1 Introduction
In this paper we study the Fukaya category of a symplectic manifold obtained by a small symplectic blowup at a point. In particular, we show that given a collection of branes in a given symplectic manifold satisfying Abouzaid’s criterion for split-generation [Reference AbouzaidAbo10], the Fukaya category of the blowup is split-generated by the image of an embedding of the Fukaya category of the original manifold (with bulk deformation) together with a collection of branes near the exceptional locus. This result is a symplectic analog of Orlov’s blowup formula [Reference OrlovOrl93] that gives a semi-orthogonal decomposition of the derived category of a blowup. We also show (conditional on a generalization of a result of Ganatra [Reference GanatraGan12] to the compact case described in Remark 1.3) that in this non-degenerate situation the quantum cohomology is isomorphic to the Hochschild cohomology of the Fukaya category, c.f. Kontsevich [Reference KontsevichKon94, p.18].
We first give a non-technical description of our main result. Let
$(X, \omega )$
be a compact symplectic manifold and
$QH^{\bullet } (X,\mathfrak {b})$
its quantum cohomology ring at a bulk deformation
$\mathfrak {b}$
. One expects a bulk deformed Fukaya category
$\operatorname {Fuk}(X, \mathfrak {b})$
whose objects are (weakly unobstructed) Lagrangian submanifolds and whose morphisms count pseudoholomorphic disks/polygons. We construct a curved
$A_{\infty }$
category
$\operatorname {Fuk}_{\mathcal {L}}^\sim (X,\mathfrak {b})$
of branes supported on some cleanly intersecting collection
$\mathcal {L}$
, and an associated flat
$A_{\infty }$
category
$\operatorname {Fuk}_{\mathcal {L}}^\flat (X,\mathfrak {b})$
whose objects are branes in
$\mathcal {L}$
equipped with weakly bounding cochains. There are natural open-closed and closed-open maps
between the Hochschild (co)homology of the Fukaya category and the bulk deformed quantum cohomology. Given such, we say that a collection of Lagrangian branes
${\mathfrak G}$
generates the bulk deformed quantum cohomology if
where
$\operatorname {Fuk}^\flat _{\mathfrak G}(X, \mathfrak {b})$
is the full sub
$A_{\infty }$
category with objects
${\mathfrak G}$
. Recall that by Abouzaid [Reference AbouzaidAbo10] and Ganatra [Reference GanatraGan12], in the exact setting with trivial bulk deformation, this generation condition (with quantum cohomology replaced by symplectic cohomology) implies that the collection
${\mathfrak G}$
split-generates the (wrapped) Fukaya category and the open-closed and closed-open maps are isomorphisms.
Our main result regards the change of the Fukaya category under a point blowup in view of the above generation criterion. The study of the behaviour of the Fukaya category under blowups was initiated by Charest-Woodward [Reference Charest and WoodwardCW22] for more general Minimal Model Program transitions. The blowup
$\pi : \tilde X \to X$
of X at a point p is parametrized by
$\epsilon>0$
, which is the area of a complex line in the exceptional divisor
$\tilde Z \subset \tilde X$
. Since the rank of cohomology increases by
$n-1$
where n is the complex dimension of X, one expects new branes created by the blowup in order to generate the extra cohomology classes under the open-closed map. Indeed, a collection
${\mathfrak E}$
of
$n-1$
branes supported near the exceptional divisor, whose Floer cohomology is non-trivial, were identified in [Reference Charest and WoodwardCW22]. In this paper, we prove that these new branes are indeed new split-generators (as in Definition 4.2) of the Fukaya category of the blowup.
Theorem 1.1 (proved in Section 6.5)
Let
$p\in X$
be a point and
$\epsilon>0$
be sufficiently small. Let
$\mathfrak {b}$
be a bulk deformation. Suppose
${\mathfrak G}$
is a finite collection of Lagrangian branes in X disjoint from p, that generates the bulk deformed quantum cohomology
${QH^{\bullet }( X, \mathfrak {b} + q^{-\epsilon } p)}$
. Then the collection
$\pi ^{-1}({\mathfrak G}) \cup {\mathfrak E}$
generates
$QH^{\bullet }(\tilde {X}, \pi ^{-1}(\mathfrak {b}))$
and split-generates the Fukaya category
$\operatorname {Fuk}_{\tilde {\mathcal {L}}}^\flat (\tilde {X}, \pi ^{-1}(\mathfrak {b}))$
of
$\tilde {X}$
with bulk deformation
$\pi ^{-1}(\mathfrak {b})$
for any cleanly self-intersecting collection
$\tilde {\mathcal {L}}$
containing the split-generators. Moreover, (conditional on the extension of Ganatra [Reference GanatraGan12] to the compact case) there are isomorphisms
Remark 1.2. The theorem is a special case of Kontsevich’s expectation that Hochschild cohomology of the Fukaya category is isomorphic to the quantum cohomology [Reference KontsevichKon94, p.18]. K. Ono communicated to us that he also proved results in this direction, and some special cases are proved in Sanda [Reference SandaSan21]. Pedroza [Reference PedrozaPed20] studied the effect of blowups on the Floer cohomology of Lagrangians disjoint from the blowup point, in the monotone case. Fukaya categories of certain blowups of toric varieties are studied from the viewpoint of the Strominger-Yau-Zaslow conjecture in Abouzaid-Auroux-Katzarkov [Reference Abouzaid, Auroux and KatzarkovAAK16]. Our theorem also slightly generalizes a result for small quantum cohomology of Bayer [Reference BayerBay04], who proved that semi-simplicity of quantum cohomology is preserved under point blowups. Other works on the Fukaya categories of blowups can be found in P. Seidel [Reference SeidelSei14] and I. Smith [Reference SmithSmi12].
Remark 1.3. Ganatra has shown in the exact setting [Reference GanatraGan12]
$\mathfrak {b}$
-deformed Hochschild homology and cohomology of
$\operatorname {Fuk}_{\mathcal {L}}(X,\mathfrak {b})$
are isomorphic as vector spaces (after a degree shift):
and (in the compact setting here) are both isomorphic to the quantum cohomology
$QH^{\dim (X)- \bullet }(X,\mathfrak {b})$
. Ganatra’s results [Reference GanatraGan12] are written for the exact, undeformed and flat case where the main construction is that of a category of Lagrangians in
$X^- \times X$
including both Lagrangians of split form
$L \times K$
as well as the diagonal. Note that if
$(L,b_L),(K,b_K)$
are Lagrangians equipped with weakly bounding cochains then a result of Amorim [Reference AmorimAmo17] implies that
$L \times K$
may be equipped with a weak Maurer-Cartan solution and so defines an object
$(L \times K, b_{L \times K})$
of
$X^- \times X$
. One expects the potential
$W(b_{L \times K})$
to vanish so that
$CF(\Delta , L \times K)$
is a projectively flat
$A_{\infty }$
algebra. Furthermore, this construction should interact as expected with the open-closed maps in [Reference GanatraGan12]. The results on isomorphisms stated in (1.2) for the compact case are conditional on this extension.
Remark 1.4. Theorem 1.1 can only be possible under suitable technical assumptions. First, to keep the technicalities to a minimum, we assume that the cohomology class of the symplectic form
$\omega $
is rational (and
$\epsilon $
is rational). We also only consider Lagrangian branes satisfying certain rationality condition (see Definition 2.7 and Hypothesis 2.8). These assumptions allow us to apply the perturbation scheme of Cieliebak-Mohnke [Reference Cieliebak and MohnkeCM07] to define the Fukaya category and the open-closed/closed-open maps. In addition, the Fukaya category is only defined for an arbitrary finite collection of rational Lagrangian branes with clean pairwise intersections, but not all such branes.
Theorem 1.1 is a categorical version of a result of A. Bayer [Reference BayerBay04], who proves that blowup creates algebra summands in the quantum cohomology. In particular, if
$QH^{\bullet }(X,\mathfrak {b})$
is semi-simple for generic
$\mathfrak {b}$
(with positive q-valuation), then the same holds for slightly negative q-valuation (as allowed in Theorem 1.1) and hence so is the quantum cohomology
$QH^{\bullet }(\tilde {X}, \pi ^{-1}(\mathfrak {b}))$
of the blowup.
Corollary 1.5 (proved in Section 6.5)
There is an orthogonal decomposition of the idempotent-completed derived category
into the bulk-deformed Fukaya category
$D^\pi \operatorname {Fuk}^\flat (X,\mathfrak {b} + q^{-\epsilon } p) $
of X and a category of ‘exceptional branes’
$D^\pi \operatorname {Fuk}^\flat _{\mathfrak E}(\tilde {X}, \pi ^{-1}(\mathfrak {b}))$
. The
$(n-1)$
objects in
${\mathfrak E}$
have endomorphism algebras isomorphic to non-degenerate Clifford algebras. Moreover, the quantum cohomology of
$\tilde {X}$
admits a ring isomorphism
See also González-Woodward [Reference González and WoodwardGW19] and Iritani [Reference IritaniIri20, Theorem 1.3].
Remark 1.6.
-
(a) We expect a similar result to hold for flips, and in particular, blowups
$\tilde {X}$
along non-trivial centre
$Z \subset X$
. In this case, if
$L_Z \subset Z$
is a Lagrangian in Z then we expect that
$L_Z$
admits a ‘thickening’
$\tilde {L}_Z \subset \tilde {X}$
that admits a collection of
$\operatorname {codim}(Z) - 1$
local systems and bounding cochains defining objects in the Fukaya category of
$\tilde {X}$
, so that the Fukaya category of
$\tilde {X}$
is generated by the proper transforms of Lagrangians in X and the thickening of objects in Z. At least in the case that the normal bundle of Z admits a reduction in structure group to a torus, there is a strategy of proof. See for example Schultz [Reference SchultzSch21] for results in this direction. -
(b) Although the decomposition of categories for a fixed bulk deformation is orthogonal, the decomposition of quantum cohomologies in Corollary 1.5 is also expected to semi-orthogonal with respect to some categorical analog of the quantum connection, c.f. Lee-Lin-Wang [Reference Lee, Lin and WangLLW21].
1.1 Outline of proof
In this section, we outline the main technical works in this paper and the strategy of proving Theorem 1.1 and Corollary 1.5. In Section 2–Section 4 we work under the general setting, giving an independent construction of the bulk deformed Fukaya category, the open-closed/closed-open map and a proof of Abouzaid’s generation criterion, as well as other results. In Section 5–Section 6 we restrict to the case of the blowup; by modifying the previous constructions, we establish the correspondence between Fukaya categories before and after the blowup.
Before we start the outline, we recall the notion of Novikov field. Let q be a formal variable and let
$$\begin{align*}\Lambda = \left\{ \sum_{i=1}^\infty c_i q^{d_i}, \ c_i \in \mathbb{C}, \ d_i \in \mathbb{R}, \lim_{i \to \infty} d_i = + \infty \right\} \end{align*}$$
be the universal Novikov field. The valuation by powers of q is denoted
$$\begin{align*}\operatorname{val}_q: \Lambda - \{ 0 \} \to \mathbb{R}, \quad \sum_{i=1}^\infty c_i q^{d_i} \mapsto \min_{c_i \neq 0 }(d_i). \end{align*}$$
Denote the subsets with non-negative resp. positive valuation
In the Novikov ring
$\Lambda _{\ge 0}$
, the group of units is the subgroup
$\Lambda ^\times $
with zero q-valuation.
1.1.1 Definition of the Fukaya category
The first technical construction in this paper is the definition of the Fukaya category using moduli spaces of treed (pearly) disks regularized via the Cieliebak-Mohnke method [Reference Cieliebak and MohnkeCM07]. (A similar construction was also carried out by Perutz-Sheridan [Reference Perutzand and SheridanPSS23].) We allow as objects of the Fukaya category rational compact embedded Lagrangian branes. Let X be a compact symplectic manifold with symplectic form
$\omega $
with rational symplectic class
$[\omega ] \in H^2(X,\mathbb {Q})$
. A Lagrangian brane is a compact embedded Lagrangian
$L \subset X$
equipped with a local system, by which we mean a flat
$\Lambda ^\times $
-bundle
${\widehat {L}} \to L$
, a spin structure and a grading. Given a finite rational collection (see Definition 2.7) of cleanly intersecting submanifolds
$\mathcal {L}$
and a
$\Lambda _{\ge 0}$
-valued cycle
$\mathfrak {b}$
Footnote 1 denote by
$\operatorname {Fuk}_{\mathcal {L}}^\sim (X,\mathfrak {b})$
the Fukaya
$A_{\infty }$
category of X supported on
$\mathcal {L}$
with bulk deformation
$\mathfrak {b}$
. The set of objects is
and morphisms are Floer cochains
In the Morse model used here, Floer cochains are formal combinations of fibers of local systems over critical points of a Morse function
The composition maps
count treed holomorphic disks
$u: C \to X$
with interior markings mapping to the bulk deformation
$\mathfrak {b}$
. These are maps from combinations
$C = S \cup T$
of disks
$S_v \subset S$
and segments
$T_e \subset T$
that satisfy Gromov’s pseudoholomorphicity conditions on the disks
$S_v$
and the gradient flow equation on the segments
$T_e$
(see Figure 1) for each vertex
$v \in \operatorname {Vert}(\Gamma )$
and edge
$e \in \operatorname {Edge}(\Gamma )$
of the combinatorial type
$\Gamma $
of C.
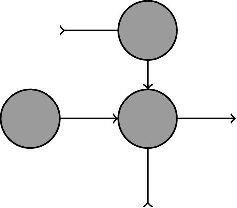
A treed disk with two inputs and one output.

The Cieliebak-Mohnke perturbation scheme [Reference Cieliebak and MohnkeCM07] depends on choosing a Donaldson hypersurface: a codimension two submanifold
$D \subset X$
whose homology class is Poincaré dual to a high multiple of
$[\omega ]$
such that the union of Lagrangian submanifolds
$L \in \mathcal {L}$
is exact in the complement of D. For a suitably chosen almost complex structure, any holomorphic sphere in X intersects D at least three times [Reference Cieliebak and MohnkeCM07, 8.17] and any non-constant holomorphic disk intersects D at least once. For any holomorphic treed polygon
$u: C \to X$
with boundary pieces labelled by
$L_0, \ldots , L_d$
, the intersections with the divisor D then stabilize the domain C. These intersections ‘stabilize’ all domains of treed holomorphic maps and allow us to use domain-dependent perturbations of the almost complex structure to overcome the difficulty of regularizing multiply-covered maps. In this paper, we extend the construction of [Reference Charest and WoodwardCW17][Reference Charest and WoodwardCW22][Reference Xu and WoodwardXW18] to regularize moduli space of treed holomorphic polygons
(see Section 2). Counts of rigid treed holomorphic disks with boundary in the given Lagrangians define the composition maps
$m_d$
and the Fukaya category
$\operatorname {Fuk}_{\mathcal L}^\sim (X, \mathfrak {b})$
as a (curved) strictly unital
$A_{\infty }$
category.
1.1.2 Spectral decomposition
Starting from a curved strictly unital
$A_{\infty }$
category, we define flat
$A_{\infty }$
categories by restricting to particular values of the curvature. For any element
$b \in \operatorname {Hom} ({\widehat {L}}, {\widehat {L}} )$
with positive q-valuation define
$$\begin{align*}\mu (b) := \sum_{d \ge 0} m_d(\underbrace{b,\ldots, b}_d). \end{align*}$$
Following Fukaya-Oh-Ohta-Ono [Reference Fukaya, Oh, Ohta and OnoFOOO09] denote by
$MC({\widehat {L}})$
the space of weakly bounding cochains, i.e., solutions to the weak Maurer-Cartan equation
and
For each
$w \in \Lambda $
, one denotes by
$\operatorname {Fuk}_{\mathcal {L}}(X,\mathfrak {b})_w$
the flat
$A_{\infty }$
category whose objects are
and whose sets of morphisms are the Floer cochain groups
Define the composition maps as follows: For
$d \ge 1$
define
$$ \begin{align} & {\boldsymbol m}_d: \operatorname{Hom}( {\boldsymbol{L}}_{d-1}, {\boldsymbol{L}}_d) \otimes \ldots \otimes \operatorname{Hom} ({\boldsymbol{L}}_0, {\boldsymbol{L}}_1) \to \operatorname{Hom} ( {\boldsymbol{L}}_0, {\boldsymbol{L}}_d)[2-d], \nonumber\\ & x_d \otimes \cdots \otimes x_1 \mapsto \sum_{k_0,\ldots, k_d} m_{d + k_0 + \ldots + k_d} (\underbrace{b_d,\ldots, b_d}_{k_d}, x_d, \ldots \underbrace{b_1,\ldots, b_1}_{k_1} ,x_1, \underbrace{b_0,\ldots, b_0}_{k_0}); \end{align} $$
when
$d = 0$
define for each
${\boldsymbol {L}} \in \mathrm {Ob} ( \operatorname {Fuk}_{\mathcal {L}}^\flat (X, {\mathfrak b})_w)$
that
$m_0(1) = 0 \in \operatorname {Hom}( {\boldsymbol {L}}, {\boldsymbol {L}})$
. One checks using
$b \in MC(L)$
that the
$A_{\infty }$
axiom holds:
$$ \begin{align} 0 = \sum_{\substack{i, j \geq 0\\ i + j \leq d}} (-1)^{\maltese_{1}^j} {\boldsymbol m}_{d-i+1} ( x_d, \ldots, x_{i+j+1}, {\boldsymbol m}_i (x_{j+i},\ldots,x_{j+ 1}), x_j,\ldots,x_{1}) \end{align} $$
for all homogeneous
$x_d \in \operatorname {Hom}( {\boldsymbol {L}}_{d-1}, {\boldsymbol {L}}_d), \ldots , x_1 \in \operatorname {Hom}({\boldsymbol {L}}_0, {\boldsymbol {L}}_1)$
where
In this way, one obtains a family of flat
$A_{\infty }$
categories
$\operatorname {Fuk}_{\mathcal {L}}(X,\mathfrak {b})_w$
indexed by values of the potential
$w \in \Lambda $
and bulk deformation
$\mathfrak {b}$
. More generally, for any subset
${\mathfrak G}$
of weakly unobstructed branes define the flat
$A_{\infty }$
category
$\mathrm {Fuk}_{\mathfrak G}(X, {\mathfrak b})_w$
in a similar way. Denote the flat
$A_{\infty }$
category obtained by disjoint union over all possible curvatures
1.1.3 The open-closed and closed-open maps
The open-closed and closed-open maps relate the Hochschild (co)homology with quantum cohomology. In the current framework, we use the Piunikhin-Salamon-Schwarz [Reference Piunikhin, Salamon and SchwarzPSS96] construction and the Cieliebak-Mohnke method to provide an independent construction of the bulk deformed quantum cohomology ring
$QH^{\bullet }(X, \mathfrak {b})$
(see Subsection 3.3). For any collection
${\mathfrak L}$
of branes equipped with weakly bounding cochains, we define the open-closed map (Subsection 3.4)
and the closed-open map (Subsection 3.6)
via counts of treed holomorphic disks with one interior edge.
The spectral decomposition of quantum cohomology and the spectral decomposition of the Fukaya category are related by the open-closed map. It has been known that (due to Auroux, Kontsevich, Seidel, see [Reference AurouxAur97, Section 6] and Sheridan [Reference SheridanShe16, Lemma 2.7]) in the monotone case, the values of the potential function correspond to eigenvalues of the quantum multiplication by the first Chern class; moreover, the open-closed map shall send the Hochschild homology of the eigen-subcategory to the corresponding generalized eigenspace. In the current situation, we prove a more general statement. Let
denote the logarithmic derivative with respect to q and define the bulk-deformed symplectic class
Similarly write
for homogeneous
$\mathfrak {b}_i$
of degree
$|\mathfrak {b}_i|$
and define the bulk-deformed first Chern class
$$ \begin{align} c_1^{\mathfrak{b}}(X) := c_1(X) + \sum_i \frac{2-|\mathfrak{b}_i|}{2} \mathfrak{b}_i .\end{align} $$
Theorem 1.7 (proved in Section 3.5)
For any
$w \in \Lambda $
, the image
lies in the generalized eigenspace of the quantum multiplication by
$c_1(X)^{\mathfrak {b}}$
resp. the symplectic class
$[\omega ]^{\mathfrak {b}}$
corresponding to eigenvalue w resp.
$D_q w$
. Furthermore, the map respects the length and Jordan filtrations, respectively.
Remark 1.8. The statements for the first Chern class and symplectic class contain different information. For example, suppose that X is a symplectic two-torus. The first Chern class is trivial and so
$c_1(X) \star $
is diagonalizable, while
$[\omega ] \star $
has a Jordan block of size two, since the quantum multiplication is the same as classical multiplication. It follows from Corollary 3.28 below that the restriction of the open-closed map to Hochschild chains of length one is not surjective. One may see this easily in the case of a symplectic two-torus using the fact that the non-constant holomorphic curves with minimal number of corners are squares, and so the open-closed map has quantum corrections only on chains of length four and higher. In particular, the fundamental class of the two-torus is the image of a Hochschild four-chain under the open-closed map.
1.1.4 The generation criterion
A criterion for the split generation of the Fukaya category by a subset of branes is provided by results of Abouzaid [Reference AbouzaidAbo10] and Ganatra [Reference GanatraGan12].
Definition 1.9. Given a collection of objects
${\mathfrak G}$
let
$\operatorname {Fuk}_{\mathfrak G}^\flat (X,\mathfrak {b})$
denote the sub-Fukaya category with objects
${\mathfrak G}$
. Write
for the image of
$HH_\bullet (\operatorname {Fuk}_{\mathfrak G}(X,\mathfrak {b}))$
under the open-closed map. Say
In our setting where the Fukaya category is the disjoint union of flat
$A_{\infty }$
categories
$\operatorname {Fuk}^\flat _{\mathfrak G}(X, \mathfrak {b})_w$
, the quantum cohomology ring
$QH^{\bullet }(X;\mathfrak {b})$
being generated by
$\mathfrak G$
is equivalent to the existence of a generalized eigen-space decomposition
and the condition
for all curvature values
$w \in w({\mathfrak G})$
.
Theorem 1.10. [(Abouzaid [Reference AbouzaidAbo10] in the exact case, extended to the compact case in Section 4 below)]
If
$QH^{\bullet } (X,\mathfrak {b})$
is generated by
${\mathfrak G} \subset MC({\mathcal L})$
then for each
$w \in \Lambda _{\geq 0}$
there is a subset of
${\mathfrak G}$
that split-generates
$\operatorname {Fuk}_{\mathcal {L}} (X,\mathfrak {b})_w$
.
The proof is based on an adaption of Abouzaid’s original argument [Reference AbouzaidAbo10] to the compact setting to incorporate bulk deformations, weakly bounding cochains and the Cieliebak-Mohnke method. The key is to prove the commutativity of the Cardy diagram by analyzing two different types of degenerations of treed holomorphic annuli.
By slightly modifying the moduli spaces of treed holomorphic annuli, one can prove an orthogonality result for images of open-closed maps. The following result will be used in the blowup setting to show that the ‘old’ branes and ‘new’ branes are orthogonal in the Fukaya category of the blowup.
Theorem 1.11 (proved in Section 4.4)
Suppose
${\mathfrak L}_-, {\mathfrak L}_+$
be two disjoint collections of weakly unobstructed branes. Then the images
are orthogonal with respect to the intersection pairing.
1.1.5 Old branes in the blowup
Our main result applies the Abouzaid criterion Theorem 1.10 to blowups. Recall that the blowup of affine space
$X = \mathbb {C}^n$
at
$p = 0$
is
and is equipped with a natural holomorphic projection
The inverse image of the blowup point
is the exceptional locus of the blowup. A symplectic blowup
$\pi : \tilde X \to X$
of X at a point p is defined similarly using a Darboux chart
$U \ni p$
and gluing in the local model of the previous paragraph:
A natural family of symplectic forms
$\tilde {\omega }_\epsilon $
on
$\tilde {X}$
arises from the family of symplectic forms on
$\operatorname {Bl}(\mathbb {C}^n,0)$
considered as a toric variety with moment polytope
The resulting symplectic manifold
$\tilde {X}$
is the
$\epsilon $
-blowup of X at p, depending on the choice of
$\epsilon $
and Darboux chart U.
An embedding of the original Fukaya category into the Fukaya category of its blowup will be realized after a shift in bulk deformation given by homology classes.
Theorem 1.12 (proved in Section 6.1)
Suppose
${\mathcal L}$
consists of Lagrangian submanifolds that are disjoint from p. For
$\epsilon> 0 $
sufficiently small and suitable perturbation data
${\underline {\smash {P}} = (P_\Gamma )}$
, the structure maps of
$\operatorname {Fuk}_{\mathcal {L}}(X,\mathfrak {b} + q^{-\epsilon } p )$
are convergent and define an
$A_{\infty }$
category with the following property: There exists a homotopy equivalence of curved
$A_{\infty }$
categories
Moreover, for any collection of weakly unobstructed branes
${\mathfrak L}$
, there is a commutative diagram

Remark 1.13. The bulk deformation
$\mathfrak {b} + q^{-\epsilon } p$
has a negative q-valuation, so is not of the type usually allowed. The structure maps of the Fukaya category with bulk deformations with negative q-valuations may not converge a priori. However, there is a geometric reason for the convergence: holomorphic maps have to ‘spend’ a non-trivial amount of energy to pass through a given point p each time.
The proof of Theorem 1.12 relies on a correspondence between pseudoholomorphic curves induced by the projection. Namely, given any holomorphic curve
$\tilde {u}: C \to \tilde {X}$
one obtains a holomorphic curve in the original manifold by projection
$u = \pi \circ \tilde {u}$
. This correspondence induces a map between moduli spaces
(and the compactifications) given by composing and collapsing unstable components. The projection (1.12) does not preserve the expected dimension of the moduli spaces but does preserve expected dimension if the map
$u = \pi \circ \tilde u$
is considered as a map with point constraints at
$u^{-1}(p)$
. Moreover, (1.12) is a bijection for rigid curves. To prove Theorem 1.12 it therefore suffices to show that perturbation data pulled back under the projection
$\pi : \tilde {X} \to X$
make all relevant moduli spaces in
$\tilde {X}$
regular; one may then simply compose with the projection to obtain the correspondence.
1.1.6 Open-closed map from the new branes
To compare the Fukaya categories, we wish to complete the collection of ‘old branes’ before the blowup by adding a collection of new generators after the blowup. In a previous paper [Reference Charest and WoodwardCW22] Charest and the second author identified a finite collection of Floer-non-trivial Lagrangian branes near the exceptional locus. Indeed, a neighbourhood of the exceptional locus has a toric model
${\mathcal O}(-1) \to \mathbb {CP}^{n-1}$
that contains a toric Lagrangian
$L_{{\boldsymbol \epsilon }} \cong (S^1)^n$
that is monotone in
${\mathcal O}(-1)$
. The new branes are given by the Lagrangian
$L_{{\boldsymbol \epsilon }}$
and
$(n-1)$
distinct local systems. Each local system induces a representation denoted
$y: H_1(L_{{\boldsymbol \epsilon }}) \to \Lambda ^\times $
as
$y=(y_1, \ldots , y_n)$
. The calculation in [Reference Charest and WoodwardCW22, p145] shows that the potential function is the Givental potential
plus higher-order terms coming from holomorphic curves not contained in the toric region. The local systems of the
$(n-1)$
weakly unobstructed branes
${\boldsymbol {L}}_1, \ldots , {\boldsymbol {L}}_{n-1}$
are higher-order perturbations of the
$(n-1)$
non-degenerate critical points of
$W_0$
. The toric model also allows us to compute the Floer cohomology rings
$HF^{\bullet }( {\boldsymbol {L}}_i, {\boldsymbol {L}}_i)$
, which are isomorphic to Clifford algebras, as well as the leading order terms in the open-closed map on these branes.
Theorem 1.14 (proved in Sections 6.3, 6.4)
Let
${\mathfrak E}= \{ {\boldsymbol {L}}_1, \ldots , {\boldsymbol {L}}_{n-1}\}$
be the collection of exceptional branes described in the preceding paragraph.
-
(a) The potential functions of
${\boldsymbol {L}}_i$
have distinct values, -
(b) and the composition
is surjective.
Theorem 1.1 follows from Theorem 1.11, Theorem 1.12, and the generation result. Indeed, Theorem 1.11 implies that old and new branes are orthogonal under the open-closed map. As the intersection pairing is non-degenerate on the image of the new branes, these two images have trivial intersection. For dimensional reasons, Theorem 1.12 and Theorem 1.14 imply the surjectivity of the open-closed map. The generation criterion (Theorem 1.10) then applies. One uses the spectral property of the open-closed and closed-open maps (Theorems 3.23 and 3.34) to conclude that the new branes contribute to
$(n-1)$
orthogonal one-dimensional pieces of the quantum cohomology, proving Corollary 1.5.
2 Moduli spaces of treed disks
In this section, we define the moduli spaces used in the definition of bulk-deformed Fukaya categories and regularize them using Cieliebak-Mohnke perturbations.
2.1 Trees
First we introduce terminology for trees. Given a tree
$\Gamma $
, the set of edges
$\operatorname {Edge}(\Gamma )$
is equipped with head and tail maps
The valence of any vertex
$v \in \operatorname {Vert}({\Gamma })$
is the number
of edges meeting the vertex v. An edge
$e \in \operatorname {Edge}({\Gamma })$
is
-
• combinatorially finite if
$\infty \notin \{ h^{-1}(e), t^{-1}(e) \}$
, -
• semi-infinite or a leaf if
$\{ h^{-1}(e), t^{-1}(e) \} = \{v , \infty \}$
for some
$v \in \operatorname {Vert}({\Gamma })$
, and -
• infinite if
$h(e) = t(e) = \infty $
.
Denote
the set of finite resp. semi-infinite edges, that is, leaves.
For now, we assume that trees are rooted, which means that when
$\operatorname {Vert}(\Gamma ) \neq \emptyset $
there is a distinguished vertex
$v_{\mathrm {root}} \in \operatorname {Vert}(\Gamma )$
called the root and a distinguished semi-infinite edge
$e_{\mathrm {out}} \in {\operatorname {Edge}}_\rightarrow (\Gamma )$
with
$t(e_{\mathrm {out}}) = v_{\mathrm {root}}$
called the output. All edges are then oriented towards the output. This will suffice for defining the Fukaya category. Later on, we will consider not-necessarily rooted trees.
There is a special tree which does not have vertices: a vertex-free tree is a tree
$\Gamma $
with
$\mathrm {Vert}(\Gamma ) = \emptyset $
with one infinite edge. However, we set
${\operatorname {Edge}}_{\rightarrow } = \{ e_{\mathrm {in}}, e_{\mathrm {out}}\}$
, the incoming and the outgoing ends of the vertex-free tree. In any case, for a tree
$\Gamma $
, denote by
$ {\operatorname {Edge}}_{\mathrm {in}}(\Gamma )$
resp.
$ {\operatorname {Edge}}_{\mathrm {out}}(\Gamma )$
the incoming and outgoing leaves.
Our trees will be composed of two parts corresponding to the sphere and disk vertices. We colour these vertices black and white, respectively, and call the resulting structure a two-coloured tree.
Definition 2.1 (Two-coloured trees)
-
(a) A ribbon structure on a tree
$\Gamma $
consists of a cyclic ordering
$o_v: \{ e \in \operatorname {Edge}({\Gamma }), e \ni v \} \to \{ 1, \ldots , |v| \}$
of the edges incident to each vertex
$v \in \operatorname {Vert}({\Gamma })$
; a cyclic ordering is an equivalence class
$[o_v]$
of orderings where two orderings
$o_v, o_v'$
are equivalent if they are related by a cyclic permutation. -
(b) A rooted subtree of a tree
$\Gamma $
is a connected subgraph
${\Gamma _\circ }$
whose vertices
$\operatorname {Vert}({\Gamma _\circ })$
contain the root
$v_{\mathrm {root}}$
of
$\Gamma $
,Footnote 2 and whose edges contain all finite edges
$e \in \operatorname {Edge}(\Gamma )$
connecting vertices in
$\operatorname {Vert}({\Gamma _\circ })$
and a subset of semi-infinite edges
$e \in \operatorname {Edge}(\Gamma )$
connected to vertices in
$\operatorname {Vert}({\Gamma _\circ })$
. -
(c) A two-coloured tree is a tree
$\Gamma $
together with a rooted subtree
${\Gamma _\circ }$
with a ribbon structure on
${\Gamma _\circ }$
. -
(d) A two-coloured tree
$\Gamma $
is stable if each sphere vertex has valence at least three, and for each disk vertex
$$\begin{align*}v \in \operatorname{Vert}_\bullet(\Gamma) := \operatorname{Vert}(\Gamma) \setminus \operatorname{Vert}(\Gamma_\circ) \end{align*}$$
$v \in \operatorname {Vert}({\Gamma _\circ })$
the number of edges
$e \in \operatorname {Edge}({\Gamma _\circ })$
connected to v plus twice the number of interior edges connected to v is at least three.
$$\begin{align*}e \in \operatorname{Edge}_\bullet(\Gamma) := \operatorname{Edge}(\Gamma) \setminus \operatorname{Edge}(\Gamma_\circ)\end{align*}$$
We distinguish between boundary and interior leaves and disk and sphere components. Objects related to the rooted subtree (which are usually related to disks and boundary insertions) are labelled with
$\circ $
, while the corresponding notions related to the complement of the rooted subtree (which are related to spheres and interior insertions) are labelled with
$\bullet $
. For example, we denote by
the set of boundary edges and we used above
the set of interior edges. Semi-infinite edges are also called leaves and we denote
A moduli space of metric trees is obtained by allowing the finite edges on the disk part to acquire lengths.
Definition 2.2. Let
$\Gamma $
be a two-coloured tree. A metric on
$\Gamma $
is a non-negative function on the space of finite boundary edges
A metric type on
$\Gamma $
, denoted by
$\underline {\smash {\ell }}$
, is the associated decomposition
corresponding to edges with zero or positive lengths.Footnote 3
To compactify the set of gradient segments we allow the lengths of the edges to go to infinity and break. A broken metric tree is obtained from a finite collection of metric trees by gluing outputs with inputs as follows: Given two metric trees
$(\Gamma _1, \ell _1)$
and
$(\Gamma _2, \ell _2)$
with specified leaves
$e_1 \in \operatorname {Leaf}(\Gamma _1)$
and
$e_2 \in \operatorname {Leaf}(\Gamma _2)$
, let
$\overline {\Gamma }_1$
resp.
$\overline {\Gamma }_2$
denote the space obtained by adding a point
$\infty _1$
resp.
$\infty _2$
at the open end of
$e_1$
resp.
$e_2$
. The space
is a broken metric tree, the point
$\infty _1 \sim \infty _2$
being called a breaking. To obtain a well-defined root for the glued tree we require that exactly one of
$e_1$
and
$e_2$
is the output. See Figure 2.
Creating a broken tree.

In general, a broken metric tree
$\Gamma $
is obtained from broken metric trees
$\Gamma _1, \Gamma _2$
as in (2.1) in such a way that the resulting space
$\Gamma $
is connected and has no non-contractible loops, that is,
$\pi _0(\Gamma )$
is a point and
$\pi _1(\Gamma )$
is the trivial groupFootnote 4. We think of the gluing points as breakings rather than vertices, so that there are no new vertices in the glued tree
$\Gamma $
.
In order to obtain Fukaya algebras with strict units, we wish for our moduli spaces to admit forgetful maps. For this we introduce weightings on certain edges, as in for example Ganatra [Reference GanatraGan12, Section 10.5].
Definition 2.3. Consider an unbroken tree
$\Gamma $
.
-
(a) A weighting on
$\Gamma $
is a map satisfying
$$\begin{align*}\operatorname{wt}: {\operatorname{Edge}}_{\rightarrow} (\Gamma) \to [0,1] \end{align*}$$
and
$$\begin{align*}\mathrm{wt}|_{\mathrm{Leaf}_{\bullet}(\Gamma)} \equiv 0, \end{align*}$$
(2.2)The underlying decomposition
$$ \begin{align} \prod_{e\in {\operatorname{Edge}}_{\mathrm{in}}(\Gamma)} \operatorname{wt}(e) = \operatorname{wt}(e_{\mathrm{out}}) \end{align} $$
is called a weighting type, denoted by
$\underline {\smash {\operatorname {wt}}}$
; elements of
resp.
resp.
are called unforgettable resp. weighted resp. forgettable. A tree
$\Gamma $
with a weighting is called a weighted tree.
-
(b) If the output
$e_{\mathrm {out}}$
of
$\Gamma $
is unweighted then an isomorphism of weighted trees is an isomorphism of trees
$ \psi : (\Gamma , \operatorname {wt} ) \to (\Gamma ', \operatorname {wt}') $
that preserves the weightings. If the output
$e_{\mathrm {out}}$
of
$\Gamma $
is weighted (which implies
$\Gamma $
has no interior incoming edge and all boundary incoming edges are weighted or forgettable), then an isomorphism
$\psi : (\Gamma , \operatorname {wt}) \to (\Gamma ', \operatorname {wt}')$
is an isomorphism of trees such that there is a positive number
$\alpha $
such that
$$\begin{align*}\operatorname{wt} (e) = \operatorname{wt}'(\psi(e))^\alpha, \quad \forall e \in {\operatorname{Edge}}_{\rightarrow}(\Gamma). \end{align*}$$
-
(c) If
$\Gamma $
is broken, then a weighting on
$\Gamma $
consists of weightings on all unbroken components that agree over breakings.
2.2 Treed disks
The domains of treed holomorphic disks are unions of disks, spheres and lines, rays and line segments. A disk is a bordered Riemann surface biholomorphic to the complex unit disk
$\mathbb {D} = \{ z \in \mathbb {C} | \Vert z \Vert \leq 1 \}$
. The automorphism group of
$\mathbb {D}$
is
$ \operatorname {Aut} (\mathbb {D}) \cong PSL(2,\mathbb {R})$
. A nodal disk with a single boundary node is a topological space S obtained from a disjoint union of disks
$S_1,S_2$
by identifying pairs of boundary points
$w_{12} \in S_1, w_{21} \in S_2$
on the boundary of each component so that
See Figure 3. The image of
$w_{12}, w_{21}$
in the space S is the nodal point.
Creating a nodal disk.

A nodal disk S with multiple nodes
$w_{ij}, i,j \in \{ 1,\ldots , k\}, i \neq j$
is obtained by repeating this construction (2.3) with
$S_1,S_2$
nodal disks with fewer nodes, and
$w_{12}, w_{21}$
distinct from the other nodes. More generally we allow boundary and interior markings. For an integer
$d \ge 0$
a nodal disk with
$d+1$
boundary markings is a nodal disk S equipped with a finite ordered collection of points
$\underline {\smash {x}} = (x_0,\ldots ,x_d)$
on the boundary
$\partial S$
, disjoint from the nodes, in anticlockwise cyclic order around the boundary
$\partial S$
. A
$(d+1)$
-marked nodal disk
$(S,\underline {\smash {x}})$
is stable if each component
$S_v$
has at least three special (nodal or marked) points, or equivalently the group
$ \operatorname {Aut} (S,\underline {\smash {x}})$
of automorphisms of S leaving
$\underline {\smash {x}}$
pointwise fixed is trivial. The moduli space of
$(d+1)$
-marked stable disks
$ [(S,\underline {\smash {x}})]$
forms a compact cell complex, isomorphic as a cell complex to the associahedron from Stasheff [Reference StasheffSta63, Reference StasheffSta70].
More complicated configurations involve spherical components. A marked sphere is a complex surface biholomorphic to the projective line
$S^2 \cong \mathbb {P}^1$
together with a distinct ordered list of markings
$z_1, \ldots , z_k\in S^2$
. A nodal disk S with a single interior node
$w \in S$
is defined similarly to that of a boundary node by using the construction (2.3), except in this case S is obtained by gluing together a nodal disk
$S_1$
with a marked sphere
$S_2$
with
$w_{12}, w_{21}$
points in the interior
$\operatorname {int}(S)$
.
General treed disks are defined as in Oh [Reference OhOh93], Cornea-Lalonde [Reference Cornea and LalondeCL06], Biran-Cornea [Reference Biran and CorneaBC07, Reference Biran and CorneaBC09] and Seidel [Reference SeidelSei11].
Definition 2.4 (Treed disks, domain types)
-
(a) A combinatorial type for treed disks (or a domain type) is a two-coloured tree
$\Gamma $
together with a metric type
${\underline {\smash {\ell }}}$
(see Definition 2.2) and a weighting type
${\underline {\operatorname {wt}}}$
(see Definition 2.3). To save notations, we often abbreviate a domain type
$(\Gamma , {\underline {\smash {\ell }}}, {\underline {\operatorname {wt}}})$
by
$\Gamma $
. -
(b) A treed disk C of domain type
$(\Gamma , {\underline {\smash {\ell }}}, {\underline {\smash {w}}})$
consists of the surface part (where
$$\begin{align*}S = (S_v, \underline{\smash{x}}_v, {\underline{\smash{z}}}_v)_{v\in \operatorname{Vert}(\Gamma)} \end{align*}$$
$\underline {\smash {x}}_v$
resp.
${\underline {\smash {z}}}_v$
denotes the ordered set of boundary resp. interior markings), a tree part (where
$$\begin{align*}T = (T_e)_{e \in {\operatorname{Edge}}(\Gamma)}, \end{align*}$$
$T_e$
is a finite interval of a certain length
$\ell (e)$
if e is combinatorially finite, a semi-infinite interval
$[0, +\infty )$
or
$(-\infty , 0]$
if e is semi-infinite, so that
$(\Gamma , \ell )$
becomes a metric tree whose metric type agrees with
${\underline {\smash {\ell }}}$
Footnote 5), a weighting whose underlying weighting type agrees with
$$\begin{align*}\operatorname{wt}: {\operatorname{Edge}}_{\rightarrow}(\Gamma) \to [0,1] \end{align*}$$
${\underline {\smash {\operatorname {wt}}}}$
, and nodal points These data must satisfy the following conditions: for each vertex
$$\begin{align*}z_{e, +} \in S_{h(e)},\ z_{e, -} \in S_{t(e)},\ \forall e \in {\operatorname{Edge}}(\Gamma). \end{align*}$$
$v\in \mathrm {Vert}(\Gamma )$
, the set of special points, i.e., the collection of boundary and interior markings and nodal points are distinct. See Figure 4 for a typical configuration of a treed disk. To a treed disk C we associate a compact topological space
$S \cup T$
obtained by gluing different components in the obvious way. Each such space
$S \cup T$
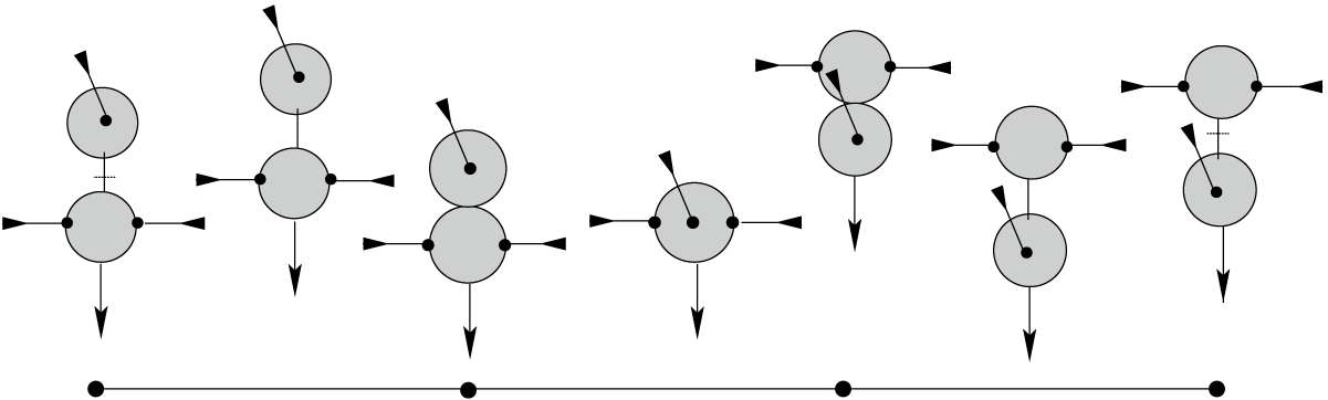
includes a finite subset of points corresponding to the breakings and infinities of semi-infinite edges.Figure 4A treed disk with three disk components and one sphere component, and its combinatorial type.

