1. Introduction
In avalanche zoning problems estimates of the hazard are usually made using a statistical analysis of past avalanche activity. Questions that can arise in this connection include: Has avalanche activity changed with time? What atmospheric circulation patterns and weather systems have produced major historical avalanche events? Are there periodicities or rhythms in avalanche activity that would be of value for prediction? To examine these questions a 70-year avalanche record was constructed for Rogers Pass in the Selkirk Mountains of British Columbia, Canada, where avalanches affecting the Canadian Pacific Railway have been recorded since the winter of 1909-10. The characteristics of the avalanche paths at Rogers Pass have been summarized in other papers (Reference SchaererSchaerer, 1972, [1975]).
2. Compiling the Record
Data of avalanches affecting the railway line were compiled from various sources. The oldest records were reports of the road masters of the Canadian Pacific Railway covering the years 1909-53. In 1953 the Canada Department of Public Works initiated avalanche observations in the area in connection with the construction of the Trans-Canada Highway and these observations were continued by Parks Canada after completion of the highway. The National Research Council of Canada began a study of the mass of snow contained in avalanches in 1966. In addition, earlier reports of avalanche activity were available from old journals and newspapers, but a continuous record could not be constructed from them.
Each source has recorded the occurrence and size of avalanches differently. As the railway data cover the longest period, 1909 to 1953, and indicate only large avalanches that have clearly run to and beyond the rail line, they were regarded as the standard. Equivalent data were selected from the other sources to continue the record to 1979. After examination of all data, it was possible to establish a consistent, homogeneous record for 26 avalanche paths that affected the railway line on a section 24 km long between 1909 and 1979. The characteristics of the avalanche paths are listed in Table I.
Three different measures were selected to represent the record:
1. The number of avalanches to affect the railway in each winter for the period 1909-79, ∑F.
2. The estimated total mass of the above avalanches for each winter for the period 1918-79,∑M.
3. The length of the railway track covered by avalanche snow for each winter for the period 1918-79,∑L.
Table I. Characteristics of avalanche paths under study

2.1 Number of avalanches
Early data of the railway company record dates, locations, length, and depth of avalanche deposits on the line. More recent records of the National Research Council and of Parks Canada also note whether avalanches reached the rail line, but data are poor for the period 1952-65.
2.2 Mass of avalanches
The National Research Council measured or estimated the location of the avalanche terminus, the length, width, depth, and density of the deposit, and calculated from this information the mass of the avalanche.
The Parks Canada data give the avalanche terminus in terms of its position on the usual run-out zone or with respect to the Trans-Canada Highway, and when avalanches reached the highway give the depth of deposit on the roadway and the length of road affected. Because both the railway and Parks Canada records give the length of rail line or highway L covered by avalanche snow and its depth Z, a characteristic cross-section A of the avalanche could be calculated from
The length of the avalanche deposit was equated to the likely run-out distance D which took into account the characteristic cross-section of the avalanche snow, terrain of run-out zone, and description of avalanche. The beginning of the run-out zone was identified with the help of people with local knowledge and usually occurred where the slope decreased to 16 deg. For very large events it was assumed that avalanches ran close to the maximum run-out distance Dm (Table I) indicated by the trimlines of vegetation.
The mass M of the avalanche deposit was estimated by one of the following methods:
(a) for unconfined avalanche paths with uniform, open slopes in the run-out zone
(b) for confined avalanche paths emerging from a gully on a fan, the deposit is often triangular in plan, so that
(c) for avalanches that crossed the river and moved up the opposite side of the valley (for example, the Twins path) it was assumed that
(d) for some avalanche paths such as Fidelity it was obvious that only the very tip of a large avalanche had cut the railway line, and the characteristic cross-sectional area was not a good one; in these cases A was calculated by replacing L with the average width of the run-out zone.
ρ in the above formulae is the density of the deposited avalanche snow and varies with the free-water content and size of the avalanche. Guidelines for estimating average values of ρ were available based on National Research Council observations.
