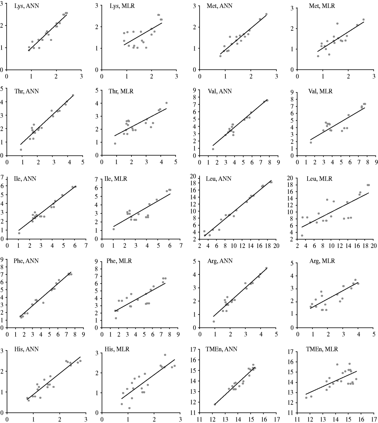
The predicted and observed values for the testing dataset of essential amino acids and TMEn content using MLR and ANN models are shown in Fig. 1. When the correlation is high, there is a minor difference between observed and predicted values. The comparison of actual and predicted output values showed that the ANN model can accurately describe the relationship between inputs and outputs. Considerable differences were observed among the individual TDAA contents of sorghum samples (Fig. 1). The variation in TMEn and TDAA observed among sorghum samples strongly indicated that confirmatory analyses should be conducted prior to the use of samples from a new supplier.

Fig. 1. The plots of actual v. predicted values for testing datasets obtained by ANN and MLR models. In all figures actual and predicted values are shown in X- and Y-axis, respectively. All amino acid are as a true digestible value (g/kg DM). TMEn, nitrogen-corrected true metabolizable energy (MJ/kg DM). The results of ANN and MLR graphs obtained by testing datasets are shown on left and right side of each graph respectively.
DISCUSSION
The considerable variation in TDAA values when compared with total amino acids between sorghum varieties may be due to some factors such as plant breeding, agronomic conditions and anti-nutritive factors (Ebadi et al. Reference Ebadi, Pourreza, Jamalian, Edriss, Samie and Mirhadi2005; Selle et al. Reference Selle, Cadogan, Li and Bryden2010), which influence amino acid digestibility in sorghum grain. Digestion and absorption of amino acids may be impaired by the presence of anti-nutritive factors. Phenolic compounds and phytate are examples of anti-nutritive factors that depress amino acid digestion and utilization in sorghum grains (Wong et al. Reference Wong, Lau, Cai, Singh, Pedersen, Vensel, Hurkman, Wilson, Lemaux and Buchanan2009; Selle et al. Reference Selle, Cadogan, Li and Bryden2010). The impact of anti-nutritive factors may either reduce amino acid digestion and/or increase endogenous amino acid excretion. Variation in digestibility values may also arise from difficulties in assay procedures and the measurement of endogenous amino acid losses (Bryden & Li Reference Bryden and Li2010). The large difference between maximum and minimum values for TDAA content of sorghum samples in the current study showed that feed formulation based on total amino acids contents is not an accurate method for sorghum-based diets. The different sorghum samples examined in the current study also showed a large TMEn variation. Numerous factors such as polyphenols, type of protein and crude fibre contribute to lower TMEn values for some varieties (Duodu et al. Reference Duodu, Taylor, Belton and Hamaker2003).
The use of an ANN model as an alternative to regression analysis has previously revealed a higher accuracy rate than that obtained in the regression models for most amino acids in maize, soybean meal, meat and bone meal, fish meal and wheat (Roush & Cravener Reference Roush and Cravener1997).
The relationship between CP and digestible amino acids was reported previously for sunflower seed meal by Villamide & San Juan (Reference Villamide and San Juan1998), where it was indicated that there are positive relationships between CP and most digestible amino acid contents. Other investigators have reported very good correlations between total amino acid or CP contents and digestible amino acids in clover varieties determined in ganders (Penkov et al. Reference Penkov, Pavlov and Mihovsky2003). Villamide & San Juan (Reference Villamide and San Juan1998) showed a relatively strong positive correlation (r=0·77) between CP content and TMEn of sunflower seed meals. In other studies, the CP content was used to estimate TMEn of feather meal and poultry offal meal (Ahmadi et al. Reference Ahmadi, Golian, Mottaghitalab and Nariman-Zadeh2008), meat and bone meal (Perai et al. Reference Perai, Nassiri Moghaddam, Asadpour, Bahrampour and Mansoori2010) and sorghum grain (Sedghi et al. Reference Sedghi, Ebadi, Golian and Ahmadi2011). Although in many studies the TMEn was estimated from the dietary CP content, the correlations between total amino acids and TMEn were not determined. In the current study, the CP content was used as a single predictor of TMEn to construct the models. The results indicated that the use of CP as a single predictor of TMEn in sorghum grain content produced an imprecise model, whereas the estimation of TMEn as a function of total amino acids through MLR and ANN models produced a more accurate value. Therefore, total amino acids of sorghum grain may be used to enhance the predictive ability of model for TMEn. In the current study, the prediction of TDAA content as a function of CP was less accurate when compared with total amino acids as inputs. Although determination of total amino acids in feedstuffs seems to be difficult to use as a model input, some policies encourage nutritionists to evaluate amino acid concentration in feed ingredients. Therefore, determination of total amino acids is undertaken widely in poultry feedstuffs, while information on TDAA and TMEn values are not determined as frequently as amino acids profile for individual feed ingredients. The use of ANN model in the current study indicated that TDAA and TMEn values may be predicted accurately via total amino acid profile for sorghum grain varieties. These close relationships may be due to the fact that sorghum endosperm, starch granules and protein bodies are in very close association with one another. Some studies indicated that the protein has an influence on starch gelatinization and starch digestibility of sorghum grains (Duodu et al. Reference Duodu, Taylor, Belton and Hamaker2003). The interaction between protein and starch has been identified as a factor affecting sorghum starch digestibility (Wong et al. Reference Wong, Lau, Cai, Singh, Pedersen, Vensel, Hurkman, Wilson, Lemaux and Buchanan2009). The differences in protein types and protein matrix are the other factors that can influence starch and fat digestibility (Wong et al. Reference Wong, Lau, Cai, Singh, Pedersen, Vensel, Hurkman, Wilson, Lemaux and Buchanan2009; Selle et al. Reference Selle, Cadogan, Li and Bryden2010) and consequently change TMEn values in sorghum grains. Kafirin, as a component of sorghum protein, has been shown to depress energy utilization in poultry. The disulphide cross linkages in sorghum kafirin are strong, and previous work found that kafirin was negatively correlated with both TMEn (r=−0·63; P<0·01) and apparent metabolizable energy (AME) (r=−0·61; P<0·01), determined in roosters (Salinas et al. Reference Salinas, Pro, Salinas, Sosa, Becerril, Cuca, Cervantes and Gallegos2006). Total amino acid and TMEn content in sorghum samples may change due to the composition of individual varieties. However, there are many anti-nutritive factors (total phenols, condensed tannins, CF and phytate), which can influence TMEn and amino acid values of sorghum grains. It seems that the values predicted by the mathematical models as a function of chemical compositions will usually be more reliable than those in the recommendation tables because estimation values are obtained from the ingredients that are used in feed formulation.
In conclusion, the current study showed the potential use of the ANN models to estimate TDAA and TMEn contents of sorghum grains. The mathematical analysis may greatly reduce the time and cost of TDAA and TMEn determination in sorghum grain and enhance the easy access to useful values for poultry nutritionists. As a consequence, this tool provides an opportunity to reduce the risk of formulating sorghum diets with either deficient or excessive levels of TDAA and TMEn for poultry. Further work is required to estimate the nutritive values of wide range of feed ingredients by mathematical models.
The authors would like to thank the laboratory staff of the animal science department, University of Manitoba for their contribution in sample analysis for amino acids and gross energy.