-
(c) An isomorphism of treed disks
$\phi $
from
$C = S \cup T$
to
$C' = S' \cup T'$
consists of an isomorphism
$\psi : (\Gamma , \ell , \operatorname {wt}) \to (\Gamma ', \ell ', \operatorname {wt}')$
of underlying weighted metric trees, a collection of conformal isomorphisms of disks or spheres preserving the markings and special points, and a collection of length-preserving isomorphisms
$$\begin{align*}\phi_v: S_v \to S_{\psi(v)}', \quad v \in \operatorname{Vert}(\Gamma) \end{align*}$$
of intervals.
$$\begin{align*}\phi_e: T_e \to T_{\psi(e)}', \quad e \in \operatorname{Edge}(\Gamma) \end{align*}$$
-
(d) A treed disk is stable if its underlying combinatorial type is stable (see Definition 2.1).Footnote 6
Remark 2.5. There is a natural partial order among all stable domain types, denoted by
$\Gamma ' \preceq \Gamma $
. Instead of giving the full definition, we only recall the typical situations. These typical situations include the case of bubbling off holomorphic spheres, bubbling off holomorphic disks and breaking of gradient lines, in which
$\Gamma '$
is obtained from
$\Gamma $
by a change of the underlying tree. Moreover, when the length of an edge of
$\Gamma $
changes from positive to zero, one obtains a different type
$\Gamma ' \prec \Gamma $
by changing the metric type; when the weighting of one or more semi-infinite edges of
$\Gamma $
changes to zero or one, one also obtains a different type
$\Gamma ' \prec \Gamma $
by changing the weighting type accordingly. In general,
$\Gamma ' \preceq \Gamma $
if
$\Gamma '$
can be obtained from
$\Gamma $
by finitely many such changes. We emphasize that each partial order relation
$\Gamma ' \preceq \Gamma $
induces a unique tree map from
$\Gamma '$
to
$\Gamma $
, that is, a surjective map
$\rho _V: \mathrm {Vert}(\Gamma ') \to \mathrm {Vert}(\Gamma )$
that preserves the partial order among vertices and sends
$\mathrm {Vert}(\Gamma _\circ ')$
onto
$\mathrm {Vert}(\Gamma _\circ )$
, as well as a bijection
$\mathrm {Leaf}_\circ (\Gamma ') \cong \mathrm {Leaf}_\circ (\Gamma )$
and a bijection
$\mathrm {Leaf}_\bullet (\Gamma ') \cong \mathrm {Leaf}_\bullet (\Gamma )$
.
The moduli spaces of stable weighted treed disks are naturally cell complexes. Suppose
$\Gamma $
is a stable domain type with
$d(\circ )$
boundary inputs and
$d(\bullet )$
interior leaves. Let
${\mathcal {M}}_\Gamma $
denote the set of all isomorphism classes of treed disks of type
$\Gamma $
, with its natural topology induced by embedding in the product of the moduli space of stable trees and stable disks. The space
${\mathcal {M}}_\Gamma $
is a manifold of dimension

Denote
As in the definition of Gromov convergence of pseudoholomorphic curves, there is a natural way to endow
$\overline {\mathcal {M}}_\Gamma $
a compact Hausdorff topology that agrees on the manifold topology on each stratum
${\mathcal {M}}_{\Gamma '}$
, so that
$\overline {\mathcal {M}}_\Gamma $
is a cell complex with
${\mathcal {M}}_\Gamma $
equal to the top cell.
Remark 2.6. The moduli spaces of weighted treed disks are related to unweighted moduli spaces by taking products with intervals: If
$\Gamma $
has at least one vertex and
$\Gamma '$
denotes the domain type obtained from
$\Gamma $
by setting the weights
$w (e)$
to zero and the output
$e_{\mathrm {out}}$
of
$\Gamma $
is unweighted then
If the outgoing edge
$e_{\mathrm {out}}$
is weighted then
because of the way we define isomorphism of weighted types (see Definition 2.3). Figure 5 illustrates a one-dimensional moduli space with weighted output and its boundary strata.
A one-dimensional moduli space of weighted treed disks with all three semi-infinite edges weighted.

In general, moduli spaces of stable curves only admit universal curves in an orbifold sense. In the setting here, orbifold singularities are absent and the moduli spaces of stable treed disks admit honest universal curves. For any stable domain type
$\Gamma $
let
$\overline {\mathcal {U}}_\Gamma $
denote the universal treed disk (or called the universal curve) consisting of isomorphism classes of pairs
$(C,z)$
where C is a treed disk of type
$\Gamma $
and z is a point in C, possibly on a disk component
$S_v \cong \{ |z| \leq 1 \}$
, a sphere component
$S_v \cong \mathbb {P}^1$
, or one of the edges e of the tree part
$T \subset C$
(the infinities of semi-infinite edges are allowed). The map
is the universal projection. Moreover, for each
$[C]\in \overline {\mathcal M}_\Gamma $
represented by C, the fibre
$\pi _\Gamma ^{-1}([C])$
is homeomorphic to C. In case
$\Gamma $
has no vertices we define
$\overline {\mathcal {U}}_\Gamma $
to be the real line, considered as a fiber bundle over the point
$\overline {\mathcal {M}}_\Gamma $
.
Treed disks with interior leaves.

We introduce notation for particular subsets of the universal curves. First, for each vertex
$v \in \mathrm {Vert}(\Gamma )$
, let
denote the closed subset corresponding to points on the surface component
$S_v$
and on the semi-infinite edges attached to v. For each boundary edge
$e \in {\operatorname {Edge}}(\Gamma _\circ )$
, let
the closed subset corresponding to points on the tree component
$T_e$
. Denote
$$ \begin{align} \overline{\mathcal{S}}_\Gamma:= \bigcup_{v \in \mathrm{Vert}(\Gamma)} \overline{\mathcal{U}}_{\Gamma, v} \end{align} $$
and
$$ \begin{align} \overline{\mathcal{T}}_\Gamma:= \bigcup_{e \in {\operatorname{Edge}}(\Gamma_\circ)} \overline{\mathcal{U}}_{\Gamma, e}. \end{align} $$
Moreover, for each subtree
$\Pi \subset \Gamma $
(not necessarily containing the root), denote by
the set of points z on components
$S_v,T_e$
corresponding to vertices v and edges e of
$\Pi $
. There is a contraction map
$\overline {\mathcal {U}}_{\Gamma , \Pi } \to \overline {\mathcal {U}}_{\Pi }$
contracting edges not in
$\Gamma $
. In particular, for the disk part
$\Gamma _\circ $
, one has
$ \overline {\mathcal {U}}_{\Gamma , \Gamma _\circ } \subset \overline {\mathcal {U}}_{\Gamma }.$
Lastly, for
$\Pi \preceq \Gamma $
, one has a boundary stratum
$ \overline {\mathcal {U}}_{\Pi } \subset \overline {\mathcal {U}}_\Gamma .$
The boundary of each treed disk is divided up into parts between the boundary inputs. Denote by
$(\partial C)_i$
the component of
$\partial C$
between the i-th and
$i+1$
-st leaves, in cyclic order. Similarly, denote i-th boundary part of the universal curve
$ \partial _i \overline {\mathcal {U}}_\Gamma \subset \overline {\mathcal {U}}_\Gamma $
.
2.3 Rational branes
In this subsection, we specify assumptions and additional data on the Lagrangian submanifolds in our construction. Let
$(X, \omega )$
be a compact symplectic manifold. Let
${\mathcal L} = \{ L_1, \ldots , L_m\}$
be a collection of embedded Lagrangian submanifolds in
$(X, \omega )$
. Denote the support of
${\mathcal L}$
to be
By a brane we will mean a flat
$\Lambda ^\times $
bundle
${\widehat {L}}$
over L, where L is an (oriented, spin, embedded) Lagrangian submanifold. By a weakly unobstructed brane we will mean a pair
${\boldsymbol {L}} = ({\widehat {L}}, b)$
, where
${\widehat {L}}$
is a brane and b is a Maurer-Cartan element of the curved
$A_{\infty }$
algebra of
${\widehat {L}}$
.
Definition 2.7 (Rational Lagrangian)
The collection of Lagrangians
$\mathcal {L}$
is called rational if there exists a line bundle with connection
$\hat X \to X$
with curvature
$(2\pi k /i ) \omega $
for some
$k \in \mathbb {Z}_+$
and there exists a smooth section
$s \in \Gamma (\hat X)$
that is nowhere vanishing along
$|\mathcal {L}|$
, whose restriction to each
$L \in \mathcal {L}$
is flat with respect to the connection on
$\hat X$
. The collection
$\mathcal {L}$
is called exact in an open subset
$U\subset X$
if
-
(a)
$|\mathcal {L}| \subset U$
; -
(b) there is a 1-form
$\theta \in \Omega ^1(U)$
such that
$\omega |_U = d\theta $
; -
(c) there exists a continuous function
$f: |\mathcal {L}| \to {\mathbb R}$
whose restriction to each
$L \in \mathcal {L}$
is smooth and
$$\begin{align*}\theta|_L = d(f|_L). \end{align*}$$
From now on, we assume that
$[\omega ]$
is integral, for simplicity, and
$\mathcal {L}$
is rational:
Hypothesis 2.8. The collection
${\mathcal L}$
satisfies the following conditions.
-
(a) Each
$L \in {\mathcal L}$
is connected, oriented and equipped with a spin structure. -
(b) For each pair
$L, L'$
in
${\mathcal L}$
, their intersection is clean, oriented and equipped with a spin structure.Footnote 7 -
(c)
${\mathcal L}$
is rational as in Definition 2.7.
2.3.1 Bulk deformation
Bulk deformations used in this paper are linear combinations of disjoint embedded closed submanifolds
$\mathfrak {b}_1,\ldots , \mathfrak {b}_N \subset X$
denoted by
$$\begin{align*}\mathfrak{b} = \sum_{i=1}^N c_i \mathfrak{b}_i,\ c_i \in \Lambda\setminus \{0\}. \end{align*}$$
We assume that all
$\mathfrak {b}_i$
are oriented and have even and positive codimensions. The support of
$\mathfrak {b}$
is the union
$$\begin{align*}|\mathfrak{b}|:= \bigcup_{i = 1}^N \mathfrak{b}_i. \end{align*}$$
Remark 2.9. There will be no essential difference but only notational complexities if we allow bulk deformation to be pseudocycles rather than closed submanifolds.
2.3.2 Donaldson hypersurface
The Cieliebak-Mohnke scheme relies on the existence of Donaldson hypersurfaces, defined as follows. Given a rational symplectic manifold
$(X, \omega )$
a Donaldson hypersurface is a compact codimension two symplectic submanifold
$D \subset X$
whose Poincaré dual is a multiple
$k[\omega ]$
of
$[\omega ]$
. The positive integer k is called the degree of the Donaldson hypersurface.
Lemma 2.10 [c.f. Charest-Woodward [Reference Charest and WoodwardCW17, Section 3.1], [Reference Cieliebak and MohnkeCM07, Lemma 8.7]]
Let J be an
$\omega $
-compatible almost complex structure on X such that all Lagrangians in
$\mathcal {L}$
are totally real. For
$l \in {\mathbb N}$
sufficiently large there exist a sequence of degree l Donaldson hypersurfaces
$D = D_l \subset X$
disjoint from
$|\mathcal {L}|$
with the following properties.
-
(a)
$\mathcal {L}$
is exact in the complement
$X - D_l$
. -
(b) For each l, there is a tamed almost complex structure
$J_0 \in {\mathcal J}_{\mathrm {tame}}(X, \omega )$
making
$D_l$
almost complex such that all non-constant
$J_0$
-holomorphic spheres in X intersect
$D_l$
at finite but at least three points and all non-constant
$J_0$
-holomorphic disks with boundary in
$|\mathcal {L}|$
intersect
$D_l$
in the interior. -
(c)
$D_l$
is transverse to each component of
$\mathfrak {b}$
.
Proof. The construction is an extension of the original constructions [Reference DonaldsonDon96] [Reference AurouxAur97] [Reference Auroux, Gayet and MohsenAGM01] [Reference Pascaleff and TonkonogPT20, Theorem 3.3]. Let
$\hat X \to X$
be a line bundle whose curvature is the symplectic form (up to a factor of
$2\pi /i $
). The argument of [Reference Pascaleff and TonkonogPT20, Theorem 3.3] (which is purely local and so applies to the cleanly intersecting Lagrangian considered here) gives the existence of an approximately J-holomorphic section
of some tensor power
$\hat {X}^l$
and so that the restriction of s to each
$L \in \mathcal {L}$
is close to the given flat section on L. One obtains a symplectic hypersurface as the zero-set:
The connection one-form
$\alpha $
in the trivialization provided by s provides a primitive for the symplectic form
$\omega $
, and the fact that s is approximately flat on
$\mathcal {L}$
implies that the integral of
$\alpha $
over any loop in
$|\mathcal {L}|$
vanishes, so that
$\mathcal {L}$
is exact; see [Reference Cieliebak and MohnkeCM07, Theorem 8.1] and the modification in [Reference Charest and WoodwardCW17, Theorem 3.6]. By Cieliebak-Mohnke [Reference Cieliebak and MohnkeCM07, Corollary 8.16], for sufficiently generic tamed almost complex structures J, each non-constant J-holomorphic sphere
$u: \mathbb {P}^1 \to D $
is not contained in
$D $
and intersects D in at least three points:
On the other hand, since
$\mathcal {L}$
is exact in the complement of D, each non-constant pseudoholomorphic disk
$u: \mathbb {D} \to X$
with boundary in
$\mathcal {L}$
intersects D in at least one interior point. Transversality of D to the bulk deformation
$\mathfrak {b}$
follows as in [Reference Cieliebak and MohnkeCM07, Corollary 5.8].
Remark 2.11. The notion of approximately holomorphic can be made more precise as follows: A sequence of sections
$s_l$
of
$\hat {X}^l$
(for large l) is said to be asymptotically holomorphic with respect to the given connections and almost-complex structure if the following bounds hold: There exists a constant
$C>0$
such that, for all l and at every point of X,
where the norms of the derivatives are evaluated with respect to the metrics defined by the rescaled two-form
$l \omega $
. Such a sequence is said to be uniformly transverse to
$0$
with constant
$\eta $
if the derivative of
$s_l$
is non-zero whenever
$|s_l(x)| < \eta $
and has a right inverse bounded by
$\eta ^{-1}$
, as in [Reference Auroux, Gayet and MohsenAGM01, Definition 1]. Donaldson’s construction shows the existence of asymptotically holomorphic sections uniformly transverse to the zero section, using sequences of asymptotically holomorphic sections concentrated near a point.
2.4 Perturbations
We consider domain-dependent perturbation data defined on the universal curves. We first define a condition called locality, which our perturbation data will be required to satisfy. A similar condition plays an important role in Cieliebak-Mohnke’s approach [Reference Cieliebak and MohnkeCM07].
Notation 2.12. Let
$\Gamma = (\Gamma , {\underline {\smash {\ell }}}, {\underline {\smash {\operatorname {wt}}}})$
be a stable domain type. Recall that
$\Gamma _\circ $
is the subtree corresponding to disk components and boundary edges. For each spherical vertex
${v \in \operatorname {Vert}(\Gamma )\setminus \mathrm {Vert}(\Gamma _\circ )=: \mathrm {Vert}_\bullet (\Gamma )}$
, let
$\Gamma (v)$
denote the subtree of
$\Gamma $
consisting of the vertex v and all edges e of
$\Gamma $
meeting v. Let
be the product of maps, where
$\pi _1$
is given by projection followed by the forgetful morphism and
$\pi _2$
is the contraction
$C \to S_v$
.
Definition 2.13 (Locality)
Let Z be a set. A map
$f: {\mathcal {U}}_\Gamma \to Z$
is called local if the following two conditions are satisfied.
-
(a) For each spherical vertex
$v\in \mathrm {Vert}_\bullet (\Gamma )$
, the restriction of f to
${\mathcal U}_{\Gamma , v}$
factors through a map
$f_v$
as in the commutative diagram 
-
(b) Let
${\mathcal U}_{\Gamma , \Gamma _\circ }$
be the union of the tree part
${\mathcal T}_\Gamma $
and
${\mathcal U}_{\Gamma , v}$
for all disk vertices
$v \in \mathrm {Vert}_\circ (\Gamma )$
. Then there is a contraction map We require that the restriction of f to
$$\begin{align*}{\mathcal U}_{\Gamma, \Gamma_\circ} \to {\mathcal U}_{\Gamma_\circ}. \end{align*}$$
${\mathcal U}_{\Gamma , \Gamma _\circ } \subset {\mathcal U}_\Gamma $
is equal to the pullback of a map
$f_\circ : {\mathcal U}_{\Gamma _\circ } \to Z$
.
A map
$f: \overline {\mathcal {U}}_\Gamma \to Z$
is local if the restriction of f to any stratum
${\mathcal {U}}_\Pi \subset \overline {\mathcal U}_\Gamma $
for
$\Pi \prec \Gamma $
is a local map.
Remark 2.14. Locality implies the following gluing construction: for any sphere vertex
$v \in \operatorname {Vert}_{\bullet } (\Gamma )$
let
$\Gamma '$
denote the type of graph obtained by removing all but one interior leaf
$e \in \operatorname {Leaf} (\Gamma )$
meeting v and collapsing any unstable component. Then on the complement of
$S_v$
and possibly other collapsed components, f is equal to the pull-back of a map from
$\mathcal {U}_{\Gamma '}$
to Z.
2.4.1 Supports of perturbations
In this section, we construct open sets where the perturbations are required to vanish. Let
$\overline {\mathcal {S}}_\Gamma $
and
$\overline {\mathcal {T}}_\Gamma $
be the universal surface and tree from (2.4) and (2.5).
Lemma 2.15. For all stable combinatorial types
$\Gamma $
, there exist collections of open subsets (where the complex structure J, the Hamiltonian perturbations H, or the Morse functions F will be fixed)
satisfying the following properties.
-
(a) The open set
$\overline {\mathcal {S}}_{\Gamma , J}$
intersects with any fiber
$C = S \cup T \subset \overline {\mathcal {U}}_\Gamma $
at a neighbourhood of all special points on the surface part so that for all
$v \in \operatorname {Vert}(\Gamma )$
, the complement of
$\overline {\mathcal {S}}_{\Gamma , J}$
has non-empty intersection with
$S_v$
; -
(b) The intersection of
$\overline {\mathcal S}_{\Gamma , H}$
with each fibre
$C = S \cup T \subset \overline {\mathcal U}_\Gamma $
contains all spherical components and a neighbourhood of all nodal points. Moreover, the complement of
$\overline {\mathcal S}_{\Gamma , H} \cap C$
has a non-empty intersection with each disk component
$S_v \subset S$
. -
(c) The open set
$\overline {\mathcal {T}}_{\Gamma , F}$
is a neighbourhood of the locus corresponding to infinities of semi-infinite edges in all degenerations
$\Pi \prec \Gamma $
. -
(d) If
$\Gamma $
is separated by a breaking into two subtrees
$\Gamma _1$
and
$\Gamma _2$
, then
$\overline {\mathcal {S}}_{\Gamma , *}$
resp.
$\overline {\mathcal {T}}_{\Gamma , *}$
is the product where
$$\begin{align*}\overline{\mathcal{S}}_{\Gamma_1, *}\boxtimes \overline{\mathcal{S}}_{\Gamma_2, *}\ \mathrm{resp.}\ \overline{\mathcal{T}}_{\Gamma_1, *}\boxtimes \overline{\mathcal{T}}_{\Gamma_2, *} \end{align*}$$
etc.
$$ \begin{align*}\overline{\mathcal{S}}_{\Gamma_1, *}\boxtimes \overline{\mathcal{S}}_{\Gamma_2, *} = \pi_1^{-1} (\overline{\mathcal{S}}_{\Gamma_1, *}) \times \pi_2^{-1}( \overline{\mathcal{S}}_{\Gamma_2, *})\end{align*} $$
-
(e) The characteristic functions of
$\overline {\mathcal {S}}_{\Gamma , *}$
and
$\overline {\mathcal {T}}_{\Gamma , *}$
, viewed as maps from
$\overline {\mathcal {U}}_\Gamma $
to
$\{0, 1\}$
, are local maps.
The proof is left to the reader. We need to specify certain Banach space norms on perturbation data. After taking away the open sets
$\overline {\mathcal {S}}_{\Gamma , J}$
and
$\overline {\mathcal {T}}_{\Gamma , F}$
, the surface part and the tree part of the universal curve
$\overline {\mathcal {U}}_\Gamma $
, the complements
are smooth manifolds. To measure the norms of smooth functions we choose Riemannian metrics on these complements in a way that the metrics are local functions on the universal curve and respect degeneration of curves. We omit the details.
2.4.2 Spaces of almost complex structures
In this section, we introduce domain-dependent perturbations and their spaces. The Cieliebak-Mohnke method in [Reference Cieliebak and MohnkeCM07] provides for each energy bound
$E>0$
an open neighbourhood
${\mathcal J}_{\mathrm {tame}}^E(X, \omega )$
of the base almost complex structure
$J_0$
consisting of almost complex structures J for which all non-constant J-holomorphic spheres
$u: S^2 \to X$
of energy at most E intersect the Donaldson hypersurface D at finite but at least three points, that is,
$\# u^{-1}(D) \ge 3$
. On the other hand, the domain types, especially the numbers of interior markings
${\underline {\smash {z}}}$
provide a priori bounds for energy, which allow us to define suitable spaces of perturbations.
Notation 2.16. Let
$\Gamma $
be a stable domain type. Let
where k is the degree of the Donaldson hypersurface D.
We define suitable spaces of almost complex structures that do not allow holomorphic spheres in the Donaldson hypersurface. Assume that
$ J_0 \in {\mathcal J}_{\mathrm {tame}}(X, \omega ) $
is a base almost complex structure satisfying the conditions in Proposition 2.10.
Lemma 2.17 [Reference Cieliebak and MohnkeCM07, Corollary 8.16]
For any
$E>0$
, there exists an open neighbourhood
${\mathcal J}_{\mathrm {tame}}^E(X, \omega ) \subset {\mathcal J}_{\mathrm {tame}}(X, \omega )$
of
$J_0$
in the
$C^\infty $
-topology satisfying the following property: For every
$J \in {\mathcal J}_{\mathrm {tame}}^E(X, \omega )$
, all non-constant J-holomorphic spheres with energy at most E intersect D in finitely many but at least three points.
2.4.3 The space of domain-dependent perturbations
Definition 2.18. A perturbation datum for a stable domain type
$\Gamma $
is a collection
${P_\Gamma = (J_\Gamma , H_\Gamma , F_\Gamma , M_\Gamma )}$
consisting of
-
(a) A domain-dependent almost complex structure
satisfying the following conditions.
$$\begin{align*}J_\Gamma: \overline{\mathcal{S}}{}_\Gamma \to \mathcal{J}_{\mathrm{tame}} (X, \omega) \end{align*}$$
-
(i) For any vertex
$v \in \mathrm {Vert} (\Gamma )$
, let
$\Gamma _{(v)}$
be the maximal subtree containing v which has no boundary edges with positive length. Then Here
$$\begin{align*}J_\Gamma( \overline{\mathcal U}_{\Gamma, v}) \subset \mathcal{J}_{\mathrm{tame}}^{E(\Gamma_{(v)})}(X, \omega). \end{align*}$$
$E(\Gamma )$
is the energy bound defined by (2.7).
-
(ii)
$J_\Gamma $
is equal to the base almost complex structure
$J_0$
over the open subset
$\overline {\mathcal {S}}_{\Gamma , J}$
and in a fixed neighbourhood of
$D \cup \{p\}$
.
$J_\Gamma $
extends canonically to a map on
$\overline {\mathcal U}_\Gamma $
.
-
-
(b) A domain-dependent Hamiltonian perturbation
that is zero over the open set
$$\begin{align*}H_\Gamma: \overline{\mathcal S}_\Gamma \to \Gamma( T(\overline{\mathcal S}_{\Gamma})^* / T \overline{\mathcal M}_\Gamma)^*)\otimes C^\infty(X). \end{align*}$$
$\overline {\mathcal S}_{\Gamma , H}$
. Here
$T(\overline {\mathcal S}_{\Gamma } / \overline {\mathcal M}_\Gamma )$
is the vertical tangent bundle, which is a smooth vector bundle away from nodal points. The last condition implies that
$H_\Gamma $
extends canonically to a map defined over
$\overline {\mathcal U}_\Gamma $
.
-
(c) A domain-dependent smooth function
that is zero over the open set
$$\begin{align*}F_\Gamma: \overline{\mathcal{T}}_\Gamma \times \left(\bigsqcup_{(L, L') \in {\mathcal{L}}^2} (L \cap L' ) \right) \to {\mathbb R} \end{align*}$$
$\overline {\mathcal T}_{\Gamma , F}$
.
-
(d) A domain-dependent perturbation of the evaluation map given by a collection of continuous maps for the interior inputs
that are smooth in the interior
$$\begin{align*}M_{\Gamma, e}: \overline{\mathcal{M}}_\Gamma \to \mathrm{Diff}(X)\ \forall e \in \mathrm{Leaf}(\Gamma) \end{align*}$$
${\mathcal {M}}_\Gamma $
(with respect to the manifold structure of
${\mathcal {M}}_\Gamma $
). Each
$M_{\Gamma , e}$
can be viewed as a map from the universal curve by pullback via
$\overline {\mathcal {U}}_\Gamma \to \overline {\mathcal {M}}_\Gamma $
.
Moreover, the tuple
$P_\Gamma = (J_\Gamma , H_\Gamma , F_\Gamma , M_\Gamma )$
can be viewed as a map from
$\overline {\mathcal {U}}_{\Gamma }$
to a certain set. We require that this map be a local map (see Definition 2.13).
We take perturbations in a small-in-the-Floer-norm neighbourhood of the base perturbation. Given a sequence of positive numbers
$\epsilon = (\epsilon _i)_{i=1}^\infty $
Floer’s (complete)
$C^\epsilon $
-norm on functions on a Riemannian manifold is defined by
$$\begin{align*}\| f \|_{{C^\epsilon}}:= \sum_{i=0}^\infty \epsilon_i \| \nabla^i f \|_{C^0}. \end{align*}$$
For a suitably chosen sequence
$\epsilon $
, in all dimensions the space of smooth functions with finite
$C^\epsilon $
-norms contains bump functions of arbitrary small supports (see [Reference FloerFlo88]). For each stable
$\Gamma $
, there is a base perturbation datum in which
$J_\Gamma $
is the base almost complex structure
$J_0$
specified by Lemma 2.10,
$H_\Gamma = 0$
,
$F_\Gamma $
is the given Morse function, and
$M_\Gamma = \mathrm {Id}_X$
. The tangent space of
${\mathcal J}_{\mathrm {tame}}(X, \omega )$
at
$J_0$
is
For
$\delta>0$
sufficiently small we identify the
$\delta $
-neighbourhood of
$J_0$
in
${\mathcal J}_{\mathrm {tame}}(X, \omega )$
with respect to the
$C^0$
-norm with the
$\delta $
-ball of the tangent space
$T_{J_0} {\mathcal J}_{\mathrm {tame}}(X, \omega )$
. Then a domain-dependent almost complex structure
$J_\Gamma : \overline {\mathcal {S}}_{\Gamma } \to {\mathcal J}_{\mathrm {tame}}(X, \omega )$
that is
$C^0$
-close to the base
$J_0$
can be viewed as a vector in the linear space
$C^\infty ( \overline {\mathcal {S}}_\Gamma \setminus \overline {\mathcal {S}}_{\Gamma , J}, T_{J_0} {\mathcal J}_{\mathrm {tame}}(X, \omega ))$
so one can measure its norms. Similarly, a domain-dependent diffeomorphism
$M_{\Gamma , e}: X \to X$
that is
$C^0$
-close to the identity can be identified with a
$C^0$
-small vector field on X, denoted by
$M_{\Gamma , e} - \mathrm {Id}_X$
. On the other hand,
$H_\Gamma $
and
$F_\Gamma $
are elements of certain vector spaces. For each stable
$\Gamma $
, define
This set with the
$C^\epsilon $
-norm is a separable Banach manifold (in fact an open set of a separable Banach space).
Once a perturbation datum for a stable domain type is fixed we obtain perturbations for not-necessarily stable types as follows. Let C be a treed disk of domain type
$\Gamma $
(not necessarily stable). Let
$C^{st}$
denote its stabilization, obtained by collapsing unstable components of S and gluing the associated edges. The stabilization
$C^{st}$
is naturally identified with a fiber of the universal curve
$\mathcal {U}_{\Gamma ^{st}}$
for the type
$\Gamma ^{st}$
. Via the stabilization map
$C \to C^{st}$
the perturbation data
$P_{\Gamma ^{st}}$
pulls back to perturbation data
$P_{\Gamma }$
for
$\Gamma $
.
2.5 Holomorphic treed disks
Holomorphic treed disks are combinations of holomorphic disks and gradient flow segments. We first state the assumptions on the boundary conditions. Let
$(X, \omega )$
be a compact symplectic manifold. For each pair of Lagrangians
$(L, L') \in \mathcal {L}^2$
(including the case
$L = L'$
) let
be a Morse function on the clean intersection. Its critical points will be asymptotic constraints for gradient rays. In order to obtain strict units, we expand the set of critical points as follows. Define
$$ \begin{align} {\mathcal I}(L, L') = \left\{ \begin{array}{@{}ll} \mathrm{crit}(F_{L, L'}),\ &\ L \neq L',\\ \mathrm{crit}(F_{L, L'}) \cup {\mathcal I}_L^{hu},\ &\ L = L'. \end{array}\right. \end{align} $$
where
Interior labelling data provide constraints of maps at interior markings. The stabilizing divisor
$D \subset X$
which intersects each
$\iota _i$
transversely. Denote
where
$$ \begin{align*} \mathcal{I}_{X,\operatorname{Stab}} &:= \{ (D, 1), (D, 2) \}, \\ \mathcal{I}_{X,\operatorname{Bulk}} &:= \{ {\mathfrak b}_i\ |\ i = 1, \ldots, N \}, \\ {\mathcal I}_{X,\operatorname{Mix}} &:= \{ D \cap {\mathfrak b}_i\ |\ i = 1, \ldots, N\} \cup \{ {\mathfrak b}_i \cap {\mathfrak b}_j\ |\ i \neq j \}. \end{align*} $$
which will be used to label all possibly interior constraints (eventually corresponding to whether each interior leaf
$T_e$
corresponds to a Morse trajectory, intersection with stabilizing divisor D, or intersection with the bulk deformation
$\mathfrak {b}$
.) The elements
$(D, 1)$
,
$(D, 2)$
will indicate tangency order to the stabilizing divisor, so a map
$u: C \to X$
with constraint
$z_e \in C$
of type
$(D,1)$
has
$u(z_e) \in D$
resp. of type
$(D, 2)$
has
$u(z_e)$
and the normal derivatives of u at
$z_e$
vanish.
Definition 2.19 (Map types)
Given a domain type
$\Gamma $
of treed disks with d inputs, a map type consists of
-
(a) A boundary constraint datum given by a sequence of Lagrangian branes
labelling the boundary components of treed disks. For each boundary edge
$$\begin{align*}{\underline{\smash{L}}}:= (L_0, L_1, \ldots, L_d) \end{align*}$$
${e \in {\operatorname {Edge}}(\Gamma _\circ )}$
there is then an ordered pair
$(L_{e, -}, L_{e, +})$
of branes induced from the datum
$\underline {\smash {L}}$
. Abbreviate
$$\begin{align*}L_e:= (L_{e, -} \cap L_{e, +}) \end{align*}$$
-
(b) A corner constraint datum given by a sequence of elements
satisfying the following requirement regarding the weighting types. The i-th leaf
$$\begin{align*}\underline{\smash{x}}:= (x_0, x_1, \ldots, x_d) \in {\mathcal I}(L_0, L_d) \times {\mathcal I}(L_0, L_1) \times \cdots \times {\mathcal I}(L_{d-1}, L_d) \end{align*}$$
$e_i$
has weight
$\rho = 1$
resp.
$\rho \in (0, 1)$
if and only if for some
$L \in \mathcal {L}$