In 14% of the avalanche occurrences the only information on size was a qualitative description such as “similar size to last winter” or “two hours to clear debris”. In such cases a rough estimate was made by comparison with avalanches of known size on the same path. No information was available as to size in 9% of the avalanches and it was assumed that they were medium size with M = 0.01 M0, where M0 is the mass of the limit avalanche. The limit avalanche is defined as (Schaerer, [1975])
where S is the 30-year maximum water equivalent of snow in the starting zone, R is the retention of snow due to roughness of ground, and A s is the area of the starting zone.
2.3 Length of railway line covered by avalanche deposits
The length of track covered by avalanches during one winter, summed for the 26 selected avalanche paths, was used as an index of activity. Values were obtained directly from railway records or the other listed sources.
2.4 Climatological data
Daily records of snow-fall, rain-fall, and maximum and minimum temperature at Rogers Pass extend back almost continuously to 1896, but the observation site was moved several times so that snow-fall values were standardized by comparison with other nearby stations. Daily hemisphere surface synoptic charts were available from 1909 to the present from the Canadian Atmospheric Environment Service.
2.5 Quality of data
The avalanche records for numbers F, mass M, and length of track covered L, may contain trends and discontinuities owing to factors other than climatic variations; for example, changes of vegetation and control by artillery have occurred on 15 of the paths since 1965. Furthermore, errors of observation and interpretation may occur.
The most reliable measures of activity are considered to be those for number of avalanches and length of track covered. The series for the mass of avalanche snow involves numerous assumptions, but because such long-term series have not been available before they are worth reporting. Furthermore, estimates of mass allow magnitude-frequency relations to be determined.
2.6 Nature of avalanche data sample
Avalanches from large starting zones do not necessarily reach the railway line more frequently than those from smaller zones. Frequency and size of avalanches reaching the line depend also on the location of the line with respect to the run-out distance of the avalanche. Relative run-out distances, which are the ratio of the run-out distance to the railway D r and the maximum run-out distance D m as observed from vegetation patterns, are given in Table I.
The time series for ΣF, ΣM, and ΣL fall into the class of non-annual exceedence series. As an avalanche must be large enough to cross the railway line to be recorded, such an event need not occur every year. The minimum size of avalanche required to cross the line is the base value for that path. Thus the series do not give annual maxima but provide non-annual maximum series for each path. Furthermore, the base value is not the same for each path selected and may even differ on each path for wet and dry avalanches. For paths with large D r /D m base values, the non-annual excedence series represents the extreme tail of the population frequency distribution. For paths with small Dr/Dm base values much more of the frequency distribution is available.
3. Frequency of Major Avalanche Winters
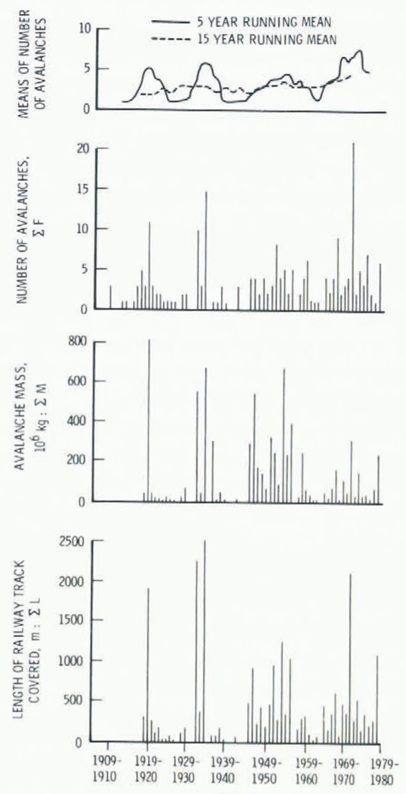
Constructed records for ΣF, ΣM, and ΣL are given in Figure 1. The records for ΣF show long periods of low to moderate avalanche frequency separated by peaks of very much higher frequency during the winters of 1919-20, 1932—33, 1934-35, 1967-68, and 1971—72. This pattern, in which extreme winters have considerably more avalanche activity than average, also appears in the frequency records of Reference Loup and LovieLoup and Lovie (1967) from the Tarentaise and in those of Reference ChishimaChishima (1976) from Japan.

Fig. 1. Number of avalanches, total mass of avalanches, and length of track covered per winter.
