Skip to main content Accessibility help
×
Hostname: page-component-857557d7f7-8wkb5 Total loading time: 0 Render date: 2025-11-22T04:57:05.812Z Has data issue: false hasContentIssue false
Coming soon

Gender and Uptalk in Hong Kong English

Expected online publication date:  12 February 2026

Wilkinson Daniel Wong Gonzales
Affiliation:
The Chinese University of Hong Kong
Chan Pui Yu Ivy
Affiliation:
University of Oxford
Zhang Xiaohan Harry
Affiliation:
The Chinese University of Hong Kong
Ng Chui Yin Judy
Affiliation:
The University of Hong Kong
Chung Yan Ching Karina
Affiliation:
The Chinese University of Hong Kong

Summary

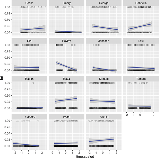
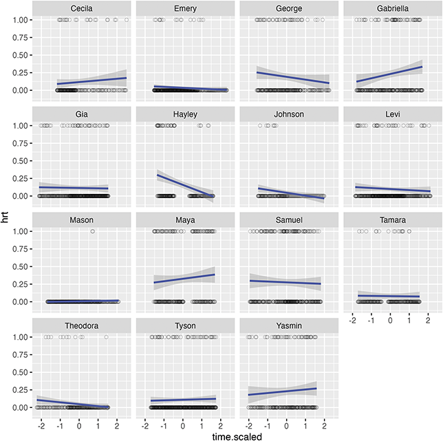
This Element interrogates the complex role of gender in shaping the sociolinguistic variable of UPTALK within Hong Kong English, highlighting its interaction with other sociodemographic factors. Foregrounding gender as a central factor, the Element employs a robust array of methodologies to dissect how gender interacts with social factors, identities, and social types across a sample of sixteen participants. Findings unveil new perspectives on gender-dependent meanings of UPTALK, demonstrating that while gendered stylistic accommodation plays a notable role, UPTALK is not merely a gender marker. Instead, it embodies complex social meanings shaped by a broad spectrum of individual, cognitive (awareness), and contextual factors. By integrating both production and perception/attitudinal data from a relatively unexplored context, the Element provides a holistic, nuanced understanding of how UPTALK can function as a multifunctional sociolinguistic resource, offering insights into the theorization of language variation and social meaning, with particular focus on the role of gender.

Information

Type
Element
Information
Online ISBN: 9781009634083
Publisher: Cambridge University Press

Accessibility standard: Unknown

Why this information is here

This section outlines the accessibility features of this content - including support for screen readers, full keyboard navigation and high-contrast display options. This may not be relevant for you.

Accessibility Information

Accessibility compliance for the PDF of this Element is currently unknown and may be updated in the future.

Save element to Kindle

To save this element to your Kindle, first ensure no-reply@cambridge.org is added to your Approved Personal Document E-mail List under your Personal Document Settings on the Manage Your Content and Devices page of your Amazon account. Then enter the ‘name’ part of your Kindle email address below. Find out more about saving to your Kindle.

Note you can select to save to either the @free.kindle.com or @kindle.com variations. ‘@free.kindle.com’ emails are free but can only be saved to your device when it is connected to wi-fi. ‘@kindle.com’ emails can be delivered even when you are not connected to wi-fi, but note that service fees apply.

Find out more about the Kindle Personal Document Service.

Gender and Uptalk in Hong Kong English
Available formats No formats are currently available for this content.
×

Save element to Dropbox

To save content items to your account, please confirm that you agree to abide by our usage policies. If this is the first time you use this feature, you will be asked to authorise Cambridge Core to connect with your account. Find out more about saving content to Dropbox.

Gender and Uptalk in Hong Kong English
Available formats No formats are currently available for this content.
×

Save element to Google Drive

To save content items to your account, please confirm that you agree to abide by our usage policies. If this is the first time you use this feature, you will be asked to authorise Cambridge Core to connect with your account. Find out more about saving content to Google Drive.

Gender and Uptalk in Hong Kong English
Available formats No formats are currently available for this content.
×