-
(c) A homology datum which is a map
$$\begin{align*}\underline{\smash{\beta}}: \mathrm{Vert}(\Gamma) \to H_2(X, |{\mathcal L}|). \end{align*}$$
-
(d) An interior constraint datum which is a collection of labels
(2.12)such that on each maximal subtree of
$$ \begin{align} {\underline{\smash{\lambda}}}: \mathrm{Leaf}_\bullet(\Gamma) \to {\mathcal I}_X\end{align} $$
$\Gamma $
which has no boundary edges with positive length, there is at most one interior marking
$z_e$
labelled by
$(D ,2)$
.
A map type is denoted by
${\mathbb {\Gamma }} = (\Gamma , \underline {\smash {x}}, \underline {\smash {\beta }}, \underline {\smash {\lambda }})$
(notice that
$\underline {\smash {x}}$
determines
$\underline {\smash {L}}$
). We write
$\mathbb {\Gamma } \mapsto \Gamma $
if the underlying domain type of
$\mathbb {\Gamma }$
is
$\Gamma $
.
Perturbed treed holomorphic disks are defined by allowing the almost complex structure, and Morse function to vary in the domain. Let
$\Gamma $
be a domain type (not necessarily stable). Let
$\Gamma ^{\mathrm {st}}$
be the stabilization of
$\Gamma $
(which is not empty). Let C be a treed disk of type
$\Gamma $
and
$C^{\mathrm {st}}$
its stabilization which is of type
$\Gamma ^{\mathrm {st}}$
. Suppose we are given a perturbation datum
$P_{\Gamma ^{\mathrm {st}}}$
for type
$\Gamma ^{\mathrm {st}}$
. On each surface part
$S_v$
of C,
$P_{\Gamma ^{\mathrm {st}}}$
induces a domain-dependent almost complex structure
$J_v$
, and a domain-dependent Hamiltonian function
$H_v$
. On each tree part
$T_e$
of C,
$P_{\Gamma ^{\mathrm {st}}}$
induces a domain-dependent function
$$\begin{align*}F_{e}: T_e \times \bigsqcup_{(L_-, L_+)\in {\mathcal L}^2} (L_- \cap L_+) \to {\mathbb R}. \end{align*}$$
These data allow one to define the equations on each component. For each surface component
$S_v$
and a smooth map
$u_v: S_v \to X$
, define
$$ \begin{align*} \overline\partial_{J_v, H_v} u_v:= ({\operatorname{d}}_{H_v} u_v)^{0,1}& :=({\operatorname{d}} u_v + X_{H_v}(u_v) )^{0,1}\\ & := \frac{1}{2} ( {\operatorname{d}} u_v + J_v \circ {\operatorname{d}} u_v \circ j_v) + (X_{H_v}(u_v))^{0,1}\in \Omega^{0,1}(S_v, u_v^* TX). \end{align*} $$
We say that
$u_v$
is
$(J_v, H_v)$
-holomorphic if
$\overline \partial _{J_v, H_v} u_v = 0$
. For each tree component
$T_e$
and a smooth map
$$\begin{align*}u_e: T_e \to \bigsqcup_{(L_-,L_+)} L_- \cap L_+ \end{align*}$$
we say that
$u_e$
is a perturbed negative gradient segment if
Definition 2.20. Let
${\mathbb {\Gamma }} = (\Gamma , \underline {\smash {x}}, {\underline {\smash {\beta }}}, {\underline {\smash {\lambda }}})$
be a map type with underlying combinatorial type
$\Gamma $
of treed disks. Let
$C = S \cup T$
be a treed disk of type
$\Gamma $
. Let
$\Gamma ^{\mathrm {st}}$
be the stabilization of
$\Gamma $
and
$P_{\Gamma ^{\mathrm {st}}}$
be a perturbation datum on
$\overline {\mathcal {U}}_{\Gamma ^{\mathrm {st}}}$
. A
$P_{\Gamma ^{\mathrm {st}}}$
-perturbed adapted treed holomorphic map from C to X of map type
${\mathbb {\Gamma }}$
is a continuous map
$u : C \to X$
satisfying the following conditions (using notations specified before this definition).
-
(a) The restriction of u to the surface component
$S_v$
, denoted by
$u_v: S_v \to X$
, is
$(J_v, H_v)$
-holomorphic; moreover, if
$v\in \mathrm {Vert}_\circ (\Gamma )$
, then
$u_v$
maps each component of the boundary of
$S_v$
to the Lagrangian in
$\mathcal {L}$
labelled by
$\mathbb {\Gamma }$
. -
(b) The restriction of u to the tree component
$T_e$
is contained in
$L_e$
, denoted by
${u_e: T_e \to L_e}$
, is a perturbed negative gradient segment, namely
$$\begin{align*}u_e'(s) + \nabla F_{e}(s, (u_e(s))) = 0. \end{align*}$$
-
(c) For each semi-infinite edge e, the map
$u_e$
converges to the limit specified by the datum
$\underline {\smash {x}}$
in the sense that where
$$\begin{align*}\operatorname{ev}_e(u) := \lim_{s \to \infty} u(s) = x_e , \quad \forall e \in \operatorname{Edge}_{\rightarrow}(\Gamma) \cap \operatorname{Edge}_\circ(\Gamma) \end{align*}$$
$s \in \pm [0,\infty )$
is a coordinate on the (incoming or outgoing) edge
$T_e$
; in the case of labels
this equation is taken to mean that the limit of
$u(s)$
approaches the unique maximum
$x_{L,\mathrm{max}}$
of the Morse function
$f_L$
on
$L$
.
-
(d) For each interior leaf e attached to a vertex
$v_e$
, we require (see notations in (2.11)) Here
$$\begin{align*}u_{v_e}(z_e) \in \left\{ \begin{array}{@{}ll} D,\ &\ \underline{\smash{\lambda}}(e) = (D, 1)\ \mathrm{or}\ (D, 2),\\ M_{\Gamma, e}^{-1}( \mathfrak{b}_i),\ &\ \underline{\smash{\lambda}}(e) = \mathfrak{b}_i,\\ M_{\Gamma, e}^{-1}( D \cap \mathfrak{b}_i),\ &\ \underline{\smash{\lambda}}(e) = D \cap \mathfrak{b}_i \end{array} \right. \end{align*}$$
$M_{\Gamma , e}: X \to X$
is the diffeomorphism contained in the perturbation datum. Moreover, if
$\underline {\smash {\lambda }}(e) = (D, 2)$
and if
$u_{v_e}$
is not a constant map, then the tangency order of
$u_{v_e}$
with D is
$2$
.
The triple
$(C, u)$
is called an (adapted) treed holomorphic disk of map type
${\mathbb {\Gamma }}$
.
Isomorphisms of perturbed treed holomorphic disks are defined in a way similar to that for stable pseudoholomorphic maps. A perturbed treed holomorphic disk is called stable if its automorphism group is finite, or equivalently
-
(a) every sphere component
$u_v: S_v \to X$
with
${\operatorname {d}} u_v = {\operatorname {d}}_{H_v} u_v \equiv 0$
has at least three special points, and -
(b) every disk component
$u_v: S_v \to X$
with
${\operatorname {d}}_{H_v} u_v \equiv 0$
either has at least three boundary special points, or one boundary special point and one interior special point, or at least two interior special points. -
(c) over each infinite edge
$T_e \subset C$
the map
$u_e: T_e \to L_e$
is non-constant.
Given a map type
${\mathbb {\Gamma }} = (\Gamma , \underline {\smash {x}}, \underline {\smash {\beta }}, \underline {\smash {\lambda }})$
, denote by
$ {\mathcal {M}}_{\mathbb {\Gamma }}(P_{\Gamma ^{\mathrm {st}}}) $
the set of isomorphism classes of stable
$P_{\Gamma ^{\mathrm {st}}}$
-perturbed adapted treed holomorphic disks of map type
$\mathbb {\Gamma }$
. One can also define a Gromov topology and compactify the moduli spaces (we omit the details). We only consider the compactification for the case
$\Gamma $
is stable. In this case, the Gromov compactification is
$$ \begin{align} \overline{\mathcal{M}}_{\mathbb{\Gamma}}(P_\Gamma):= \bigsqcup_{\mathbb{\Pi} \preceq \mathbb{\Gamma}} {\mathcal{M}}_{\mathbb{\Pi}} \left(P_\Gamma|_{\overline{\mathcal{U}}_{\Pi^{\mathrm{st}}}} \right). \end{align} $$
Here the partial order
$\mathbb {\Pi } \preceq {\mathbb {\Gamma }}$
naturally extends the partial order
$\Pi \preceq \Gamma $
among domain types (see Remark 2.5 and below).
Definition 2.21 (Partial order among map types)
Let
${\mathbb {\Gamma }} = (\Gamma , \underline {\smash {x}}, {\underline {\smash {\beta }}}, {\underline {\smash {\lambda }}})$
and
${\mathbb {\Gamma }}' = (\Gamma ', \underline {\smash {x}}', {\underline {\smash {\beta }}}', {\underline {\smash {\lambda }}}')$
be two map types. We write
${\mathbb {\Gamma }}' \preceq {\mathbb {\Gamma }}$
if
$\Gamma ' \preceq \Gamma $
(which induces a morphism
$\psi : \Gamma ' \to \Gamma $
and a natural identification
$\mathrm {Leaf}_\bullet (\Gamma ) \cong \mathrm {Leaf}_\bullet (\Gamma ')$
with respect to which
$\underline {\smash {x}} = \underline {\smash {x}}'$
) and
$$\begin{align*}\beta(v) = \sum_{v' \in \psi^{-1}(v)} \beta'(v'); \end{align*}$$
moreover, for each interior leaf
$e\in \mathrm {Leaf}_\bullet (\Gamma )$
with corresponding
$e'\in \mathrm {Leaf}_\bullet (\Gamma ')$
, one has
$X_{e'} \subset X_e$
.
The composition laws of Fukaya algebras rely on the following relation among perturbation data.
Definition 2.22 Coherent perturbations)
A collection of perturbation data
for all stable domain types
$\Gamma $
are called a coherent system of perturbation data if the following conditions are satisfied.
-
(a) (Cutting-edges axiom) If a (boundary) breaking separates
$\Gamma $
into
$\Gamma _1$
and
$\Gamma _2$
then
$P_\Gamma $
is the product of the perturbations
$P_{\Gamma _1},P_{\Gamma _2}$
under the isomorphism
$$\begin{align*}\overline{\mathcal{U}}_\Gamma \simeq \pi_1^* \overline{\mathcal{U}}_{\Gamma_1} \cup \pi_2^* \overline{\mathcal{U}}_{\Gamma_2}. \end{align*}$$
-
(b) (Degeneration axiom) If
$\Gamma '\prec \Gamma $
, then the restriction of
$P_\Gamma $
to
$\overline {\mathcal {U}}_{\Gamma '}$
is equal to
$P_{\Gamma '}$
. Notice that these degenerations include the case that the weight
$\operatorname {wt}(e) $
on one weighted edge e limits to
$0$
or
$1$
(see Remark 2.5). -
(c) (Forgetful axiom) For a forgettable boundary input
$e \in \operatorname {Edge}_\circ (\Gamma )$
, let
$\Gamma _e$
be the domain type obtained from
$\Gamma $
by forgetting e and stabilizing. Then
$P_{\Gamma }$
is equal to the pullback of
$P_{\Gamma _e}$
via the contraction
$\overline {\mathcal {U}}_{\Gamma } \to \overline {\mathcal {U}}_{\Gamma _e}$
.
2.6 Transversality
In this subsection we regularize the moduli spaces used in our construction. We first review very briefly the Fredholm theory associated to treed holomorphic maps. Let
${\mathbb {\Gamma }}$
be a map type. We specify Sobolev constants
$k \in \mathbb {N}$
and
$p>0$
and a decay constant
$\delta>0$
with
$kp> 2$
and
$\delta $
sufficiently small. The set
$ {\mathcal B}^{k,p, \delta }(C, {\mathbb {\Gamma }}) $
of maps of type
${\mathbb {\Gamma }}$
has the structure of a Banach manifold. In the case without branch changes in the boundary condition, an element
$u \in {\mathcal B}^{k,p,{\delta }}(C, {\mathbb {\Gamma }})$
is defined as in Definition 2.20 without requiring the holomorphic curve and gradient flow equations and instead requiring u to be of class
$W^{k,p}_{\mathrm {loc}}$
over each surface or tree component. In the case with branch changes, that is, for each disk component
$S_v \cong {\mathbb D} \subset C$
with a boundary node or marking
$z \in \partial S_v$
with two sides of z are labelled by two different Lagrangian submanifolds, then we require the map u is of class
$W^{k, p, \delta }$
with respect to a cylindrical type metric, which means that it differs from a map constant near infinity by exponentiation of a section of class
$W^{k,p,\delta }$
. If the two sides of z are labelled by the same Lagrangian submanifold (with possibly different branes structures), then we alternatively require that the map is of class
$W^{k, p}$
with respect to the smooth metric. Tangency conditions for a maximal order m as in (2.11) are defined for k sufficiently large. Choose a perturbation datum
$P_\Gamma = (J_\Gamma , H_\Gamma , F_\Gamma , M_\Gamma )$
. Over the Banach manifold
${\mathcal B}^{k,p, \delta }(C, {\mathbb {\Gamma }}) $
there is a Banach vector bundle
${\mathcal E}^{k-1,p,{\delta }}(C, {\mathbb {\Gamma }})$
of
$0,1$
-forms of class
$k-1,p$
so that the defining equations of Definition 2.20 provide a section
combining the perturbed Cauchy-Riemann operators on the surface parts and gradient flow operators on the edges. To include the variations of the domains, one takes an open neighbourhood
$\mathcal {M}^i_\Gamma \subset {\mathcal {M}}_\Gamma $
of
$[C]$
over which the universal curve
$\mathcal {U}_\Gamma $
has a trivialization
The linearization of the map
${\mathcal F}$
at a perturbed treed holomorphic disk
$(C, u)$
is a Fredholm operator
Since the Lagrangians are always totally real with respect to the domain-dependent almost complex structures, the linearized operator is Fredholm. Its index can be calculated using Riemann-Roch for surfaces with boundary and gives the expected dimension of the moduli space
where
$\mu ({\underline {\smash {\beta }}})$
is the total Maslov index of the disk class,
$i(\underline {\smash {x}})$
is the sum of Morse indices of asymptotic constraints, and
$i ({\underline {\smash {\lambda }}})$
is the effect of interior constraints. For example, if
$\Gamma $
has k interior leaves, all of which are labelled by
$(D, 1)$
, then
$i({\underline {\smash {\lambda }}}) = 2k$
.
Following Cieliebak-Mohnke [Reference Cieliebak and MohnkeCM07], we introduce a collection of map types for which transversality can be achieved by domain-dependent perturbations.
Definition 2.23. A map type
is called uncrowded if each ghost sphere bubble tree contains at most one interior leaf e whose interior constraint is
$(D, 1)$
or
$(D, 2)$
. Otherwise
${\mathbb {\Gamma }}$
is called crowded.
Remark 2.24. Cieliebak-Mohnke perturbations can never make crowded configurations
$u: C \to X$
transversely cut out, since one can replace an interior leaf
$T_e$
with a given label D and replace it with a sphere bubble
$S_v$
with two interior leaves
$T_{e_1}, T_{e_2}$
attached with the same label D, which reduces the expected dimension of a stratum by two. Repeating this process eventually produces a non-empty moduli space of negative expected dimension, which is a contradiction if the perturbations are regular.
We will need certain forgetful maps to treat crowded configurations. Let
$\Gamma $
be a stable domain type. Choose a subset
of spherical vertices. Define
$\Gamma _W$
to be the domain type obtained by the following operation: For each connected component
$W_i \subset W$
, remove all interior leaves except the one with the largest labelling on
$W_i$
, and stabilize the remaining configuration. The set W descends to a (possibly empty) subset
$W' \in \mathrm {Vert}_{\circ }(\Gamma _W)$
. A consequence of the locality condition on the perturbation data is that each
$P_\Gamma \in {\mathcal P}_\Gamma $
descends to a perturbation datum
$P_{\Gamma _W} \in {\mathcal P}_{\Gamma _W}$
whose restriction to surface components
$S_v$
for
$v \in W'$
equals to the base almost complex structure
$J_0$
and the zero Hamiltonian perturbation.Footnote 8 Let
$ {\mathcal P}_{\Gamma _W, W'} \subset {\mathcal P}_{\Gamma _W} $
be the subset of perturbations that agree with the base almost complex structure
$J_0$
and the zero Hamiltonian over surface components corresponding to vertices in
$W'$
. This forgetful construction gives a smooth map of Banach manifolds
Indeed, this is a surjective map and essentially a projection, hence admits a smooth right inverse.
Definition 2.25. Let
$\Gamma $
be a stable domain type. A perturbation
$P_\Gamma \in {\mathcal P}_\Gamma $
is called regular if all uncrowded maps of type
${\mathbb {\Gamma }}$
with underlying domain type
$\Gamma $
are regular. The perturbation
$P_\Gamma $
is called strongly regular if for any subset
$W \subset \mathrm {Vert}_\bullet (\Gamma )$
and for any uncrowded map type
${\mathbb {\Gamma }}_W$
whose underlying domain type is
$\Gamma _W$
and whose homology classes on surface components corresponding to vertices in
$W'$
are zero, every map of type
$\mathbb {\Gamma }_W$
is regular.
The main result of this section is the regularity of moduli spaces for uncrowded map types and the selection of a coherent collection of perturbation data.
Theorem 2.26. There exist a coherent collection of perturbation data
${\underline {\smash {P}}} = (P_\Gamma )$
whose elements
$P_\Gamma $
are all strongly regular.
Proof. The proof is an induction on the possible domain types according to the partial order (see Remark 2.5). First we introduce an equivalence relation among stable domain types. We write
$\Gamma \sim \Pi $
for the equivalence relation generated by
that is, if roughly they have isomorphic disk part. Here
$\rho $
is the tree map induced from the partial order relation
$\Pi \preceq \Gamma $
(see Remark 2.5). Let
$[\Gamma ]$
denote the equivalence class of
$\Gamma $
. The partial order relation among domain types descends to an equivalence relation among their equivalence classes.
The inductive step is the following. Fix an equivalence class
$[\Gamma ]$
. Suppose we have chosen strongly regular perturbation data
$P_\Pi $
for all stable domain types
$\Pi $
with
$[\Pi ] \prec [\Gamma ]$
as well as domain types with strictly fewer boundary inputs or the same number of boundary inputs but strictly fewer interior leaves, such that the chosen collection is coherent in the sense of Definition 2.22.
Definition 2.27. For each
$\Gamma $
in this class
$[\Gamma ]$
, denote by
$ {\mathcal P}_\Gamma ^* \subset {\mathcal P}_\Gamma $
the closed Banach submanifold consisting of perturbation data whose values over all lower strata
$\overline {\mathcal {U}}_\Pi $
with
$\Pi \prec \Gamma $
and
$[\Pi ] \prec [\Gamma ]$
agree with the pre-chosen one
$P_\Pi $
.
We prove the following sublemma.
Sublemma There is a comeager subset
${\mathcal P}_\Gamma ^{*, \mathrm {reg}} \subset {\mathcal P}_\Gamma ^*$
whose elements are regular.
Proof of the sublemma
Let
$\mathcal {M}^i_\Gamma $
be a subset of
$\mathcal {M}_\Gamma $
over which the universal curve
$\mathcal {U}_\Gamma $
is trivial, and
$\mathcal {U}_\Gamma ^i$
the restriction of
$\mathcal {U}_\Gamma $
to
$\mathcal {M}^i_\Gamma $
. For each uncrowded map type
${\mathbb {\Gamma }}$
with underlying domain type
$\Gamma $
, consider the universal moduli space
of maps with domain in
$\mathcal {U}_\Gamma ^i$
together with a perturbation datum
$P_\Gamma $
. By the Sard-Smale theorem, this sublemma can be proved once we show the regularity of the local universal moduli space. Suppose this is not the case, so that for some
$(u, P_\Gamma )$
the linearization of the defining equation of the universal moduli is not surjective.
Then there exists a non-zero section
$\eta $
in the
$L^2$
-orthogonal complement of the image of the linearized operator, or equivalently, in the kernel of the formal adjoint of the linearized operator. By elliptic regularity,
$\eta $
is actually smooth. We will derive a contradiction by showing that each component of
$\eta $
vanishes identically on that component.
Step One. The form
$\eta $
vanishes on any non-constant sphere component
$u_v: S_v \to X$
. By our assumption on the domain-dependent Hamiltonian perturbation
$H_\Gamma $
(see Lemma 2.15 and Definition 2.18),
$H_\Gamma $
vanishes on spherical components. Since the support of the perturbation
$J_{\Gamma , v}$
has non-zero intersection with
$S_v$
, the restriction
$\eta _v$
of
$\eta $
to
$S_v$
must vanish over a non-empty open set of
$S_v$
. The unique continuation principle for first-order elliptic equation implies that
$\eta _v$
vanishes identically.
Step Two. The form
$\eta $
vanishes on any disk component
$u_v: S_v \cong {\mathbb D} \to X$
corresponding to the vertex
$v \in \mathrm {Vert}(\Gamma _\circ )$
. Suppose that
${\operatorname {d}}_{H_v} u_v$
is not identically zero. Then
${\operatorname {d}}_{H_v} u_v$
is non-zero over a non-empty open subset
$U \subset S_v$
with
$u_v(U)$
is disjoint from the neighbourhood of D where
$J_v \equiv J_0$
. By orthogonality to images of deformation of
$J_v$
over U,
$\eta _v$
is zero over U. Unique continuation principle shows that
$\eta _v$
vanishes identically. Suppose
$u_v$
is covariantly constant, i.e.,
$d_{H_v} u_v \equiv 0$
. Then
$u_v(S_v)$
has a non-empty intersection with the neighbourhood of
$|\mathcal {L}|$
where one can perturb the Hamiltonian
$H_v$
. This again shows that
$\eta _v$
vanishes on a non-empty open subset of
$S_v$
, and so vanishes identically on
$S_v$
by the unique continuation principle.
Step Three. The form
$\eta $
vanishes on each edge
$T_e$
with positive length
$\ell (e)> 0$
. First, for an edge
$T_e$
with positive or infinite length
$\ell (e) \in \{ 0, \infty \}$
, if the gradient segment
$u_e: T_e \to L_e$
is mapped into a positive dimensional target
$L_e$
, then since the support of the perturbation
$F_{e}$
is non-empty, it also follows that the restriction
$\eta _e$
to
$T_e$
vanishes identically. If
$L_e$
is zero-dimensional, then by definition
$\eta _e \equiv 0$
.
Step Four. The form
$\eta $
vanishes on each ghost sphere component
$S_v \cong \mathbb {P}^1, {\operatorname {d}} u_v = 0$
. Let
$u_v: S_v \to X$
be a constant map with value
$x_v \in X$
. For any domain-dependent almost complex structure, the linear map
is surjective with kernel equal to the finite dimensional subspace of constant vector fields
$\xi $
on
$S_v$
. However, there might be constraints coming from special points on this component. For this we use the uncrowdedness condition. Consider a maximal ghost sphere tree
$W \subset \mathrm {Vert}(\Gamma )$
. By the above argument for ghost disk components, we may assume that W contains only spherical vertices
$v \in \operatorname {Vert}_{\bullet }(\Gamma )$
. There is at most one special point
$z_e$
on the corresponding curve
$C_W \subset C$
which is constrained by
$(D, m)$
; this condition puts a two-dimensional constraint on a constant vector field
$\xi $
restricted to
$C_W$
. For any other interior marking
$z_e$
, one can use the deformation of the diffeomorphism
$M_{\Gamma , e}$
to allow variations in
$\xi $
while preserving the constraints. For any node connecting
$C_W$
to a non-constant component, the constraints are transversely cut out using the fact that the linearized operator is surjective on deformations on the adjacent non-constant components even vanishing at the node. Thus the form
$\eta $
vanishes on components in W.
Next we construct a comeager subset of strongly regular perturbations. For any subset
$W \subset \mathrm {Vert}_\bullet (\Gamma )$
, consider the domain type
$\Gamma _W$
with a descent subset
$W' \subset \mathrm {Vert}_\bullet (\Gamma _W)$
. The trees
$\Gamma _W$
and
$\Gamma $
have isomorphic disk parts. Hence the pre-chosen perturbations provides a subset
${\mathcal P}_{\Gamma _W, W'}^* \subset {\mathcal P}_{\Gamma _W, W'}$
consisting perturbations whose values are fixed precisely over strata
$\Pi '$
with
$[\Pi '] \prec [\Gamma _W]$
. Moreover, the forgetful map (2.14) restricts to a forgetful map
which has a right inverse given by pullback. By the same argument as the proof of the above sublemma, there is a comeager subset
${\mathcal P}_{\Gamma _W, W'}^{*, \mathrm {reg}}$
consisting of perturbations
$P_{\Gamma _W}$
that regularize moduli spaces
${\mathcal {M}}_{{\mathbb {\Gamma }}_W}(P_{\Gamma _W})$
for map types
${\mathbb {\Gamma }}_W$
that are ghost on surface components corresponding to vertices in
$W'$
. Define
$$\begin{align*}{\mathcal P}_{\Gamma}^{*, \mathrm{s.reg}}:= \bigcap_{W \subset \mathrm{Vert}_\bullet(\Gamma)} \pi_W^{-1} ( {\mathcal P}_{\Gamma_W, W'}^{*, \mathrm{reg}}). \end{align*}$$
This subset is still comeager and all its elements are strongly regular.
Lastly, we choose perturbations for each strata extending the pre-chosen perturbations on lower-dimensional strata. We define smaller comeager subsets
${\mathcal P}_\Gamma ^{**}$
inductively as follows. If
$\Gamma $
is a smallest element of the equivalence class
$[\Gamma ]$
, then define
${\mathcal P}_{\Gamma }^{**}:= {\mathcal P}_{\Gamma }^{*, \mathrm {s.reg}}$
. Suppose for a general
$\Gamma $
in
$[\Gamma ]$
one has defined
${\mathcal P}_{\Gamma '}^{**}$
for all
$\Gamma ' \prec \Gamma $
with
$[\Gamma '] = [\Gamma ]$
. Define
$$\begin{align*}{\mathcal P}_{\Gamma}^{**}:= {\mathcal P}_{\Gamma}^{*, \mathrm{s.reg}} \cap \bigcap_{\substack{\Gamma' \prec \Gamma \\ [\Gamma'] = [\Gamma]}} \pi_{\Gamma, \Gamma'}^{-1}( {\mathcal P}_{\Gamma'}^{**}). \end{align*}$$
Here
$\pi _{\Gamma , \Gamma '}: {\mathcal P}_\Gamma \to {\mathcal P}_{\Gamma '}$
is the map defined by restricting to boundary strata. Then we have defined
${\mathcal P}_{\Gamma }^{**}$
for all
$\Gamma $
in this equivalence class. The equivalence class
$[\Gamma ]$
has a unique maximal element
$\Gamma _{\mathrm {max}}$
. Choose an arbitrary perturbation
$P_{\Gamma _{\mathrm { max}}}\in {\mathcal P}_{\Gamma _{\mathrm {max}}}^{**}$
. By boundary restriction this choice induces
$P_\Gamma $
for all
$\Gamma $
in this equivalence class. By construction, all these
$P_\Gamma $
extend the existing perturbations on lower-dimensional strata. By induction, one obtains the claimed collection
${\underline {\smash {P}}}$
.
Remark 2.28. We could use more restricted types of Hamiltonian perturbations. Indeed, we only need to regularize the potential constant disks at intersections of two or more different Lagrangian submanifolds. Therefore, we only need to turn on the Hamiltonian perturbation in a small open neighbourhood of such intersections. In particular, if there is an embedded Lagrangian submanifold L supporting different branes in
$\mathcal {L}$
and L does not intersect other branes in
$\mathcal {L}$
, then without using Hamiltonian perturbations the constant disks at points in L are already regular for any almost complex structure. This condition holds in particular in the blowup case where the exceptional collection of Lagrangian branes is supported on the same Lagrangian torus which does not intersect the ‘old’ branes.
For later use, we note that the introduction of small Hamiltonian perturbations does not produce pseudoholomorphic maps of negative area:
Lemma 2.29. For each area bound E, there exists a constant
$c(E)$
with the following property: Suppose a domain-dependent perturbation
$P_\Gamma $
, and in particular the Hamiltonian perturbations
$H_\Gamma $
, has Floer distance less than
$c(E)$
to a fixed perturbation
$P_\Gamma '$
with
$H_\Gamma '$
vanishing, in the sense that
$\Vert H_\Gamma - H_\Gamma ' \Vert _{\underline {\smash {\epsilon }}} < c(E)$
and similarly for the other components of the perturbation. Then any
$P_\Gamma $
-holomorphic treed disk with area at most E has non-negative area.
Proof. Suppose otherwise. Then there exists a sequence of perturbations
$P_{\Gamma _\nu }$
with Floer norm converging to zero and a sequence
$u_\nu : S_\nu \to X$
of
$P_{\Gamma _\nu }$
-holomorphic maps of area at most E with negative area. Since the area is bounded, the number of combinatorial types of domain
$S_\nu $
is finite. After passing to a subsequence we may assume that
$S_\nu $
converges to a stable disk S. By Gromov compactness, after passing to a subsequence
$u_\nu $
converges to a stable map
$u: \hat {S} \to X$
, with
$\hat {S}$
obtained from S by adding additional bubble trees; see [Reference McDuff and SalamonMS04, Chapter 8] where Hamiltonian-perturbed maps are identified with pseudoholomorphic maps for a modified almost complex structure. The limit map is necessarily
$P_\Gamma $
-holomorphic, and with the same homotopy class as
$u_\nu $
for
$\nu $
sufficiently large. Since area is a homotopy invariant, this implies that
$A(u_\nu )$
is non-negative, a contradiction.
2.7 Boundary strata
In this section, we describe the boundary of the moduli spaces we use, which are those of expected dimension at most one. Fix a coherent collection of strongly regular perturbation data
${\underline {\smash {P}}} = (P_\Gamma )$
and abbreviate all moduli spaces
${\mathcal {M}}_{\mathbb {\Gamma }}(P_\Gamma )$
by
${\mathcal {M}}_{\mathbb {\Gamma }}$
.
Definition 2.30.
-
(a) A map type
${\mathbb {\Gamma }}$
is called essential if it has no broken edges
$T_e = T_{e_1} \cup T_{e_2}$
, no edges
$T_e$
of length zero or infinity except for the leaves and root, no spherical components
$S_v, v \in \operatorname {Vert}_\bullet (\Gamma )$
, if all interior constraints are either
$(D, 1)$
or
$\mathfrak {b}$
and for each disk vertex
$v \in \mathrm {Vert}(\Gamma _\circ )$
, the number of interior leaves labelled by
$(D, 1)$
is equal to
$k \omega ( \beta _v)$
where k is the degree of the Donaldson hypersurface. -
(b) Given asymptotic data
$\underline {\smash {x}} = (x_0, x_1, \ldots , x_d)$
(see Definition 2.19) and
$i = 0, 1$
, let be the union of moduli spaces
$$\begin{align*}{\mathcal M}_{d, 1}(\underline{\smash{x}})_i = {\mathcal M}_{d, 1}(x_0, x_1, \ldots, x_d)_i \end{align*}$$
${\mathcal {M}}_{\mathbb {\Gamma }}$
for essential map types of expected dimension i whose asymptotic data is
$\underline {\smash {x}}$
.
Remark 2.31. As in [Reference Wehrheim and WoodwardWW] the determinant lines of the linearized operators become equipped with orientations induced by relative spin structures. In particular, if all strata of
${\mathcal {M}}(\underline {\smash {x}})_0$
are regular then there is a map
The following lemma classifies types of topological boundaries of one-dimensional moduli spaces.
Lemma 2.32. Suppose
${\underline {\smash {P}}} = (P_\Gamma )$
is a coherent and regular collection of perturbations. For an essential map type
$\mathbb {\Gamma }$
of expected dimension zero, the moduli space
${\mathcal {M}}_{\mathbb {\Gamma }}(P_\Gamma )$
is compact. For a map type
${\mathbb {\Gamma }}$
of expected dimension one, the boundary of the compactified one-dimensional moduli
$\overline {\mathcal {M}}_{\mathbb {\Gamma }}(P_\Gamma )$
is the disjoint union of moduli spaces
${\mathcal {M}}_{\mathbb {\Pi }}(P_\Pi )$
where
$\mathbb {\Pi }$
is a map type related to
$\Gamma $
by exactly one of the following operations:
-
(a) collapsing an edge
$e \in \operatorname {Edge}(\Pi )$
of length zero; -
(b) shrinking a finite edge
$e \in \operatorname {Edge}(\Pi )$
to length zero or breaking into two semi-infinite edges; -
(c) in the case when the output edge
$e_0 \in \operatorname {Edge}(\Gamma )$
is not weighted, setting the weight
$\rho (e)$
of exactly one weighted input
$e \in \operatorname {Edge}(\Gamma )$
to be zero or one; or -
(d) in the case when the output
$e_0 \in \operatorname {Edge}(\Gamma )$
is weighted, changing the weight
$\rho (e)$
of exactly one weighted input
$e \in \operatorname {Edge}(\Gamma )$
so that it becomes one.
Sketch of proof.
It suffices to check sequential compactness. Let
$(C_\nu , u_\nu )$
be a sequence of treed holomorphic disks representing a sequence of points in
${\mathcal {M}}_{\mathbb {\Gamma }}(P_\Gamma )$
. By a combination of Gromov compactness for (pseudo)holomorphic disks and compactness of the moduli space of gradient trajectories, there is a subsequence (still indexed by
$\nu $
) that converges to a limiting treed holomorphic disk
$(C_\infty , u_\infty )$
of certain map type
$\mathbb {\Pi }$
. We first claim that the domain type
$\Pi $
is stable. Suppose on the contrary it is not the case. Then, there is either a domain-unstable disk or a domain-unstable sphere component
$u_{\infty ,v}: S_v \to X, v \in \operatorname {Vert}(\mathbb {\Pi })$
. By the stability condition,
$u_v$
must be a non-constant map. Moreover,
$u_v$
is pseudoholomorphic with respect to a constant tamed almost complex structure
${J = J_{\Pi ^{\mathrm {st}}} (z)}$
on X, where
$z \in C_\infty ^{\operatorname {st}}$
is the image of
$S_v$
in the stabilization. On the other hand, there exists a unique maximal subtree
$\Gamma _{(v)} \subset \Gamma $
which contains no boundary edge with positive edge, such that the bubble
$u_v$
comes from energy blow up on components belonging to
$\Gamma _{(v)}$
. Therefore, by the conditions of the perturbation data (see (a) of Definition 2.18), one has
Since the convergence preserves the total energy, the disk or the sphere has energy at most
$E(\Gamma _{(v)})$
. By Lemma 2.17, the J-holomorphic map
$u_v: S_v \to X$
is not contained in D and must intersect D in at least three points resp. one point in the sphere resp. disk case. Topological invariance of intersection numbers, as in Cieliebak-Mohnke [Reference Cieliebak and MohnkeCM07], implies that for
$\nu $
sufficiently large,
$u_v$
intersects with D in at least three resp. one nearby point. Since the type
${\mathbb {\Gamma }}$
is essential, all these intersection points are marked points labelled by
$(D, 1)$
. The convergence implies that the intersection points of
$u_\infty $
with D must all be marked points, contradicting the assumption that the domain of the domain
$S_v$
is unstable. Therefore, the domain type
$\Pi $
is stable. Since
$\Pi \preceq \Gamma $
, the perturbation datum
$P_\Gamma $
induces by restriction a perturbation datum
$P_\Pi $
so that
$[(C_\infty , u_\infty )] \in {\mathcal {M}}_{{\mathbb {\Pi }}}(P_\Pi ).$
Next we show that type of the limiting map constructed in the previous paragraph is uncrowded. Suppose this is not the case, then let
$W \subset \mathrm {Vert}_{\circ }(\Pi )$
be the (non-empty) set of ghost sphere components. By the locality property, the perturbation data
$P_\Pi $
descends to a perturbation
$P_{\Pi _W}$
which is equal to
$J_0$
over
$W'$
. The limiting configuration
$[(C_\infty , u_\infty )]$
then descends to an element
Since
$\mathbb {\Pi }_W$
is uncrowded, the above moduli space is regular and non-empty. However, similar to the argument of [Reference Cieliebak and MohnkeCM07], the reduction drops the expected dimension by at least two. This contradiction shows that
$\mathbb {\Pi }$
must be uncrowded.
Finally, we claim
$\mathbb {\Pi }$
has no sphere components. Indeed, each sphere component will drop the dimension of the domain moduli space by two and
$\Gamma $
has no sphere components. It follows from the dimension formula for
${\mathcal {M}}_\Gamma $
that when
$\mathrm { dim} {\mathcal {M}}_{\mathbb {\Gamma }} = 0$
,
$\Pi $
must be identical to
$\Gamma $
and hence
${\mathcal {M}}_{\mathbb {\Gamma }}$
is compact. When
$\mathrm {dim} \ {\mathcal {M}}_{\mathbb {\Gamma }} = 1$
, the only possibly types of
$\Pi $
are described in the above list.
Moreover, we distinguish the boundary strata as either true or fake boundary components. The true boundaries are those corresponding to edge breaking and weight changing to zero or one, while the fake boundaries are those corresponding to disk bubbling or edges shrinking to zero. For one-dimensional moduli strata
${\mathcal {M}}_{d, 1} (\underline {\smash {x}})_1$
, define
to be the union of all compactified moduli space of expected dimension one while identifying fake boundaries. Standard gluing constructions (gluing disks or gradient lines) show that
$\overline {\mathcal {M}}_{d, 1} (\underline {\smash {x}})_1$
a topological 1-manifold with boundary and its cutoff at any energy level (indexed by the number of interior markings) is compact. The boundaries are strata corresponding to edge breaking and weight changing to zero or one.
3 Fukaya categories and quantum cohomology
In this section, we introduce bulk-deformed Fukaya categories associated to a given rational finite collection of Lagrangian immersions. Given the regularization of the moduli spaces in Section 2.6 above, the material in this section is fairly straightforward adaptation of that in Fukaya-Oh-Ohta-Ono [Reference Fukaya, Oh, Ohta and OnoFOOO09].
3.1 Composition maps
In this section, we apply the transversality results above to construct Lagrangian Floer theory. In the Morse model the generators of the Lagrangian Floer cochains are critical points of a Morse function on the Lagrangian intersection, assumed clean. Recall for each pair
$(L, L') \in \mathcal {L}^2$
, the intersection
$L\cap L'$
is a smooth manifold. We have chosen a Morse function
Consider the set of all Lagrangian branes supported on
$\mathcal {L}$
, i.e.,
For each pair of branes
$({\widehat {L}}, {\widehat {L}}')$
, denote the set of critical points on the intersection
$$\begin{align*}{\mathcal I}( {\widehat{L}}, {\widehat{L}}' )= \left\{ \begin{array}{@{}cc} \mathrm{crit} ( F_{L, L'}),\ &\ {\widehat{L}} \neq {\widehat{L}}',\\ \mathrm{crit} ( F_{L, L'} ) \cup {\mathcal I}_{{\widehat{L}}}^{hu},\ &\ {\widehat{L}} = {\widehat{L}}', \end{array} \right. \end{align*}$$
where
${\mathcal I}_{{\widehat {L}}}^{hu}$
contains
and
for all connected component c of L (see (2.9) and (2.10)). The ‘Morse indices’ of the extra generators are defined by
3.1.1 Gradings
In order to obtain graded Floer cohomology groups a grading on the set of generators is defined as follows. Let
$N \in \mathbb {Z}$
be an even integer and let
be an N-fold Maslov cover of the bundle of Lagrangian subspaces as in Seidel [Reference SeidelSei00]; we always assume that the induced
$2$
-fold cover
$\operatorname {Lag}^2(X) \to \operatorname {Lag}(X)$
is the bundle of oriented Lagrangian subspaces. A
$\mathbb {Z}_N$
-grading of
$L \in \mathcal {L}$
is a lift

where the horizontal arrow is the map assigning to each
$x \in L$
its tangent space. Given such a grading, there is a natural
$\mathbb {Z}_N$
-valued map
defined as follows. Recall that for each pair of paths
$\lambda _0, \lambda _1: [a, b] \to \operatorname {Lag}( T_x X)$
, there is a Maslov index
which is an integer if and only if
$\mathrm {dim} (\lambda _0(a) \cap \lambda _1(a)) \equiv \mathrm {dim} (\lambda _0(b) \cap \lambda _1(b))\ \mathrm {mod}\ 2$
. For any
$x \in {\mathcal I}({\widehat {L}}_0, {\widehat {L}}_1)$
, choose two paths
such that
$\tilde \lambda _0(a) = \tilde \lambda _1(a)$
and
with notation from (3.2). Define
with notation from (3.3) and (3.1). For example, when
$L_0 = L_1$
and x is an ordinary critical point, then
$|x|$
is the dimension of the stable manifold of x under the negative gradient flow.
3.1.2 Weighted counting
The moduli space of holomorphic disks is non-compact, and to remedy this the structure maps of the Fukaya algebra are defined over Novikov rings in a formal variable. The Floer cochain space is a free module over generators corresponding to Morse critical points and the two additional generators from (2.10) necessary to achieve strict units. Given two branes
${\widehat {L}}, {\widehat {L}}'$
let
$$\begin{align*}CF^{\bullet} ({\widehat{L}}, {\widehat{L}}' ) = \bigoplus_{ x \in \mathcal{I} ({\widehat{L}}, {\widehat{L}}' ) } \operatorname{Hom}({\widehat{L}}_x \otimes_{\Lambda^\times} \Lambda,{\widehat{L}}_x' \otimes_{\Lambda^\times} \Lambda) \end{align*}$$
the sum of space of linear maps between the fibers of the local systems. The space of Floer cochains is naturally
$\mathbb {Z}_N$
-graded by
$$\begin{align*}CF^{\bullet} ({\widehat{L}}, {\widehat{L}}') = \bigoplus_{k \in \mathbb{Z}_N} CF^k ({\widehat{L}}, {\widehat{L}}'), \quad CF^k ({\widehat{L}}, {\widehat{L}}') = \bigoplus_{x \in \mathcal{I}^k({\widehat{L}}, {\widehat{L}}')} \Lambda x.\end{align*}$$
The q-valuation on
$\Lambda $
extends naturally to
$CF^{\bullet } ( {\widehat {L}}, {\widehat {L}}')$
:
$$\begin{align*}\operatorname{val}_q: CF^{\bullet} ( {\widehat{L}}, {\widehat{L}}' ) - \{ 0 \} \to \mathbb{R}, \quad \sum_{x \in \mathcal{I}( {\widehat{L}}, {\widehat{L}}' )} c(x) x \mapsto \min( \operatorname{val}_q(c(x))) .\end{align*}$$
The local systems contribute to the coefficients of the composition maps in the expected way. For any holomorphic treed disk
$u: C \to X$
with boundary in some collection
${{\underline {\smash {\widehat {L}}}} = ({\widehat {L}}_0, \ldots , {\widehat {L}}_d)}$
and mapping the corners to
$x_0,\ldots , x_d$
, generators
denote by
the product of parallel transports
$T_i$
along the restrictions
$u_v | (\partial C)_i$
. For more complicated treed disks the holonomy is defined recursively starting with the components furthest away from the root.
Definition 3.1. Fix a coherent collection of strongly regular perturbation
${\underline {\smash {P}}} = (P_\Gamma )_\Gamma $
(whose existence is provided by Theorem 2.26). For each
$d \geq 0$
define higher composition maps
on generators by the weighted count of treed disks by
$$ \begin{align} m_d(a_d, \ldots, a_1)= \varepsilon + \sum_{x_0 \in {\mathcal I}({\widehat{L}}_0, {\widehat{L}}_d)} \sum_{u \in {\mathcal{M}}_{d, 1} ( x_0, \ldots, x_d)_0} (-1)^{\heartsuit} \operatorname{wt}(u) \end{align} $$
where
$\varepsilon = 0$
unless when
$d = 1$
,
$\widehat{L}_0 = \widehat{L}_1$
,
, we require
,
are defined as follows:
-
• if the domain type of u is
$\Gamma $
, then (3.7)which is the number of permutations of interior markings
$$ \begin{align} d(u):= ( k A(u) )! = (\# \mathrm{Leaf}_\bullet(\Gamma))! \end{align} $$
$z_e$
mapped into D;
-
• the coefficient
$c(u,\mathfrak {b})$
is a product of coefficients
$c_i$
of the bulk deformation, with product taken over interior leaves mapping to
$\mathfrak {b}$
, -
• the coefficient
$p(u)$
is the coefficient
$p_i$
of the multivalued perturbation
$P_\Gamma $
of (5.3) evaluated at the branch containing u, and -
•
$y(u)$
is the holonomy of the local system as defined in (3.4); -
• the exponent
$A(u)$
is area, equal to the (non-negative) perturbed energy of the map u up to a curvature term explained in [Reference McDuff and SalamonMS04, Chapter 8]; -
• the sign
$o(u)$
arises from the choice of coherent orientations and the overall sign
$\heartsuit $
is given by (3.8)
$$ \begin{align} \heartsuit = {\sum_{i=1}^d i|x_i|} .\end{align} $$
We first define a curved
$A_{\infty }$
category with infinitely many objects supported on the given Lagrangian submanifolds. Later, we will consider a modified definition of the objects so that the
$A_{\infty }$
category is flat.
Theorem 3.2. For any strongly regular coherent perturbation system
${\underline {\smash {P}}} = (P_\Gamma )$
the maps
$(m_d)_{d \ge 0}$
define a (possibly curved)
$A_{\infty }$
category
$\operatorname {Fuk}_{\mathcal {L}}^\sim (X, \mathfrak {b})$
with
-
(a) the set of objects given by
$\mathrm {Ob} \left ( \operatorname {Fuk}_{\mathcal {L}}^\sim (X, \mathfrak {b}) \right ):= \widehat {\mathcal L}$
, -
(b) the set of morphisms from
${\widehat {L}}$
to
${\widehat {L}}'$
given by
$\mathrm {Hom}({\widehat {L}}, {\widehat {L}}'):= CF^{\bullet }( {\widehat {L}}, {\widehat {L}}')$
, -
(c) the composition maps
$(m_d)_{d\geq 0}$
defined by Definition 3.1, and -
(d) for each object
${\widehat {L}}$
the strict unit equal to
.
Furthermore, for sufficiently small Hamiltonian perturbations the composition maps are defined over the Novikov ring
$\Lambda _{\ge 0}$
.
Proof. We must show that the composition maps
$m_d$
satisfy the
$A_{\infty }$
-associativity equations (1.7). Up to sign the relation (1.7) follows from the description of the boundary in Lemma 2.32 of the one-dimensional components. The strict unit axiom follows in the same way as in [Reference Charest and WoodwardCW22], by noting that by definition for any edge
the perturbation data is pulled back under the morphism of universal moduli spaces forgetting e and stabilizing (whenever such a map exists). For sufficiently small Hamiltonian perturbations (where small-ness is in the Floer norm, and the constant depends on an area bound) each perturbed-holomorphic map therefore has non-negative area, by Lemma 2.29. Hence the structure coefficients of the composition maps take values in the Novikov ring.
Remark 3.3. The
$A_{\infty }$
homotopy type of
$\operatorname {Fuk}_{\mathcal {L}}^\sim (X,\mathfrak {b})$
(as a curved
$A_{\infty }$
algebra with curvature with positive q-valuation over the Novikov ring
$\Lambda _{\ge 0}$
) is independent of the choice of almost complex structures, stabilizing divisors, perturbations and depends only on the isotopy class of bulk deformation. The argument uses a moduli space of quilted disks with seams labelled by the diagonal, as in [Reference Charest and WoodwardCW22, Section 5.5]. Suppose first that the Donaldson hypersurface is fixed. Let
$J_{\Gamma ,t}$
be an isotopy of almost complex structures, and
$\mathfrak {b}_t $
be an isotopy of cycles
$\mathfrak {b}_0$
to
$\mathfrak {b}_1$
. Requiring that the markings map to
$\mathfrak {b}_t$
, the treed disks
$u| S_v$
are
$J_{\Gamma ,t}$
-holomorphic on components at distance
$d(v) = 1/(1-t) - 1/t$
as in Equation (A.2) produces a moduli space fibered over the multiplihedron as in [Reference Charest and WoodwardCW22, Section 5.5] producing a homotopy equivalence given by a collection of maps
as in Seidel [Reference SeidelSei08b, Section 1d] where the groups
$CF^{\bullet } ({\widehat {L}}_k,{\widehat {L}}_{k+1})_t$
are the morphism spaces for the categories defined using the data for the given value t in the family. The independence from the choice of Donaldson hypersurface is shown in the appendix. We do not address the question of invariance under Hamiltonian isotopy of Lagrangians and the relation to the Fukaya categories defined by other methods, and dependence only on the cobordism class of the cycle
$\mathfrak {b}$
, and so the homology class
$[\mathfrak {b}]$
.
3.1.3 Maurer-Cartan equation, potential function and Floer cohomology
Floer cohomology is defined for projective solutions to the Maurer-Cartan equation. For each
${\widehat {L}} \in \mathrm {Ob}( \operatorname {Fuk}_{\mathcal {L}}^\sim (X, {\mathfrak b}))$
, the element
is the curvature of the Fukaya algebra
$CF^{\bullet } ( {\widehat {L}}, {\widehat {L}} )$
. Its q-valuation
$ \operatorname {val}_q(m_0(1))$
is positive because the bulk deformation
$\mathfrak {b}$
and the Lagrangian submanifolds do not intersect. The Fukaya algebra
$CF^{\bullet } ( {\widehat {L}}, {\widehat {L}})$
is called flat if
$m_0(1)$
vanishes and projectively flat if
$m_0(1)$
is a multiple of the identity
.Footnote 9 Consider the sub-space of
$CF^{\bullet } ( {\widehat {L}}, {\widehat {L}})$
consisting of elements with positive q-valuation with notation from (1.4):
$$\begin{align*}CF^{\bullet} ( {\widehat{L}}, {\widehat{L}})_+ = \bigoplus_{x \in \mathcal{I} ({\widehat{L}}, {\widehat{L}}) } \Lambda_{>0} x. \end{align*}$$
Define the Maurer-Cartan map
Let
$MC ({\widehat {L}} )$
denote the space of weak solutions to the Maurer-Cartan space
The value
$W(b)$
for
$b \in MC ({\widehat {L}} )$
defines the disk potential
Definition 3.4 (Weakly unobstructed branes and Floer cohomology)
-
(a) A weakly unobstructed brane is a triple
${\boldsymbol {L}} = ({\widehat {L}}, b)$
, where
${\widehat {L}} \in \widehat {\mathcal L}$
and
$b \in MC({\widehat {L}})$
. -
(b) The set of all weakly unobstructed branes supported on
$\mathcal {L}$
is denoted by
$$\begin{align*}MC( \mathcal{L} ):= \Big\{ {\boldsymbol{L}} = ({\widehat{L}}, b)\ |\ {\widehat{L}} \in \widehat{\mathcal L},\ b \in MC({\widehat{L}}) \Big\}. \end{align*}$$
-
(c) The Floer cohomology of a weakly unobstructed brane
${\boldsymbol {L}}$
is where
$$\begin{align*}HF^{\bullet} ( {\boldsymbol{L}}, {\boldsymbol{L}}):= \mathrm{ker} (m_1^b)/ \mathrm{im}(m_1^b) \end{align*}$$
$m_1^b$
is defined by
$$\begin{align*}m_1^b: CF^{\bullet}( {\widehat{L}}, {\widehat{L}} ) \to CF^{\bullet} ( {\widehat{L}}, {\widehat{L}} ),\ m_1^b(a) = \sum_{k_1, k_2\geq 0} m_1( \underbrace{b, \ldots, b}_{k_1}, a, \underbrace{b, \ldots, b}_{k_2}). \end{align*}$$
3.1.4 Flat
$A_{\infty }$
category and spectral decomposition
Given a curved
$A_{\infty }$
category, flat
$A_{\infty }$
categories are obtained by restricting to particular values of the curvature.
Definition 3.5 (Flat
$A_{\infty }$
category)
Let
${\mathcal F}^\sim $
be a strictly unital curved
$A_{\infty }$
category over
$\Lambda $
. The flat
$A_{\infty }$
category
${\mathcal F}$
associated to
${\mathcal F}^\sim $
is defined as the disjoint union
where each component
${\mathcal F}_w$
has the set of objects
the set of morphisms
and the higher compositions for
$d \geq 1$
$$\begin{align*}m_d(a_d,\ldots,a_1) = \sum_{k_0,\ldots, k_d \ge 0} m_{d + k_0 + \ldots + k_d}(\underbrace{b_d,\ldots, b_d}_{k_d} , a_d, \ldots, \underbrace{b_1,\ldots, b_1}_{k_1}, a_1,\underbrace{b_0,\ldots, b_0}_{k_0}). \end{align*}$$
Define
$m_0 = 0$
. If
$\mathrm {Ob}({\mathcal F}_w) \neq \emptyset $
, then we say
${\mathcal F}_w$
is an eigen-subcategory of
${\mathcal F}$
.
Proposition 3.6. For any
$w \in \Lambda $
, the category
${\mathcal F}_w$
is a flat strictly unital
$A_{\infty }$
category as defined in (1.5).
Proof. The flatness condition
$m_0(1) = 0$
holds by definition. The
$A_{\infty }$
relation
$$ \begin{align} & 0 = \sum m_{d -i + 1} (\underbrace{b_d,\ldots, b_d }_{i_d} , {a}_{d} , \ldots, , b_{j+i} \nonumber\\ &\qquad m_i( \underbrace{b_{j+i}, \ldots, b_{j+i}}_{k_{j+i}}, {a}_{j+i},\ldots, {a}_{j+1}, \underbrace{b_{j+1},\ldots, b_{j+1}}_{k_j}) , \nonumber\\ & \qquad\qquad\qquad\ldots, b_{j+1}, {a}_{j+1}, \ldots, \underbrace{b_1,\ldots, b_1}_{i_1}, {a}_1, \underbrace{b_0,\ldots, b_0}_{i_0} ) \end{align} $$
follows from the
$A_{\infty }$
relation for
${\mathcal F}^\sim $
, the strict identity relation, and the inclusion