The record for ΣM displays characteristics similar to those for ΣF, but with more peaks (Fig. 1). There is also a different ranking of heavy avalanche years, mainly owing to the variation in size of the starting zones of the 26 avalanche paths selected. A single avalanche on a large path, such as Ross Peak, can contain more mass than 10 or so avalanches on the small paths, for example, Couger Corner 3 and Couger Corner 6. Thus the winter of 1936-37 ranks eighth on the list of ΣM, although only one avalanche (with an exceptionally large mass, at the Jack McDonald path) reached the railway line. Conversely, ΣM for the winter of 1971—72 was much lower than that for other winters with high ΣF. In 1919-20 large avalanches ran on several paths, to give maximum Σm over the 61 years of records.
The maximum avalanche to occur on each path varies widely over the winters studied (Table I), but five paths produced their largest avalanches in 1932-33, four in 1934-35, and two in 1919-20 and 1971-72. Thus winters with a high frequency of avalanches produced relatively large avalanches on many, but not all, paths.
Despite the wide range of snow and weather conditions experienced over 61 winters, some paths failed to produce large avalanches in relation to their limit avalanche, suggesting that factors other than snow or weather also contribute to magnitude-frequency relations.
The record for ΣL is intermediate between that of ΣF and ΣM, with outstanding winters again in 1919-20, 1932-33,1934—35, and 1971—72 (Fig. 1) By taking into account both frequency and mass the severest avalanche winters were ranked in magnitude as follows: 1971-72, 1934-35, 1919-20, 1932-33, 1953-54, 1967-68, 1946-47, 1951-52, 1978-79, and 1945-46.
The record of avalanche activity at Rogers Pass is incomplete prior to the winter 1909-10. Surveys of early journals, books, and newspapers suggest that avalanche activity was heavier than normal in the early 1880’s and may have been extreme in one winter. Between 1888 and 1909 avalanche activity appears to have been normal or less than normal. There is no evidence during this period of extreme avalanche winters similar to those of the four most severe listed above. It seems reasonable, therefore, to consider that these winters were the most severe since 1888.
4. Short Periods of Intense Avalanche Activity
Avalanche records were examined to identify periods of a few days when three or more avalanches affected the railway line. In all, 20 periods were recognized, mainly in January and February, that contained nearly half of all avalanches. The most intense periods were in 1934-35 (F = 11) when the line had to be abandoned for a week, 1932-33 (F = 10), and 1919-20 (F = 9). During these winters, avalanches within a few days made up all, or the bulk of, the annual total. This suggests a pattern of critical storm conditions superimposed on a snow-pack made weak by prior winter weather. On the other hand, the winter of 1971-72 was characterized by avalanches throughout the season, with several periods of intense avalanche activity.
5. Trends and Periodicities in Avalanche Records
The 15-year running means for ΣF indicate no marked change in long-term avalanche frequency except for a slight upward trend in recent decades (Fig. 1). This may reflect artillery control, more reliable observations, or changes in climate, but it is not large enough to be of significance. The five-year running means for ΣF suggest a periodic pattern of several winters of high avalanche frequency separated by periods of less activity. Despite the high frequency of avalanches in the last decade, there is a strong suggestion that their mass has decreased.
The 15-year running means for winter snow-fall at Rogers Pass also show no linear trend, but there is a suggestion of a broad peak from approximately 1910 to 1920, followed by a broad trough from 1935 to 1945 and a rise to another broad peak in recent years (Fig. 2). The five- year running means illustrate smaller-scale fluctuations superimposed on these long-term variations.

Fig. 2. Winter snow-fall at Rogers Pass.
To investigate the frequency response of avalanche records a spectral analysis was applied to the time series of ΣF, ΣM, ΣL, and to winter snow-fall using the Tukey-Manning method and the approach described by Jenkins and Watts ([c1968]). Correlograms and spectral- density estimates were calculated for each series. These are short series for spectral analysis but must suffice in the absence of longer records, although caution is required in interpreting them since the addition of more data could markedly alter the results. Jenkins and Watts ([c1968]) noted that a short series with fewer than 100 observations can provide acceptable estimates of a smooth spectrum, but that it is often too short to provide an estimate of a spectrum containing a narrow peak. For the purpose of checking results a spectral analysis using the maximum-entropy method (Reference Ulrych and BishopUlrych and Bishop, 1975), which is more powerful for short-time senes, was also used.
