Skip to main content Accessibility help
×
Hostname: page-component-74d7c59bfc-d7gsp Total loading time: 0 Render date: 2026-02-10T15:25:35.443Z Has data issue: false hasContentIssue false
Coming soon

Bayesian Social Science Statistics

Getting Productive

Expected online publication date:  10 February 2026

Jeff Gill
Affiliation:
American University
Le Bao
Affiliation:
City University of Hong Kong

Summary

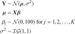
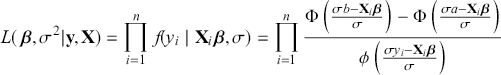
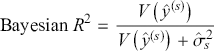
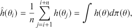
This Element introduces the basics of Bayesian regression modeling using modern computational tools. This Element only assumes that the reader has taken a basic statistics course and has seen Bayesian inference at the introductory level of Gill and Bao (2024). Some matrix algebra knowledge is assumed but the authors walk carefully through the necessary structures at the start of this Element. At the end of the process readers will fully understand how Bayesian regression models are developed and estimated, including linear and nonlinear versions. The sections cover theoretical principles and real-world applications in order to provide motivation and intuition. Because Bayesian methods are intricately tied to software, code in R and Python is provided throughout.

Information

Type
Element
Information
Online ISBN: 9781009340984
Publisher: Cambridge University Press

Accessibility standard: WCAG 2.1 AA

Why this information is here

This section outlines the accessibility features of this content - including support for screen readers, full keyboard navigation and high-contrast display options. This may not be relevant for you.

Accessibility Information

The PDF of this Element complies with version 2.1 of the Web Content Accessibility Guidelines (WCAG), covering newer accessibility requirements and improved user experiences and achieves the intermediate (AA) level of WCAG compliance, covering a wider range of accessibility requirements.

Content Navigation

Table of contents navigation
Allows you to navigate directly to chapters, sections, or non‐text items through a linked table of contents, reducing the need for extensive scrolling.

Reading Order & Textual Equivalents

Single logical reading order
You will encounter all content (including footnotes, captions, etc.) in a clear, sequential flow, making it easier to follow with assistive tools like screen readers.
Short alternative textual descriptions
You get concise descriptions (for images, charts, or media clips), ensuring you do not miss crucial information when visual or audio elements are not accessible.

Visual Accessibility

Use of colour is not sole means of conveying information
You will still understand key ideas or prompts without relying solely on colour, which is especially helpful if you have colour vision deficiencies.

Structural and Technical Features

ARIA roles provided
You gain clarity from ARIA (Accessible Rich Internet Applications) roles and attributes, as they help assistive technologies interpret how each part of the content functions.

Save element to Kindle

To save this element to your Kindle, first ensure no-reply@cambridge.org is added to your Approved Personal Document E-mail List under your Personal Document Settings on the Manage Your Content and Devices page of your Amazon account. Then enter the ‘name’ part of your Kindle email address below. Find out more about saving to your Kindle.

Note you can select to save to either the @free.kindle.com or @kindle.com variations. ‘@free.kindle.com’ emails are free but can only be saved to your device when it is connected to wi-fi. ‘@kindle.com’ emails can be delivered even when you are not connected to wi-fi, but note that service fees apply.

Find out more about the Kindle Personal Document Service.

Bayesian Social Science Statistics
  • Jeff Gill, American University, Le Bao, City University of Hong Kong
  • Online ISBN: 9781009340984
Available formats No formats are currently available for this content.
×

Save element to Dropbox

To save content items to your account, please confirm that you agree to abide by our usage policies. If this is the first time you use this feature, you will be asked to authorise Cambridge Core to connect with your account. Find out more about saving content to Dropbox.

Bayesian Social Science Statistics
  • Jeff Gill, American University, Le Bao, City University of Hong Kong
  • Online ISBN: 9781009340984
Available formats No formats are currently available for this content.
×

Save element to Google Drive

To save content items to your account, please confirm that you agree to abide by our usage policies. If this is the first time you use this feature, you will be asked to authorise Cambridge Core to connect with your account. Find out more about saving content to Google Drive.

Bayesian Social Science Statistics
  • Jeff Gill, American University, Le Bao, City University of Hong Kong
  • Online ISBN: 9781009340984
Available formats No formats are currently available for this content.
×