In the case of the bulk deformed curved Fukaya category
$\operatorname {Fuk}_{\mathcal L}^\sim (X, {\mathfrak b})$
, we have the associated flat category.
Definition 3.7. Define a flat
$A_{\infty }$
category
whose set of objects is the disjoint union of all objects in the eigen-subcategories, and the space of morphisms between objects in different eigen-subcategories is the zero vector space. More generally, given a subset
${\mathfrak L} \subset MC(\mathcal {L})$
, denote by
be the full
$A_{\infty }$
-subcategory with the set of objects equal to
${\mathfrak L}$
.
3.2 Hochschild (co)homology
Hochschild homology of a category is the homology of a contraction operator on the space of all composable sequences of morphisms. In the case of curved
$A_{\infty }$
categories, there seems to be no good definition at the moment, although we understand from Abouzaid that he and Varolgunes and Groman are developing such a theory. For our purposes it suffices to use the Hochschild theory for flat categories in combination with a spectral decomposition. We first recall the definition from, for example, [Reference SeidelSei08a, Section 2].
Definition 3.8. Let
$\mathcal {F}$
be a flat
${\mathbb Z}_N$
-graded
$A_{\infty }$
-category.
-
(a) As in Seidel [Reference SeidelSei08a, Section 2] an
$A_{\infty }$
bimodule
${\mathcal {M}}$
over
$({\mathcal {F}},{\mathcal {F}})$
consists of-
(i) a map assigning to any pair of objects
${\boldsymbol {L}}, {\boldsymbol {L}}^{\prime }$
a graded vector space
$ \mathcal {M} ({\boldsymbol {L}}, {\boldsymbol {L}}^{\prime })$
and -
(ii) multiplication maps for integers
$d, d^{\prime } \geq 0$
and objects
${\boldsymbol {L}}_0, \ldots , {\boldsymbol {L}}_d$
,
${\boldsymbol {L}}_0^{\prime }, \ldots , {\boldsymbol {L}}_{d^{\prime }}^{\prime }$
of
$\mathcal {F}$
(3.10)
$$ \begin{align} m_{d, d^{\prime}} : \operatorname{Hom} ( {\boldsymbol{L}}_d, {\boldsymbol{L}}_{d-1} )& \otimes \cdots \otimes \operatorname{Hom} ( {\boldsymbol{L}}_1, {\boldsymbol{L}}_0) \otimes \mathcal{M} ({\boldsymbol{L}}_0, {\boldsymbol{L}}_0^{\prime}) \otimes \nonumber\\ & \operatorname{Hom} ({\boldsymbol{L}}_0^{\prime}, {\boldsymbol{L}}_1^{\prime}) \otimes \cdots \otimes \operatorname{Hom} ( {\boldsymbol{L}}_{d^{\prime}-1}^{\prime}, {\boldsymbol{L}}_{d^{\prime}}^{\prime} ) \to \mathcal{M} ({\boldsymbol{L}}_d, {\boldsymbol{L}}_{d^{\prime}}^{\prime}) \end{align} $$
satisfying the
$A_{\infty }$
bimodule axiom, see [Reference SeidelSei08a, Section 2]. -
-
(b) Given an
$A_{\infty }$
bimodule
$\mathcal {M}$
over
$(\mathcal {F},\mathcal {F})$
, the space of Hochschild chains with values in
$\mathcal {M}$
is the direct sum (3.11)In particular
$$ \begin{align} & CC_\bullet(\mathcal{F},\mathcal{M}) = \bigoplus_{{\boldsymbol{L}}_0,\ldots, {\boldsymbol{L}}_d \in \operatorname{Ob}(\mathcal{F})} \operatorname{Hom} ({\boldsymbol{L}}_{d-1}, {\boldsymbol{L}}_d)\otimes \nonumber \\ & \ldots \otimes \operatorname{Hom} ({\boldsymbol{L}}_{i+1}, {\boldsymbol{L}}_{i+2}) \otimes \mathcal{M} ( {\boldsymbol{L}}_i, {\boldsymbol{L}}_{i+1}) \otimes \operatorname{Hom}( {\boldsymbol{L}}_{i-1}, {\boldsymbol{L}}_i) \otimes \ldots \nonumber \\ & \otimes \operatorname{Hom}( {\boldsymbol{L}}_1, {\boldsymbol{L}}_2) \otimes \operatorname{Hom} ( {\boldsymbol{L}}_0, {\boldsymbol{L}}_1) \otimes \operatorname{Hom} ( {\boldsymbol{L}}_d, {\boldsymbol{L}}_0). \end{align} $$
$\mathcal {F}$
is itself a bimodule over
$(\mathcal {F},\mathcal {F})$
, called the diagonal bimodule. The Hochschild chain group in this case is denoted by
$CC_\bullet (\mathcal {F})$
. A generator of the summand is typically denoted by
$$\begin{align*}\operatorname{Hom} ({\boldsymbol{L}}_{d-1}, {\boldsymbol{L}}_d)\otimes \cdots \otimes \operatorname{Hom} ( {\boldsymbol{L}}_0, {\boldsymbol{L}}_1) \otimes \operatorname{Hom} ( {\boldsymbol{L}}_d, {\boldsymbol{L}}_0) \end{align*}$$
${a}_d \otimes \cdots \otimes {a}_0$
.
-
(c) The Hochschild differential on
$CC_\bullet ( \mathcal {F})$
is defined by summing over all possible contractions: (3.12)where
$\maltese _k^l$
is given by (1.8) and For
$\mathcal {F}$
flat as above denote by the homology of
$$\begin{align*}HH_\bullet(\mathcal{F}) : = \frac{\operatorname{ker}(\delta_{CC})}{\operatorname{im}(\delta_{CC} )} \end{align*}$$
$\delta _{CC}$
.
-
(d) For a curved
$A_{\infty }$
category
$\mathcal {F}^\sim $
let the flat
$$\begin{align*}{\mathcal F}^\flat:= \bigsqcup_{w \in \Lambda} {\mathcal F}_w \end{align*}$$
$A_{\infty }$
category obtained via the spectral decomposition. Denote by (3.13)the direct sum over possible values w of the potential of the Hochschild homologies of the flat categories obtained by fixing the value of the curvature.
$$ \begin{align} CC_\bullet (\mathcal{F}^\sim): = CC_\bullet( {\mathcal F}^\flat ) \cong \bigoplus_{w\in \Lambda} CC_\bullet ({\mathcal F}_w ) \end{align} $$
The Hochschild cohomology is defined for a flat
$A_{\infty }$
category as follows. A Hochschild cochain
$\tau $
on a flat
$A_{\infty }$
category
$\mathcal {F}$
valued in
$\mathcal {F}$
is a collection
where
$\tau _{{\boldsymbol {L}}, d}$
is a linear map
The space
$CC^*(\mathcal {F},\mathcal {F})$
is an
$A_{\infty }$
algebra whose composition maps are
$$ \begin{align} (m^1_{CC^*} \tau)^d (a_d,\ldots,a_1) &= \sum_{i,j} (-1)^\dagger m^{d-j+1}_{\mathcal{F}}( a_{d},\ldots, a_{i+j+1},\tau^{j}(a_{i+j},\ldots, a_{i+1}), a_i,\ldots,a_{1}, )\nonumber\\& \quad - \sum_{i,j} (-1)^{\clubsuit} \tau^{d - j + 1}(a_d,\ldots,a_{i+j+1}, m^j_{\mathcal{F}}(a_{i+j},\ldots, a_{i+1}),a_{i},\ldots,a_1), \end{align} $$
where
$$\begin{align*}\dagger = (|\tau|-1)( |a_1| + \ldots + |a_{i_1 + \ldots + i_{k-1}}| - i_1 - \ldots - i_{k-1}) , \quad \clubsuit:=i + \sum_{j=1}^i |a_j| + |\tau| - 1,\end{align*}$$
and for
$e \geq 2$
$$ \begin{align} (m^e_{CC^*}(\tau_e,\dots,\tau_1))^d(a_d,\dots,a_1)&:=\sum_{\substack{i_1,\dots,i_e \\ j_1,\dots, j_e}}(-1)^\circ m_{\mathcal{F}}^{d - \sum j_k}(a_d,\ldots, a_{i_e+j_e+1}, \tau_e^{j_e}(\dots), a_{i_e}, \nonumber\\& \quad \ldots, a_{i_1+j_1+1}, \tau_1^{j_1}(a_{i_1+j_1}, \dots,a_{i_1+1}), a_{i_1},\dots,a_{1}, ) \end{align} $$
where
$$\begin{align*}\circ := \sum_{j=1}^e \sum_{k=1}^{i_j}(|\tau_j|-1)(|a_k|-1).\end{align*}$$
The boundary operator
$m^1_{CC^*} $
squares to zero, and we denote by
$HH^{\bullet }(\mathcal {F}) := HH^{\bullet }(\mathcal {F},\mathcal {F})$
the Hochschild cohomology of
$\mathcal {F}$
valued in
$\mathcal {F}$
.
Remark 3.9. The Hochschild cohomology is equipped with a natural identity. Suppose the
$A_{\infty }$
category is strictly unital. Consider the cochain
$1_{\mathcal F} \in CC^0({\mathcal F}, {\mathcal F})$
defined by
$$\begin{align*}1_{{\mathcal F},d} ( {a}_d \otimes \cdots \otimes {a}_1) = \left\{ \begin{array}{@{}cc} 0, &\ d> 0,\\ 1_{{\boldsymbol{L}}}, &\ d= 0.\end{array} \right. \end{align*}$$
Then
$m^1_{CC}(1_{\mathcal F}) = 0$
and the cohomology class of
$1_{\mathcal F}$
is the unit of the Hochschild cohomology ring.
Remark 3.10. Any
$A_{\infty }$
functor
$\Phi : {\mathcal F} \to {\mathcal F}'$
(between flat
$A_{\infty }$
categories) induces a map of Hochschild homologies
$HH_\bullet (\Phi ): HH_\bullet ({\mathcal F}, {\mathcal F}) \to HH_\bullet ({\mathcal F}', {\mathcal F}')$
as in [Reference GanatraGan12, Section 2.9], depending only on the homotopy type of the functor, and the resulting maps are functorial for
$A_{\infty }$
functors with respect to composition. In particular, the isomorphism class of the Hochschild homology of the Fukaya category
$HH_\bullet ({\mathcal F}, {\mathcal F})$
is independent of the choice of almost complex structures, perturbations, stabilizing divisors, and depend only on the isotopy class of bulk deformation. Similarly the Hochschild cohomology is the cohomology of the space of endomorphisms of the identity functor, and so independent up to isomorphism of all such choices.
Remark 3.11. Any
$A_{\infty }$
homotopy equivalence
$\Phi $
between curved
$A_{\infty }$
categories
$\mathcal {F}^\sim , {\mathcal G}^\sim $
induces homotopy equivalences between eigencategories
$\Phi _w: \mathcal {F}_w \to {\mathcal G}_w$
for each w. The
$A_{\infty }$
morphism axiom implies that for any object
${\widehat {L}}\in \mathrm {Ob}(\mathcal {F}^\sim )$
the induced map on Maurer-Cartan spaces
$\Phi : MC ({\widehat {L}} ) \to MC(\Phi ( {\widehat {L}} ))$
preserves the potential function. For any object
${\boldsymbol {L}} = ({\widehat {L}}, b)\in \mathrm { Ob}(\mathcal {F}_w)$
we obtain an object
The induced map of morphisms spaces
$ \operatorname {Hom} ( {\boldsymbol {L}}, {\boldsymbol {L}}' ) \to \operatorname {Hom} ( \Phi _w({\boldsymbol {L}}), \Phi _w({\boldsymbol {L}}'))$
then satisfy the
$A_{\infty }$
homotopy axiom with vanishing curvature terms.
Remark 3.12. The length filtration induces a spectral sequence computing the Hochschild (co)homology of any flat
$A_{\infty }$
category
$\mathcal {F}$
with first page the Hochschild (co)homology of the (co)homology category
$H(\mathcal {F})$
whose morphism groups are
$H ( \operatorname {Hom} ({\boldsymbol {L}}_1, {\boldsymbol {L}}_2))$
, see [Reference Getzler and JonesGJ90, Lemma 5.3].
3.3 Quantum cohomology
Before discussing the open-closed and the closed-open maps, we first give a construction of quantum cohomology using the Morse model and Cieliebak-Mohnke’s method which can be incorporated into the constructions of Fukaya category and the open-closed/close-open maps. We first extend the terminology of trees and treed disks to include spheres.
Definition 3.13.
-
(a) A domain type of treed spheres consists of a rooted tree
$\Gamma $
with empty disk part
$\Gamma _\circ $
and a decomposition of the set of leaves into subsets of gradient and constrained leaves (which eventually will correspond to leaves that map to gradient trajectories in X, or leaves that map to the stabilizing divisor or bulk deformation.) A domain type of treed spheres
$$\begin{align*}\mathrm{Leaf}(\Gamma) = \mathrm{Leaf}_{\mathrm{grad}}(\Gamma) \sqcup \mathrm{Leaf}_{\mathrm{const}}(\Gamma) \end{align*}$$
$\Gamma $
is stable if the valence of each vertex
$v \in \operatorname {Vert}(\Gamma )$
is at least three.Footnote 10
-
(b) A treed sphere
$C = S \cup T$
of
$\Gamma $
is obtained from a nodal sphere
$S'$
whose combinatorial type is described by
$\Gamma $
by attaching a copy of
$(-\infty , 0]$
for each gradient leaf and an interval
$[0, +\infty )$
for the output. The surface part S is the union of spherical components
$S_v$
labelled by vertices
$v \in \mathrm {Vert}(\Gamma )$
while the tree part T is the union of these semi-infinite intervals
$T_e, e \in \operatorname {Edge}(\Gamma )$
. -
(c) Given a stable domain type of treed spheres
$\Gamma $
, the universal curve
${\mathcal {U}}_\Gamma $
is formally the disjoint union
$$\begin{align*}{\mathcal{U}}_\Gamma = \bigsqcup_{[C] \in {\mathcal{M}}_\Gamma} C. \end{align*}$$
A natural partial order among domain types can be defined in a similar way as Section 2.
Quantum cohomology will be defined via the choice of a Morse-Smale pair on the manifold. Each Morse-Smale pair
$(f_X, h_X)$
on X induces a Morse-Smale-Witten complex
generated by critical points over
$\Lambda $
and graded by
$2n$
minus the Morse index; the Morse differential
$\delta _{\mathrm {Morse}}$
counts trajectories of the negative gradient flow of
$f_X$
and hence increases the grading. The cohomology
$HM^{\bullet }( f_X, h_X)$
of
$\delta _{\mathrm {Morse}}$
is isomorphic to the (co)homology of X over
${\mathbb Z}$
. More precisely, if
, where
$c_i \in {\mathbb Z}$
and
is a Morse cocycle of degree k, then the linear combination
of stable manifolds is a
$2n-k$
-dimensional pseudocycle (see Schwarz [Reference SchwarzSch99]), hence defines a k-dimensional cohomology class.
3.3.1 Perturbations and transversality
We introduce domain-dependent perturbations on the universal curves similar to those before. Let
$D \subset X$
be a Donaldson hypersurface and let
$J_0\in {\mathcal J}_{\mathrm {tame}}(X, \omega )$
be a tamed almost complex structure satisfying (b) of Lemma 2.10. In the case of quantum cohomology, for treed spheres of domain type
$\Gamma $
, the perturbation data
$P_\Gamma $
include a domain-dependent almost complex structure
$J_\Gamma $
which are sufficiently close to
$J_0$
, a domain-dependent perturbation of the Morse function
$f_X$
, and diffeomorphisms
$M_\Gamma $
of X.
Quantum multiplication is defined by counting treed spheres with two gradient leaves
$T_{e_1}, T_{e_2}$
and one output
$T_{e_{\mathrm { out}}}$
. Let
$\Gamma _n$
bea domain type with only one vertex
$v \in \operatorname {Vert}(\Gamma _n)$
and
$n+3$
leaves in total. When
$n = 0$
,
$\Gamma _0$
is a trivalent graph. In this case we set
$J_{\Gamma _0} \equiv J_0$
and perturb
$f_X$
away from infinities of the semi-infinite edges. Such a perturbation induces two perturbations
$W_{e_1}^u(x)$
,
$W_{e_2}^u(x)$
of each unstable manifold
$W^u(x)$
of
$f_X$
and one perturbation
$W_{e_{\mathrm {out}}}^s(x)$
of each stable manifold
$W^s(x)$
. This perturbation of
$f_X$
on the trivalent graph induces perturbations of
$f_X$
on all
$\overline {\mathcal U}_{\Gamma _n}$
. Furthermore, when
$n \geq 2$
, we require that
$J_{\Gamma _n}$
and
$M_{\Gamma _n}$
do not depend on the positions of the gradient leaves. More precisely, let
$\Gamma _n'$
be the domain type obtained from
$\Gamma _n$
by forgetting the two gradient, leaves (which is still stable). Let
$\overline {\mathcal U}_{\Gamma _n} \to \overline {\mathcal U}_{\Gamma _n'}$
denote the naturally induced contraction. We require that
$J_{\Gamma _n}$
and
$M_{\Gamma _n}$
are equal to pullbacks of perturbations on
$\overline {\mathcal U}_{\Gamma _n'}$
. We also require the locality property: for each
$\Pi \prec \Gamma _n$
, let
$P_\Pi $
be the restriction of
$P_{\Gamma _n}$
to
$\overline {\mathcal U}_\Pi \subset \partial \overline {\mathcal U}_{\Gamma _n}$
. For each
$v \in \mathrm {Vert}_{\Pi }$
, the restriction of
$P_\Pi $
to
${\mathcal U}_{\Pi , v}$
is equal to the pullback from a function defined on
${\mathcal U}_{\Pi (v)}$
(see the relevant notations in Definition 2.13).
One can achieve transversality in the same way as the case for treed disks (see Theorem 2.26). An essential map type
$\mathbb {\Gamma }$
with underlying domain type
$\Gamma _n$
contains a labelling of critical points
$x_1, x_2, x_{\mathrm {out}}$
at the gradient leaves of
$\Gamma _n$
,
$n_1$
constrained leaves labelled by D and
$n_2 = n- n_1$
constrained leaves labelled by components of the bulk deformation
$\mathfrak {b}$
, and a homology class
$\beta \in H_2(X; {\mathbb Z})$
satisfying
$n_1 = k\omega (\beta )$
(where k is the degree of the Donaldson hypersurface). A generic perturbation of
$f_X$
on the trivalent graph
$\Gamma _0$
and perturbing
$J_{\Gamma _n}, M_{\Gamma _n}$
for each
$n\geq 1$
, makes each moduli space
${\mathcal M}_{\mathbb {\Gamma }}^{\mathrm {QH}} (P_{\Gamma _n})$
transverse; and, in addition, if
$\mathrm {index}\ \mathbb {\Gamma } = 0$
resp.
$\mathrm {index}\ \mathbb {\Gamma } = 1$
, then
${\mathcal M}_{\mathbb {\Gamma }}^{\mathrm {QH}} (P_{\Gamma _n})$
is compact resp. compact up to at most one breaking of gradient trajectories.
3.3.2 Bulk deformed quantum cohomology ring
Now we repeat the Piunikhin-Salamon-Schwarz construction [Reference Piunikhin, Salamon and SchwarzPSS96] under the current setting. Fix critical points
. Let
$\mathbb {\Gamma }$
be an essential map type with incoming gradient leaves labelled by
and outgoing leaf labelled by
. If the (only) vertex of
$\mathbb {\Gamma }$
is labelled by
$\beta \in H_2(X; {\mathbb Z})$
, then the expected dimension of the moduli space
${\mathcal M}_{\mathbb {\Gamma }}(P_\Gamma )$
is
Let
be the union of all moduli spaces
${\mathcal M}_{\mathbb {\Gamma }}^{\mathrm {QH}} (P_\Gamma )$
with labelled map types
$\mathbb {\Gamma }$
having index zero. Define a bilinear map
whose values on the generators
are

where
$A(u)$
is the symplectic area of u,
$o(u) \in \{1, -1\}$
is the sign determined by the orientation,
$d(u) = (k A(u))!$
, and
$c(u, \mathfrak {b})$
is the coefficient determined by the interior leaves mapped to components of the bulk deformation. Strong transversality implies that the above is a finite sum for each area bound. Arguments involving the boundary of the one-dimensional moduli spaces show that
$\star _{\mathfrak {b}}$
is a chain map and hence induces a bilinear map
A cobordism argument shows that the operation
$\star _{\mathfrak {b}}$
on cohomology is independent of the choice of perturbation data and the choice of the Morse-Smale pair. Lastly, by allowing treed sphere with three incoming gradient leaves and interior edges with positive lengths, one can prove that the quantum multiplication
$\star _{\mathfrak {b}}$
is associative. We denote this graded unital ring
and call it the
$\mathfrak {b}$
-deformed quantum cohomology ring of X.
The quantum cohomology has a natural identity element defined as follows. Since X is connected, one can choose
$f_X$
such that it has a unique critical point
$x_{\max }$
of maximal Morse index. It is clearly a cochain and the fact that its cohomology class is the identity follows from the fact that the Morse-Smale pairs on gradient leaves are fixed and the perturbation respects forgetting gradient leaves.
Remark 3.14. The quantum cohomology
$QH^{\bullet } (X, \mathfrak {b})$
is also independent of the choice the stabilizing divisor. The relevant constructions are carried out in the Appendix.
3.3.3 Quantum multiplication by submanifolds
We will use a particular chain-level definition of the quantum multiplication by the class of a submanifold. Recall that the class of a submanifold may be expressed in terms of the stable manifolds as follows. If
$ Y \subset X$
be an oriented submanifold then

as in (3.3). Each coefficient
$c_i$
may be written as a signed count of intersections
may be taken to be the number of intersection points of Y with
. Equivalently,
$c_i$
is the number of rigid gradient trajectories connecting Y with
, counted up to sign.
We may express quantum multiplication by the class of a submanifold in terms of treed holomorphic spheres with a constraint in the submanifold, as follows. Above quantum multiplication is defined by counting treed holomorphic spheres with two inputs and one output, all of which are labelled by Morse critical points of
$f_X: X \to {\mathbb R}$
. Consider the space of configurations of treed spheres
$u: C \to X$
where the first incoming interior leaf has been replaced a marking
$z_\bullet $
that maps to
$u(z_\bullet ) \in Y$
. Let
$\Gamma $
be a combinatorial type of treed disks of this type, i.e., one interior incoming leaf
$T_{e_{\bullet ,1}}$
, one interior outgoing leaf
$T_{e_{\bullet ,0}}$
, a number of normal interior markings
$z_e$
and one auxiliary marking
$z_\bullet $
. We do not allow interior edges to acquire length. A map type
$\mathbb {\Gamma }$
refining
$\Gamma $
consists of homology classes
$\beta (v) \in H_2(X) \cup H_2(X,L)$
labelling vertices
$v \in \operatorname {Vert}(\Gamma )$
and labelling leaves
$e \in \operatorname {Edge}(\Gamma )$
indicating the limit of the corresponding Morse trajectory and the type of weighting, and for the auxiliary marking
$z_\bullet $
a label of either Y,
$Y \cap D$
, or
$Y \cap \mathfrak {b}$
indicating the constraint at that marking. A map type
$\mathbb {\Gamma }$
is essential if there are no broken edges, no sphere components, all normal interior markings
$z_e$
are labelled by either
$(D,1)$
or
$\mathfrak {b}$
, and the auxiliary marking
$z_\bullet $
labelled by Y, and the number of interior markings labelled by
$(D,1)$
is the expected number
$k \sum \langle \beta (v), [\omega ] \rangle $
. Let
$P_\Gamma $
be a perturbation datum defined on the universal moduli space
$\overline {\mathcal U}_\Gamma $
which does not depend on the position of the auxiliary marking. Let
${\mathcal M}_{\mathbb {\Gamma }}(P_\Gamma )$
be the moduli space of treed spheres of map type
$\mathbb {\Gamma }$
. For generic
$P_\Gamma $
each zero-dimensional moduli space
${\mathcal M}_{\mathbb {\Gamma }}(P_\Gamma )$
with essential map type
$\mathbb {\Gamma }$
is compact and regular, and each one-dimensional component of the moduli space with essential map types is compact up to one breaking at either the incoming interior edge or the outgoing interior edge. Given two critical points
, let
be the union of i-dimensional moduli spaces with essential map types with the input and output labelled by
and
, respectively. Define the chain map
by

Proposition 3.15.
$Y \star _{\mathfrak {b}}$
is a chain map and induces the map on cohomology
Proof. The fact that
$Y \star _{\mathfrak {b}}$
is a chain map follows by considering boundaries of 1-dimensional moduli spaces with
$z_\bullet $
constrained to map to Y: Boundary configurations occur when a Morse trajectory bubbles off on the incoming edge or the outgoing edge. The equality with
$[Y] \star _{\mathfrak {b}}$
in cohomology is proved by considering the moduli space of configurations where the marking
$z_\bullet $
is replaced by leaf
$T_\bullet $
of some length
$\ell (T_\bullet ) \in [0,\infty ]$
. In the case
$\ell (T_\bullet ) = \infty $
one obtains
, while the case
$\ell (T_\bullet ) = 0$
gives
$Y \star _{\mathfrak {b}}$
. The other boundary configurations involve breaking off a Morse trajectory at one of the other two edges, and we obtain
for any cocycle
$c \in CM^{\bullet }( f_X, h_X)$
as desired.
3.4 Open-closed maps
The open-closed maps, roughly speaking, are defined via counts of treed holomorphic disks where the inputs are on the boundary (generators of morphisms spaces of the Fukaya category) and the outputs are critical points in the ambient symplectic manifolds. The combinatorial structure underlying the maps that will be used to define the open-closed map combines the features of treed disks and spheres in the construction of Floer and quantum cohomology.
3.4.1 Open-closed domains and perturbations
Definition 3.16 (Open-closed domain type)
The open-closed domain type consists of a variation of the rooted two-coloured tree where all the semi-infinite edges on the disk part
$e \in \operatorname {Edge}_\circ (\Gamma )$
are inputs, and the output
$e_{\mathrm {out}} \in \operatorname {Edge}_\bullet (\Gamma )$
is an interior semi-infinite edge and the only gradient leaf, along with the metric type
${\underline {\smash {\ell }}}$
and a weighting type
${\underline {\smash {\operatorname {wt}}}}$
of the boundary edges defined as follows: Similar to rooted two-coloured trees, a metric on an open-closed domain is a map
and the weighting is a map
that is zero on all interior semi-infinite edges. We do not require here the relation (2.2) on weightings. The discrete datum underlying
$\ell $
resp. w is called a metric type resp. weighting type and denoted by
${\underline {\smash {\ell }}}$
resp.
${\underline {\smash {\operatorname {wt}}}}$
.
Open-closed domain types describe treed disks with an interior output. The stability condition is defined in the usual way, as the absence of non-trivial infinitesimal automorphisms. A broken open-closed domain type may have unbroken components which are domain types of treed disks or infinite edges supporting flow lines in X; however, we remark that there is no unbroken component that is the domain type for treed spheres. Perturbation data for open-closed domain types extend the existing perturbation data chosen for defining the Fukaya category and a Morse-Smale pair
$(f_X, h_X)$
on X. We also require that the perturbation
$P_\Gamma $
does not depend on the position of the gradient leaf. More precisely, we require the following: if
$\Gamma '$
is the domain type obtained by forgetting the (only) gradient leaf e on
$\Gamma $
and stabilization, then with respect to the contraction map
${\mathcal U}_\Gamma \to {\mathcal U}_{\Gamma '}$
, the perturbation
$P_\Gamma $
is naturally induced from a perturbation defined on
${\mathcal U}_{\Gamma '}$
. In particular, if
$\Gamma '$
becomes empty, then in
$P_\Gamma = (J_\Gamma , F_\Gamma , H_\Gamma , M_\Gamma )$
,
$J_\Gamma \equiv J_0$
,
$F_\Gamma = 0$
, and
$H_\Gamma = 0$
. Transversality in this case requires that the stable manifolds of the Morse function
$f_X$
be transverse to the unstable manifolds on the Lagrangian, which can be achieved by generic choice of
$f_X$
.
3.4.2 Open-closed moduli spaces
The moduli space of open-closed maps admits a stratification by type. An open-closed map type
$\mathbb {\Gamma }$
includes an extra labelling on the interior gradient leaf
$e \in \operatorname {Leaf}_{\mathrm {grad}} (\Gamma )$
by a critical point of a chosen Morse function
$f_X$
. For any perturbation datum
$P_\Gamma $
, a treed holomorphic disk of map type
$\mathbb {\Gamma }$
consists of a treed disk C of type
$\Gamma $
and a continuous map
$u: C \to X$
that is a perturbed holomorphic map on each surface component
$S_v \subset C$
, a perturbed negative gradient line/ray/segment on each boundary edge, and a negative gradient ray of
$f_X$
on the out-going gradient leaf
$T_e \cong [0, +\infty )$
. Let
${\mathcal M}_{\mathbb {\Gamma }}^{\mathrm {OC}} (P_\Gamma )$
denote the moduli space of treed holomorphic disks of map type
$\mathbb {\Gamma }$
. Transversality for uncrowded strata is proved in the same way as Lemma 2.26. As in the case of treed disks with gradient trajectories in the Lagrangians, a version of Gromov compactness implies that the union
$$\begin{align*}\overline{\mathcal{M}}{}_{\mathbb{\Gamma}}^{\mathrm{OC}} (P_\Gamma) = \bigsqcup_{\mathbb{\Pi} \preceq {\mathbb{\Gamma}}} {\mathcal{M}}_{\mathbb{\Pi}}^{\mathrm{OC}} \left(P_\Gamma|_{\overline{\mathcal{U}}_{\Pi^{\mathrm{st}}}} \right) \end{align*}$$
over all open-closed types is a compact Hausdorff space, and only finitely many types appear for any given energy bound. Lower strata also include (arbitrarily many) breakings in the distinguished interior semi-infinite edge.
Definition 3.17. An open-closed map type
${\mathbb {\Gamma }}$
is called essential if it has no spherical components
$S_v, v \in \operatorname {Vert}_\bullet (\Gamma )$
nor edges
$T_e$
of length
$\ell (e)$
zero, all interior markings are either
$(D, 1)$
or
$\mathfrak {b}$
and for each disk component v, the number of interior markings labelled by
$(D, 1)$
is equal to
$k \omega (\beta _v)$
, where k is the degree of the Donaldson hypersurface.
The following lemma can be proved in the same way as Lemma 2.32.
Lemma 3.18. Let
${\mathbb {\Gamma }}$
be an essential open-closed map type. If the expected dimension of
${\mathbb {\Gamma }}$
is zero, then
${\mathcal {M}}_{\mathbb {\Gamma }}^{\mathrm {OC}}$
is compact. If the expected dimension is one, then
$\overline {\mathcal {M}}_{\mathbb {\Gamma }}^{\mathrm {OC}}$
is a compact topological 1-manifold with boundary, where the boundary strata consist of moduli spaces
${\mathcal {M}}_{\mathbb {\Pi }}^{\mathrm {OC}}$
where
$\Pi $
is either obtained from
$\Gamma $
by one of the operations listed in Lemma 2.32, or obtained from
$\Gamma $
by breaking the interior semi-infinite edge once.
The open-closed map is defined by counting treed holomorphic disks whose output edge is an interior edge. See Figure 7 for an example.
A typical configuration that possibly contributes to the definition of the open-closed map. Interior markings to be mapped to the Donaldson hypersurfaces and the bulk deformation and boundary edges with Maurer-Cartan insertions are omitted.

Lemma 3.19. Let
$\mathbb {\Gamma }$
be an essential open-closed map type with index
$0$
. Suppose the outgoing gradient leaf is labelled by
$x_{\min }$
, the only critical point with minimal Morse index. Then either
${\mathcal M}_{\mathbb {\Gamma }}^{\mathrm {OC}} (P_\Gamma ) = \emptyset $
, or
$\mathbb {\Gamma }$
contains exactly one incoming semi-infinite edge labelled by a critical point of
$f_L: L \to {\mathbb R}$
for some
$L \in {\mathcal L}$
with minimal Morse index.
Proof. Let
$\Gamma '$
be the domain type obtained from
$\Gamma $
by forgetting the gradient leaf and stabilization. If
$\Gamma ' \neq \emptyset $
, then
$\mathbb {\Gamma }$
induces a map type
$\mathbb {\Gamma }'$
with negative index. Since the perturbation
$P_\Gamma $
does not depend on the position of the gradient leaf, it induces a perturbation
$P_{\Gamma '}$
on
$\overline {\mathcal U}_{\Gamma '}$
. As
${\mathcal M}_{\mathbb {\Gamma }'}^{\mathrm {OC}} (P_{\Gamma '}) = \emptyset $
by transversality,
${\mathcal M}_{\mathbb {\Gamma }}^{\mathrm {OC}} (P_\Gamma ) = \emptyset $
. Therefore,
$\Gamma ' = \emptyset $
. As a consequence,
$\Gamma $
has one or two incoming semi-infinite edges and no interior constrained leaves. This implies that
$\mathbb {\Gamma }$
has zero energy. Hence any configuration in
${\mathcal M}_{\mathbb {\Gamma }}^{\mathrm {OC}} (P_\Gamma )$
is a constant map (since no Hamiltonian perturbation in this case) on the surface part. If
$\Gamma $
has two boundary inputs, then
${\mathcal M}_{\mathbb {\Gamma }}^{\mathrm {OC}} (P_\Gamma )$
cannot be zero-dimensional. Hence
$\Gamma $
has only one input. By the zero index condition, the input must be labelled by a critical point of
$f_L: L \to {\mathbb R}$
for some
$L \in {\mathcal L}$
with minimal Morse index.
We introduce the following notation for the moduli spaces with fixed limits along the semi-infinite edges. Suppose
For
$i = 0, 1$
, denote
where the union is taken over all open-closed map types
$\mathbb {\Gamma }$
of expected dimension i whose boundary inputs are labelled by
$x_1, \ldots , x_d$
(in anticlockwise order) and the outgoing interior leaf is labelled by
.
3.4.3 The open-closed map
Recall that we have fixed a collection of Lagrangian submanifolds
${\mathcal L}$
from which we have constructed a curved
$A_{\infty }$
category
$\operatorname {Fuk}_{\mathcal L}^\sim (X, \mathfrak {b})$
and an associated flat
$A_{\infty }$
category
$\operatorname {Fuk}_{\mathcal L}^\flat (X, \mathfrak {b})$
. Given a subset of weakly unobstructed branes
${\mathfrak L}\subset MC({\mathcal L})$
we have a full subcategory
$\operatorname {Fuk}^\flat _{\mathfrak L}(X, \mathfrak {b})$
whose objects are the branes
${\mathfrak L}$
.
Definition 3.20 (Open-closed map)
Write for simplicity
Define the bulk-deformed open-closed map

with weightings as in (3.6), but with the product of parallel transports and generators
$a_1,\ldots , a_d$
now an element of
$\Lambda $
. The chain-level open-closed map
$OC(\mathfrak {b})$
is the direct sum
$OC_d^\sim $
deformed by the Maurer-Cartan data on each Lagrangian brane:
$$ \begin{align*} & OC(\mathfrak{b}):CC_\bullet ( \operatorname{Fuk}^\flat_{\mathfrak L}(X, \mathfrak{b})) \to CM^{\bullet}( f_X, h_X), \\ & a_d \otimes \dots \otimes a_1 \mapsto \\ & \sum_{j_1, \dots, j_d \geq 0} OC_{d+ j_1 + \cdots + j_d}^\sim (\underbrace{b_d, \dots, b_d}_{j_d},a_d,,\dots,, a_3,\underbrace{b_2,\dots, b_2}_{j_2},a_2, \underbrace{b_1,\dots, b_1}_{j_1},a_1) \end{align*} $$
where
$a_i \in \mathrm {Hom}( {\boldsymbol {L}}, {\boldsymbol {L}}_i )$
and
${\boldsymbol {L}}_i = ({\widehat {L}}_i, b_i)$
.
Proposition 3.21. The open-closed map
$OC(\mathfrak {b}): CC_\bullet ( {\operatorname {Fuk}}^\flat _{\mathfrak L}(X, \mathfrak {b})) \to CM^{\bullet }(f_X, h_X)$
is a chain map, that is,
where
$\delta _{CC_\bullet } ({\mathfrak {b}})$
is the Hochschild differential on
$CC_{\bullet } ( \operatorname {Fuk}^\flat _{\mathfrak L}(X, {\mathfrak {b}}))$
. Therefore
$OC({\mathfrak {b}})$
induces a map between (co)homology
Sketch of proof.
The identity follows from the description of the boundary strata of open-closed moduli spaces
in Lemma 3.18 with verification of signs. We remark that the terms involving the curvature
$m_0(1)$
vanish, since by assumption the output of
$m_0(1)$
is a multiple
$w 1_{{\widehat {L}}_i}$
is the identity of each brane
${\widehat {L}}_i$
. The strict identity axiom implies that
$OC$
vanishes except in the case of two inputs, in which case the two terms involving
$m_0(1)$
cancel.
Remark 3.22. Continuing Remark 3.3, the open-closed map is independent of the choice of the stabilizing divisor, the perturbation, and only depends on the isotopy class of the bulk deformation. The proof of independence uses a moduli space of quilted holomorphic disks shown in Figure 8.
Curve types (a), (b), (c) that can occur on the boundary of a one-dimensional moduli space of quilted disks with concentric seam (centre).

Each domain C is a collection of disks
$S_v, v \in \operatorname {Vert}(\Gamma )$
possibly with an additional seam which is an embedded circle
$Q_v \subset S_v$
either tangent to a single point on the boundary
$\partial S_v$
, or a concentric dilation of the boundary circle
$Q_v$
towards the outgoing marking, as in Figure 8. Given an isotopy of Donaldson hypersurfaces
$D_t \subset X, t \in [0,1]$
the resulting moduli spaces with d boundary inputs and one interior output are denoted
$\mathcal {M}_{d,1}(L,D_t)$
. On the components without seams ‘before’ the seam, with respect to the ordering of components starting with the incoming edges, the complex structure, divisor and bulk deformation used are
$J_0,D_0, \mathfrak {b}_0$
, while on components ‘after’ the seam those used are
$J_1,D_1,\mathfrak {b}_1$
.
The one-dimensional components of the moduli spaces so defined are compact one-manifolds with boundary corresponding to three types of configurations: (a) Configurations
$u: C \to X$
where the inner seam Q has ‘bubbled off’ onto the boundary
$\partial S$
creating a number of quilted disks with seams tangent to the boundary (b) configurations
$u: C \to X$
where the inner seam Q has collapsed onto the output inner marking and (c) configurations
$u: C \to X$
where an unquilted disk
$S_v$
has broken off.
The description of the boundary configurations gives a chain homotopy as follows. Configurations of the first type (a) contribute to the map
while configurations of the second type are exactly those of
$OC_0$
. Configurations of the third type are of the form
$ OC_\bullet \circ \delta $
, where
$OC_\bullet $
is a variant of the open closed map (shifted by degree) that counts rigid treed quilted disks where the radius of the seam is allowed to vary between
$0$
and
$1$
. Restricted to Hochschild cycles, contributions of this type vanish giving an equality between
$OC_0$
and
$OC_1 \circ HH_\bullet (\phi )$
. Since
$HH_\bullet (\phi )$
induces an isomorphism of Hochschild homologies by Remark 3.10, this gives an identification of the images.
3.5 Spectral decomposition under open-closed map
In this subsection, we prove Theorem 1.7 in the introduction which says that the open-closed map respects the spectral decomposition of the Fukaya category and quantum cohomology. The components in the spectral decomposition of the quantum cohomology may be viewed as generalized eigen-spaces of quantum multiplication by either the symplectic class
$[\omega ]$
or the first Chern class
$c_1(X)$
. To work with the latter viewpoint, we need the additional assumption that
$c_1(X)$
is representable in the following sense: We say that
$c_1(X)$
is representable with respect to
$\mathcal {L}$
if some multiple of the Poincaré dual of
$c_1(X)$
can be represented by a smooth submanifold Y in X disjoint from
$|{\mathcal L}|$
, so that for each component
$L \in \mathcal {L}$
the submanifold Y represents the Maslov class in
$H^2(X,L)$
. This condition is automatic if
$\mathcal {L}$
consists of a single brane L, since we may take Y to be the zero locus of a generic section of the anticanonical bundle, trivialized over L using the orientation. The following result on the open-closed map subsumes Theorem 1.7. Recall the definitions of
$[\omega ]^{\mathfrak {b}}$
and
$c_1(X)^{\mathfrak {b}}$
from (1.9), (1.10).
Theorem 3.23. The image of
$HH_\bullet ( \operatorname {Fuk}_{\mathfrak L} (X,\mathfrak {b})_w )$
in
$QH^{\bullet } (X,\mathfrak {b})$
under the open-closed map
$OC(\mathfrak {b})$
lies in the generalized eigenspace for quantum multiplication
$[\omega ]^{\mathfrak {b}} \star _{\mathfrak {b}}$
by the symplectic class
$[\omega ]^{\mathfrak {b}}$
with eigenvalue
$D_q w$
.
Furthermore, suppose that
$c_1(X)$
is representable with respect to
$\mathcal {L}$
. The image of
$HH_\bullet ( \operatorname {Fuk}_{\mathfrak L} (X,\mathfrak {b})_w )$
in
$QH^{\bullet } (X,\mathfrak {b})$
under the open-closed map
$OC(\mathfrak {b})$
lies in the generalized eigenspace for quantum multiplication
$c_1(X)^{\mathfrak {b}} \star _{\mathfrak {b}}$
with eigenvalue w.
Remark 3.24. In the monotone, non-bulk-deformed case the image of each summand
is contained in the w-generalized eigenspace of the operator given by quantum multiplication by the first Chern class, by a result of Sheridan [Reference SheridanShe16], based on earlier work of Ritter-Smith [Reference Ritter and SmithRS17, Theorem 9.5]. See also Yuan [Reference YuanYua25] for a more general setting. Theorem 3.23 is a generalization of those arguments.
The above statement is compatible with this fact since in the monotone case w has only terms of power
$q^{1/\lambda }$
where
$\lambda [\omega ] = c_1(X)$
. Hence
$D_q w= w/ \lambda $
in this case. To see why w is an eigenvalue of
$c_1(X)^{\mathfrak {b}} \star _{\mathfrak {b}}$
, one can also replace the Donaldson hypersurface by an anticanonical divisor and make use of the fact that only Maslov 2 disks contribute to the potential function.
3.5.1 The case of a length-one Hochschild chain
We first give a simplified argument for Theorem 3.23 assuming that the Hochschild chain has length one, all weakly bounding cochains and bulk deformations are zero and the disks are transversely cut out without using a domain-dependent perturbation. Thus, by assumption, the curvature
$m_0(1)$
is a multiple of the strict unit for all involved branes. The proof in this simplified case is based on the study of moduli spaces of open-closed domains with an auxiliary interior marking with a specified offset angle in comparison with the first boundary marking. Given a treed disk C of an open-closed domain type (we allow interior edges to acquire length), there is a unique disk component
$S_0 \subset C$
that is closest to the unique outgoing interior semi-infinite edge
$T_0$
. We call
$S_0$
the central disk and let
$z_0 \in S_0$
be the interior special point that is connected to
$T_0$
. There is also a boundary special point
$w_0\in \partial S_0$
that is closest to the
$0$
th boundary incoming semi-infinite edge. Identify
$S_0$
with
$\mathbb {D}$
biholomorphically so that
$z_0$
resp.
$w_0$
is identified with
$0\in \mathrm {Int} {\mathbb D}$
resp.
$1 \in \partial {\mathbb D}$
and such an identification
$S_0 \cong {\mathbb D}$
is unique. There is a contraction map
which is the identity on the central disk
$S_0 \subset C$
and which contracts points on other surface components
$S_v$
or edges
$T_e$
to the corresponding attaching points on the central disk
$S_0$
. A point
$z \in C$
is said to have offset angle
$\theta \in S^1$
if
Let
$\Gamma $
be a stable open-closed type consisting of disks with a single boundary leaf
$T_1$
, the interior leaf
$T_0$
, and an interior marking
$z_\bullet \in S_0$
. Fix an angle
$\theta \in S^1$
. Define the subspace
consisting of isomorphism classes of open-closed domains C of type
$\Gamma $
such that the auxiliary marking
$\mathring {z}$
has offset angle
$\theta $
, as in Figure 9. Suppose
$[\omega ]$
is integral and let
be a representative of
$[\omega ]$
transverse to D. We construct a moduli space
$\mathcal {M}_{1,1}^\theta (L,Y) $
of open-closed maps bounding L equipped with a map
as follows. Configurations in
$\mathcal {M}_{1,1}^\theta (L,Y)$
consist of holomorphic treed disks
$u:C \to X$
with an open-closed domain type
$\Gamma $
with the boundary edge
$T_1$
labelled by components of
$\alpha $
, the interior gradient leaf
$T_0$
labelled by a critical point
, and for the interior auxiliary marking
$\mathring {z}$
we require that
We may assume that the perturbations are independent of the position of the point
$\mathring {z}$
, since the intersections with D stabilize the domain.
A one-dimensional moduli space considered to show the spectral property of the open-closed map. The auxiliary marking, which is hollow in the picture, must have a fixed angle shown as the dashed curve in the first three configurations.

Using the moduli spaces above, we define a modified version of the open-closed map. Given a Floer cochain
for some weakly unobstructed brane
${\boldsymbol {L}}$
with potential w, define a map
by weighting the contributions of the moduli space
$ \mathcal {M}_{1,1}^\theta (L,Y) $
by the coefficients of
$\alpha .$
Each (true) boundary stratum of
${\mathcal M}^\theta _{1,1}(L,Y)_1$
consists of configurations
$(C,u: C \to X)$
with exactly one broken edge
$T_e \subset C$
and belongs to the following types, as in Figure 9:
-
(a) configurations
$u: C \to X$
with a broken incoming edge
$T_1$
contributing to
$OC^Y(m_1(\alpha ))$
; -
(b) configurations
$u: C \to X$
with a broken interior edge
$T_1$
, contributing to
$Y \star OC(\alpha )$
(such as the right-most configuration in Figure 9); -
(c) configurations
$u: C \to X$
with one disk component
$S_v$
containing
$z_\bullet $
and no boundary labels, connected to other components by a broken boundary edge
$T_e$
(for example, the left-most configuration in Figure 9), to be explained below; and -
(d) configurations
$u: C \to X$
with a broken interior leaf
$T_1$
, contributing to
$ \delta _{\mathrm {Morse}} OC^Y(\alpha )$
.
To understand the contributions arising from the third type of boundary configuration, write the potential function
as a sum over contributing holomorphic disks
$u_i: C \to X$
of area
$A_i$
with coefficients
$c_i \in \mathbb {Q}$
. Holomorphic disks with energy
$A_i$
intersect Y at
$A_i$
points counted with sign, since by construction the intersection is transversal and the perturbations are independent of the choice of auxiliary marking. Each configuration contributes
$ A_i OC(\alpha )$
, as we have
$ A_i$
choices of the auxiliary marking
$z_\bullet $
. Since the signed count of boundary points of the one-dimensional moduli space vanishes, we obtain the relation
The argument for quantum multiplication by the first Chern class
$c_1(X)^{\mathfrak {b}}$
is similar. Suppose
$Y \subset X$
is a smooth submanifold representing half the Maslov class in
$H^2(X,L)$
. Then
$$ \begin{align} Y \star OC(\alpha) = \sum_i c_i \frac{1}{2} I_i q^{A_i} OC(\alpha) = w OC(\alpha) \ \text{mod} \ \operatorname{Im} \delta_{\mathrm{Morse}} \end{align} $$
where
$I_i$
is the Maslov index of the i-th disk contributing to w, necessary equal to
$2$
since the bulk and boundary deformations vanish.
3.5.2 Treed disks with auxiliary markings and specified offsets
The proof of the Spectral Theorem 3.23 in the general case involves moduli spaces with a collection of interior markings at fixed offset angles. These moduli spaces define generalized open closed maps which satisfy a recursive relation, equivalent to the image of the open-closed map lying in a generalized eigenspace for quantum multiplication.
Definition 3.25.
-
(a) An angle sequence is a collection
$\theta _1, \ \theta _2, \ \ldots \in {\mathbb R}/ 2\pi {\mathbb Z} \cong S^1$
of distinct, non-zero angles. -
(b) An open-closed domain type with auxiliary markings is an open-closed domain type
$\Gamma $
together with decompositions
$ \mathrm {Leaf}_{\bullet , \mathrm {const}}(\Gamma ) = \mathrm {Leaf}_{\bullet , \mathrm {normal}}(\Gamma ) \sqcup \mathrm {Leaf}_{\bullet , \mathrm {auxiliary}}(\Gamma ), $
and
$ \mathrm {Leaf}_{\circ } = \mathrm {Leaf}_{\circ , \mathrm {normal}}(\Gamma ) \sqcup \mathrm {Leaf}_{\circ , \mathrm {auxiliary}}(\Gamma )$
such that the
$0$
th boundary leaf is normal and such that the path connecting each auxiliary leaf to the central disk
$S_0$
contains at least one broken boundary edge
$T_e$
. Such a domain type
$\Gamma $
is said to be of type
$(l_{\bullet },l_{\circ })$
if there are
$l_{\bullet }$
interior auxiliary leaves and
$l_{\circ }$
boundary auxiliary leaves. -
(c) An open-closed treed disk with m auxiliary markings of type
$\Gamma $
and angle sequence
${\underline {\smash {\theta }}}$
is a treed disk
$C = S \cup T$
of type
$\Gamma $
such that the offsets of the auxiliary markings
$\mathring {z}_{\operatorname {aux},1}, \ldots , \mathring {z}_{\operatorname {aux},m}$
are
$\theta _1, \ldots , \theta _m$
. -
(d) By cutting along breakings, a treed disk C is separated to tree disks
$C_1,\ldots , C_k$
with no breakings. The components
$C_1,\ldots , C_k$
will be called the unbroken components. The branch of C at offset angle
$\theta $
of a treed disk C with one auxiliary marking
$\mathring {z}_i$
is the union of unbroken components
$C_j$
that are connected to the central treed disk
$C_0$
via the boundary special point on
$C_0$
with offset angle
$\theta $
.
A treed disk with one interior auxiliary marking and one boundary auxiliary marking (the hollow markings). The semi-infinite on the right is at the
$0$
th boundary marking.