All correlograms were found to be similar to those for white noise, indicating that the avalanche data are produced by near-random events. All except the correlogram for winter snow-fall decay rapidly to near zero after one lag. Thus frequency and size of avalanches on the railway line are independent from one winter to the next. The correlogram for winter snow-fall decays less slowly, with a correlation coefficient between one winter and the next of 0.22, which is just significant at the 95% confidence level. This probably reflects a small amount of persistence in atmospheric circulation and weather patterns from one winter to the next.
Correlations at lag two of more than 0.25 for ΣM and ΣL suggest that a larger than normal avalanche year tends to be followed by another two years later. Beyond lag two the correlations for all series are small and not significant, so that inferences based on such information are suspect. It is worth noting, however, that between lag four and lag eleven correlations tend to be negative, indicating that large avalanche years are followed by small avalanche years for about a decade.
The power spectra for ΣF obtained by using the maximum-entropy method have the highest power at 0.06 cycle/year, with lesser peaks at 0.15, 0.24, 0.31, and 0.47 cycle/year (fig. 3). Thus, a periodicity of 18 years is suggested, with periodicities of just over two years and three to seven years also perhaps present although certainly not pronounced. As the spectra are not concentrated at a single frequency but spread over a wide range, the series are not truly periodic. It should also be stressed that the suggestion of an 18-year periodicity in the record for the period from 1909 to 1977 may itself be chance and that it would not appear if a much longer period of record were available.
The power spectra for ΣM and ΣL show similar results. Those for snow-fall show a number of peaks over the entire frequency range, but with no major peak at 0.06 cycle/year. Thus no fig.3. periodicity useful for prediction appears in the avalanche time series at Rogers Pass or in the snow-fall record.

Fig. 3. Spectral analysis: best estimates of maximum-entropy-method power spectra for number of avalanches ΣF.
The literature has yet to show a consistent periodicity in avalanche activity. The Rogers Pass time series and data reported by Reference KahnKahn (1966), Reference Loup and LovieLoup and Lovie (1967), Reference FrutigerFrutiger (1977), and Reference ArmstrongArmstrong (1978), all suggest major avalanching every 18 to 30 years, but this “rhythm" cannot be defined more precisely. Only Reference TushinskiyTushinskiy (1966) and Reference KahnKahn (1966) report a correlation between the eleven-year sunspot cycle and avalanche activity.
These arguments suggest that projections based on rhythms of avalanche activity are unlikely to be successful. Rather, estimates of future avalanche activity must be made by statistical means, by assigning probabilities of occurrence to certain sizes of avalanche.
6. Climatology of Major Avalanche Winters
Five methods were used to define the climatology of avalanches. Each seeks to identify the specific synoptic conditions that trigger major avalanches as well as establish the nature of the atmospheric circulation preceding them. They are:
(1) Examination of winter snow-fall, daily precipitation, and maximum and minimum temperatures at Rogers Pass for major avalanche winters.
(2) Case studies of major avalanche winters; daily surface synoptic maps and upper air 500 mbar charts, when available, were analysed.
(3) Classification of daily synoptic maps for the period from November to February for nine major and nine small avalanche winters. These were compared with each other and with a standard period to detect differences. Few observation stations existed in western North America in 1909 and knowledge of weather-map analysis was limited. All pre-Second World War maps used were subsequently standardized, however, and re-analysed by the U.S. Weather Bureau in an attempt to produce a homogeneous set.
(4) Construction of Reference HovmöllerHovmöller (1949) diagrams, which show the longitude and intensity of troughs and ridges at the 500 mbar level in middle latitudes as a function of time of winter. These attempt to illustrate differences in hemispheric atmospheric circulation between medium and small avalanche winters.
(5) Discussions of the weather and circulation of the month, appearing regularly in Monthly Weather Review, were examined for major avalanche winters.
6.1 Major avalanche winters at Rogers Pass
These appear to fall into two main categories:
(1) Winters with strong zonal flow. Characteristic features are frequent storms, rapidly fluctuating but not extreme temperatures, and sustained snow-fall. Major avalanches occur with warming above freezing or exceptional snow-fall, but tend to be distributed throughout the winter, with no period of intense activity. Winters that belong to this category were 1971-72 and 1953-54.