3.5.3 Generalized open-closed maps
Define a generalized open-closed map using the above kind of domains as follows. Open-closed map types are map types with the following labelling of edges and boundary arcs: Each interior auxiliary leaf
$T_{\bullet ,i}$
is labelled either by Y or by the bulk deformation
$D_q \mathfrak {b}$
, and the two short arcs on both sides of a boundary auxiliary leaf
$T_{\circ ,i}$
are labelled by the same Lagrangian brane. Consider a sequence of weakly unobstructed branes
$({\boldsymbol {L}}_0, \ldots , {\boldsymbol {L}}_d)$
. Define a (not necessarily chain) fixed-angles map
by counting map types
$\mathbb {\Gamma }$
with m auxiliary markings with the following conditions as in Figure 11:
-
(a) each interior auxiliary marking
$\mathring {z}_i$
maps either to Y or to the bulk deformation
$D_q \mathfrak {b}$
; -
(b) each auxiliary boundary marking
$\mathring {z}_i$
, if it is on a boundary arc labelled by
${\boldsymbol {L}}_i$
, then the contributions to
$OC_m(\mathfrak {b})$
are weighted by the coefficients of
$D_q b_{{\boldsymbol {L}}_i}$
; and -
(c) each branch
$C_j$
contains a normal (that is, non-auxiliary) boundary marking weighted by the coefficients of the Hochschild chain
$\alpha $
.
We remark that the bulk deformation at normal (non-auxiliary) interior markings is
$\mathfrak {b}$
and the bulk deformation at auxiliary markings is
$D_q \mathfrak {b}$
. Analogously the boundary insertion at an auxiliary marking is
$D_qb$
and a normal boundary marking is either weighted by the coefficients of the Hochschild chain
$\alpha $
or has an insertion b.
Configurations possibly contributing to the map
$OC_2$
with three boundary insertions
$\alpha _0$
,
$\alpha _1$
and
$\alpha _2$
. The insertion by weakly bounding cochains are omitted. Each branch contains an auxiliary marking (either interior or boundary) and at least one boundary insertion labelled
$\alpha $
.

We will prove in Lemma 3.27 that the fixed-angles maps
$OC_m$
have image lying in generalized eigenspaces of quantum multiplication by
$[\omega ]^{\mathfrak {b}}$
. To prove the Lemma, we introduce some variants of the fixed-angle open-closed map. Define the maps
as counts of the same treed holomorphic disks as those counted by
$OC_{m}(\mathfrak {b})$
with the additional condition that the last auxiliary marking
$\mathring {z}_{m}$
is a boundary resp. interior marking. Thus,
We need another variation of the map
$OC_{m,\circ }$
. Consider treed disks with
$m+1$
auxiliary markings
$\mathring {z}_i$
(either interior or boundary) with the last one
$\mathring {z}_{m+1}$
being a boundary auxiliary marking; the first m branches
$C_1,\dots , C_m$
satisfying conditions (a), (b) (c) listed above; and the last branch
$C_{m+1}$
satisfying (3.5.3) but not (3.5.3), that is, none of the normal boundary markings in the branch
$C_{m+1}$
are labelled by the Hochschild chain
$\alpha $
. The count of such configurations defines a (not necessarily chain) map
as in Figure 12.
Configurations possibly contributing to the map
$OC_{1, +}$
with three boundary insertions
$\alpha _0$
,
$\alpha _1$
and
$\alpha _2$
. The insertions by weakly bounding cochains are omitted. The second (last) branch can only contain a boundary auxiliary marking (hollow) labelled by
$D_q b$
and does not contain insertions by
$\alpha _i$
.

Lemma 3.26. Let
$\alpha \in CC_\bullet ( \operatorname {Fuk}_{\mathfrak L}(X,\mathfrak {b})_w)$
be a Hochschild cycle. For any
$m \ge 1$
,
Proof. The relation above follows from studying a moduli space where the number of enforced breakings is one less than the number of auxiliary markings. Consider the moduli spaces
${\mathcal M}^\theta _{\mathbb {\Gamma }}(L,D)_1$
for types
$\mathbb {\Gamma }$
with
$m+1$
auxiliary markings and exactly m breakings, with one breaking between each of the first m branches
$C_1,\ldots , C_m$
and the treed central disk
$C_0$
; and whose last auxiliary marking
$\mathring {z}_{m+1}$
is a boundary marking not separated from
$C_0$
by any broken edges. Counts of rigid such configurations define yet another map
True boundary strata of the one-dimensional space of such configurations consist of configurations
$u: C \to X$
with an additional breaking at some edge
$T_e$
. If the additional breaking is at an interior edge
$T_e$
, then the contribution of such configurations gives an element in
$\mathrm {Im}(\delta _{\mathrm {Morse}})$
. If the additional breaking is at a boundary edge
$T_e$
creating an unbroken component
$C' \subset C$
containing no auxiliary markings
$z_{{\diamond },i}$
or normal boundary edges labelled by
$\alpha $
, then the contribution of
$u: C \to X$
is zero by forgetful property of the perturbation data and the definition of weakly bounding cochain. The other possibilities where the additional breaking is at a boundary edge are as follows; in each case we identify the contributions of the corresponding strata.
-
(a) The additional breaking is at the offset angle
$\theta _{m+1}$
such that the
$(m+1)$
-st auxiliary marking
$\mathring {z}_{m+1}$
is separated from the central treed disk
$C_0$
by one breaking. The contribution of these configurations is the term
$OC_{m+1,\circ }(\mathfrak {b})(\alpha ) + OC_{m, +}(\mathfrak {b})(\alpha )$
. -
(b) The additional breaking is at a generic offset angle
$\theta $
different from the fixed ones
$\theta _1, \ldots , \theta _{m+1}$
. The breaking separates the central treed disk
$C_0$
with a treed disk
$C'$
labelled by some subset of the
$\alpha _i$
and weakly bounding cochains
$b_{{\boldsymbol {L}}_i}$
. These configurations contribute to
$(OC_{m,++})(\mathfrak {b})_k(\delta _{l}(\alpha ))$
, where
$(OC_{m,++})(\mathfrak {b})_k$
is the open-closed map acting on k Hochschild inputs and
$\delta _{l}$
is the component of the Hochschild differential
$\delta $
of
$\alpha $
involving contractions of l elements. -
(c) The additional breaking is at one of the fixed offset angles
$\theta _i$
,
$i = 1, \ldots , m$
, such that the auxiliary marking
$\mathring {z}_i$
in the branch
$C_i$
is still separated from the central disk
$S_0$
by the breaking of a single edge
$T_e$
. These configurations also contribute to
$(OC_{m,++})(\mathfrak {b})_k(\delta _{l}(\alpha ))$
, where
$(OC_{m,++})(\mathfrak {b})_k$
is the open-closed map acting on k Hochschild inputs and
$\delta _{l}$
is the component of the Hochschild differential
$\delta $
of
$\alpha $
involving contractions of l elements. -
(d) The additional breaking is at one of the fixed offset angle
$\theta _i$
such that the auxiliary marking
$\mathring {z}_i$
in the branch
$C_i$
is separated from the central disk by two broken edges, say
$T_{e'}$
and
$T_{e"}$
. Moreover, the unbroken component
$C'$
containing
$\mathring {z}_i$
contains a normal boundary marking labelled by some
$\alpha $
. Such configurations can be viewed as the boundary of two strata of one dimension higher. Indeed, either of the broken edges
$T_{e'}$
and
$T_{e"}$
may be glued, as Figure 13. Therefore, we can regard this type of boundary strata as a fake boundary component of the one-dimensional moduli space.Figure 13A fake boundary stratum.

-
(e) The additional breaking is at one of the fixed offset angle
$\theta _i$
such that the auxiliary marking
$z_{{\diamond },i}$
in this branch
$C_i$
is separated from the central disk
$C_0$
by breakings of two edges, say
$T_{e'}$
and
$T_{e"}$
. Moreover, the unbroken component
$C'$
containing this auxiliary marking contains no normal boundary markings labelled by
$\alpha $
.
In the rest of the proof we study the contribution from configurations in the last item. More precisely, those with an interior auxiliary marking at angle
$\theta _i$
, together with the corrections arising from the bulk deformation
$D_q \mathfrak {b}$
, cancel with those with a boundary auxiliary marking, as in Figure 14. Abbreviate
$b_{\boldsymbol {L}}$
by b and write
where
$m_{k,l,d}$
is the contribution from treed disks of area l with d bulk insertions. Suppose Y represents
$[\omega ]$
. We have
$$ \begin{align} ( D_q w) 1_{\boldsymbol{L}} &= D_q \sum_{k,d \geq 0} m_k(b, \ldots, b;\mathfrak{b},\ldots,\mathfrak{b}) = D_q \sum_{k ,d\geq 0} \sum_{l \geq 0} q^l m_{k,l}(b, \ldots, b;\mathfrak{b},\ldots,\mathfrak{b}) \nonumber\\& = \sum_{k\geq 0} \sum_{l \geq 0} lq^l m_{k,l}(b, \ldots, b;\mathfrak{b},\ldots,\mathfrak{b}) + \sum_{k ,d\geq 0} \sum_{1 \leq s \leq k} m_k( \underbrace{b, \ldots, b}_{s-1}, D_q b, b, \ldots, b;\mathfrak{b},\ldots,\mathfrak{b}) \nonumber\\& \quad + \sum_{k ,d \geq 0} \sum_{1 \leq s \leq d} m_k( b,\ldots, b, \underbrace{\mathfrak{b}, \ldots, \mathfrak{b}}_{s-1}, D_q \mathfrak{b}, \mathfrak{b},\ldots, \mathfrak{b}) \nonumber \\& = \sum_{k,d \geq 0} m_k^+(b, \ldots, b;\mathfrak{b},\ldots,\mathfrak{b}) + \sum_{k,d \geq 0} \sum_{1 \leq s \leq k} m_k( \underbrace{b, \ldots, b}_{s-1}, D_q b, b, \ldots, b;\mathfrak{b},\ldots,\mathfrak{b}) \nonumber \\& \quad + \sum_{k ,d \geq 0} \sum_{1 \leq s \leq d} m_k( b,\ldots, b, \underbrace{\mathfrak{b}, \ldots, \mathfrak{b}}_{s-1}, D_q \mathfrak{b}, \mathfrak{b},\ldots, \mathfrak{b}) \end{align} $$
where
$m_k^+$
is the count of treed disks with an interior auxiliary marking constrained to lie in Y with k inputs; recall that the perturbations are independent of the auxiliary markings. The terms involving
$D_q \mathfrak {b}$
are produced by the quantum corrections to the symplectic form in (1.9). Since the count of configurations with one boundary edge labelled by the identity vanishes automatically by the forgetful axiom, the two types of contributions in Figure 14 combine with the corrections
$D_q \mathfrak {b}$
to give zero. A similar identity holds in the case that Y represents
$c_1(X)$
, with the modification that
$D_q \mathfrak {b}$
for a weakly bounding cochain
$\mathfrak {b}$
is replaced by
$$\begin{align*}\left( \frac{2-E}{2} \right) \mathfrak{b} = \sum_{k=0}^\infty \left( \frac{2-k}{2} \right) \mathfrak{b}_k \end{align*}$$
where
$\mathfrak {b}_k$
is the component of
$\mathfrak {b}$
of degree k and E is the grading (Euler) operator. Indeed, the index of any contribution as in (3.20) has a disk component with only
$\mathfrak {b}_{i_j}, j =1,\ldots ,k$
inputs and total index
$$\begin{align*}I_i = 2 + \sum_{j=1}^k ( \deg(\mathfrak{b}_{i_j}) - 2) .\end{align*}$$
The cancellation of two boundary contributions.

Including the terms from
$c_1(X)^{\mathfrak {b}}$
gives a contribution of such configurations of
$$\begin{align*}\sum_i c_i ( \frac{1}{2} I_i + \frac{ 2 - I_i }{2} ) q^{A_i} OC(\mathfrak{b})(\alpha) = w OC(\mathfrak{b})(\alpha) \ \text{mod} \ \operatorname{Im} \delta_{\mathrm{Morse}} \end{align*}$$
as desired.
Lemma 3.27. For each Hochschild cycle
$\alpha \in CC_\bullet ( \operatorname {Fuk}_{\mathfrak L}(X,\mathfrak {b})_w)$
, one has
Similarly if
$c_1(X)$
is representable then
$$\begin{align*}\left( Y + \sum_i \frac{|\mathfrak{b}_i| - 2}{2} \mathfrak{b}_i \right) \star_{\mathfrak{b}} OC_m (\mathfrak{b}) (\alpha) - w \ OC_m (\mathfrak{b})(\alpha) - OC_{m+1}(\mathfrak{b}) (\alpha) \in \mathrm{Im}(\delta_{\mathrm{Morse}}). \end{align*}$$
Proof. The proof of the statement of the Lemma follows by considering families of fixed-angle configurations with an additional interior marking at some additional fixed angle that is not separated from the central disk by a broken edge. Let
$\theta _1,\ldots , \theta _{m+1}$
be an angle sequence as in Definition 3.25. Consider open-closed treed disks
$u: C \to X$
with
$m+1$
auxiliary markings
$\mathring {z}_1, \dots , \mathring {z}_{m+1}$
constrained to lie at angles
$\theta _1,\ldots , \theta _{m+1}$
(as defined by (3.19)); the domain C has exactly m broken edges that split C into a central disk
$C_0$
and branches
$C_1,\dots , C_m$
such that for
$i=1,\dots , m$
,
$\mathring {z}_i$
lies in the branch
$C_i$
; and the last auxiliary marking
$\mathring z_{m+1}$
is an interior marking and lies in the central disk
$C_0$
. Consider the moduli space
$\mathcal {M}(\mathcal {L},Y)$
of maps
$u: C \to X$
for which the images
$u( \mathring {z}_i)$
lie either on Y or on the bulk deformation
$D_q \mathfrak {b}$
. The rigid count of such maps defines a (not necessarily chain) map
The true boundary points of the one-dimensional component of
$\mathcal {M}(\mathcal {L},Y)$
are configurations
$u: C \to X$
with an additional breaking, say at an edge
$T_e$
. If the new breaking is along an interior edge
$T_e$
, then such configurations contribute to
$Y \star _{\mathfrak {b}} (OC_m(\mathfrak {b})(\alpha ))$
,
$D_q\mathfrak {b} \star _{\mathfrak {b}} (OC_m(\mathfrak {b})(\alpha ))$
, or to the Morse coboundary
$\delta _{\mathrm {Morse}}(OC_m(\mathfrak {b})(\alpha ))$
. On the other hand, if the broken edge
$T_e$
is a boundary edge and
$C'$
is the treed disk separated from
$C_0$
one of the following possibilities occurs:
-
(a) If the last auxiliary marking
$z_{{\diamond },m+1}$
is not separated from
$C_0$
by broken edges then
$u: C \to X$
contributes to the expression
$OC_{m,1}(\mathfrak {b})(\delta (\alpha ))$
. -
(b) If the new breaking
$T_{e'}$
is at the
$(m+1)$
-st fixed offset angle
$\theta $
that separates
$\mathring {z}_{m+1}$
from the central disk
$C_0$
, then consider the
$(m+1)$
-st branch
$C_{m+1}$
. Two cases arise.-
(i) If the branch
$C_{m+1}$
has at least one normal boundary marking labelled by
$\alpha $
, then the configuration contributes to
$$\begin{align*}OC_{m+1,\bullet}(\mathfrak{b})(\alpha). \end{align*}$$
-
(ii) If the branch
$C_{m+1}$
does not have any normal boundary marking labelled by
$\alpha $
, then as in our sample case in Section 3.5.1, the configuration contributes to the difference as in Figure 15, where
$$\begin{align*}(D_q w) OC_m(\mathfrak{b})(\alpha) - OC_{m,+} (\mathfrak{b}) (\alpha) \end{align*}$$
$OC_{m,+}(\mathfrak {b})$
counts configurations with a branch
$C_{m+1}$
containing a boundary edge labelled
$D_q b$
but with no boundary edge labelled
$\alpha $
.Figure 15The appearance of the eigenvalue. In the leftmost figure, the auxiliary marking lies on Y or on the bulk deformation
$D_q \mathfrak {b}$
.
-
The signed count of the true boundary points of the one-dimensional components of the moduli space
$\mathcal {M}(\mathcal {L},Y)$
is zero, and thus we obtain
$$ \begin{align*} 0 = ( Y & + D_q \mathfrak{b}) \star_{\mathfrak{b}} OC_m (\mathfrak{b})(\alpha) \\ & - (D_q w ) \ OC_m (\mathfrak{b})(\alpha) + OC_{m,+}(\mathfrak{b})(\alpha) - OC_{m+1,\bullet}(\mathfrak{b})(\alpha) \ \text{mod} \ \mathrm{Im}(\delta_{\mathrm{Morse}}). \end{align*} $$
By Lemma 3.26
$OC_{m,+}(\mathfrak {b})(\alpha ) + OC_{m+1,\circ }(\mathfrak {b})(\alpha )$
vanishes modulo boundary terms. Together with the fact that
$OC_{m+1,\bullet }(\mathfrak {b}) + OC_{m+1,\circ }(\mathfrak {b})=OC_{m+1}(\mathfrak {b})$
, we obtain the claimed identity
The proof in the case that Y represents
$c_1(X)$
is similar.
Proof of Theorem 3.23
Suppose Y represents the Poincaré dual of
$[\omega ]$
and is disjoint from
$|\mathcal {L}|$
. By definition, any Hochschild chain
$\alpha $
has bounded length. Hence for m sufficiently large,
$OC_m(\mathfrak {b})(\alpha ) = 0$
. By Lemma 3.27,
Therefore, passing to cohomology we have
Hence
$[OC(\mathfrak {b})]([\alpha ])$
is in the generalized eigenspace of
$[\omega ]^{\mathfrak {b}} \star $
with eigenvalue
$D_q w$
. Similarly, if
$c_1(X)$
is representable with respect to
$\mathcal {L}$
by some Y then
and
$[OC(\mathfrak {b})]([\alpha ])$
, if non-zero, has eigenvalue w.
We note the following corollary of the proof of Theorem 3.23:
Corollary 3.28. The open-closed map
$HH_\bullet ( \operatorname {Fuk}_{\mathfrak L} (X,\mathfrak {b})_w ) \to QH^{\bullet } (X,\mathfrak {b})$
maps the length filtration of
$HH_\bullet (\operatorname {Fuk}_{\mathfrak L})$
to the Jordan filtrations of
$[\omega ]^{\mathfrak {b}} \star _{\mathfrak {b}}$
and
$c_1(X)^{\mathfrak {b}}$
in the sense that if a class
$[\alpha ]$
is generated by Hochschild chains of length at most k for some integer m, then
$OC(\mathfrak {b})(\alpha )$
is annihilated by
$ ([\omega ]^{\mathfrak {b}} \star _{\mathfrak {b}} - D_q w)^m$
and
$ (c_1(X)^{\mathfrak {b}} \star _{\mathfrak {b}} - w)^m.$
As another Corollary, we have:
Corollary 3.29. For any
$w \neq w'$
, the images of the Hochschild homology groups
$ HH_\bullet (\operatorname {Fuk}_{\mathfrak L} (X,\mathfrak {b})_w) $
and
$HH_\bullet ( \operatorname {Fuk}_{\mathfrak L} (X,\mathfrak {b})_{w'}) $
in
$QH(X,\mathfrak {b})$
under
$[OC(\mathfrak {b})]$
are orthogonal with respect to the Poincaré pairing.
Proof. Since quantum multiplication by even classes is self-adjoint with respect to the Poincaré pairing, the claim follows from Theorem 3.23.
3.6 Closed-open maps
The closed-open map takes as input a quantum cohomology class and its output is an element of Hochschild cohomology:
In the monotone situation, the construction of this map is a special case of the construction of the functor described in the work of Ma’u, Wehrheim, and the second author [Reference Ma’u, Wehrheim and WoodwardMWW18]. For monotone symplectic manifolds
$X_0$
,
$X_1$
, [Reference Ma’u, Wehrheim and WoodwardMWW18] defines an
$A_{\infty }$
functor
If
$X_0:=X_1:=X$
,
$\Phi $
maps the diagonal to the identity functor:
and
$\Phi $
restricts to an
$A_{\infty }$
map from the Fukaya algebra of the diagonal to the space of natural transformations on the identity functor, i.e., the space of Hochschild cochains.
3.6.1 Definition of the chain-level closed-open maps
We first describe the combinatorics of the domains responsible for the chain-level maps.
Definition 3.30. A closed-open domain type consists of a two-coloured tree
$\Gamma $
with the output
$e_\infty \in \operatorname {Edge}_\rightarrow (\Gamma _\circ )$
in the disk part
$\Gamma _\circ $
and with exactly one gradient leaf
$e_\bullet \in \mathrm { Leaf}_{\mathrm {grad}}(\Gamma )$
, a metric type
${\underline {\smash {\ell }}}$
and a weighting type
${\underline {\smash {\operatorname {wt}}}}$
for boundary semi-infinite edges and interior constrained leaves, as in Definition 3.16. Moreover, we require that the weighting type comes from a weighting on semi-infinite edges that satisfies (2.2). A closed-open map type
$\mathbb {\Gamma }$
consists of a closed-open domain type
$\Gamma $
(which has d boundary inputs), a collection
of critical points corresponding to a sequence of Lagrangians
a collection
of homology classes, a critical point
of the Morse function
$f_X : X \to \mathbb {R}$
, and additional interior labelling data
${\underline {\smash {\lambda }}}$
as in (2.12) indicating whether the interior leaf represents a Morse trajectory in X or an intersection with the Donaldson hypersurface D.
Moduli spaces for closed-open maps with Lagrangian boundary conditions are defined similarly as the case of open-closed maps, but now the Morse trajectory on the gradient leaf goes in the opposite direction. Given a closed-open map type
$\mathbb {\Gamma }$
and a perturbation
$P_\Gamma $
, let
${\mathcal M}_{\mathbb {\Gamma }}(P_\Gamma )$
denote the moduli space of stable holomorphic treed disks of map type
${\mathbb {\Gamma }}$
. Regularization of these moduli spaces can be achieved using Donaldson hypersurfaces constructed in the same way as in Theorem 2.26. Here, we also require that the system of coherent perturbations extends the existing system for defining the Fukaya category. In the case of no incoming boundary markings, we fix perturbations that are independent of the position of the incoming interior leaf; such perturbations may be chosen since the interior markings constrained to map to the Donaldson hypersurface already stabilize the components on which the map is non-constant. On the other hand, transversality on the constant components (including transversality of the matching conditions) may be achieved by a generic perturbation of the function on the incoming edge, independent of the domain.Footnote 11 A closed-open map type is essential if it has no spherical components, all boundary edges
$e \in \operatorname {Edge}_\circ (\Gamma )$
have positive lengths
$\ell (e)> 0$
, and the number of edges labelled by the Donaldson hypersurface D on each surface component
$S_v$
is equal to the expected number
$k \omega (\beta _v)$
, where k is the degree of the Donaldson hypersurface. For a collection of boundary inputs
$\underline {\smash {x}} = (x_0, x_1, \ldots , x_d)$
and a critical point
of
$f_X$
, let
denote the union of the moduli spaces of closed-open treed disks of essential map types whose expected dimensions are zero, whose gradient leaf
$T_{e_\bullet }$
is labelled
, and whose boundary insertions are
$x_0, x_1, \ldots , x_d$
.
Definition 3.31 (Closed-open map, without bounding cochains)
For an integer
$d \geq 0$
and a sequence of branes
$\underline {\smash { {\widehat {L}}}}:=({\widehat {L}}_0, \ldots , {\widehat {L}}_d)$
, define a map
$$ \begin{align} CO_{d, {\underline{\smash{\widehat{L}}}}}{}^{\sim} ({\mathfrak{b}}): CM^{\bullet}&(f_X, h_X) \to \nonumber\\& {\mathrm{Hom}} \Big( CF^{\bullet} ( {\widehat{L}}_{d-1}, {\widehat{L}}_d) \otimes \cdots \otimes CF^{\bullet} ({\widehat{L}}_0, {\widehat{L}}_d)), CF^{\bullet} ({\widehat{L}}_0, {\widehat{L}}_d) \Big) \end{align} $$
between the Morse complex of
$(f_X, h_X)$
and Hochschild cochain complex (see (3.14)) as follows. For any generator
of
$CM^{\bullet }(f_X, h_X)$
and generators
$a_1 \in CF^{\bullet } ({\widehat {L}}_0, {\widehat {L}}_1)$
,
$\cdots $
,
$a_d \in CF^{\bullet } ({\widehat {L}}_{d-1}, {\widehat {L}}_d)$
, define

with weightings
${\operatorname {wt}}(u)$
from (3.6), extended linearly over
$\Lambda $
.
Definition 3.32 (Closed open map, with bounding cochains)
Given a subset of weakly unobstructed branes
${\mathfrak L}$
, the chain level closed-open map from the
$\mathfrak {b}$
-deformed quantum cohomology of X to the flat
$A_{\infty }$
category
$\operatorname {Fuk}^\flat _{\mathfrak L} (X, \mathfrak {b})$
is a map
defined as follows. Suppose
are weakly unobstructed branes in
${\mathfrak L}$
. For each
,
is the cochain that maps
to the following element in
$\mathrm {Hom}({\boldsymbol {L}}_0, {\boldsymbol {L}}_d)$
:

See Figure 16 for an illustration of a typical configuration possibly contributing to the closed-open map
A configuration that possibly contributes to the closed-open map (Maurer-Cartan insertions are omitted).

First we show that the closed-open map induces a map from the quantum cohomology to the Hochschild cohomology.
Theorem 3.33. The map
$CO(\mathfrak {b}): CM^{\bullet } (f_X, h_X ) \to CC^{\bullet } (\operatorname {Fuk}^\flat _{\mathfrak L}(X, \mathfrak {b}))$
defined by Definition 3.32 has the following properties.
-
(a)
$CO(\mathfrak {b})$
is a cochain map. -
(b) If
$d \geq 1$
and
for some
$i = 1, \ldots , d$
, then 
Proof. To prove the claim (a) that
$CO(\mathfrak {b})$
is a chain map, consider the one-dimensional moduli space
for fixed labelling data
$\underline {\smash {x}}$
and
. A compactness theorem similar to Lemma 2.32 shows that the boundary of such a moduli space consists of once-broken configurations, that is, strata
${\mathcal M}_{\mathbb {\Gamma }}(P_\Gamma )$
of expected dimension zero with one infinite-length edge
$e \in \operatorname {Edge}(\mathbb {\Gamma })$
. The broken edge e could be on the boundary, so that part of the configuration contributes to the differential
$\delta $
of the Hochschild cochain complex, or on the interior gradient leaf which corresponds to the Morse differential on X. To prove property (b), notice that the perturbation data
$P_\Gamma $
for types involving forgettable boundary inputs
$e \in \operatorname {Edge}_{\rightarrow ,\circ }(\Gamma )$
is pulled back under the forgetful map that removes such inputs and collapses unstable components. Property (b) holds in the same way as the unitality of the Fukaya category.
3.6.2 A spectral property of the closed-open map
We prove a spectral property of the closed-open map similar to the spectral property of the open-closed map. This result allows us to obtain a refined generation result for the Fukaya category (see the statement of Theorem 1.10).
A configuration contributing to
$CO_+$
. There is one auxiliary boundary marking labelled by
$D_q b_{\boldsymbol K}$
. Boundary insertions by weakly bounding cochains are omitted.

Theorem 3.34. Suppose
$\lambda , w \in \Lambda $
with
$\lambda \neq D_q w$
. Suppose
${\boldsymbol K} \in MC({\mathcal L})$
is a weakly unobstructed brane with potential function w and
$\gamma \in QH^{\bullet }(X; \mathfrak {b})$
is a generalized eigenvector of the quantum multiplication by
$[\omega ]^{\mathfrak {b}}$
corresponding to eigenvalue
$\lambda $
. Then
The same identity holds if
$\gamma $
is a generalized eigenvector of the quantum multiplication by
$c_1(X)^{\mathfrak {b}}$
corresponding to eigenvalue
$\lambda \neq w$
.
Sketch of proof.
Similar to the case of the open-closed map, we introduce a new kind of closed-open domain with an interior marking at a fixed angle
$\theta \in (0, 2\pi )$
and a chain-level map
that counts configurations described by Figure 17. It follows in a way similar to Lemma 3.26 that if the input
is a Morse cocycle, then
is a Floer coboundary. Choose a submanifold
$Y\subset X$
that represents the Poincaré dual of
$[\omega ]$
and that intersects transversely with the Donaldson hypersurface D. Via the moduli space similar to that described by Figure 9, with the directions on all semi-infinite edges reversed, one obtains that on the chain level
Hence, for
$\gamma $
a generalized eigenvector corresponding to
$\lambda $
, one has for some positive integer m
As
$\lambda \neq D_q w$
, the first part of the theorem follows. The second part is similar, using that since
${\boldsymbol K}$
is orientable, the first Chern class
$c_1(X)$
is representable by a generic section of the anticanonical bundle that is non-vanishing on
${\boldsymbol K}$
.
3.6.3 The homomorphism property
Lastly, we show that the map on the cohomology level intertwines with the ring structures.
Theorem 3.35. The cohomology-level closed-open map
is a unital ring homomorphism.
Before giving the proof, we note the following consequence for automorphism algebras of objects in the Fukaya category. Given a weakly unobstructed brane
${\boldsymbol {L}} = ({\widehat {L}}, b) \in MC({\mathcal L})$
, we may consider the component
of the closed-open map that outputs Hochschild cochains of length zero lying in
$CF^{\bullet } ({\widehat {L}}, {\widehat {L}})$
. Theorem 3.35 implies that the resulting map is a ring homomorphism from the quantum cohomology of X to the Floer cohomology of
${\boldsymbol {L}}$
, and in particular non-vanishing of Floer cohomology gives eigenvalues for quantum multiplication; we thank Marco Castronovo for discussions on this point.
Corollary 3.36. For any weakly unobstructed brane
${\boldsymbol {L}}\in MC({\mathcal L})$
, the closed-open map
is a unital ring homomorphism. In particular, if
$HF^{\bullet } ({\boldsymbol {L}}, {\boldsymbol {L}})$
is non-zero and
${\boldsymbol {L}}$
lies in
$ \operatorname {Fuk}_{\mathfrak L}(X,{\mathfrak {b}})_w$
then w is an eigenvalue for quantum multiplication by
$c_1(X)^{{\mathfrak {b}}}$
.
Proof. The first part of the statement of the Corollary is immediate from Theorem 3.35 and Definition 3.9. The second part follows from the unitality property and the fact that if
$HF({\boldsymbol {L}},{\boldsymbol {L}})$
is non-zero, then the unit must be non-vanishing. By Theorem 3.34, the unit in
$QH(X,{\mathfrak {b}})$
must have a non-vanishing eigen-component for quantum multiplication by
$c_1(X)^{{\mathfrak {b}}}$
.
The central ingredient of the proof of Theorem 3.35 is the notion of a balancing condition on some interior markings on a disk which is similar to the notion of quilted disks in [Reference Ma’u, Wehrheim and WoodwardMWW18].
Definition 3.37 (Balanced marked disks)
Consider a marked disk
$S \simeq \mathbb {D}$
with two interior markings
$z', z"$
and boundary markings
${\underline {\smash {Z}}} = (z_0,\dots ,z_d)$
. The marked disk
$(S, z', z", {\underline {\smash {Z}}})$
is balanced if the interior markings
$z', z"$
and the boundary output marking
$z_0$
lie on a circle
$S \subset \mathbb {D}$
tangent to
$\partial \mathbb {D}$
at
$z_0$
. In the combinatorial type of a balanced treed disk, the interior markings
$z', z"$
correspond to gradient leaves. This ends the Definition.
The moduli space of balanced disks is defined as follows. The balanced condition is invariant under the action of
$PSL(2; {\mathbb R}) \cong \mathrm {Aut}(\mathbb {D})$
, and we denote by
$\mathcal {M}^b$
the set of isomorphism classes of balanced disks. This moduli space can be equipped with a Hausdorff topology in the same way as for marked disks.
Remark 3.38 (Balanced versus quilted disks)
The balancing condition in the above definition is similar to the condition in Ma’u-Wehrheim-Woodward [Reference Ma’u, Wehrheim and WoodwardMWW18] that the interior markings lie on the same seam. Therefore in Figure 18, balanced disks are depicted in a similar manner to quilted disks; the circle containing
$z', z", z_0$
resembles a quilting circle and the part of the disk above resp. below the circle is coloured dark resp. light. However, the balancing condition differs from the quilting condition in that in the compactification of the moduli space, disk/sphere components that do not contain either of the markings
$z'$
,
$z"$
are unquilted, and boundary inputs are allowed to be incident on light components as well. Figure 18 shows the compactified moduli space of balanced disks with one boundary input, which may be contrasted with the quilted version in [Reference Ma’u, Wehrheim and WoodwardMWW18, Figure 11].
The compactified moduli space of balanced disks with two interior markings (long leaves), one boundary input marking and one boundary output marking.

The compactified moduli space of balanced treed disks with two interior markings (long leaves) and one output. This moduli space is one-dimensional and the points
$\rho =0, 1$
are fake boundary strata.

We generalize the balanced condition to treed disks.
Definition 3.39. (Balanced treed disk)
Consider a treed disk
$C = S \cup T$
of domain type
$\Gamma $
that has two gradient leaves
$e', e"$
and one boundary output. We say that C is balanced if the following conditions are satisfied. Let
$v', v" \in \mathrm {Vert}(\Gamma _\circ )$
be the two vertices in the disk part that are closest to the two gradient leaves
$e'$
and
$e"$
, respectively.
-
(a) If
$v' \neq v"$
, then for the (unique) path
$e_1, e_2, \ldots , e_k$
in
$\Gamma _\circ $
connecting
$v'$
and
$v"$
, require where the signs depend on whether the direction of the path is towards the root or away from the root.
$$\begin{align*}\sum_{i=1}^k \pm \ell(e_i) = 0 \end{align*}$$
-
(b) If
$v' = v" = v$
, then let
$z', z" \in S_v \simeq \mathbb {D}$
be the node corresponding to them and let
$z_0\in \partial S_v$
be the node towards the output. Then we require that the marked disk
$(S_v, z', z", z_0)$
is balanced (see Definition 3.37).
We make a few remarks on the differences between the moduli space of balanced treed disks and the moduli spaces of treed disks used before. For any stable domain type
$\Gamma $
of treed disks with two gradient leaves, inside the moduli space
${\mathcal {M}}_\Gamma $
of stable treed disks the locus of balanced treed disks, denoted by
$ {\mathcal M}_\Gamma ^b \subset {\mathcal M}_\Gamma $
is a real codimension one submanifold. See Figure 19 for an illustration of a compactified moduli space of balanced treed disks with two gradient leaves. As opposed to stable maps, the number of nodes is not equal to the codimension of the stratum; instead, there are relations on the gluing parameters arising from the fact that the markings must lie on the same interior circle. See [Reference Ma’u, Wehrheim and WoodwardMWW18] for more details (for disks rather than treed disks).
We introduce moduli spaces of balanced disks with Lagrangian boundary conditions as follows. For any map type
${\mathbb {\Gamma }}$
let
${\mathcal {M}}_{\mathbb {\Gamma }}^b(P_\Gamma )$
denote the moduli space of maps from balanced disks with perturbation data
$P_\Gamma $
. The transversality argument of Section 2.6 can be extended to guarantee that
${\mathcal {M}}_{\mathbb {\Gamma }}^b (P_\Gamma )$
is cut out transversely as gradient as
${\mathbb {\Gamma }}$
is uncrowded. We also require that the coherent system of perturbations extends the existing one used for defining the Fukaya category and the quantum multiplication.
Proof of Theorem 3.35
Denote by
$\ast $
the Yoneda product
$\mu ^2_{CC^{\bullet }}$
of (3.16). Fix Morse cocycles
. We will show that the difference
is a coboundary in the Hochschild cochain complex. To reduce notational complexities, we assume that both
and
are single critical points. We first construct the coboundary. For any
$w \in \Lambda $
, consider weakly unobstructed branes
${\boldsymbol {L}}_0, \cdots , {\boldsymbol {L}}_d$
with potential function having value w; consider generators
${\underline {\smash {a}}} = (a_d, \ldots , a_0)$
where
Fix
$j_0, j_1, \ldots , j_d \geq 0$
and consider balanced domain types
$\Gamma $
with two gradient leaves,
$d + j_0 + \cdots + j_d$
boundary inputs and essential map types
${\mathbb {\Gamma }}$
of expected dimension zero whose gradient leaves are labelled by
and whose boundary inputs are labelled by
(in anticlockwise orientation, the last one is the output). For each such moduli space
${\mathcal {M}}_{\mathbb {\Gamma }}^b$
the count of rigid elements defines an element
and so one obtains a cochain
We claim that
To show this relation, consider a one-dimensional balanced moduli space with gradient leaves labelled by
and any number of boundary inputs. There are three types of true boundary strata, see types (a), (b), (c) in Figure 20. In the first type (a) of boundary strata, there is a broken treed segment at an interior node. In the second type (b), there are two boundary breakings on a path connecting the two disk components having the two gradient leaves. In the third type, there is one boundary breaking that is not in the path connecting the disk components having the two gradient leaves. These types correspond to the three terms in (3.23).
Curve types (a), (b), (c) that can occur on the boundary of a one-dimensional moduli space of balanced treed disks with two gradient leaves. These three types contribute to the relation (3.23).

It remains to show that the closed-open map is unital. One possible argument would be to construct
$CO$
on the chain level so that it maps strict units to strict units. Rather than take this route, we note that because the perturbations were chosen to be independent of the position of the leaf labelled by
, configurations with input
equal to the geometric unit
$x_{\max }$
and no other boundary inputs can be rigid only if the underlying configuration is unstable, which means that the map is constant and has a single output, necessarily the geometric unit in
$CF({\boldsymbol {L}},{\boldsymbol {L}}).$
Since the geometric unit minus the strict unit
is the boundary of
up to terms with higher q-valuation, this implies that with notation from Remark 3.9 the difference
$[CO({\mathfrak {b}})] (1_{QH(X)}) - 1_{HH(\mathcal {F}^\flat )} $
has positive q-valuation, or vanishes. Suppose that the difference is non-vanishing. Then for some
$\Upsilon _0,\Upsilon _1 \in HH^{\bullet } \left ( \operatorname {Fuk}^\flat _{\mathcal {L}}(X,{\mathfrak {b}}) \right )$
we have
where
$\Upsilon _1$
has length at least one in the length filtration on
$HH(\operatorname {Fuk}^\flat _{\mathcal {L}}(X,{\mathfrak {b}}))$
. Write
$\Upsilon _0 = \Upsilon _0' + \Upsilon _0"$
where
$\Upsilon _0'$
is homogeneous in q and
$ \operatorname {val}_q(\Upsilon _0")> \operatorname {val}_q(\Upsilon _0')$
, if non-vanishing. We view
$\Upsilon _0'$
as the leading order term in
$\Upsilon _0 + \Upsilon _1$
. The homomorphism property and preservation of the length filtration implies that
$$ \begin{align*} [CO({\mathfrak{b}})] (1_{QH(X)})^2 &= (1_{HH(\mathcal{F}^\flat)} + \Upsilon_0' + \ldots)^2 \\ &= (1_{HH(\mathcal{F}^\flat)} + 2\Upsilon_0' + \ldots ) \\ &= [CO({\mathfrak{b}})] (1_{QH(X)}) = 1_{HH(\mathcal{F}^\flat)} + \Upsilon_0' + \ldots .\end{align*} $$
Hence
$2\Upsilon _0' = \Upsilon _0'$
which forces
$\Upsilon _0$
to vanish. If
$\Upsilon _1$
has length
$\ell \ge 1$
(that is, can be represented by a cochain which vanishes unless the number of inputs is at least
$\ell $
) then
$\Upsilon _1^2$
has length at least
$2\ell $
, which is a contradiction unless
$\Upsilon _1$
vanishes.
4 Abouzaid’s split-generation criterion
In this section, we adapt Abouzaid’s criterion [Reference AbouzaidAbo10] for the split-generation of the Fukaya category to the non-exact case in which the
$A_{\infty }$
composition maps are defined by counts of treed disks. We follow the argument of [Reference AbouzaidAbo10] to prove Theorem 1.10. The main technical input is the use of moduli spaces of treed annuli and a particular way of degenerating treed annuli. Using a different degeneration we also prove that disjoint branes have orthogonal images under the open-closed maps, i.e., Theorem 1.11.
4.1 The Cardy diagram
The idea of Abouzaid’s construction is to produce the maps necessary for writing a Lagrangian as a mapping cone by degenerating holomorphic annuli to pairs of disks. Given a collection
${\mathfrak G}$
of objects of
$\operatorname {Fuk}^\flat _{\mathcal {L}} (X,{\mathfrak {b}})$
, we wish to show that any object
${\boldsymbol K}$
of
$\operatorname {Fuk}^\flat _{\mathcal {L}}(X,{\mathfrak {b}})$
is split-generated (see Definition 4.2) by the objects
${\mathfrak G}$
. For example, we might hope to show that
${\boldsymbol K}$
is a sub-object of some object
${\boldsymbol {L}}$
of
${\mathfrak G}$
; to show this we want morphisms
such that
Naturally one hopes that the chains
$\alpha ,\beta $
can be produced geometrically as a count of holomorphic disks with two outputs. If this is the case, one can glue to obtain holomorphic annuli with an output labelled by the identity
$1_{\boldsymbol K}$
. A degeneration of the annulus to ‘infinite length’ shows that a count of holomorphic disks with a single output must be non-trivial, see Figure 23.
The result, Abouzaid’s criterion Theorem 1.10, gives a factorization of the open-closed and closed-open maps through the tensor product of Yoneda modules.
Definition 4.1 (Yoneda modules, collapsing map)
Let
${\boldsymbol K}$
be an object of the flat Fukaya category
$\operatorname {Fuk}^\flat _{\mathcal L}(X, {\mathfrak {b}})$
.
-
(a) For any
$w \in \Lambda $
and
${\boldsymbol K} \in \operatorname {Obj}(\operatorname {Fuk}_{\mathcal L}(X,{\mathfrak {b}})_w)$
, denote by
$ \mathcal {Y}_{\boldsymbol K}^{\mathrm {L}}$
resp.
$\mathcal {Y}_{\boldsymbol K}^{\mathrm {R}}$
the left resp. right Yoneda module over
$\operatorname {Fuk}^\flat _{\mathcal {L}}(X,{\mathfrak {b}})$
defined on objects by for
$$ \begin{align*} &\ \mathcal{Y}_{\boldsymbol K}^{\mathrm{R}}( {\boldsymbol{L}} ) = \operatorname{Hom}( {\boldsymbol{L}}, {\boldsymbol K} ), &\ \mathcal{Y}_{\boldsymbol K}^{\mathrm{L}} ( {\boldsymbol{L}} ) = \operatorname{Hom} ( {\boldsymbol K}, {\boldsymbol{L}} ) \end{align*} $$
${\boldsymbol {L}} \in \operatorname {Obj}(\operatorname {Fuk}_{\mathcal L}(X,{\mathfrak {b}})_w)$
.
-
(b) The tensor product of Yoneda modules is an
$A_{\infty }$
bimodule over
$\operatorname {Fuk}^\flat _{\mathcal {L}} (X,{\mathfrak {b}})$
denoted
$\mathcal {Y}_{\boldsymbol K}^{\mathrm {L}} \otimes \mathcal {Y}_{\boldsymbol K}^{\mathrm {R}}$
. It is hence an
$A_{\infty }$
bimodule over any full subcategory
$\operatorname {Fuk}^\flat _{\mathfrak G}(X, {\mathfrak {b}})$
by restricting to a subset of weakly bounding cochains
${\mathfrak G} \subset MC({\mathcal L})$
. The Hochschild homology is computed by the bar complex
$$\begin{align*}HH_\bullet (\operatorname{Fuk}^\flat_{\mathfrak G} (X,{\mathfrak{b}}), \mathcal{Y}_{\boldsymbol K}^{\mathrm{L}} \otimes \mathcal{Y}_{\boldsymbol K}^{\mathrm{ R}} ) = H_\bullet ( \mathcal{Y}_{\boldsymbol K}^{\mathrm{R}} \otimes_{\operatorname{Fuk}^\flat_{\mathfrak G} (X,{\mathfrak{b}})} \mathcal{Y}_{\boldsymbol K}^{\mathrm{L}} ) \end{align*}$$
(4.1)with differential given by the possible ways of collapsing. Here the
$$ \begin{align} B (\mathcal{Y}_{\boldsymbol K}^{r} & \otimes_{\operatorname{Fuk}^\flat_{\mathfrak G} (X,{\mathfrak{b}})} \mathcal{Y}_{\boldsymbol K}^{l}) \nonumber\\ & = \bigoplus_{k=0}^\infty \bigoplus_{\substack{{\boldsymbol{L}}_1, \ldots, {\boldsymbol{L}}_k \in {\mathfrak G}\\ w({\boldsymbol{L}}_i)=w({\boldsymbol K}) }} \mathrm{Hom} ({\boldsymbol{L}}_{k}, {\boldsymbol K}) \otimes \cdots \otimes \mathrm{Hom} ({\boldsymbol{L}}_{1}, {\boldsymbol{L}}_{2}) \otimes \mathrm{Hom} ({\boldsymbol K}, {\boldsymbol{L}}_{1}) \end{align} $$
$k=0$
summand is
$ \operatorname {Hom}({\boldsymbol K}, {\boldsymbol K})$
.
-
(c) The collapsing map
is defined by composing all factors in (4.1):
$$\begin{align*}\mu_{\boldsymbol K}: B(\mathcal{Y}_{\boldsymbol K}^{\mathrm{R}} \otimes_{\operatorname{Fuk}^\flat_{\mathfrak G} (X,{\mathfrak{b}})} \mathcal{Y}_{\boldsymbol K}^{\mathrm{L}}) \to \operatorname{Hom} ({\boldsymbol K},{\boldsymbol K} ) \end{align*}$$
where
$$\begin{align*}\mu_{\boldsymbol K}: a_+ \otimes a_k \otimes \ldots \otimes a_1 \otimes a_- \mapsto (-1)^{\diamondsuit} m_{k+2}(a_+ ,a_k,\ldots, a_1, a_-) \end{align*}$$
$\diamondsuit $
is the Koszul sign The
$$\begin{align*}| a_-| + \sum_{j=1}^k \Vert a_j \Vert. \end{align*}$$
$A_{\infty }$
relation implies that
$\mu _{\boldsymbol K}$
is a chain map, hence induces a map (4.2)
$$ \begin{align} \mu_{\boldsymbol K}: H_\bullet ( {\mathcal Y}_{\boldsymbol K}^{\mathrm{R}} \otimes_{\operatorname{Fuk}^\flat_{\mathfrak G}(X, {\mathfrak{b}})} {\mathcal Y}_{\boldsymbol K}^{\mathrm{L}} ) \to HF^{\bullet}( {\boldsymbol K}, {\boldsymbol K}). \end{align} $$
The following characterization of split-generation (see [Reference AbouzaidAbo10, Lemma 1.4]) will serve as the definition for our purposes.
Definition 4.2 (Split-generation)
A flat
$A_{\infty }$
-category
${\mathfrak L}$
is split-generated by a set of objects
${\mathfrak G}$
if for any object
${\boldsymbol K}$
in
${\mathfrak L}$
, the image
$\mu _{\boldsymbol K}(H_\bullet ( {\mathcal Y}_{\boldsymbol K}^{\mathrm {R}} \otimes _{\operatorname {Fuk}^\flat _{\mathfrak G}(X, {\mathfrak {b}})} {\mathcal Y}_{\boldsymbol K}^{\mathrm {L}} ))$
contains the identity element
.
4.1.1 The coproduct
We define an
$A_{\infty }$
coproduct functor
by counting treed disks with two outputs: Such a functor consists of a collection of maps
$\{\delta _{r|1|s}\}_{r,s \geq 0}$
where
$$ \begin{align} \delta_{r|1|s} : \ \operatorname{Hom} ({\boldsymbol{L}}_{r-1}, {\boldsymbol{L}}_r)& \otimes \cdots \otimes \operatorname{Hom} ({\boldsymbol{L}}_0, {\boldsymbol{L}}_1) \otimes \operatorname{Hom} ({\boldsymbol{L}}_0, {\boldsymbol{L}}_0') \otimes {\boldsymbol{L}}({\boldsymbol{L}}_0', {\boldsymbol{L}}_1') \otimes \nonumber\\ & \cdots \otimes \operatorname{Hom} ({\boldsymbol{L}}_{s-1}', {\boldsymbol{L}}_s') \to \operatorname{Hom} ({\boldsymbol K}, {\boldsymbol{L}}_r) \otimes \operatorname{Hom} ({\boldsymbol{L}}_s', {\boldsymbol K}), \end{align} $$
satisfying an
$A_{\infty }$
axiom (see [Reference AbouzaidAbo10, (4.13)]). We will define these maps
$\delta _{r|1|s}$
by counting holomorphic disks with two outputs. As the moduli spaces are different from what we have been using, the construction deserves a separate discussion.
We briefly discuss the moduli spaces of treed disks with two outputs. The domain types are two-coloured trees with weighting types on semi-infinite edges and metric types on finite edges. However, in comparison with the types used for the construction of the Fukaya algebras, the trees are no longer rooted. The restriction on the weighting types is different from Definition 2.3. We require that both outputs are unforgettable (labelled by
) while inputs can still be forgetful (
), unforgettable (
), or weighted (
). The stability condition remains the same. For each stable domain type
$\Gamma $
, there is a moduli space
${\mathcal M}_\Gamma $
and its compactification
$\overline {\mathcal M}_\Gamma $
as well as the universal curve
$\overline {\mathcal U}_\Gamma \to \overline {\mathcal M}_\Gamma $
. Notice that treed disks with two outputs can degenerate to broken treed disks whose unbroken components can have only one output. In order to define maps respecting the existing
$A_{\infty }$
structure on the Fukaya category, we require the perturbations used here to extend the existing ones used for defining the Fukaya category. The notion of map types is similar to previous cases. For any stable domain type
$\Gamma $
, a perturbation datum
$P_\Gamma $
and a map type
$\mathbb {\Gamma }$
, one has a moduli space
${\mathcal M}_{\mathbb {\Gamma }}(P_\Gamma )$
of treed disks with two outputs of type
$\mathbb {\Gamma }$
. There exists a coherent system of strongly regular perturbations
$P_\Gamma $
, so that for all uncrowded map type
$\mathbb {\Gamma }$
,
${\mathcal M}_{\mathbb {\Gamma }}(P_\Gamma )$
is a smooth manifold of the expected dimension. Moreover, for essential map types (see Definition 2.30) of expected dimension zero or one, a refined compactness result similar to Theorem 2.32 holds.
The structure maps for the coproduct functor are defined as follows. For
$r, s \geq 0$
, Lagrangian branes
${\widehat {L}}_r, \ldots , {\widehat {L}}_0, {\widehat {L}}_0', \ldots , {\widehat {L}}_s'$
, and generators
$x_i \in {\mathcal I}( {\widehat {L}}_{i-1}, {\widehat {L}}_i)$
for
$i = r, \ldots , 1$
,
$x_0 \in {\mathcal I}({\widehat {L}}_0, {\widehat {L}}_0')$
,
$x_j' \in {\mathcal I}({\widehat {L}}_{j-1}', {\widehat {L}}_j' )$
for
$j = 1, \ldots , s$
, and
$y^{\mathrm {L}} \in {\mathcal I}(\widehat K, {\widehat {L}}_r)$
,
$y^{\mathrm {R}} \in {\mathcal I}( {\widehat {L}}_s', \widehat K)$
,
$y_1, \ldots , y_t \in {\mathcal I}^{\mathrm {odd}} (\widehat K, \widehat K)$
, one considers the moduli space
given by the union of moduli spaces
${\mathcal M}_{\mathbb {\Gamma }}(P_\Gamma )$
of essential map types
$\mathbb {\Gamma }$
whose boundary edges are labelled by these generators (see Figure 21). Define
$$ \begin{align} (a_{r},\ldots, a_1, a_0, a_1',\ldots,& a_{s}'; a^{\prime\prime}_1, \ldots, a^{\prime\prime}_t) \nonumber\\ & \mapsto \sum_{y^{\mathrm{R}} \in {\mathcal I}( \widehat L_s', \widehat K)} \sum_{y^{\mathrm{L}} \in {\mathcal I}(\widehat K, \widehat L_r)} \sum_{u \in {\mathcal M}_{r|1|s}( \underline{\smash{x}}; y^{\mathrm{R}}, \underline{\smash{y}}, y^{\mathrm{L}})_0} (-1)^{\ddagger} \operatorname{wt}(u) \end{align} $$
where the sum is over rigid maps u with two output leaves and one distinguished input (in this case
$x_0$
) among a list of input leaves, the
$a^{\prime }_i$
resp.
$a^{\prime \prime }_i$
are the generators corresponding to
$x_i$
and
$y_i$
, respectively, and the product of holonomies over u is interpreted as an element in the tensor product of identification of local systems in
$y^{\mathrm {L}}$
and
$y^{\mathrm {R}}$
.
Moduli spaces defining the
$A_{\infty }$
coproduct.

The sign
$\ddagger $
is given as in Abouzaid [Reference AbouzaidAbo10, 4.17] by
$$\begin{align*}\sum_{j=1}^s (s - j + 1) |x^{\prime}_j| + s | x_0 | + \sum_{j=1}^r (j + s) | x_j |. \end{align*}$$
The coproduct map is defined by summing over all possible ways of inserting weakly bounding cochains; especially, we insert
$a^{\prime \prime }_1 = a^{\prime \prime }_2 = \cdots = a^{\prime \prime }_t = b_{\boldsymbol K}$
in (4.4)). For any
$r, s \geq 0$
, we can define
$$ \begin{align*} \delta_{r|1|s}: \bigotimes_{i=1}^r \mathrm{Hom}( {\boldsymbol{L}}_{i-1}, {\boldsymbol{L}}_i) \otimes \mathrm{Hom}( {\boldsymbol{L}}_0, {\boldsymbol{L}}_0') \otimes & \bigotimes_{j=1}^s \operatorname{Hom} ({\boldsymbol{L}}_{j-1}', {\boldsymbol{L}}_j') \\ & \to \operatorname{Hom} ( {\boldsymbol K}, {\boldsymbol{L}}_r) \otimes \operatorname{Hom}( {\boldsymbol{L}}_s' , {\boldsymbol K}), \end{align*} $$
where
${\boldsymbol {L}}_i, {\boldsymbol {L}}_i' \in \operatorname {Obj}(\operatorname {Fuk}_{\mathcal L}(X,{\mathfrak {b}})_{w({\boldsymbol K})})$
. We obtain a coproduct map on Hochschild chains
$$ \begin{align} & \delta_{\boldsymbol K} : CC_d (\operatorname{Fuk}^\flat_{\mathcal{L}}(X, {\mathfrak{b}})) \to \mathcal{Y}^{\mathrm{R}}_{\boldsymbol K} \otimes_{\operatorname{Fuk}^\flat_{\mathcal{L}}(X,{\mathfrak{b}})} \mathcal{Y}^{\mathrm{L}}_{\boldsymbol K} \nonumber\\& a_d \otimes \ldots \otimes a_0 \mapsto \sum_{r,s} (-1)^{\diamond} {\mathcal T} \Big( a_{r+1} \otimes \ldots a_{d -s} \otimes \delta_{r|1|s} ( a_r \otimes \cdots \otimes a_1 \otimes a_0 \nonumber\\& \qquad\qquad\qquad\qquad\qquad\qquad\otimes a_d \otimes \cdots \otimes a_{d-s+1} ) \Big) \end{align} $$
where the map
$\mathcal {T}$
reorders the factors
and the signs are given by the formulas
and
Proposition 4.3. For any subset
${\mathfrak G}\subset MC({\mathcal L})$
of weakly unobstructed branes and
${{\boldsymbol K} \in MC({\mathcal L})}$
, the coproduct map
$\delta _{\boldsymbol K}: CC_\bullet ( \operatorname {Fuk}^\flat _{\mathfrak G}(X, {\mathfrak {b}})) \to B( {\mathcal Y}_{{\boldsymbol K}}^{\mathrm {R}} \otimes _{\operatorname {Fuk}^\flat _{\mathfrak G}(X, {\mathfrak {b}})} {\mathcal Y}_{\boldsymbol K}^{\mathrm {L}})$
is a chain map.
Proof. The statement of the Proposition is a consequence of the classification of boundary strata of moduli spaces of treed disks with two outputs and the verification of signs. Indeed, for any one-dimensional moduli space of treed disks with two outputs, there are two types of boundary strata: either the two outputs are in the same unbroken components, or they are in different unbroken components (see Figure 22).
Two types of boundary strata of moduli spaces of treed disks with two boundary outputs.

These two boundary types correspond to (part of) the differentials on the Hochschild complex and the bar complex. The other parts of these differentials are carried over in the terms in the definition of
$\delta _{\boldsymbol K}$
which do not count holomorphic disks.
We denote the induced map on homology still by the same notation:
Note that
$\delta _{\boldsymbol K}=0$
on
$HH_\bullet (\operatorname {Fuk}^\flat _{\mathfrak G}(X,{\mathfrak {b}})_{w'})$
for
$w' \neq w({\boldsymbol K}).$
4.1.2 The Cardy diagram
The coproduct map, collapse map
$\mu $
and open-closed and closed-open maps
$CO({\mathfrak {b}}),OC({\mathfrak {b}})$
fit into a commutative-up-to-sign Cardy diagram:
Theorem 4.4. (Abouzaid [Reference AbouzaidAbo10] in the exact, embedded case; see also Ganatra [Reference GanatraGan12])
For any collection
${\mathfrak G} \subset MC({\mathcal L})$
and any object
${\boldsymbol K} \in MC({\mathcal L})$
, there is a Cardy diagram

that commutes up to an overall sign of
$(-1)^{\dim (X)(\dim (X) + 1)/2}$
.
Abouzaid’s generation criterion (Theorem 1.10) follows as a consequence of the commutativity of the Cardy diagram.
Proof of Theorem 1.10
The flat
$A_{\infty }$
category
$\operatorname {Fuk}^\flat _{\mathcal L}(X,{\mathfrak {b}})$
is split generated by
${\mathfrak G}$
if for any weakly unobstructed brane
${\boldsymbol K} \in MC(\mathcal L)$
, the image of
$\mu _{\boldsymbol K}$
contains the identity
. By the commutativity of the Cardy diagram (Theorem 4.4), this containment holds if the identity
$1_{QH^{\bullet }(X)}$
lies in the image of
$OC(HH_\bullet (\operatorname {Fuk}^\flat _{\mathfrak G}(X,{\mathfrak {b}})))$
, or in other words,
$QH^{\bullet }(X,{\mathfrak {b}})$
is generated by
$\mathfrak G \subset MC(\mathcal L)$
.
4.2 Holomorphic treed annuli
To prove the commutativity of the Cardy diagram Theorem 4.4 in the version of the Fukaya category considered here, we begin with some preliminaries. Notice that the composition of maps on either direction of the diagram (4.8) consist of maps which count certain degenerate treed holomorphic annuli.
Definition 4.5. Given
$0<\rho _1<\rho _2$
, an annulus is a complex curve with boundary of the form
The boundary components are denoted by
Definition 4.6 (Stable treed annuli)
-
(a) (Marked annulus) For
$d = (d_-, d_+)$
a pair of positive integers and
$d_{\bullet }\geq 0$
a
$(d_-, d_+, d_{\bullet })$
-marked annulus consists of the following data: an inner and outer radii
$\rho _1 < \rho _2$
, a collection of interior markings and a collection of boundary marked points
$$\begin{align*}z_{\bullet,i} \in \operatorname{int}( A_{\rho_1,\rho_2} ), \quad 1 \leq i \leq d_{\bullet} \end{align*}$$
We always require that the boundary markings on the outer circle are anticlockwise ordered, while the boundary markings on the inner circle are clockwise ordered.
$$\begin{align*}z^\pm_{\circ,j} \in \partial_\pm A_{\rho_1,\rho_2}, \quad 1 \leq j \leq d_\pm. \end{align*}$$
-
(b) (Treed annulus) There is a compactification of the moduli space of marked annuli by allowing stable nodal annuli: nodal annuli S with no non-trivial infinitesimal automorphisms. As in the case of stable marked disks, a combinatorial type underlying a stable annulus is a graph
$\Gamma $
. A treed annulus C is obtained from a nodal annuli by replacing each boundary node
$w_e$
,
$e \in \operatorname {Edge}_{\circ ,-}(\Gamma )$
by a segment
$T_e$
equipped with a length
$\ell (e) \in [0,\infty )$
, and attaching a semi-infinite treed segment
$T_e$
at each boundary marking
$z_e$
,
$e \in \operatorname {Edge}_{\circ ,\to }(\Gamma )$
. We then allow the finite lengths to increase to infinity and the finite edges to break. -
(c) (Additional features) We consider treed annuli with some additional features to prove the Cardy relation and an orthogonality relation in Section 4.4.
-
(i) (Distinguished leaves and Balanced lengths) The leaves/markings
$z_{0}^+$
and
$z_{0}^-$
are distinguished leaves and are constrained to have an angle offset of
$\pi $
: (4.9)
$$ \begin{align} \mathrm{\text{(Angle offset)}} \quad \exists \theta : \enspace z_{0}^+ = \rho_2e^{\iota \theta}, \quad z_{0}^-=\rho_1 e^{\iota(\theta+\pi)}. \end{align} $$
The lengths of treed segments are subject to a balancing condition: let
$S_{v_\pm } \subset C$
be the surface component containing
$z_0^\pm $
. When
$S_{v_-} \neq S_{v_+}$
, there are exactly two paths
$\gamma _1, \gamma _2$
connecting them. We require that the two paths have the same total length: (4.10)See Figure 23 where the paths
$$ \begin{align} \mathrm{(Balanced)} \quad \sum_{e \in \gamma_1} \ell(e) = \sum_{e \in \gamma_2 } \ell(e); \end{align} $$
$\gamma _\pm $
are the vertical paths in the two left diagrams.
-
(ii) (Treed segment at an interior node) An interior node that disconnects
$z_{0}^+$
from
$z_{0}^-$
is called a path node. We allow path nodes to be replaced by treed segments which can have a positive length.
-
We introduce a moduli space of stable treed annuli with fixed angle offset as follows. Denote by
$ \overline {\mathcal M}{}_{d_-, d_+, d_{\bullet }}^{\mathrm {ann}}$
the moduli space of stable treed annuli for which the
$0$
th boundary markings on the inner circle and outer circle have an angle offset of
$\pi $
(as in (4.9)) and that satisfy the balancing condition (4.10) for treed segments at path edges. Standard arguments show that the moduli space
$\overline {\mathcal M}{}_{d_-, d_+, d_\bullet }^{\mathrm {ann}}$
is compact and Hausdorff. The subspace of
$\overline {\mathcal M}{}^{\mathrm {ann}}_{d_-,d_+, d_\bullet }$
that parametrizes curves with at most one path node is a topological manifold of dimension
The moduli space is equipped with a universal curve
$\overline {\mathcal U}{}^{\mathrm {ann}}_{d_-,d_+, d_{\bullet }}$
which decomposes into a surface part
$\overline {\mathcal S}{}^{\mathrm {ann}}_{d_-,d_+, d_{\bullet }}$
and tree part
$\overline {\mathcal T}{}^{\mathrm {ann}}_{d_-,d_+, d_{\bullet }}$
. There is a forgetful map
that forgets all markings except the
$0$
th markings on the inner and outer circles.
Moduli of treed annuli with fixed non-zero angle offset.

Remark 4.7. In the moduli space of treed annuli, we fixed the angle offset between distinguished boundary markings as
$\Phi :=\pi $
. This choice is arbitrary. In fact, choosing any non-zero angle offset
$\Phi \in (0,2\pi )$
produces a homeomorphic moduli space. The angle offset zero
$\Phi =0$
produces a different moduli space, which we will use in Section 4.4.
Example 4.8. We describe the moduli space of isomorphism classes of annuli with one inner boundary leaf and one outer boundary leaf with an angle offset of
$\pi $
. There is a homeomorphism
defined as follows (See Figure 23).
For configurations containing an annulus component with inner radius
$\rho _1$
and outer radius
$\rho _2$
we define
$$ \begin{align} \rho (C) = \frac{\rho_1 \rho_2^{-1}}{1 + \rho_1 \rho_2^{-1}}. \end{align} $$
In the case that the
$0$
th markings on the inner and outer circles are contained in different disk components, suppose these two disks are connected by a path consisting of boundary edges
$T_{e_1}, \ldots , T_{e_k}$
of lengths
$\ell (e_1), \ldots , \ell (e_k)$
; then we define
the balanced condition implies that this value is independent of the choice of the path. On the other hand, if the disks containing two boundary circles are connected by a path consisting of interior edges
$T_{e_1}, \ldots , T_{e_k}$
of lengths
$\ell (e_1), \ldots , \ell (e_k)$
, then define
The description of the one inner-and-outer marking moduli space in Example 4.8 leads to the following natural defined functions on moduli spaces with higher numbers of inner and outer markings: Composing the homeomorphism
$\rho $
in (4.12) with the forgetful map (4.11), we obtain a map
For any
$\rho \in [-\infty ,\infty ]$
the fiber
$f^{-1}(\rho )$
is the moduli space of annuli with a fixed ratio of inner and outer radii and is denoted by
Treed annuli can degenerate to broken configurations whose components can be treed disks (with no interior gradient leaves), open-closed domains and closed-open domains.
Remark 4.9. The moduli space of treed annuli admits an orientation induced from choices of orientations on nodal annuli induced from the positions of the interior and boundary markings. We can identify each annuli of any width
$\rho \in (0, 1)$
with a fixed annulus A; by recording the markings, one obtains a map
The orientations on this stratum extend to a global orientation on the manifold with boundary
$\overline {\mathcal {M}}_{d_-,d_+, d_{\bullet }}^{\operatorname {ann}}$
. The boundary of
$\overline {\mathcal {M}}_{d_-,d_+, d_{\bullet }}^{\operatorname {ann}}$
consists of configurations where the ratio
$\rho $
is equal to
$\infty $
, configurations where the ratio
$\rho $
is equal to
$-\infty $
(in the sense that the lengths of the paths
$\gamma _\pm $
above are infinite) and configurations where a collection of leaves
$T_e$
have bubbled onto disks
$S_v, v \in \operatorname {Vert}(\Gamma )$
attached to the outer boundary, and configurations where leaves
$T_e$
have bubbled onto disks
$S_v$
on the inner boundary. The latter two types of boundary strata
$\mathcal {M}_\Gamma , \Gamma = \Gamma _1 \# \Gamma _2$
have opposite orientations compared to the product orientation on
$\mathcal {M}_{\Gamma _1} \times \mathcal {M}_{\Gamma _2}$
.
Regularizing families of holomorphic maps from treed annuli requires regularization of holomorphic disks, strips and spheres as before. We shall require that the perturbations for defining the equation for holomorphic treed annuli extend the existing ones, by induction on the type of the map. For each stable annuli type
$\Gamma $
, a map type
$\mathbb {\Gamma }$
consists of
-
(a) labelling of boundary markings by generators of the chain groups
$CF^{\bullet }( {\widehat {L}}_i, {\widehat {L}}_{i+1})$
, -
(b) a labelling of interior markings by either components of the bulk deformation, the Donaldson hypersurface D, or their (transverse) intersections,
-
(c) a labelling of interior gradient leaves by critical points of
$f_X$
, and -
(d) a labelling of surface vertices by homology classes
$\beta \in H_2(X, |{\mathcal L}|)$
.
For each map type
$\mathbb {\Gamma }$
one has a moduli space of treed holomorphic annuli
${\mathcal {M}}_{\mathbb {\Gamma }}^{\mathrm { ann}}(P_\Gamma )$
with respect to the perturbation
$P_\Gamma $
(if
$\Gamma $
is stable; otherwise we pull back
$P_{\Gamma ^{\mathrm {st}}}$
). A map type is called essential if, as in previous cases, that there is no finite edges
$T_e$
with length
$ell(e) = 0$
, no broken edges
$T_e$
, no sphere components
$S_v, v \in \operatorname {Vert}_\bullet (\Gamma )$
, that all interior markings
${\underline {\smash {z}}}_v$
are labelled by the Donaldson hypersurface D or components of the bulk deformation, and the width parameter
$\rho $
is not equal to
$-\infty $
,
$0$
,
$1$
, or
$+\infty $
. Given two sequences
$\underline {\smash {x}}^\pm = (x_0^\pm , \cdots , x_{d_\pm }^\pm )$
of generators of the Floer chain groups where
$x_i^\pm \in {\mathcal I}({\widehat {L}}_i^\pm , {\widehat {L}}_{i+1}^\pm )$
(we define
$L_{d_\pm + 1}^\pm = L_0^\pm $
) let
where the union is taken over all essential map types
$\mathbb {\Gamma }$
whose boundary labelling data are
$\underline {\smash {x}}_\pm $
and whose expected dimension is i.
Lemma 4.10.
-
(a) There exist a coherent system of strongly regular (Definition 2.25) perturbations
$P_\Gamma $
for all stable treed annuli that extend the existing perturbation data for treed disks (with no interior gradient leaves), open-closed domains and closed-open domains. As a consequence, for each uncrowded map type
$\mathbb {\Gamma }$
, the moduli space
${\mathcal {M}}_{\mathbb {\Gamma }}(P_\Gamma )$
is regular of expected dimension. -
(b) For such a system of perturbations, for
$d_\pm \geq 1$
, the zero-dimensional moduli space
${\mathcal {M}}^{\mathrm {ann}} (\underline {\smash {x}}^-, \underline {\smash {x}}^+)_0$
is discrete and finite under each energy level. -
(c) Moreover, the one-dimensional moduli space
${\mathcal {M}}^{\mathrm {ann}}(\underline {\smash {x}}^-, \underline {\smash {x}}^+)_1$
has true boundary corresponding to the following types of degenerations (all of which have no sphere bubbling).-
(i) The width parameter
$\rho $
goes to
$+\infty $
and one interior edge breaks. -
(ii) The width parameter
$\rho $
goes to
$-\infty $
and two boundary edges breaks. -
(iii)
$\rho $
is finite and different from
$0$
,
$1$
, while a boundary edge breaks.
-
4.3 Commutativity
We show that the Cardy diagram commutes at the level of cohomology. Using the moduli spaces of holomorphic treed annuli, we define a homotopy operator relating the composition of the maps around the two sides of the diagram in Theorem (4.4). This shows that the diagram in Theorem 4.4 is commutative. For weakly unobstructed branes
${\boldsymbol {L}}_0, \ldots , {\boldsymbol {L}}_{d_+}$
with underlying Lagrangian submanifolds from
${\mathcal L}$
,
$w = w({\boldsymbol {L}}_i)=w({\boldsymbol K})$
, and any non-negative integer
$d_-$
, we define a linear map
by counting holomorphic treed annuli. More precisely, for
$\underline {\smash {a}}^+ = a_{d_+}^+\otimes \cdots \otimes a_0^+$
and
$a_{d_-}^-, \ldots , a_1^-$
, one has
$$\begin{align*}{\mathcal S}(\underline{\smash{x}}^+)(a_{d_-}^- \otimes \cdots \otimes a_1^-) = \sum_{a_0^-} \sum_{u \in \overline{\mathcal{M}}{}^{\mathrm{ ann}} (\underline{\smash{x}}^-, \underline{\smash{x}}^+)_0 } (-1)^{\heartsuit}\operatorname{wt}(u). \end{align*}$$
By summing over all possible ways of inserting weakly bounding cochains on
${\boldsymbol {L}}_0, \ldots , {\boldsymbol {L}}_{d_+}$
and the weakly bounding cochain on
${\boldsymbol K}$
, we obtain a map (c.f. Abouzaid [Reference AbouzaidAbo10, Equation 6.22])
Proof of Theorem 4.4
It follows from the description of the boundary (see Figure 24) in Lemma 4.10 that the operator
${\mathcal S}$
is a homotopy operator relating the two sides of the Cardy diagram: We have
on
$\operatorname {Fuk}_{\mathcal L}(X,{\mathfrak {b}})_{w({\boldsymbol K})}$
. The sign computation is carried out in [Reference AbouzaidAbo10], and will not be repeated here. Therefore, on homology level, the Cardy diagram (4.8) commutes up to the expected sign. On
$\operatorname {Fuk}_{\mathcal L}(X,{\mathfrak {b}})_{w}$
with
$w \neq w({\boldsymbol K})$
,
$\mu _{\boldsymbol K} \circ \delta _{\boldsymbol K}$
is zero by definition, and
$CO({\mathfrak {b}}) \circ OC({\mathfrak {b}})$
vanishes as a consequence of the spectral decomposition results. In particular, by Theorem 1.7,
$OC({\mathfrak {b}})(\operatorname {Fuk}_{\mathcal L}(X,{\mathfrak {b}})_{w})$
lies in the generalized eigenspace
$QH^{\bullet }(X)_{D_q w} \subset QH^{\bullet }(X)$
of the quantum multiplication by
$[\omega ]^{{\mathfrak {b}}}$
, and the image
$CO_K(QH^{\bullet }(X)_{D_q w})$
is zero by Theorem 3.34.
4.4 Orthogonality for disjoint Lagrangians
We prove another result about the orthogonality of images under the open-closed map, c.f. Corollary 3.29.
Cardy relation: End-points of a one-dimensional moduli space of holomorphic treed annuli. There could be insertions of weakly bounding cochains on both inner and outer circles.

Theorem 4.11 (Restatement of Theorem 1.11)
Suppose that
$\mathcal {L}_-, \mathcal {L}_+ \subset \mathcal {L}$
are disjoint collections of Lagrangian submanifolds in X, that is,
$|{\mathcal L}_-|\cap |{\mathcal L}_+| = \emptyset $
. Suppose
Then the images of elements
under the open-closed map are orthogonal with respect to the intersection pairing.
The proof of Theorem 4.11 of the moduli space of treed holomorphic annuli as the width parameter goes to zero.
4.4.1 Intersection pairings and two chain-level open-closed maps
We recall the chain-level definition of the intersection pairing. Recall that
$(f_X, g_X)$
is a Morse-Smale pair on X with the cochain complex
$CM^{\bullet }(f_X)$
. The pair
$(-f_X, g_X)$
is also a Morse-Smale pair with complex
$CM^{\bullet }(-f_X)$
. Define
by
$$\begin{align*}\left\langle \sum_i a_i x_i, \sum_j b_j x_j \right\rangle = \sum_i a_i \overline{b_i}. \end{align*}$$
It is easy to see that the chain-level pairing descends to cohomology.
The two Morse-Smale pairs can define potentially different chain-level open-closed maps. By using perturbations on open-closed treed disks where we use either
$(f_X, g_X)$
or
$(-f_X, g_X)$
, we can define two chain maps
On the homological level the two maps are identical. On the other hand, we can define a chain-level pairing
by
We will prove that on the homology level the pairing is zero.
4.4.2 Treed annuli
Treed annuli used in the proof of the generation criterion are defined as follows. First, we modify the conditions on the marked annuli specified in Definition 4.6. We require that both inner
$(\partial S)_-$
and outer circles
$(\partial S)_+$
of an annulus S contain boundary markings, and that the boundary markings on the outer circle
$(\partial S)_+$
are anticlockwise ordered while those on the inner circle
$(\partial S)_-$
are clockwise ordered. Given a marked annulus, we create a treed annulus by attaching to each boundary marking a semi-infinite edge and require that all these semi-infinite edges are incoming ones. We also require that, most importantly, the angle offset between
$z_0^+$
and
$z_0^-$
is
$0$
instead of
$\pi $
. Hence, when we compactify the moduli space of treed annuli, when the width parameter
$\rho $
approaches to zero, in the degenerate configurations
$z_0^+$
and
$z_0^-$
can be contained in the same surface component. Figure 25 describes a compactified one-dimensional moduli space of such treed annuli. In general, there is a width parameter
on the moduli space of stable treed annuli with
$d_-$
resp.
$d_+$
boundary markings on the inner resp. outer circle and
$d_{\bullet }$
interior markings.
Moduli space of treed annuli with zero angle offset between distinguished leaves.