(2) Winters with strong meridional flow. Characteristic features are a sustained thermal regime that rapidly breaks down or shifts to another which is markedly different. Temperatures are unusually extreme. Prolonged intense outbreaks of Arctic air to the west of the Rockies are followed by a major storm, with rapid warming to above 0°C, heavy snow-fall, and sometimes rain. These winters give rise to the catastrophic event, in which many paths produce large avalanches within a few days. The winters of 1919-20, 1934-35, and 1978-79 were in this category. Some winters, such as 1932-33 and 1951-52, appear to be intermediate between categories 1 and 2
The peaks in the winter snow-fall record (Fig. 2) do not always correspond with those of ΣF, ΣM, and ΣL (Fig. 1). The correlation coefficient between ΣM and winter snow-fall is even weaker. These relations illustrate that heavy snow winters are not always winters with large avalanches. When heavy winter snow-fall occurs, avalanches may run so frequently as to prevent a large build-up of snow in the starting zone, and this, or artillery control, may account for the relatively low ΣM for 1971-72. In some winters, such as 1910-11 and 1963-64, no avalanches were sufficiently large to reach the railway line despite above-average snow-fall. On the other hand, a winter with light or moderate snow-fall can produce a large number of major avalanches, as was the case in 1934-35.
Winters when numerous, very large avalanches occur have weather sequences that maximize all the principal causes of avalanches. Sustained early winter outbreaks of Arctic air below –25°C encourage weaknesses to develop in the snow cover. The trigger storms are associated with record or near-record snowfalls, usually occurring when frontal systems are near stationary or when lows intensify over Rogers Pass. Snow-fall water equivalents of 110 mm in six days or 60 mm in one day seem to be required. Winds are often strong, so that there is much drifting snow. Finally, temperatures rise rapidly to above freezing and it often rains. The combination of these extreme weather sequences is apparently required for catastrophic avalanches similar to those of the winters of 1919-20 and 1934-35. Such winter conditions occur rarely and have not done so over the last four decades. (A paper describing in greater detail the climatology of major avalanche winters is in preparation.)
7. Conclusions
1. During the winter of 1971-72 more avalanches reached the railway line at Rogers Pass than in any of the last 70 years, possibly more than in the last 90 years. Other winters, however, have produced more intense avalanche activity involving catastrophic release of much larger quantities of snow within a few days. The most spectacular of these were the winters 1919-20 and 1934-35. As this type of winter has not occurred within the past four decades, it is beyond the personal experience of those at Rogers Pass.
2. Major avalanche winters produce more frequent avalanches of greater size than average winters, so that their impact tends to come as a surprise.
3. Rhythms in avalanche activity are weak and cannot at present provide a reliable method of prediction. The strongest periodicity is about 18 years.
4. Winters with many catastrophic avalanches released within a few days require a combination of weather conditions, each extreme. These conditions are sustained low temperatures, heavy snow-fall with precipitation that amounts to 110 mm in six days, or precipitation intensity of over 60 mm in one day, strong winds, and rapid warming to above 0°C.
5. There are clear linkages between avalanche activity at Rogers Pass and atmospheric circulation over the eastern Pacific and western North America. Over the last 70 years major avalanche winters have fallen into two categories:
(a) Winters with strong zonal flow, heavy snow-fall, and rapidly fluctuating temperatures; during such winters the activity of major avalanches is spread throughout the winter.
(b) Winters with periods of sustained meridional flow and blocking; these are cold, with average or below average snow-falls, and major avalanches occur as Pacific air invades the region.
Acknowledgements
The authors are grateful for helpful and critical comments from A. Salway, H. Norem, R. Perla, M. Church, V. Schleiss, and W. Schleiss. They also wish to thank the staff of the Atmospheric Environment Service of Environment Canada, the British Columbia Ministry of Highways, and CP Rail for their willing co-operation. The weather-typing system was established by the Canadian Atmospheric Environment Service. T. J. Ulrych, Department of Geophysics, University of British Columbia, performed the maximum-entropy-method spectral analysis.
This study was carried out when B. B. Fitzharris was on staff as a visiting scientist. with the National Research Council of Canada. The paper is a contribution from the Division of Building Research, National Research Council of Canada, and is published with the approval of the Director of the Division.