Perturbations are defined on the universal curves of treed annuli. Notice that in the current situation, treed annuli can degenerate to broken configurations whose unbroken components can be either a treed disk with exactly one output (the
$\rho =0$
slice of Figure 25), or a treed disk of open-closed type but not closed-open type (the
$\rho = +\infty $
slice of Figure 25). This is also different from the case of the Cardy diagram. We require that when the annuli degenerate to two disks of open closed type, the perturbation on the component containing the outer resp. inner circle coincides with the perturbation chosen for the open-closed map for the Morse-Smale pair
$(f_X, g_X)$
resp.
$(-f_X, g_X)$
.
Moduli spaces of treed annuli are defined as follows. We require that the labelling on the outer circle is from the branes in
${\mathfrak L}_+$
and the labelling on the inner circle is from the branes in
${\mathfrak L}_-$
. A map type is called essential if it has no spheres, broken edges, or edges of length zero. Given boundary labelling data
$\underline {\smash {x}}_- = (x_{-, 0}, \ldots , x_{-, d_-})$
,
$\underline {\smash {x}}_+ = (x_{+, 0}, \ldots , x_{+, d_+})$
, homology classes labelling surface components and interior labelling data, we can consider perturbed treed holomorphic annuli satisfying these constraints. We require that, when the interior edge has positive length, the treed map satisfies the negative gradient flow equation for
$(f_X, g_X)$
if we orient the edge from the component containing the outer circle to the component containing the inner circle. One can achieve transversality in the same way as before and we omit the details. Then let
${\mathcal {M}}^{\mathrm {ann}} (\underline {\smash {x}}_-, \underline {\smash {x}}_+)_i$
be the union of moduli spaces of essential map types
$\mathbb {\Gamma }$
of expected dimension i. When
$i = 1$
, by identifying fake boundary strata, we can describe the true boundaries of the closure
$\overline {\mathcal {M}}^{\mathrm {ann}}(\underline {\smash {x}}_-, \underline {\smash {x}}_+)_1$
. The true boundary strata include configurations
$u: C \to X$
where
-
(a) the width parameter
$\rho $
is
$+\infty $
and two disk components, no sphere components, and only one breaking on the interior edge. -
(b) the width parameter
$\rho $
is
$0$
and there is one disk component and no sphere components; since the node on the infinitely thin annulus must have evaluation on
$|{\mathcal L}_-| \cap |{\mathcal L}_+|$
, which is empty. Hence this boundary stratum is empty; -
(c) the width parameter
$\rho $
is positive and finite and there is a breaking of a boundary edge
$T_e$
.
We define a chain-level map using treed annuli of varying width parameters. For
$\underline {\smash {x}}_\pm = x_{\pm , 0},\ldots , x_{\pm , d_\pm }$
, consider map types
$\mathbb {\Gamma }$
with the outer resp. inner circles labelled by
$\underline {\smash {x}}_+$
resp.
$\underline {\smash {x}}_-$
. First consider only the essential map types, so that the width parameter
$\rho $
is positive and finite, having no boundary edges of length zero or boundary breakings. By counting rigid configurations, one obtains a map
$$ \begin{align*} {\mathcal T}: \Big( CF^{\bullet}( {\widehat{L}}_{-, d_-}, {\widehat{L}}_{-, 0}) \otimes & \cdots \otimes CF^{\bullet}( {\widehat{L}}_{-, 0}, {\widehat{L}}_{-, 1}) \Big)\\ & \otimes \Big( CF^{\bullet}( {\widehat{L}}_{+, d_+}, {\widehat{L}}_{+, 0}) \otimes \cdots \otimes CF^{\bullet}( {\widehat{L}}_{+, 0}, {\widehat{L}}_{+, 1}) \Big) \to \Lambda \end{align*} $$
by
$$\begin{align*}{\mathcal T}(\underline{\smash{a}}_-, \underline{\smash{a}}_+) = \sum_{u \in {\mathcal{M}}^{\mathrm{ann}} (\underline{\smash{x}}_-, \underline{\smash{x}}_+)_0} (-1)^{\heartsuit} \mathrm{wt}(u). \end{align*}$$
The map
${\mathcal T}$
induces a (not necessarily chain) map
Proof of Theorem 4.11
Suppose
$\alpha _\pm \in CC_\bullet ( \operatorname {Fuk}^\flat _{{\mathfrak L}_\pm }(X, {\mathfrak {b}}))$
are Hochschild cycles. Let
$\underline {\smash {a}}_\pm = a_{\pm , 0}\otimes \cdots \otimes a_{\pm , d_\pm }$
be a component of
$\alpha _\pm $
with underlying critical points
$\underline {\smash {x}}_\pm $
. Consider one-dimensional moduli spaces
$\overline {\mathcal {M}}^{\mathrm {ann}}(\underline {\smash {x}}_-, \underline {\smash {x}}_+)_1$
. The boundary strata consist of the following types:
-
(a) The strata corresponding to
$\rho = \infty $
, denoted by
${\mathcal {M}}^{\mathrm {ann}}_\infty (\underline {\smash {x}}_-, \underline {\smash {x}}_+)_0$
. These strata contribute to the chain-level pairing Indeed, on the broken edge, the treed map satisfies the negative gradient flow equation of
$$\begin{align*}\langle OC({\mathfrak{b}})_- (\underline{\smash{a}}_-), OC({\mathfrak{b}})_+ (\underline{\smash{a}}_+) \rangle\in \Lambda. \end{align*}$$
$f_X$
(from the disk with the positive boundary to the disk with the negative boundary). We regard the map restricted to the semi-infinite edge attached to the disk with the negative boundary as the (perturbed) negative gradient flow equation of
$-f_X$
. Therefore, by the definition of the chain-level intersection pairing, the count of such configurations is exactly
$\langle OC({\mathfrak {b}})_-(\underline {\smash {a}}_-), OC({\mathfrak {b}})_+(\underline {\smash {a}}_+) \rangle $
.
-
(b) The union of strata corresponding to
$\rho = 0$
, denoted by
${\mathcal {M}}_0^{\mathrm {ann}}(\underline {\smash {a}}_-, \underline {\smash {a}}_+)_0$
. Since
$|{\mathcal L}_-|\cap |{\mathcal L}_+| = \emptyset $
, this moduli space is always empty. -
(c) Configurations for
$\rho \in (0, \infty )$
with one boundary breaking. These configurations contribute to which is zero.
$$\begin{align*}{\mathcal T}( \delta_{CC}(\alpha_-), \alpha_+) \pm {\mathcal T}( \alpha_-, \delta_{CC}(\alpha_+)) \end{align*}$$
Therefore, it follows that on the chain level
5 Fukaya categories of blowups
In this section, we consider the special cases of previous constructions in the setting of the main theorem. More precisely, we study a perturbation scheme for which one has a correspondence between treed disks in the original symplectic manifold and its blowup.
5.1 The geometry of the blowup
We fix an explicit construction of a family of blowups at the chosen point. From now on,
$(X, \omega )$
denotes a rational symplectic manifold,
${\mathcal L}$
denotes a collection of rational Lagrangian submanifolds (see Definition 2.7) satisfying Hypothesis 2.8, and
${\mathfrak {b}}$
is a bulk deformation. In addition, fix a point p disjoint from the Lagrangians and the bulk deformation. We also fix a Donaldson hypersurface D as before with the additional requirement that
$p\notin D$
, and a tamed almost complex structure
$J_0$
satisfying (b) of Lemma 2.10. Let U be a Darboux coordinate chart centred at p that is disjoint from
$|{\mathcal L}|$
and
${\mathfrak {b}}$
with Darboux coordinates
$x_1, y_1, \ldots , x_n, y_n$
. As
$D\cap U = \emptyset $
, we may assume that
$J_0|_U$
is the standard complex structure with complex coordinates
$z_i = x_i + \sqrt {-1} y_i$
. The symplectic blowup
$\tilde {X}$
of X at p is defined by removing Darboux chart from X and gluing in a neighbourhood of
$\tilde {Z} = \mathbb {C} P^{n-1}$
in
It admits an almost complex structure
$\tilde J_0$
whose restriction to
$\tilde U:= \pi ^{-1}(U)$
is the integrable complex structure
$J_{\tilde U} : {\tilde U} \to {\tilde U}$
coming from the blowup.
We equip the blowup with a family of symplectic structures by symplectic cut. Following Lerman [Reference LermanLer95], for each
$\epsilon>0$
sufficiently small, we may view
$\tilde U$
as
where
$\sim $
is the relation collapsing the sphere
to
$\mathbb {CP}^{n-1}$
. In this way we obtain a family of symplectic forms
$\tilde \omega _\epsilon \in \Omega ^2(\tilde X)$
that agree with
$\pi ^* \omega $
outside
$\tilde U$
. Moreover, for all
$\epsilon $
,
$\tilde J_0$
is
$\tilde \omega _\epsilon $
-tamed. In notation, we abbreviate
$\tilde \omega _\epsilon $
by
$\tilde \omega $
. One can see that as cohomology classes,
where
$\mathrm {PD}$
denotes the Poincaré dual.
5.1.1 The exceptional Lagrangians
In this section, we introduce the additional Lagrangians needed to generate the Fukaya category of the blowup. First we realize blowup as a symplectic quotient. Consider a diagonal
$S^1$
-action on
${\mathbb C} \times {\mathbb C}^n$
with moment map
The symplectic quotient at the level
$\Phi =\frac {\epsilon }{2}$
can be viewed as the
$\epsilon $
-blowup of
$\mathbb {C}^n$
at the origin. A neighbourhood of the exceptional divisor
$\mathbb {CP}^{n-1}$
can be identified with the neighbourhood
$\tilde U \subset \tilde X$
. Consider
for
${\boldsymbol \epsilon } = (\epsilon _0, \ldots , \epsilon _n) \in (\mathbb {R}_{> 0})^{n+1}$
. Suppose that
In this case we have
$\hat L_{\boldsymbol \epsilon } \subset \Phi ^{-1}(\frac {\epsilon }{2})$
and and so the Lagrangian descends to a Lagrangian torus
$L_{\boldsymbol \epsilon } \subset \tilde X$
.
Lemma 5.1. When
$\epsilon _0 = \epsilon _1 = \cdots = \epsilon _n = \frac {\epsilon }{n-1}$
,
$L_{\boldsymbol \epsilon }$
is a monotone Lagrangian in
$\tilde U$
.
Proof. Any disk bounding
$L_{\boldsymbol \epsilon }$
lifts to a disk in
$\mathbb {C}^n \times \mathbb {C}$
bounding
$\hat {L}$
with the same area and index. Maps from disks to
$\mathbb {C}^n \times \mathbb {C}$
are products of disks in the factors. The homology classes of such are generated by the disks of Maslov index two in each factor, all of which have the same area. See [Reference Cho and OhCO06] for more details.
5.1.2 Donaldson hypersurfaces in the blowup
Since the pullback of the original Donaldson hypersurface is no longer a Donaldson hypersurface in the blowup, we need to choose a new Donaldson hypersurface to fit into the general framework. In order to use the explicit calculation in the previous section, we construct perturbations that have standard almost complex structures near the exceptional locus.
Proposition 5.2. For each small rational
$\epsilon $
, there exist a Donaldson hypersurface
$\tilde D \subset \tilde X$
and a tamed almost complex structure
$\tilde J$
satisfying the following condition.
-
(a)
$\tilde D\subset \tilde X \setminus (|\tilde {\mathcal L}| \cup \tilde L_{{\boldsymbol \epsilon }})$
and the symplectic form
$\tilde \omega $
is exact in the complement of
$|\tilde {\mathcal L}| \cup \tilde L_{{\boldsymbol \epsilon }}$
. -
(b)
$\tilde J$
coincides with
$J_{\tilde U}$
inside
$\tilde U$
. -
(c)
$\tilde D$
is almost complex with respect to
$\tilde J$
and is holomorphic inside
$\tilde U$
. -
(d)
$\tilde D$
intersects the exceptional locus
$\tilde Z$
transversely. -
(e)
$\tilde D$
intersects the pullback hypersurface
$\pi ^{-1}(D)$
transversely. -
(f)
$\tilde D$
intersects the components of
$\tilde {\mathfrak b}_0$
transversely. -
(g)
$\tilde D$
intersects generic Maslov 2 disks in
$\tilde U$
transversely.
Sketch of proof.
The statement of the proposition is essentially a special case of Auroux-Gayet-Mohsen [Reference Auroux, Gayet and MohsenAGM01, Section 3.1], which describes how Donaldson’s argument [Reference DonaldsonDon96] can be extended to a relative setting. More precisely, we identify
$\tilde U$
with a neighbourhood of the zero section of
${\mathcal O}(-1) \to \mathbb {CP}^{n-1}$
. For small rational
$\epsilon $
, we can choose a generic holomorphic section
$\tilde s_0$
of a sufficiently positive line bundle on
${\mathcal O}(-1)$
which intersects the zero locus and all the Maslov two disks transversely. Choose a cut-off function
$\rho $
supported in
$\tilde U$
which is identically 1 near
$\tilde Z$
. Then
$\rho \tilde s_0$
is a smooth section of a positive line bundle over
$\tilde X$
whose Chern form is a large multiple of
$\tilde \omega $
. Apply Donaldson’s argument by using a collection of local sections of this line bundle (supported away from
$\tilde Z$
) and generic linear combination to achieve transversality to the given section
$\rho \tilde s_0$
.
5.2 A perturbation system for the new branes
In this section, we describe perturbation data on a blowup that is standard near the exceptional divisor. We make explicit computations involving holomorphic disks whose boundary maps to exceptional branes. To achieve symmetry properties of the composition maps, the perturbation data we consider are multivalued. The symmetry property is used to show that a weak version of the divisor equation holds.
We recall some geometric details about the neighbourhood of the exceptional divisor needed for the construction of our perturbation data. Let
$p \in X$
be the blowup point. Recall that the bulk deformation, the collection of Lagrangian branes and the Donaldson hypersurface are all disjoint from p, hence disjoint from a Darboux chart
$U \ni p$
. Let
$\tilde {U} \subset \tilde {X}$
be the pre-image of U under the projection
$\tilde {X}\to X$
. Fix the Darboux coordinate in U. Let
$J_{\tilde {U}}$
be the integrable almost complex structure on
$\tilde {U}$
that is the pullback from the standard complex structure with respect to the Darboux coordinates in U. The exceptional branes in
${\mathcal E}$
are all supported on an embedded Lagrangian
$L_{\boldsymbol \epsilon } \subset \tilde {U}$
.
5.2.1 Holomorphic disks bounding the exceptional Lagrangian
We wish to classify the holomorphic disks of minimal area bounding the exceptional Lagrangian. Since the picture is locally toric, the classification is a special case of the computations in Cho-Oh [Reference Cho and OhCO06]. In particular, from the description in Section 5.1.1, a disk
$u: (\mathbb {D}, \partial \mathbb {D}) \to (\tilde X,L_{\boldsymbol \epsilon })$
whose image is contained in a neighbourhood of the exceptional divisor may be viewed as a disk mapping to
$(\mathbb {C}^{n+1},\hat L_{\boldsymbol \epsilon }) /\kern -.7ex/ S^1$
, where
$S^1$
acts on
$\mathbb {C}^{n+1}$
with weights
$(-1,1,\dots ,1)$
and
$\hat L_{\boldsymbol \epsilon }=\{|z_i|=\epsilon _i, i=0,\dots ,n\} \subset \mathbb {C}^{n+1}$
. The disk u lifts to a Blaschke product
$\hat u$
whose definition we recall.
Definition 5.3. A Blaschke product of degree
$(d_0,\ldots ,d_n)$
with boundary in the Lagrangian
$\hat L_{\boldsymbol \epsilon }$
is a map
$\hat u : (\mathbb {D}, \partial \mathbb {D}) \to (\mathbb {C}^{n+1}, \hat L_{\boldsymbol \epsilon })$
prescribed by coefficients
and defined as
$$ \begin{align} \hat u: (\mathbb{D}, \partial \mathbb{D}) \to (\mathbb{C}^{n+1}, \hat L_{\boldsymbol\epsilon}), \quad z \mapsto \left( \zeta_i \prod_{j=1}^{d_i} \frac{ z - a_{i,j}}{1 - z \overline{a_{i,j}}} \right)_{i = 0,\ldots,n} .\end{align} $$
We include the following proposition computing the areas and indices of Blaschke products from Cho-Oh [Reference Cho and OhCO06] for completeness:
Lemma 5.4. The descent
$u : (\mathbb {D}, \partial D) \to (\tilde X, L_{\boldsymbol \epsilon })$
of the Blaschke product
$\hat u: (\mathbb {D}, \partial \mathbb {D}) \to (\mathbb {C}^{n+1}, \hat L_{\boldsymbol \epsilon })$
given by (5.2) has Maslov index
$$\begin{align*}I(u) = \sum_{i=1}^{n+1} 2d_i \end{align*}$$
and area
$$\begin{align*}A(u) = \pi \sum_{i=1}^{n+1} d_i \epsilon_i .\end{align*}$$
Proof. As in Cho-Oh [Reference Cho and OhCO06, Theorem 5.3], the products (5.2) are a complete description of holomorphic disks with boundary in
$\hat {L}_{\boldsymbol \epsilon }$
. Any Blaschke product
$\hat {u} : (\mathbb {D},\partial \mathbb {D}) \to (\mathbb {C}^{n+1}, \hat L_{\boldsymbol \epsilon })$
disjoint from the semi-stable locus descends to a disk
$u: (\mathbb {D},\partial \mathbb {D}) \to (\tilde X, L_{\boldsymbol \epsilon })$
. We compute its Maslov index using the splitting (with notation
$\partial u := u |_{\partial C}$
)
where (by an abuse of notation)
$\mathfrak{g}_\mathbb{C}$
denotes the trivial bundle over
$\mathbb{D}$
with fiber
$\mathfrak{g}_\mathbb{C}:=\operatorname{Lie}(\mathbb{C}^\times)$
, and
$\mathfrak{g}$
denotes the trivial bundle over
$\partial \mathbb{D}$
with fiber
$\mathfrak{g}:=\operatorname{Lie}(S^1)$
.
for the Maslov index of a pair
$(E,F)$
consisting of a complex vector bundle E on the disk
$\mathbb {D}$
and a totally real sub-bundle F over the boundary
$\partial \mathbb {D}$
. Since the Maslov index of bundle pairs is additive,
The second factor has Maslov index
$I(u^* \mathfrak {g}_{\mathbb {C}}, (\partial u)^* \mathfrak {g}) = 0$
, as a trivial bundle. It follows that the Maslov index of the disk u is given by
$$\begin{align*}I(u) = I(\hat u^*T\mathbb{C}^{n+1}, (\partial \hat u)^* T \hat L_{\boldsymbol \epsilon}) = \sum_{i=1}^{n+1} 2 d_i = 2 \# u^{-1} \left( \sum_{i=1}^k [D_i] \right) ;\end{align*}$$
that is,
$I(u)$
is twice the sum of the intersection number with the anticanonical divisor. That is,
$$\begin{align*}[K^{-1}] = \sum_{i=1}^k [D_i] \in H^2(X,Z) \end{align*}$$
is the disjoint union of the prime invariant divisors
After an automorphism of the domain
$\mathbb {D}$
, the disks of Maslov index two are those maps
$u_i: \mathbb {D} \to X$
with lifts of the form
We call these the basic disks and their homology classes basic classes. The area of each such disk is
since
$$\begin{align*}\int \hat{u}_i^* \hat{\omega} = \int_{r^2/2 = 0}^{r^2/2 = \epsilon_i/2\pi} r {\operatorname{d}} r {\operatorname{d}} \theta = \epsilon_i. \end{align*}$$
The homology class of higher index Maslov disks
$u: C \to X, I(u)> 2 $
is a weighted sum
of homology classes of basic disks
$u_i, i =1,\ldots , {n+1}$
. It follows that the area
$A(u) \in \mathbb {R}$
of such a disk u is the weighted sum
of the areas
$A(u_i)$
of disks
$u_j$
of Maslov index
$I(u_j) = 2$
. The claim on the area follows.
Next we describe the relation between the areas of disks in the blow-up and their projections. Suppose that the almost complex structures on
$\tilde {X}, X$
are such that the projection
is almost complex, so that any holomorphic curve
$\tilde {u} : C \to \tilde {X}$
defines a holomorphic curve
$u: C \to X$
by projection. Since the exceptional divisor
$\tilde {Z}$
is almost complex, the intersection number
$\tilde {u}. \tilde {Z}$
is the sum of positive intersection multiplicities at each of the intersection points
$\tilde {u}^{-1}(\tilde {Z})$
, see for example [Reference Cieliebak and MohnkeCM07, Proposition 7.1].
Lemma 5.5. The areas of
$\tilde {u}$
and
$u := \pi \circ \tilde {u}$
are related by
$ A(\tilde {u}) = A(u) - \epsilon ( [\tilde {u}]. [\tilde {Z}] ) $
.
Proof. By Mayer-Vietoris and the definition of the symplectic form on the local model the symplectic class
$[\tilde {\omega }] \in H^2(\tilde {X})$
is equal to
where
$[\tilde {Z}]^\vee \in H^2(\tilde {X})$
is the dual class to the exceptional divisor
$\tilde {Z}$
. Pairing with
$[\tilde {u}] \in H_2(\tilde {X})$
proves the claim.
Proposition 5.6.
-
(a)
$(\tilde {U}, L_{\boldsymbol \epsilon }, \tilde \omega |_{\tilde {U}})$
is monotone with minimal Maslov index two. -
(b) The moduli space of
$\tilde {J}_0$
-holomorphic disks
${\mathcal {M}}_{0,1}( \tilde {U}, L_{\boldsymbol \epsilon }, \tilde {J}_0)$
in
$\tilde {U}$
with boundary in
$L_{\boldsymbol \epsilon }$
, with one boundary marking and no interior markings is regular, and the evaluation map
$\operatorname {ev}: {\mathcal {M}}_{0,1}(\tilde {U}, L_{\boldsymbol \epsilon }, \tilde {J}_0) \to L_{\boldsymbol \epsilon }$
is a submersion. -
(c) All non-constant
$\tilde {J}_0$
-holomorphic spheres in
$\tilde {U}$
have positive Chern numbers and are contained in the exceptional divisor
$\tilde {Z}$
. Moreover, the moduli space of these spheres with one marking is regular (as maps into
$\tilde {Z}$
) and the evaluation map at the marking is a submersion onto
$\tilde {Z}$
.
Proof. The first item follows from Lemma 5.4. For the second item, note that the torus action on
$\tilde {U}$
induces an action on the moduli space of holomorphic disks bounding
$L_{\boldsymbol \epsilon }$
. It follows that
$D \operatorname {ev}$
is surjective at any point. The splitting in Oh [Reference OhOh95] implies that the boundary value problem defined by u splits into one-dimensional summands with non-negative Maslov index. In particular, the cokernel of
$D_u$
vanishes, hence the regularity in the second item. For the third item, note that any holomorphic sphere
$u : \mathbb {P}^1 \to \tilde {U}$
defines a holomorphic sphere in
$\tilde {Z}$
by projection, necessarily of degree d, together with a section of the pull-back of the normal bundle to
$\tilde {Z}$
, necessarily a line bundle of degree
$-d$
. Since such bundles have no sections, u has image in the exceptional divisor
$\tilde {Z}$
. The claim follows from homogeneity of
$\tilde {Z}$
, and the fact that the Chern number of any degree d map to
$\tilde {Z}$
is
$d(n-1)$
.
One needs the following simple result to help calculate the potential function for the exceptional torus.
Proposition 5.7. There exists
$\epsilon _0$
such that for any
$\epsilon \in (0, \epsilon _0] \cap {\mathbb Q}$
, the following holds: For any smooth domain-dependent almost complex structure
$J: {\mathbb D} \to {\mathcal J}_{\mathrm {tame}}(\tilde {X}, \tilde \omega )$
with
$J|_{\tilde U} = J_{\tilde U}$
, all J-holomorphic disks
$u: {\mathbb D} \to \tilde {X}$
bounding
$L_{{\boldsymbol \epsilon }}$
with energy at most
$\epsilon $
are contained in
$\tilde {U}$
, and hence are the standard Blaschke products of Maslov index two.
Proof. The statement of the proposition is a consequence of the monotonicity property of pseudoholomorphic curves. Suppose the statement is not the case, so that for all
$\epsilon $
there is a certain domain-dependent almost complex structure J and a holomorphic map
$u: {\mathbb D} \to \tilde {X}$
with area at most
$\epsilon $
but not contained in the neighbourhood
$\tilde {U}$
. Let
$\tilde {U}"' \subset \tilde {U}" \subset \tilde {U}' \subset \tilde {U}$
be a nested collection of open neighbourhoods of the exceptional divisor
$\tilde {Z}$
, so that in particular
$u(\partial {\mathbb D}) \subset \tilde {U}"'$
. Let
$S \subset \tilde {U}$
be the closure of
$u( {\mathbb D} ) \cap (\tilde {U}' \setminus \tilde {U}")$
, which is a compact minimal surface with boundary. The geometry between
$\tilde {U}"'$
and
$\tilde {U}$
is independent of
$\epsilon $
. By the monotonicity property of minimal surfaces (see [Reference LawsonLaw74, 3.15], [Reference SikoravSik94, 4.7.2] [Reference Cieliebak, Ekholm and LatschevCEL10, Lemma 3.4]) there is a constant
$\delta _0>0$
which is independent of
$\epsilon $
such that for all non-constant compact minimal surface
$\Sigma $
with non-empty boundary in the interior of
$\tilde {U} \setminus \tilde {U}"'$
and
$\delta < \delta _0$
we have
Applying the monotonicity property to S one sees that the holomorphic map u has an area lower bound that is independent of
$\epsilon $
, a contradiction.
5.2.2 Multivalued perturbations
Next we introduce multivalued perturbations that are needed to establish a weak version of the divisor equation for the Fukaya algebras of the exceptional tori.
Definition 5.8. Given a stable domain type
$\Gamma $
, a multivalued perturbation is a formal linear combination of perturbations
for real numbers
$p_1,\ldots , p_k> 0$
summing to
$1$
.
Coherent collections of multivalued perturbation data for all stable domain types are defined as before. Given a multivalued perturbation
$P_\Gamma $
we write
$$\begin{align*}\overline{\mathcal{M}}_{\mathbb{\Gamma}}(P_\Gamma):= \bigcup_{i=1}^k \overline{\mathcal{M}}_{\mathbb{\Gamma}}(P_{\Gamma, i}). \end{align*}$$
If each subset in the above union is regular, we consider it as weighted manifold with weights given by the coefficients
$p_1,\ldots , p_k$
. We call each
$\overline {\mathcal {M}}_{\mathbb {\Gamma }}(P_{\Gamma ,i})$
a branch of
$\overline {\mathcal {M}}_{\mathbb {\Gamma }}(P_{\Gamma })$
. A multivalued perturbation
$P_\Gamma = p_1 P_{\Gamma , 1} + \cdots + p_k P_{\Gamma , k}$
is (strongly) regular if each
$P_{\Gamma , i}$
is (strongly) regular. In fact, we only consider multivalued perturbations
$P_\Gamma = (J_\Gamma , H_\Gamma , F_\Gamma , M_\Gamma )$
such that
$J_\Gamma $
,
$H_\Gamma $
and
$M_\Gamma $
are all single valued, but there is no advantage in disallowing these components to be multivalued also. Example 5.13 explains why multivalued perturbations are needed to prove the divisor equation.
5.2.3 Perturbations needed for the divisor equation
In this section, we identify the Floer cohomology rings of the tori near the exceptional locus with Clifford algebras. This requires a special version of the divisor equation (see Corollary 6.5). Recall that if the moduli spaces admit forgetful maps for omitting a marking and stabilizing if necessary, then the
$A_{\infty }$
composition will satisfy the general divisor equation for any number of boundary insertions. Unfortunately, it is difficult to achieve existence of the forgetful maps using the perturbations used in this paper. Rather, we will achieve transversality while having the divisor equation for the
$A_{\infty }$
algebras of the new branes in the blowup with only two insertions. We first introduce a class of perturbations for which this restricted version of the divisor equation will hold.
Notation 5.9.
$\Gamma ^*$
is the stable domain type with only the root vertex
$v_0$
, two incoming unforgettable boundary leaves
$e',e"$
and one outgoing boundary leaf
$e_0$
(which must also be unforgettable), and
$m(\epsilon )$
interior leaves, where
$m(\epsilon )$
is the expected number of intersections of the basic Maslov 2 disks with the Donaldson hypersurface
$\tilde D$
. Denote the segments corresponding to the two incoming edges by
$T_{e'}, T_{e"} \subset \overline {\mathcal U}_{\Gamma ^*}$
. Each multivalued perturbation
$P_{\Gamma ^*}$
restricts to two multivalued functions
Definition 5.10. A perturbation
$P_{\Gamma ^*}$
is called symmetric if with respect to the obvious identification
$T_{e'} \cong T_{e"}$
, as multivalued functions (with weights) one has
$F_{e'} = F_{e"}.$
Now consider the situation of the divisor equation. As
$L_{{\boldsymbol \epsilon }} \cong (S^1)^n$
, there exists a perfect Morse function
$F_{L_{{\boldsymbol \epsilon }}}$
that has exactly
$2^n$
critical points. We call such a function a minimal Morse function on this torus. There are exactly n critical points, denoted by
$x_1, \ldots , x_n$
that have Morse index
$n-1$
. By choosing orientations on their unstable manifolds,
$x_1, \ldots , x_n$
give a basis of
$H^1(L_{{\boldsymbol \epsilon }})$
. Also let
$x_0$
be the unique critical point of index n, whose unstable manifold is oriented in the same way as
$L_{{\boldsymbol \epsilon }}$
. Let
$\mathbb {\Gamma }_{\tilde \beta , i, j}$
be the map type determined by a basic disk class
$\tilde \beta \in H_2(\tilde X, L_{{\boldsymbol \epsilon }} )$
, incoming critical points
$x_i, x_j$
and outgoing critical point
$x_0$
. Let
$\mathbb {\Gamma }_{\tilde \beta }$
denote the map type without the incoming edges and only one output labelled by
$x_0$
.
Lemma 5.11. There exists a symmetric multivalued perturbation
$P_{\Gamma ^*}$
such that the moduli spaces
${\mathcal {M}}_{\mathbb {\Gamma }_{\tilde \beta , i, j}}(P_{\Gamma ^*})$
are regular for any basic disk class
$\tilde \beta $
.
Proof. The proof is an averaging argument. Fix such a disk class
$\tilde \beta $
. Consider the moduli space of
$J_{\tilde U}$
-holomorphic disks
$u: S \to X$
in this class with one boundary marked point
$z_e \in S$
. The Blaschke formula (5.2) implies that this moduli space is a smooth manifold of dimension equal to
$\mathrm {dim}L_{\boldsymbol \epsilon }$
and the evaluation map
$u \mapsto u(z_e)$
at the boundary marking
$z_e$
is a diffeomorphism onto
$L_{\boldsymbol \epsilon }$
. Therefore, the moduli space
${\mathcal {M}}_{\mathbb {\Gamma }_{\tilde \beta }}$
contains only one configuration (up to permuting interior markings) whose boundary is an embedded circle
$\partial \tilde \beta \subset L_{\boldsymbol \epsilon }$
. Choose two perturbations to the negative gradient flow equation of
$f_{L_{\boldsymbol \epsilon }}$
, which gives two perturbations of the unstable manifolds
$W^u(x_i)$
for each i, denoted by
$W^u_{e_1}(x_i)$
,
$W^u_{e_2}(x_i)$
. We may require that
$W^u_{e_1}(x_i)$
,
$W^u_{e_2}(x_j)$
always intersect transversely and intersect transversely with
$\partial \tilde \beta $
so that
$W^u_{e_1}(x_i) \cap W^u_{e_2}(x_j) \cap \partial \tilde \beta = \emptyset $
. Switching the two perturbations does not alter this condition. Regarding the two perturbations as a perturbation on the two incoming leaves of
$\Gamma ^*$
and the switching produces a 2-valued perturbation
$P_{\Gamma ^*}$
.
Lemma 5.12. The following divisor relation holds:
Here
$\langle x_i, \partial \beta \rangle $
is the intersection number between the unstable manifold
$x_i$
and boundary class
$\partial \beta \in H_1(L_{{\boldsymbol \epsilon }})$
.
Proof. Suppose that perturbations
$F_{e_1}, F_{e_2}$
on the incoming edges have been chosen. For any perturbation datum
$P_{\Gamma _0}$
we obtain a perturbation datum for
$P_\Gamma $
by pull-back of
$P_{\Gamma _0}$
everywhere except the edges
$e_1,e_2$
where we take the perturbation to equal
$F_{e_1}, F_{e_2}$
. Notice that the moduli space
${\mathcal {M}}_{\mathbb {\Gamma }_\beta }(P_{\Gamma _0})$
is always transversely cut out. Any element of the moduli space
${\mathcal {M}}_{\mathbb {\Gamma }_{\beta , i, j}^*}(P_{\Gamma ^*})$
is determined by an element in
${\mathcal {M}}_{\mathbb {\Gamma }_{\beta }^0}(P_{\Gamma ^0})$
obtained by forgetting the edges together with attaching points of the edges
$e_1,e_2$
which flow to
$x_1,x_2$
under the perturbed gradient flow of
$F_{e_1},F_{e_2}$
. For any time-dependent perturbation
$F_t$
of
$F_{L_{\boldsymbol \epsilon }}$
, the unstable manifold of
$x_i$
, which is the space of solutions to the equation
is still a cycle and represents the same class in
$H_1(L_{\boldsymbol \epsilon })$
as the unperturbed unstable manifold. In the case when
$i=j$
, it follows that the number of such configurations for any map of type
$ \mathbb {\Gamma }_0(\beta; x_0)$
is
$ \frac {1}{2} \langle x_i, \partial \beta \rangle \langle x_j, \partial \beta \rangle \# {\mathcal {M}}_{\mathbb {\Gamma }_0(\beta; x_0)}(P_\Gamma )$
, with the factor of
$\frac {1}{2}$
appearing because the attaching points must appear in cyclic order, and the number of attaching points in either order are equal by the symmetric assumption. In the case when
$i \neq j$
, a map of type
$ \mathbb {\Gamma }_0(\beta; x_0)$
together with the data of attaching points contributes to exactly one of the two terms in the left hand side of (5.4) depending on the cyclic ordering of
$z_0$
and the two attaching points.
Example 5.13. We give an example to show why the divisor equation (5.4) does not hold if multivalued perturbations are not allowed. Consider
$X=S^2$
with
$L=S^1$
being the equatorial circle equipped with a minimal Morse function F. Let
$x_0$
resp.
$x_1 \in L$
be the minimum resp. maximum point of F. There are two basic classes
$\beta ^+$
,
$\beta ^-$
in
$H_2(X,L)$
corresponding to the upper and lower hemisphere of
$S^2$
, and there is one map each of class
$\beta ^+$
,
$\beta ^-$
that has a single output mapping to
$x_0$
. We now count the elements in the moduli space
${\mathcal {M}}_{\mathbb {\Gamma }_{\beta ^\pm ,1,1}} (P_\Gamma )$
. Let
$F^{e_1}$
and
$F^{e_2}$
be single-valued perturbations of F defined on the treed segments
$T_{e_1}$
,
$T_{e_2}$
. The corresponding unstable manifolds
$p_1:=W^u_{e_1}(x_1)$
and
$p_2:=W^u_{e_2}(x_1)$
are distinct points in L. Depending on the cyclic ordering of
$x_0$
,
$p_1$
and
$p_2$
, exactly one of the moduli spaces
${\mathcal {M}}_{\mathbb {\Gamma }_{\beta ^+,1,1}} (P_\Gamma )$
,
${\mathcal {M}}_{\mathbb {\Gamma }_{\beta ^-,1,1}} (P_\Gamma )$
is non-empty. Thus the relation (5.4) does not hold for the classes
$\beta ^+$
,
$\beta ^-$
.
Symmetric perturbations may not suffice to regularize other moduli spaces as one needs to break the symmetry in order to regularize. Nonetheless, a perturbation sufficiently close to a symmetric one will not change the divisor relation above.
Lemma 5.14. For each sufficiently small
$\epsilon $
, there exist a coherent and strongly regular system of perturbations
$\tilde P_\Gamma $
for treed holomorphic disks in
$\tilde X$
so that for the basic disk classes, one has the relation (5.4).
Proof. For each
$\Gamma $
there are countably many map types
$\mathbb {\Gamma }(\beta; x_i, x_j, x_0)$
. Since the countable intersection of comeager sets is comeager, we may assume that
$P_\Gamma $
has been chosen so that (5.4) holds. The rest of the construction of coherent perturbations now remains the same.
We summarize all conditions that can be achieved in the following theorem.
Theorem 5.15. There exists a coherent system of perturbation data
$\underline {\smash {\tilde P}} = (\tilde P_\Gamma )$
for treed disks in
$\tilde X$
satisfying the following conditions.
-
(a) Each
$\tilde P_\Gamma $
is strongly regular (see Definition 2.25). -
(b) The system of perturbation data
$\underline {\smash {P}} = (P_\Gamma )$
obtained from
$\underline {\smash {\tilde P}}$
via the natural projection map is coherent and each
$P_\Gamma $
is strongly regular. -
(c) If
$\Gamma $
is the domain type with a single vertex, two unforgettable incoming boundary edges and one outgoing boundary edge, no interior leaves, then (5.4) holds. -
(d) In particular, if
$\tilde P_\Gamma = (\tilde J_\Gamma , \tilde H_\Gamma , \tilde F_\Gamma , \tilde M_\Gamma )$
, then
$\tilde J_\Gamma $
agrees with
$J_{\tilde U}$
in
$\tilde U$
,
$\tilde H_\Gamma $
vanishes identically in
$\tilde U$
, and
$\tilde M_\Gamma $
is the identity in
$\tilde U$
.
5.3 Point constraint and restricted perturbations
In this subsection, we consider the Fukaya category, the quantum cohomology, the open-closed/closed-open maps with a special bulk deformation. We first address some considerations for transversality of treed disks before we take the blowup. We consider bulk deformations of the form
where
$\epsilon>0$
and
${\mathfrak b}_0$
is a bulk deformation whose components are disjoint from p. We first refine the combinatorial structures for domain types. The datum for a domain type
$\Gamma $
of treed disk includes a partition
where
$\mathrm {Leaf}_{\bullet , 0}(\Gamma )$
labels interior markings mapped into D or components of
${\mathfrak b}_0$
, while the set of exceptional leaves
$\mathrm {Leaf}_{\bullet , \mathrm {ex}}(\Gamma )$
labels interior markings (called exceptional markings) constrained by p. If
$\Gamma $
is such a stable domain type, let
$\Gamma '$
be the domain type obtained by forgetting
$\mathrm { Leaf}_{\bullet , \mathrm {ex}}(\Gamma )$
and stabilizing. This operation induces a contraction map
We make the following restrictions on perturbations.
Definition 5.16. For each stable domain type
$\Gamma $
, a perturbation
$P_\Gamma = (J_\Gamma , F_\Gamma , H_\Gamma , M_\Gamma )$
is called restricted if it satisfies the following conditions.
-
(a)
$J_\Gamma |_U \equiv J_U$
,
$H_\Gamma |_U \equiv 0$
, and
$M_\Gamma |_U = \mathrm {Id}$
. -
(b) Let
$\Gamma '$
be the domain type obtained by forgetting
$\mathrm {Leaf}_{\bullet , \mathrm {ex}}(\Gamma )$
. If
$\Gamma '$
is not empty, then
$P_\Gamma $
is the pullback of a function on
$\overline {\mathcal U}_{\Gamma '}$
under the contraction
$\overline {\mathcal U}_\Gamma \to \overline {\mathcal U}_{\Gamma '}$
.
Definition 5.17. A map type
$\mathbb {\Gamma }$
is called p-uncrowded if on each ghost vertex
$v\in \mathrm {Vert}(\Gamma )$
there is at most one exceptional leaf.
We also modify the meanings of regular and strongly regular perturbations in Definition 2.25 by requiring the same conditions only for map types that are both uncrowded and p-uncrowded.
Proposition 5.18. There exists a coherent system of restricted and strongly regular perturbations
$\underline {\smash {P}} = (P_\Gamma )_\Gamma $
.
Proof. The proof of the statement of the Proposition is similar to the proof of Theorem 2.26. Note that there are no non-constant holomorphic spheres contained in the open subset U where the almost complex structure is unperturbed.
Proposition 5.19. There exists a coherent system of restricted and strongly regular perturbations
$\underline {\smash {P}}$
such that, for each essential map type
$\mathbb {\Gamma }$
of expected dimension zero or one and for each element of
${\mathcal {M}}_{\mathbb {\Gamma }}(P_\Gamma )$
represented by a treed disk
$(C, u)$
for each exceptional marking
$z \in C$
, the derivative of u at z is non-zero.
Proof. The vanishing of derivatives at markings is a phenomenon with codimension two, hence generically cannot happen in a zero or one-dimensional moduli space.
5.4 Pullback perturbations and exceptional regularity
In this subsection, we discuss the transversality issues related to embedding the Fukaya category to a blowup. In order to compare this category with the Fukaya category before the blowup, we use the pullback perturbations which depend on markings mapped into the pullback of a Donaldson hypersurface
$D \subset X$
. However,
$\pi ^{-1}(D)$
is no longer a Donaldson hypersurface. This requires a modification of the general construction.
5.4.1 Exceptional regularity
We first consider treed disks for defining the Fukaya category. Let
$\Gamma $
be any stable domain type (without exceptional leaves). As restricted perturbations used downstairs (see Definition 5.16) are independent from exceptional leaves, they can be pulled back to a perturbation on
$\overline {\mathcal U}_\Gamma $
for treed disks in
$\tilde X$
. Indeed, as
$J_\Gamma $
is the standard almost complex structure
$J_U$
in U, it lifts to the integrable almost complex structure
$J_{\tilde U}$
. The Hamiltonian perturbation
$H_\Gamma $
, the diffeomorphism
$M_\Gamma $
both lifts as well. Therefore, each restricted perturbation
$P_\Gamma $
corresponds to a pullback perturbation upstairs. We denote the pullback by
$\pi ^* P_\Gamma $
. A map type for treed disks in
$\tilde {X}$
is denoted by
$\tilde {\mathbb {\Gamma }}$
and the corresponding moduli space is
${\mathcal {M}}_{\tilde {\mathbb {\Gamma }}}(\pi ^* P_\Gamma )$
.
To regularize the moduli spaces of treed maps that have spherical components mapped to the exceptional divisor we require a different notion of regularity, as the normal direction to the exceptional divisor may bring in obstructions in the usual sense. We define a subgraph of the type of a map corresponding to components that map into the exceptional locus.
Definition 5.20 (Exceptional subtype)
Let
$\Gamma $
be a domain type,
$u: C \to \tilde {X}$
be a treed holomorphic disk of type
$\Gamma $
. Let
$\Gamma _{\mathrm {ex}}$
be the union of spherical subtrees
$\Gamma "$
of
$\Gamma $
whose energy is positive and so that the images of the corresponding subcurve
$C"$
is contained in the exceptional divisor
$\tilde {Z}$
(such a subtree may have ghost components).Footnote 12 In general, a treed holomorphic disk C of domain type
$\Gamma $
is called a type
$(\Gamma , \Gamma _{\mathrm {ex}})$
-map if
$\Gamma _{\mathrm {ex}}$
is union of all maximal spherical subtrees
$\Gamma "$
with
$$ \begin{align*} &\ \sum_{v \in \mathrm{Vert}(\Gamma")} A(u_v)> 0\ \ \ \ \mathrm{and}\ \ \bigcup_{v\in \mathrm{Vert}(\Gamma")} u_v(S_v) \subset \tilde Z. \end{align*} $$
The moduli space of maps to the blowup can be viewed as a fibre product in the following way. We assume for simplicity that the graph
$\Gamma _{\mathrm {ex}}$
is connected and its complement, denoted by
$\Gamma '$
, is also connected. Let
$\mathbb {\Gamma }_{\mathrm {ex}}$
and
$\mathbb {\Gamma }'$
be the obviously induced map types. Let
$u_{\mathrm {ex}}$
and
$u'$
be the restriction of u to these two parts. The perturbation datum
$P_\Gamma $
induces a perturbation datum
$P_{\Gamma '}$
on
$\overline {\mathcal U}_{\Gamma '}$
and a perturbation datum
$P_{\Gamma _{\mathrm {ex}}}$
on
$\overline {\mathcal U}_{\Gamma _{\mathrm {ex}}}$
. The map
$u'$
represents an element of
${\mathcal {M}}_{\mathbb {\Gamma }'}(P_{\Gamma '})$
and
$u_{\mathrm {ex}}$
represents an element of
${\mathcal {M}}_{\mathbb {\Gamma }_{\mathrm { ex}}}(P_{\Gamma _{\mathrm {ex}}})$
. The moduli space of type
$(\mathbb {\Gamma }, \mathbb {\Gamma }_{\mathrm {ex}})$
treed holomorphic disks (with respect to the perturbation
$P_\Gamma $
) can be identified with the fibre product
where the target set of the two evaluation maps is the exceptional divisor
$\tilde Z$
.
Definition 5.21. The treed holomorphic disk u is regular as a type
$(\mathbb {\Gamma }, \mathbb {\Gamma }_{\mathrm {ex}})$
map if
$u'$
and
$u_{\mathrm {ex}}$
are both regular and the above fibre product is transverse at
$([u'], [u_{\mathrm {ex}}])$
.
In order to obtain corresponding regularity and compactness results, the notion of strong regularity of Definition 2.25 needs the following modification.
Definition 5.22. Let
$\Gamma $
be a stable domain type. A pullback perturbation
$P_\Gamma $
(for treed disks in
$\tilde X$
) is called exceptionally regular if the following conditions are satisfied: For each subgraph
$\Gamma _{\mathrm {ex}} \subset \Gamma $
whose vertices are all contained in
$\mathrm {Vert}_\bullet (\Gamma )$
, an uncrowded treed holomorphic disk
$u: C \to \tilde {X}$
of domain type
$(\Gamma , \Gamma _{\mathrm {ex}})$
is regular as a map of type
$(\Gamma , \Gamma _{\mathrm {ex}})$
.
Proposition 5.23. There exists a coherent system of perturbations
$\underline {\smash {P}} = (P_\Gamma )_\Gamma $
for treed disks in X satisfying the following conditions.
-
(a) Each
$P_\Gamma $
is strongly regular (Definition 2.25.) -
(b) The lifted perturbation
$\pi ^* P_\Gamma $
is strongly regular for curves in
$\tilde X$
having no components mapped into
$\tilde Z$
. -
(c) The lifted perturbation
$\pi ^* P_\Gamma $
is exceptionally regular.
Proof. The proof is similar to that of Theorem 5.15 and omitted.
Remark 5.24. Exceptionally regularity implies regularity for the following maps obtained by the forgetful construction. Let
$u: C \to \tilde {X}$
be a treed holomorphic disk of type
$(\Gamma , \Gamma _{\mathrm {ex}})$
. Let
$C'$
be the (possibly disconnected) treed disk obtained by removing all spherical components
$S_v$
labelled by vertices v in
$\Gamma _{\mathrm {ex}}$
, and
$u': C' \to \tilde {X}$
the induced map which has no non-constant sphere components mapped into
$\tilde {Z}$
. Equip
$C'$
with new markings corresponding to nodes connecting
$C'$
to its complement
$C - C'$
. Let
$\Gamma '$
be the domain type (possibly disconnected) corresponding to
$C'$
. (See Figure 26.) By the locality property of the perturbation data (see Definition 2.13),
$P_\Gamma $
induces a perturbation datum
$P_{\Gamma '}$
so that
$u'$
is
$P_{\Gamma '}$
-holomorphic. The moduli space
$\mathcal {M}_{\mathbb {\Gamma },\mathbb {\Gamma }_{\mathrm {ex}}}(\tilde {X})$
is then the fiber product of
$\mathcal {M}_{\mathbb {\Gamma }'}(X)$
with
$\mathcal {M}_{\mathbb {\Gamma }_{\mathrm {ex}}}(E)$
, over some number I of copies of
$\tilde {Z}$
corresponding to edges connection
$\Gamma '$
and
$\Gamma _{\mathrm {ex}}$
. Since non-constant spheres in
$\tilde {Z} \cong \mathbb {CP}^{n-1}\subset {\mathcal O}(-1)$
have obstructions to be deformed out of
$\tilde {Z}$
, the transversality at nodes connecting components in
$\Gamma _{\mathrm {ex}}$
and not in
$\Gamma _{\mathrm {ex}}$
implies the evaluation map at the new markings from the moduli space of
$P_{\Gamma '}$
-holomorphic treed disks is transversal to
$(\tilde {Z})^l$
at the point represented by
$u'$
. In particular, the curves in
$\mathcal {M}_{\Gamma '}(X)$
are regular.
Forgetting sphere components mapped to the exceptional divisor. The grey spheres are (possibly constant) holomorphic spheres in the exceptional divisor. The markings supposed to be mapped to the Donaldson hypersurfaces are not drawn. The exceptional regularity requires regularity of the configuration on the right and the transversality to the exceptional divisor at the markings
$z_1, z_2, z_3, z_4$
.

5.4.2 Refined compactness for blowup
Finally, we show that a version of Gromov compactness holds for the perturbations constructed as above, with complex structure standard in a neighbourhood of the exceptional locus. We first redefine the notion of essential map types in the blowup case (see Definition 2.30), since the pullback of the stabilizing divisor
$\tilde D \subset X$
in
$\tilde {X}$
is no longer a Donaldson hypersurface, but rather represents the cohomology class
$\pi ^* [\omega ] \in H^2(\tilde {X})$
.
Definition 5.25. A map type
$\mathbb {\Gamma }$
of treed holomorphic disks in
$\tilde X$
is called essential if the edges
$e \in \operatorname {Edge}({\mathbb {\Gamma }})$
have no breakings, there are no edges e of length
$\ell (e)$
zero or infinity, no spherical vertices
$v \in \operatorname {Vert}_\bullet ({\mathbb {\Gamma }})$
, all interior constraints on edges
$e \in \operatorname {Edge}_\bullet ({\mathbb {\Gamma }})$
are either
$(\tilde D, 1)$
or
$\tilde {{\mathfrak {b}}}$
and the following holds for each disk vertex
$v\in \mathrm {Vert}({\mathbb {\Gamma }}_\circ )$
, if the homology class of the component
$S_v$
is
$\tilde \beta _v$
, then the number of interior leaves meeting v labelled by
$(\tilde D, 1)$
is equal to
$k \omega ( \beta _v)$
, where
$\beta _v$
is the pushforward of
$\tilde \beta _v$
to X.
Proposition 5.26 (Improved compactness)
For a coherent collection
$ (\tilde {P}_{\Gamma })$
of exceptionally regular perturbations, sequential compactness for moduli spaces
of essential types of expected dimension at most one (exactly the same statement as Lemma 2.32) holds. In particular, the limit of a convergent sequence
$u_\nu $
of elements u in a moduli space
of essential map type of expected dimension at most one has no component mapped into the exceptional divisor
$\tilde {Z}$
.
Proof. We extend the proof of Lemma 2.32 to the case of sphere bubbling in the exceptional divisor, which is ruled out by an index argument. Consider an essential map type
$\mathbb {\Gamma }$
with index at most one and consider a sequence of treed holomorphic disks
$u_i: C_i \to \tilde {X}$
representing a sequence of points in
${\mathcal {M}}_{\mathbb {\Gamma }}(\tilde P_\Gamma )$
. By general compactness results, a subsequence converges to a limiting treed holomorphic disk
$u: C \to \tilde {X}$
of some type
$\mathbb {\Gamma }'$
. Indeed, Gromov compactness for Hamiltonian-perturbed pseudoholomorphic maps with Lagrangian boundary conditions shows that the maps on each surface component have stable limits, after passing to a subsequence, and convergence on the tree parts follows from compactness of the manifold. To see that the limit has essential type, first one can as in the proof of Lemma 2.32 (also the argument of Cieliebak-Mohnke [Reference Cieliebak and MohnkeCM07]) remove crowded ghost components
$u_v: S_v \to \tilde {X}$
, and so assume that the map type
$\mathbb {\Gamma }'$
of u is uncrowded. Second, if one can rule out the possibility of a non-constant sphere
$u_v: S_v \to \tilde {X}$
mapped into the exceptional divisor
$\tilde {Z}$
, then the theorem follows from the same argument of the proof of Lemma 2.32 as the exceptional regularity agrees with the regularity.
Suppose on the contrary that there are non-constant spherical components of u mapped into the exceptional divisor. We derive a contradiction using the two types of regularity conditions of Definition 5.22 and Remark 5.24. Let
$\Pi $
be the domain type of u. Consider maximal sphere bubble trees
$\Pi _{\mathrm {ex}}$
in
$\Pi $
whose energy is positive and so that the corresponding maps
$u': C' \to \tilde {X}$
have images in
$\tilde {Z}$
. Let
$\Pi '$
be the domain type obtained from
$\Pi $
by removing
$\Pi _{\mathrm {ex}}$
. Suppose
$\Pi _{\mathrm {ex}}$
has m connected components
$\Pi _{\mathrm {ex},1}, \ldots , \Pi _{\mathrm {ex},m}$
with positive degrees
$d_1, \ldots , d_m$
. Suppose
$\Pi '$
have
$k+1$
connected components
$\Pi _0', \ldots , \Pi _k'$
, where
$\Pi _0'$
has boundary and
$\Pi _1', \ldots , \Pi _k'$
are spherical trees. Suppose the homology class of
$\Pi _i'$
is
$\beta _i$
and
$\Pi _i'$
has
$l_i$
new markings. Suppose the component
$\Pi _0'$
has map type
${\mathbb {\Pi }}_0$
and
$l_0$
new markings. Since each removed node is replaced by two new markings, we have the equality
To simplify the computation of the indices, without loss of generality, assume all the spherical trees
$\Pi _{\mathrm {ex}, i}$
or
$\Pi _j'$
(
$j\geq 1$
) have single vertices and the disk components have no bubbling of disks or breaking of edges; otherwise, the index of the strata would be even lower. The index of u as a
$(\Pi , \Pi _{\mathrm {ex}})$
-type map (see Definition 5.22) is (here
$2n$
is the dimension of X and
$d = d_1 + \cdots + d_m$
is the total degree of spheres in the exceptional divisor).
$$ \begin{align*} & \sum_{i=1}^k \underbrace{2n + m(\beta_i) + 2l_i - 6}_{\mathrm{index\ of\ } \Pi_i'} + \underbrace{\mathrm{ind}({\mathbb{\Pi}}_0) + 2l_0}_{\mathrm{index\ of\ } \Pi_0'} + \underbrace{(2n-2) m + 2nd + 2l - 6m}_{\mathrm{index\ of\ } \Pi_{\mathrm{ex}}} - \underbrace{2nl}_{\mathrm{matching\ condition}}\\ &\qquad\qquad\qquad = (2n-6)k - (2n-4)l + (2n-8)m + \mathrm{ind}({\mathbb{\Gamma}}) + 2d\\ &\qquad\qquad\qquad\qquad\qquad\qquad\qquad\qquad\qquad\qquad = 2d - 2k - 4m + \mathrm{ind}({\mathbb{\Gamma}}) \geq 0 \end{align*} $$
Hence
On the other hand, consider the induced object of type
$\Gamma '$
. The index is
$$ \begin{align*} \sum_{i=1}^k \underbrace{2n + m(\beta_i) + 2l_i - 6}_{\mathrm{index\ of\ } \Pi_i'} + \underbrace{\mathrm{ind}({\mathbb{\Pi}}_0) + 2l_0}_{\mathrm{index\ of\ } \Pi_0'} - & \underbrace{2l}_{\mathrm{constraints\ at\ new\ markings}}\\ & = (2n-6)k + \mathrm{ind}({\mathbb{\Gamma}}) - 2(n-1)d \geq 0. \end{align*} $$
Hence
This contradicts (5.5). Hence in the limit there cannot be any non-constant spherical components mapped into the exceptional divisor. On the other hand, using ordinary (but not the exceptional) regularity one can also see that there is no constant spherical component that is mapped into the exceptional divisor.
5.4.3 Refined compactness for treed disks with point constraints
The exceptional regularity achieved upstairs also implies the refined compactness for curves downstairs. Let
$\mathbb {\Gamma }$
be an essential map type of expected dimension
$0$
or
$1$
downstairs with l exceptional markings.
Lemma 5.27. For generic perturbations
$P_\Gamma $
, we can achieve an additional regularity condition: for each representative
$(C, u)$
of points in
${\mathcal {M}}_{\mathbb {\Gamma }}(P_\Gamma )$
, the fiber
$u^{-1}(p)$
is the set of the l exceptional markings.
Proof. Indeed, each additional point mapped to p cuts down the dimension by
$2n-2\geq 2$
. Moreover, by Proposition 5.19, the derivatives at the exceptional markings are non-zero. Hence
$(C, u)$
lifts to a treed disk
$(C, \tilde u)$
that intersects
$\tilde Z$
at the positions of the exceptional markings.
Lemma 5.28. Given a map
${\tilde u}: C \to {\tilde X}$
, let
$u = \pi \circ \tilde u$
denote the projection with exceptional markings at
$u^{-1}(p)$
. The indices of
$\mathbb {\Gamma }$
of u and
$\tilde {\mathbb {\Gamma }}$
of
$\tilde u$
coincide.
Proof. Let n be the complex dimension of X. By the relation between canonical classes before and after the blowup, one has
where
$\mathrm {PD}$
denotes the Poincaré dual. The lemma follows from Riemann-Roch.
Proposition 5.29. Let
$\mathbb {\Gamma }$
be an essential map type of expected dimension
$0$
resp.
$1$
. Then
${\mathcal M}_{\mathbb{\Gamma}}(P_\Gamma)$
has a compactification
$\overline{\mathcal M}_{\mathbb{\Gamma}}(P_\Gamma)$
and the maps in
$\overline{\mathcal M}_{\mathbb{\Gamma}} \setminus {\mathcal M}_{\mathbb{\Gamma}}(P_\Gamma)$
have exactly one of the degenerations listed in Lemma 2.32.
Proof. Suppose
$(C_i, u_i)$
be a sequence of treed disks of map type
$\mathbb {\Gamma }$
and
$(C_i, \tilde u_i)$
be the sequence of lifts. Suppose their map types are
$\tilde {\mathbb {\Gamma }}_i$
. By the relation between symplectic forms (see (5.1)), the topological energy of the types
$\tilde {\mathbb {\Gamma }}_i$
is uniformly bounded. Hence by Gromov compactness, we may assume that
$\tilde {\mathbb {\Gamma }}_i$
are all identical to a map type
$\tilde {\mathbb {\Gamma }}$
. By Lemma 5.28, the expected dimension of
${\mathcal {M}}_{\tilde {\mathbb {\Gamma }}}(P_\Gamma )$
is either zero or one. The exceptional regularity of the perturbation implies that this moduli space has a compactification, and maps in the boundary of the compactification have one of the degenerations listed in Lemma 2.32. In particular, the limiting configuration contains no spherical components
$S_v, v \in \operatorname {Vert}_\bullet (\Gamma )$
.
5.5 The Fukaya category and open-closed/closed-open maps
We describe how to construct the Fukaya category for blow-ups in the case of a point bulk deformation with small negative q-valuation.
5.5.1 Insertions with negative q-valuations and convergence
Consider a bulk deformation in X of the form
We will define a curved
$A_{\infty }$
category which is formally
Notice that its definition does not automatically follow from the general case because of the negative exponent.
Lemma 5.30. There exists
$\epsilon _0>0$
such that for any Riemann surface
$\Sigma $
with boundary
$\partial \Sigma $
, any domain-dependent almost complex structure
$J: \Sigma \to {\mathcal J}_{\mathrm {tame}}(X, \omega )$
whose restriction to U is
$J_U$
, for any J-holomorphic curve
$u: \Sigma \to X$
with
$u(\partial \Sigma ) \cap U = \emptyset $
, we have the energy bound
Proof. This follows from the generalization of Gromov’s monotonicity result for J-holomorphic curves to the case with multiplicities (see [Reference BaoBao16, Theorem 12]; the result can also be derived from [Reference FishFis11]).
Corollary 5.31. There exists
$\epsilon _0>0$
such that for all
$\epsilon \in (0, \epsilon _0]$
, the Fukaya category
$\operatorname {Fuk}_{\mathcal L}^\sim (X, {\mathfrak b}_0 + q^{-\epsilon } q)$
, the quantum cohomology ring
$QH^{\bullet }( X, {\mathfrak {b}}_0 + q^{-\epsilon } p)$
, the open-closed map
$[OC({\mathfrak {b}}_0 + q^{-\epsilon } p)]$
, and the closed-open map
$[CO({\mathfrak {b}}_0 + q^{-\epsilon } p)]$
are all well-defined.
Proof. We only prove for the case of
$\operatorname {Fuk}_{\mathcal L}^\sim (X, {\mathfrak {b}}_0 + q^{-\epsilon } p)$
; other cases are similar. Indeed, it suffices to show that the sum (3.5) gives a well-defined element of
$CF^{\bullet } (L_0, L_d)$
. As the moduli space for each individual essential map type of expected dimension zero is compact, we need to show that when
$\epsilon $
is small, for each
$a>0$
, there are only finitely many non-empty moduli spaces
that contribute to
$m_d(a_1, \ldots , a_d)$
and that satisfy
Indeed, if
$\epsilon $
is smaller than the
$\epsilon _0$
of Lemma 5.30, then the number of exceptional markings is bounded in terms of the area. By Gromov compactness, there can only be finitely many such map types.
5.5.2 Categories of old branes in the blowup
We wish to identify the Fukaya category of the old branes with a subcategory of the Fukaya category of the blow-up. We must deal with the issue that the pullback hypersurface
$ \pi ^{-1}(D) \subset \tilde X$
is not a Donaldson hypersurface in the blowup
$\tilde X$
, as its Poincaré dual is
$k[\pi ^* \omega ]$
. Therefore, below any given energy level, there might be infinitely many essential map types with unbounded numbers of interior markings contributing to the definition of the composition maps. To show that the structural maps (higher compositions, chain-level open/closed and closed/open maps) are defined, we need to show the following:
Lemma 5.32. Given any energy bound E and constraints at semi-infinite edges/leaves, there are at most finitely many essential map types
$\mathbb {\Gamma }$
below the energy bound that have a non-empty moduli space.
Proof. Given a non-empty moduli space
${\mathcal {M}}_{\tilde {\mathbb {\Gamma }}}(P_\Gamma )$
and a point in it, after forgetting interior gradient leaves, a representative
$(C, \tilde u)$
projects to a treed disk
$(C, u)$
in X. The relation between symplectic classes (see (5.1)) implies that
When
$\epsilon $
is smaller than the
$\epsilon _0$
of Lemma 5.30, the energy bound upstairs implies a uniform bound on
$\# u^{-1}(p)$
. Therefore,
$E(u)$
, which is also the intersection number between
$\tilde u$
and
$\pi ^{-1}(D)$
, is uniformly bounded. It follows that there can be at most finitely many domain types supporting such map types with non-empty moduli spaces given an energy bound.
Gromov compactness then implies the finiteness of contributing moduli spaces and hence finite counts defining the coefficients of the structure maps.
5.5.3 Homotopy invariance of the category of old branes
In this section, we sketch the comparison between two constructions of the Fukaya category of old branes in the blowup, the general version provided in Section 2 and Section 3 and the special version using pullback perturbations. We use the strategy of Appendix A, although in the latter case the divisor used is not a Donaldson hypersurface. For simplicity, we assume that the bulk deformation
$\tilde {\mathfrak b}$
in the blowup is trivial.
We first specify different types of domains. The domains used in the pullback construction are called
$\pi ^{-1}(D)$
-stabilized domains. On the other hand, let
$\tilde D \subset \tilde X$
be a Donaldson hypersurface with respect to the blowup symplectic structure
$\tilde \omega $
and
$\tilde J_0$
be an
$\tilde \omega $
-tamed almost complex structure such that
$(\tilde D, \tilde J_0)$
satisfies conditions of Proposition 5.2. By following the general construction of Section 2 and Section 3, we have a different version of Fukaya category for branes in
${\mathcal L}$
. The domains used in this case are called
$\tilde D$
-stabilized domains.
Now introduce treed disks with two types of interior markings to incorporate two stabilizing divisors. A
$(\pi ^{-1}(D), \tilde D)$
-stabilized treed disk (or bi-stabilized treed disk) is a treed disk with a partition of the set of interior markings into two groups. By forgetting one group of markings and stabilizing one can obtain from a bi-stabilized treed disk either a
$\pi ^{-1}(D)$
-stabilized treed disk or a
$\tilde D$
-stabilized treed disk. A perturbation used for
$\pi ^{-1}(D)$
-stabilized treed disk resp.
$\tilde D$
-stabilized treed disk can be pulled back to a bi-stabilized treed disk. The pullback perturbation on longer satisfies the locality property in the sense of Definition 2.13; but it is still partly local in the sense of Definition A.1. Moreover, the composition maps defined using bi-stabilized treed disks with either one of the pullback perturbations agree with the composition maps obtained using just one type of markings. Counts of quilted treed disks using generic homotopy between these two systems of partly local pullback perturbations defines a homotopy equivalence of
$A_{\infty }$
categories. Notice that we still need to use the argument of exceptional regularity (see Definition 5.22) to obtain the refined compactness result for zero or one-dimensional moduli spaces. We summarize the conclusion here.
Theorem 5.33. The Fukaya category
$\operatorname {Fuk}_{\pi ^{-1}({\mathcal L})}^\sim (\tilde X, {\mathfrak {b}})$
defined using pullback restricted perturbations from X is
$A_{\infty }$
homotopy equivalent to the Fukaya category defined using a Donaldson hypersurface in
$\tilde X$
.
6 Proof of the main theorem
6.1 Embedding of the downstairs Fukaya category
In this section we prove the main Theorem 1.1 following the strategy sketched in the introduction. We first prove Theorem 1.12. Recall that
$\tilde {X}$
is an
$\epsilon $
-blowup of X at a point
$p \in X$
and
$\mathcal {E} \subset \tilde X$
is the exceptional divisor produced by the blowup. The basic ingredient of the proof is a correspondence between treed disks in
$\tilde X$
and treed disks in X defined as follows. Given a map
$\tilde u : C \to \tilde X$
, we obtain
$u:C \to X$
by composing
$\tilde u$
with the projection map
$\pi : \tilde X \to X$
. For the map u, the points in
$u^{-1}(p)$
are designated as exceptional markings.
We introduce the following notation for moduli spaces with insertions at the exceptional locus or blowup point. Let
${\mathfrak {b}}$
be a bulk deformation in X disjoint from p and
$\tilde {{\mathfrak {b}}} = \pi ^{-1}({\mathfrak {b}})$
its pre-image in
$\tilde {X}$
. Let
-
•
$\tilde {\mathbb {\Gamma }}$
be an essential map type (see Definition 2.30) in
$\tilde {X}$
with boundary conditions from the collection
$\tilde {\mathcal L}$
. For each vertex
$v\in \mathrm {Vert}(\Gamma )$
(which must be a disk by the definition of essential map type), let
$\tilde \beta _v$
be the labelling homology class. Then
$\tilde \beta _v$
has a well-defined intersection number
$d_v$
with the exceptional divisor
$\tilde Z$
; -
•
$\mathbb {\Gamma }'$
be the map type in X obtained from
$\tilde {\mathbb {\Gamma }}$
by replacing the decorations
$\tilde \beta _v \in H_2( \tilde X, |\tilde {\mathcal L}|)$
with their projections
$\beta _v\in H_2( X, |{\mathcal L}|)$
and adding to each vertex v a set of
$d_v$
exceptional leaves
$\operatorname {Leaf}_{\mathrm {ex}}(\Gamma )$
(to be mapped to p). Notice that
$\tilde {\mathbb {\Gamma }}$
uniquely determines
$\mathbb {\Gamma }'$
.
Let
$P_{\Gamma '}$
belong to the coherent system of perturbations (for treed disks in X) chosen in Section 2. Remember that because
$P_{\Gamma '}$
does not depend on the positions of the exceptional leaves, it lifts to a perturbation for treed disks in X of domain type
$\Gamma $
, denoted by
$P_\Gamma $
. The moduli spaces are denoted
${\mathcal {M}}_{\tilde {\mathbb {\Gamma }}}(P_\Gamma )$
upstairs and
${\mathcal {M}}_{\mathbb {\Gamma }'}(P_{\Gamma '})$
downstairs. For each vertex v, let
$d_{\mathrm {ex}}(\tilde \beta _v)$
denote the pairing of the homology class
$\tilde \beta _v$
with the class of the exceptional divisor.
Theorem 6.1. Suppose
$\tilde {\mathbb {\Gamma }}$
is an essential map type of expected dimension zero. Composition with projection from
$\tilde {X}$
to X induces a surjection
An element in
$ {\mathcal {M}}_{\tilde {\mathbb {\Gamma }}}(P_\Gamma )$
has
$$\begin{align*}d_{\mathrm{ex}} (\tilde{\mathbb{\Gamma}}):= \Big( \sum_{v \in \mathrm{Vert}(\Gamma)} d_{\mathrm{ex}}(\tilde\beta_v)\Big) ! \end{align*}$$
number of pre-images under (6.1) that differ from each other in the ordering of the exceptional leaves.
Proof. By the definition of essential map types (see Definition 2.30), if
$\tilde {\mathbb {\Gamma }}$
is essential, so is
$\mathbb {\Gamma }'$
. Moreover, by Lemma 5.28, if
$\tilde {\mathbb {\Gamma }}$
has index zero, so does
$\mathbb {\Gamma }'$
. Choose a point in
${\mathcal {M}}_{\mathbb {\Gamma }'}(P_{\Gamma '})$
represented by a treed disks
$u: C \to X$
. Since
$J_\Gamma $
coincides with
$J_U$
inside U, u lifts to a map
which projects down to u. Moreover, by the requirement on the perturbation, at each point of
$u^{-1}(p)$
, to derivative of u is non-zero. Then
$\tilde u$
extends continuously, hence smoothly, to a treed disk
$\tilde u: C \to \tilde X$
. If we remove the exceptional markings, then
$\tilde u$
has an essential map type
$\tilde {\mathbb {\Gamma }}$
which descends to
$\mathbb {\Gamma }$
. Moreover, as the perturbation
$P_\Gamma $
does not depend on the positions of the exceptional markings,
$\tilde u$
indeed represents an element of
${\mathcal {M}}_{\tilde {\mathbb {\Gamma }}}(P_{\Gamma })$
. Hence the map (6.1) is defined.
Now we prove that the map (6.1) is surjective and has the expected degree. Fix such a map type
$\tilde {\mathbb {\Gamma }}$
and let
$\tilde u: C \to \tilde X$
represent an arbitrary point of
${\mathcal {M}}_{\tilde {\mathbb {\Gamma }}}(P_{\Gamma })$
. By the transversality condition in Definition 5.22, see also Remark 5.24, the curve
$\tilde u$
intersects
$\tilde Z$
transversely. Moreover, as
$\tilde Z$
is almost complex, each intersection point contributes
$1$
to the intersection number. Hence on each disk component
$S_v \subset C$
,
$\tilde u$
intersects
$\tilde Z$
at exactly
$d_{\mathrm {ex}}(\tilde \beta _v)$
points. Therefore, the point represented by
$\tilde u$
is in the image of (6.1) where the intersection points with
$\tilde Z$
are at the positions of the original exceptional markings. Furthermore, as there are
$d_{\mathrm {ex}}(\tilde {\mathbb {\Gamma }})!$
many ways to label the exceptional markings, each point in
${\mathcal {M}}_{\tilde {\mathbb {\Gamma }}}(P_{\Gamma })$
has exactly
$d_{\mathrm {ex}}(\tilde {\mathbb {\Gamma }})!$
pre-images. By comparing the orientations, this number is indeed the degree.
Proof of Theorem 1.12 from the Introduction
The map (6.1) constructed in Theorem 6.1 preserves orientations
$o(u)$
, number of interior leaves
$d_{\bullet }$
and (after the adjustment by
$q^{-\epsilon }$
in the bulk insertion p) symplectic areas in the sense that
Indeed, any pseudoholomorphic curve in
$\tilde {X}$
projects to a curve in X, with intersections
$\tilde {u}^{-1}(\tilde {Z})$
with the exception locus
$\tilde {Z}$
mapping to intersections
$u^{-1}(p)$
with the blowup point p.
Regarding orientations, after capping off the strip like ends as in [Reference Wehrheim and WoodwardWW] we may assume that the boundary condition is given by a single totally real sub-bundle
$(\partial u)^* TL$
. Any deformation of the Lagrangian
$(\partial u)^* TL$
to a trivial one for
$\phi $
induces a similar isotopy for
$\tilde {\phi }$
. The pullback
$\tilde {u}^* T\tilde {X}$
of the tangent bundle of
$\tilde {X}$
around an intersection with the exceptional divisor
$\tilde {Z}$
has a natural trivialization away from
$\tilde {u}^{-1}(\tilde {Z})$
. The projection
$\pi $
naturally identifies sections of
$\tilde {u}^{-1}(\tilde {Z})$
locally with sections of the
$u^* TX$
vanishing at
$0$
. The orientations on moduli spaces of disks constructed in [Reference Fukaya, Oh, Ohta and OnoFOOO09] are defined by pinching off sphere bubbles on which the linearized operator has a complex kernel and cokernel, preserving the complex structure. It follows that the induced orientations on the determinant lines for u and
$\tilde {u}$
are equal.
6.2 Open-closed maps from old branes
Recall from Section 3.3 that the quantum cohomology is defined, as a vector space, as the Morse homology of a Morse-Smale pair. We choose the Morse-Smale pair
$(f_X, h_X)$
on X satisfying the following conditions (recall that X is connected):
Assumption 6.1.
-
(a)
$f_X$
has a unique critical point
$x_{\max }$
of maximal Morse index and a unique critical point
$x_{\min }$
of minimal Morse index. -
(b) For a critical point x different from
$x_{\max }$
resp.
$x_{\min }$
, p is not contained in the unstable resp. stable manifold of x.
In particular, p is not a critical point.
On the other hand, the pullback
$\pi ^* f_X: \tilde {X} \to \mathbb {R}$
is a Morse-Bott function on the blowup
$\tilde X$
that requires some perturbation. We choose a Morse-Smale pair
$(f_{\tilde X}, h_{\tilde X})$
on
$\tilde X$
satisfying the following conditions.
Assumption 6.2.
-
(a)
$(f_{\tilde X}, g_{\tilde X})$
agrees with
$(\pi ^* f_X, \pi ^* h_X)$
outside a small neighbourhood of
$\tilde Z$
. -
(b) For each critical point
$x \in \mathrm {crit} (f_X) \subset \mathrm {crit} (f_{\tilde X})$
that is not
$x_{\max }$
resp.
$x_{\min }$
, the unstable resp. stable manifold of x of the flow of
$-\nabla f_{\tilde X}$
coincides with the unstable resp. stable manifold of x of the flow of
$- \nabla f_X$
.
The natural inclusion
$\mathrm {crit}(f_X) \subset \mathrm {crit}(f_{\tilde X})$
extends to a linear map
$CF^{\bullet }(X) \to CF^{\bullet }( \tilde X)$
. The above conditions on the Morse-Smale pairs imply that it is a chain map and that the induced map on cohomology agrees with the (injective) pullback
$QH^{\bullet }(X) \to QH^{\bullet }(\tilde X)$
.
Proposition 6.2. The following diagram is commutative:

where the horizontal arrows are
$[OC ({\mathfrak {b}} + q^{-\epsilon } p)]$
resp.
$[OC (\tilde {{\mathfrak {b}}})]$
. In particular,
Proof. We check that the diagram (6.2) commutes on the chain level by identifying the moduli spaces involved in the definition. The structure constants of the open-closed maps count treed disks with an interior constraint on an unstable manifold in X resp.
$\tilde {X}$
. Suppose
$x\in \mathrm {crit} (f_X) \setminus \{x_{\min }\}$
. By Theorem 6.1, treed disks in X with the outgoing gradient leaf labelled by x are in bijection (up to permuting constrained leaves labelled by p) with treed disks in
$\tilde X$
with output the same constraint, as negative gradient trajectories starting from x do not go near p. As in the proof of Theorem 1.12 on page 105, the bijection preserves the orientations
$o(u)$
and the counting coefficients in defining the open-closed maps. Therefore, the diagram (6.2) commutes up to multiples of the identities in the quantum cohomology. On the other hand, in the direction spanned by
$x_{\min }$
(which is a Morse cocycle in both X and
$\tilde X$
) the open-closed map always only has classical contributions (see Lemma 3.19). Hence (6.2) commutes.
6.3 Floer cohomology of new branes
In this section, we discuss the Fukaya algebras of branes supported on the exceptional torus in the blowup. The construction of perturbations relies on choosing a Donaldson hypersurface of the blowup, which is not the pullback of the Donaldson hypersurface
$D \subset X$
. Nevertheless, there exists a special Donaldson hypersurface
$\tilde D \subset \tilde X$
which is holomorphic near the exceptional locus
$\tilde Z$
. We first recall the computation of the potential function and the Floer cohomology of these branes in [Reference Charest and WoodwardCW17].
Theorem 6.3. [Reference Charest and WoodwardCW22]
Let
$L_{{\boldsymbol \epsilon }}$
be the exceptional Lagrangian, which is monotone in a neighbourhood of
$\tilde Z$
.
-
(a) For each local system
the Fukaya algebra
$$\begin{align*}y: H_1( L_{{\boldsymbol \epsilon}} ) \cong \mathbb{C}^n \to \Lambda^\times,\ y = (y_1, \ldots, y_n) \end{align*}$$
$CF^{\bullet }((L_{{\boldsymbol \epsilon }}, y), (L_{{\boldsymbol \epsilon }}, y))$
is weakly unobstructed.
-
(b) There exists a particular weakly bounding cochain
$b_{\mathrm {ex}}(y) \in MC(L_{{\boldsymbol \epsilon }}, y)$
such that (6.3)where
$$ \begin{align} W(b_{\mathrm{ex}}(y)) = q^{\frac{\epsilon}{n-1}} \Big( y_1 +\cdots + y_n + y_1 \cdots y_n + \mathrm{h.o.t} \Big) \end{align} $$
$\text {h.o.t.}$
denotes higher order terms measured by q-valuation.
-
(c) There are
$n-1$
distinct local systems
$y_{(k)}$
,
$k = 1, \ldots , n-1$
, such that for
$b_{(k)}:= b_{\mathrm {ex}}(y_{(k)})$
, one has
$$\begin{align*}HF^{\bullet}( (L_{{\boldsymbol \epsilon}}, y_{(k)}, b_{(k)}), (L_{{\boldsymbol \epsilon}}, y_{(k)}, b_{(k)})) \cong H^*( L_{{\boldsymbol \epsilon}}, \Lambda). \end{align*}$$
Proof. The computation of the potential function in [Reference Charest and WoodwardCW22] was carried out in the following way. First, by a neck-stretching argument along the hypersurface
$\partial \tilde U \cong S^{2n-1}$
, the Fukaya algebra (possibly with a bulk deformation supported away from the exceptional divisor
$\tilde Z$
) of
$L_{{\boldsymbol \epsilon }}$
with any local system is
$A_{\infty }$
homotopy equivalent to a ‘broken Fukaya algebra’ defined by counting holomorphic buildings. The holomorphic buildings contain levels in X and in certain toric pieces. Second, by turning on gradient flows of a Morse function H on
$\partial \tilde U/ S^1\cong \mathbb {P}^{n-1}$
, the broken Fukaya algebra is
$A_{\infty }$
homotopy equivalent to another
$A_{\infty }$
algebra defined by counting holomorphic buildings whose levels are separated by Morse gradient lines of H of any fixed length
$\tau $
. Third, while the
$A_{\infty }$
homotopy type of the Fukaya algebra does not depend on
$\tau $
, when
$\tau $
goes to
$\infty $
, by dimension counting, the holomorphic buildings must be Maslov index two disks in the level containing
$L_{{\boldsymbol \epsilon }}$
. Denote by
$m_k^{\tau = \infty }$
the composition maps of the last Fukaya algebra. The potential in the neck-stretched limit is
Using the positivity of the toric piece, one can see that
is a weakly bounding cochain. As an
$A_{\infty }$
homotopy equivalence identifies Maurer-Cartan solution spaces and preserves the potential function, the original Fukaya algebra of
$(L_{{\boldsymbol \epsilon }}, y)$
is weakly unobstructed, with the weakly bounding cochain
$b^{\tau = \infty }$
identified with a weakly bounding cochain
$b_{\mathrm {ex}}(y) \in MC(L_{{\boldsymbol \epsilon }}, y)$
, at which the potential function has the value
$W_{\mathrm {ex}}(y)$
.
To identify non-trivial Floer cohomologies, consider the leading order term
and its critical points. Indeed,
which has
$n-1$
solutions
$y_{0, (k)}$
,
$k = 1, \ldots , n-1$
where
$$ \begin{align} y_{0, (k)} = \left( \exp \left( \frac{ (2k-1) \pi \sqrt{-1}}{n-1}\right), \ldots, \exp \left( \frac{ (2k-1) \pi \sqrt{-1}}{n-1}\right) \right). \end{align} $$
Computing the second-order derivatives shows that the Hessian is non-degenerate at those critical points. The higher-order terms in
$W_{\mathrm {ex}}$
will not change the number of critical points and the non-degeneracy of the Hessian. Let
$y_{(1)}, \ldots , y_{(n-1)}$
be the corresponding critical points. Standard arguments as in [Reference Fukaya, Oh, Ohta and OnoFOOO10, Theorem 4.10] that for these local systems, the Floer cohomology (for the
$\tau = \infty $
Fukaya algebra with the weakly bounding cochain) is isomorphic to the ordinary cohomology of
$L_{{\boldsymbol \epsilon }}$
. As
$A_{\infty }$
homotopy equivalence preserves Floer cohomology, the last assertion is proved.
Definition 6.4. The exceptional collection of branes in the blowup
$\tilde X$
is
where
$y_{(1)}, \ldots , y_{(n-1)}$
are the critical points of
$W_{\mathrm {ex}}$
and
$b_{(k)}$
are weakly bounding cochains provided above. Notice that the collection also depends on the bulk deformation
$\tilde {\mathfrak b}$
in
$\tilde X$
.
To compute the ring structure on the Floer cohomologies, we need a version of the divisor equation as in [Reference ChoCho05, Proposition 6.3].
Proposition 6.5. If the perturbation data for treed disks in
$\tilde X$
are chosen such that (5.4) holds, then the following (restricted) divisor equation holds. For any two Morse cocycle
$x_1, x_2$
on
$L_{{\boldsymbol \epsilon }}$
of degree
$1$
(i.e., linear combinations of critical points of Morse indices
$1$
) and any basic disk class
$\beta $
Proof. The statement of the Proposition is a direct consequence of Lemma 5.12.
Proposition 6.6. The branes
${\boldsymbol {L}}_{(k)} = (L_{{\boldsymbol \epsilon }}, y_{(k)}, b_{(k)}) \in {\mathfrak E}$
,
$k = 1,\ldots , n-1$
have distinct values of the potential function and so generate orthogonal summands of the Fukaya category
$\operatorname {Fuk}^\flat _{\mathfrak E} (\tilde X, \pi ^{-1}({\mathfrak {b}}))$
. Moreover, each Floer cohomology ring
$HF^{\bullet } ({\boldsymbol {L}}_{(k)}, {\boldsymbol {L}}_{(k)})$
is isomorphic to a Clifford algebra corresponding to a non-degenerate quadratic form whose leading order is the Hessian of
$W_0$
at
$y_{0, (k)}$
(see (6.4)).
Proof. Direct calculation shows that the critical values of
$W_0$
are all distinct. As the bulk deformation has positive q valuations, the actual potential function
$W_{\mathrm {ex}}$
is a higher-order deformation of
$W_0$
. So the critical values remain distinct. By definition of the spectral decomposition,
$L_{(k)}$
span orthogonal summands in
$\operatorname {Fuk}^\flat _{\mathfrak E}(\tilde X, \pi ^{-1}({\mathfrak b}))$
.
Now we prove the second claim. For each
$E>0$
and
$x \in CF^{\bullet } ({\widehat {L}}_{(k)}, {\widehat {L}}_{(k)})$
, let
$x^{\leq E}$
be the truncation of x at the energy level E. Then (6.5) implies that for generators
$a_1,a_2$
living over Morse cocycles
$x_1, x_2$
of degree
$1$
, one has
$$ \begin{align*} m_2(a_1, a_2)^{\leq \frac{\epsilon}{n-1}} + m_2(a_2, a_1)^{\leq \frac{\epsilon}{n-1}} &= \sum_{\beta} \langle x_1, \partial \beta \rangle \langle x_2, \partial \beta \rangle m_0(1)^{\leq \frac{\epsilon}{n-1}} \\& = \partial_{x_1} \partial_{x_2} W_{\mathrm{ex}}(y_{(k)})^{\leq \frac{\epsilon}{n-1}} \end{align*} $$
where the summation runs over all the basic disk classes
$\beta $
. In this computation,
$m_0(1)$
is viewed as a function of the representation y defined by the local system y and taking the second derivative with respect to y. By direct calculation, the right hand side is a non-degenerate quadratic form. It follows that
$HF^{\bullet } ( {\boldsymbol {L}}_{(k)}, {\boldsymbol {L}}_{(k)} )$
is a deformation of the Clifford algebra of a non-degenerate quadratic form (i.e. the Hessian of
$W_0$
at the k-th critical point). Such Clifford algebras are rigid by Lemma 6.7 below so
$HF^{\bullet }( {\boldsymbol {L}}_{(k)}, {\boldsymbol {L}}_{(k)} )$
is itself a Clifford algebra.
Lemma 6.7. Let A be the Clifford algebra of a non-degenerate quadratic form on a vector space V of dimension n. The Hochschild cohomology groupsFootnote 13
$HH^{\bullet }(A,A) = \operatorname {Ext}^{\bullet }_{A-A}(A,A)$
is one-dimensional and concentrated in degree zero. The Hochschild homology
$HH_\bullet (A,A)$
is one-dimensional and generated by the class in
$HH_0(A,A)$
of
$v_1 \ldots v_n \in A$
, where
$v_1 \ldots v_n$
is an orthogonal basis for V.
Proof. The graded Hochschild homology of Clifford algebras is computed in Kassel [Reference KasselKas86, Section 6,Proof of Proposition 1]; see also [Reference Fukaya, Oh, Ohta and OnoFOOO16, Lemma 3.8.5]. For the result on the Hochschild cohomology groups see Sheridan [Reference SheridanShe16, (6.1.6)].
Remark 6.8. By definition, a formal deformation of an algebra A over a field
$\Lambda $
of characteristic zero is a
$\Lambda [[\hbar ]]$
-algebra structure over
$A[[\hbar ]]$
(where
$\hbar $
is a formal variable) whose zero order term is the algebra A. The Floer cohomology
$HF^{\bullet }({\boldsymbol {L}}_{(k)}, {\boldsymbol {L}}_{(k)})$
provides a ‘first-order’ deformation of the Clifford algebra associated to the Hessian of
$W_0$
at its k-th critical point, which can be extended to a formal deformation.
Corollary 6.9. For
$k = 1, \ldots , n-1$
, the Hochschild homology of the
$A_{\infty }$
algebra
$ \operatorname {Hom}^{\bullet } ({\boldsymbol {L}}_{(k)}, {\boldsymbol {L}}_{(k)})$
is one-dimensional.
Proof. The Clifford algebra is intrinsically formal by Sheridan [Reference SheridanShe16, Corollary 6.4], meaning that the
$A_{\infty }$
algebra
$ \operatorname {Hom}^{\bullet }( {\boldsymbol {L}}_{(k)}, {\boldsymbol {L}}_{(k)})$
is quasi-isomorphic to its cohomology algebra, which in this case is a Clifford algebra. As quasi-isomorphisms of
$A_{\infty }$
algebras admit homotopy inverses (see [Reference SeidelSei08b, Corollary 1.14]), the
$A_{\infty }$
algebra
$ \operatorname {Hom}^{\bullet }( {\boldsymbol {L}}_{(k)}, {\boldsymbol {L}}_{(k)})$
is
$A_{\infty }$
homotopy equivalent to the cohomology algebra, hence has isomorphic Hochschild homology.
6.4 Open-closed map from the new branes
In this section, we examine the open-closed maps on the collections of branes in the blowup constructed above. For this, we need to specify a Morse function that facilitates the calculation. Let
$(z_1, \ldots , z_n)$
be the Darboux coordinates in the neighbourhood U of p used for constructing the blowup. Inside the exceptional divisor
$\tilde Z \subset \tilde X$
we specify the following cycles
Let
$[\tilde Z_k]\in H_{2k}(\tilde X)$
be the homology class. Then
where
$\tilde H_\bullet (\tilde Z)$
is the reduced homology.
Lemma 6.10. For any
$\delta> 0$
, there exists a Morse-Smale pair
$(f_{\tilde X}, h_{\tilde X})$
on
$\tilde X$
satisfying the following conditions.
-
(a) There is a Morse-Smale pair
$(f_X, h_X)$
on X with a unique local maximum at p such that outside a neighbourhood
$\tilde V$
of
$\tilde Z$
,
$(f_{\tilde X}, h_{\tilde X}) = (\pi ^* f_X, \pi ^* h_X)$
and
$|f_{\tilde X} - \pi ^* f_X| < \delta $
. -
(b)
$\mathrm {crit}(f_{\tilde X}) \cap \tilde Z$
is the n toric fixed points of
$\mathbb {CP}^{n-1}$
with Morse indices
$2, 4, \ldots , 2n-2, 2n$
. We call them the exceptional critical points. -
(c) Each exceptional critical point is
$\delta _{\mathrm {Morse}}$
-closed but not exact. -
(d) The gradient vector field of
$f_{\tilde X}$
is tangent to
$\tilde Z$
and the Hessian of
$f_{\tilde X}$
is negative definite on the normal direction of
$\tilde Z$
. The stable manifolds of the exceptional critical points are
$\tilde Z_{n-1} \setminus \tilde Z_{n-2}$
,
$\ldots $
,
$\tilde Z_1 \setminus \tilde Z_0$
, and
$\tilde Z_0$
, respectively.
Proof. Choose a Morse-Smale pair
$(f_X, h_X)$
on X such that p is the unique local maximum. We may assume that in the Darboux neighbourhood U of p,
Consider the function
$$\begin{align*}(z_1, \ldots, z_n) \mapsto \sum_{i=1}^n a_i |z_i|^2 .\end{align*}$$
For generic real numbers
$a_i$
this induces a Morse function
$f_{\tilde Z}$
on
$\tilde Z = \mathbb {CP}^{n-1}$
with critical points equal to the toric fixed points. Regard a neighbourhood of
$\tilde Z$
as a neighbourhood of the zero section in
${\mathcal O}(-1)$
and denote a normal vector by
$\xi $
. Define
where
$\rho : {\mathbb R} \to {\mathbb R}$
is a smooth cut-off function supported near
$0$
. For any
$\delta>0$
,
$f_{\tilde X}$
coincides with
$\pi ^* f_X$
outside the support of
$\rho $
, and so defines a function on
$\tilde X$
. Moreover, when
$\delta $
is sufficiently small, the only critical points near
$\tilde Z$
are the critical points of
$f_{\tilde Z}$
. We take
$h_{\tilde X}$
to be
$\pi ^* h_X$
outside the support of
$\rho $
, the Fubini-Study metric on
${\mathcal O}(-1)$
near
$\tilde Z$
, and a generic interpolation in between. This makes
$(f_{\tilde X}, h_{\tilde X})$
a Morse-Smale pair. Moreover, the stable manifolds of these exceptional critical points are contained in
$\tilde Z$
as the Hessian in the normal direction is negative definite.
We fix the following notations. Choose a Morse-Smale pair
$(f_{\tilde X}, h_{\tilde X})$
as above to define the open-closed map. Let
$x^* \in L_{{\boldsymbol \epsilon }}$
be the (only) critical point of
$F_{L_{{\boldsymbol \epsilon }}}$
of Morse index
$0$
. We consider the unit disk
$\mathbb {D} \subset \mathbb {C}$
equipped with the distinguished points
$0 \in \operatorname {int}(\mathbb {D})$
and
$1 \in \partial \mathbb {D}$
.
Lemma 6.11. For each
$k = 1,\ldots , n-1$
there is a unique map
$u_k: \mathbb {D} \to \tilde {X}$
of Maslov index
$2(n-k)$
bounding
$L_{{\boldsymbol \epsilon }}$
and satisfying
The map
$u_k$
is regular as a map with these constraints (that is, the linearized operator restricted to sections lying in
$T\tilde {Z}_k$
at
$0$
and
$1$
is surjective) and there are no other stable disks with these properties.
Proof. Let u be a holomorphic disk satisfying (6.6). The requirement that
$A(u) = \frac {(n-k)\epsilon }{n-1}$
prevents the map from leaving the toric neighbourhood
$\tilde U$
, by Proposition 5.7. Therefore, we may write
using the homogeneous coordinates viewing the local model as a toric quotient. By the Blaschke classification of holomorphic disks (see (5.2)), the condition
$u(0) \in \tilde Z_k$
requires that
$u_0$
and
$u_{k+2}, \ldots , u_n$
have degree at least one and have a common zero at an interior point. Hence the Maslov index of u is at least
$2(n-k)$
. As
$L_{{\boldsymbol \epsilon }}$
is monotone in
$\tilde U$
, the energy of u is at least
$\frac {(n-k)\epsilon }{n-1}$
. Hence the degrees of
$u_1, \ldots , u_{k+1}$
are all zero. The Blaschke classification then implies that there is exactly one such disk satisfying in addition
${u(1) = x^*}$
, up to
$PSL(2;{\mathbb R})$
symmetry. Denote such a map by
$u_k$
. Its regularity follows from the regularity of Blaschke disks in the toric case (see [Reference Cho and OhCO06]). The uniqueness of
$u_k$
as a stable disk with one output is also obvious.
We compute the open-closed map on the exceptional Lagrangian branes. Similar computations will also appear in the example of the Clifford torus in the projective space considered below in Subsection 6.6. Recall that the Vandermonde matrix
$$ \begin{align} T(a_0, \ldots, a_m):= \left[ \begin{array}{@{}cccc} 1 & 1 & \cdots & 1 \\ a_0 & a_1 & \cdots & a_m \\ \vdots & \vdots & \ddots & \vdots \\ a_0^m & a_1^m & \cdots & a_m^m \end{array} \right] \end{align} $$
has determinant
This determinant is non-singular when
$a_i \neq a_j$
. Denote
$$ \begin{align} \varsigma_k:= \exp \left( \frac{(2k-1) \pi \sqrt{-1} }{n-1} \right),\ k = 1, \ldots, n-1 \end{align} $$
which are the components of the critical points (6.4). Define an
$(n-1)\times (n-1)$
matrix
$\operatorname {FFT}_q$
whose
$(i, j)$
-entry is
$(q^\epsilon \varsigma _j)^i$
. Namely
$$ \begin{align} \mathrm{FFT}_q = \left[ \begin{array}{@{}cccc} q^\epsilon \varsigma_1 & q^\epsilon \varsigma_2 & \cdots & q^\epsilon \varsigma_{n-1} \\ (q^\epsilon \varsigma_1)^2 & (q^\epsilon \varsigma_2)^2 & \cdots & (q^\epsilon \varsigma_{n-1} )^2\\ \vdots & \vdots & \ddots & \vdots \\ (q^\epsilon \varsigma_1)^{n-1} & (q^\epsilon \varsigma_2)^{n-1} & \cdots & (q^\epsilon \varsigma_{n-1} )^{n-1} \end{array} \right]. \end{align} $$
Its determinant is
$$ \begin{align*} \det (\operatorname{FFT}_q) &= q^{(n-1)\epsilon} \varsigma_1 \cdots \varsigma_{n-1} \det T( q^\epsilon \varsigma_1, \ldots, q^\epsilon \varsigma_{n-1}) \\ &= q^{(n-1)\epsilon} \varsigma_1 \cdots \varsigma_{n-1} \prod_{i<j} ( q^\epsilon \varsigma_j - q^\epsilon \varsigma_i) \neq 0. \end{align*} $$
Hence
$\operatorname {FFT}_q$
defines an invertible linear map.
We will show that the leading order term of the open-closed map is given by such a finite Fourier transform. Write
$QH^{\bullet }(\tilde {X},\tilde {{\mathfrak {b}}})$
as the direct sum (as vector spaces) of the image of
$QH^{\bullet }(X,{\mathfrak {b}})$
under pull-back and a collection of cycle classes
$[\tilde {Z}_1],\ldots , [\tilde {Z}_{n-1}]$
, supported on the exceptional divisor
$\tilde {Z} \cong \mathbb {P}^{n-1}$
with each
$\tilde {Z}_k$
diffeomorphic to a complex projective space
$\mathbb {P}^k$
. Note that the point class
$[\tilde {Z}_0] = [ \operatorname {pt}]$
is not an additional generator. Thus we have a splitting of vector spaces
Recall the definition of the exceptional collection
${\mathfrak E}$
from Definition 6.4.
Lemma 6.12. There exists
$\delta> 0 $
so that for any
$\epsilon> 0 $
sufficiently small, the leading order term in the restriction of the open-closed map
$OC( \tilde {{\mathfrak {b}}}) | HH_\bullet (\operatorname {Fuk}^\flat _{\mathfrak E} (\tilde {X},\tilde {{\mathfrak {b}}}))$
composed with projection
is of the form
with respect to the bases
$\{ L_{(i)} \}, \{ \tilde {Z}_j \}$
where
$\operatorname {FFT}_q$
is the matrix (6.9). As a result, for
$\epsilon $
sufficiently small
$OC(\tilde {{\mathfrak {b}}}) | HH_\bullet (\operatorname {Fuk}^\flat _{\mathfrak E}(\tilde {X},\tilde {{\mathfrak {b}}})) )$
surjects onto
$QH^{\bullet }(\tilde {X},\tilde {{\mathfrak {b}}})/ \pi ^* QH^{\bullet }(X,{\mathfrak {b}} + q^{-\epsilon } p )$
.
Proof. The proof is similar to the proof of surjectivity for the Clifford torus in Theorem 6.15 below. Via the Blaschke classification (5.2), there is a unique disk of Maslov index
$2k$
with an interior point mapping to
$\tilde {Z}_k$
and boundary on
$L_\epsilon $
. Let
be the standard set of generators for
$\pi _1((S^1)^n)$
and the representation defined by the local system
$y\in H^1(L_{{\boldsymbol \epsilon }}, \Lambda )$
is written in coordinates as
By Proposition 5.7, there exists a constant
$\delta> 0$
independent of
$\epsilon $
so that any disk that leaves the fixed exceptional region
$\tilde U$
and bounds
$L_{{\boldsymbol \epsilon }}$
must have energy greater than
$\delta $
. Hence, the leading order contributions in the open-closed map
$OC(\tilde {{\mathfrak {b}}})$
come from configurations with no interior insertions labelled by the bulk deformation
$\tilde {{\mathfrak {b}}}$
. These are holomorphic disks
$u: \mathbb {D} \to \tilde X$
with a single point constraint
$u(z) = x$
on the boundary
$z \in \partial \mathbb {D}$
. It follows that for each brane
${\boldsymbol {L}}_{(k)} = (L_{{\boldsymbol \epsilon }}, y_{(k)}, b_{(k)})$
, the open-closed map
$OC(\tilde {{\mathfrak {b}}})$
sends the point class
$[\operatorname {pt}]_{(k)} \in HF^{\bullet } ( {\boldsymbol {L}}_{(k)}, {\boldsymbol {L}}_{(k)})$
to
similar to the terms in (6.12). Recall that the representation defined by the local system
$y_{(k)}$
in the brane
${\boldsymbol {L}}_{(k)}$
is a higher order perturbation of the representation
where
$\varsigma _k$
is in (6.4). Then we see
Therefore, in our preferred basis,
$OC(\tilde {{\mathfrak {b}}})$
is the matrix
$\mathrm {FFT}_q$
plus a higher order perturbation, hence is invertible.
For the exceptional collection one has the following result.
Lemma 6.13. The intersection pairing on the image of
$HH_\bullet (\operatorname {Fuk}^\flat _{\mathfrak E}(\tilde {X},\tilde {{\mathfrak {b}}}))$
is non-degenerate.
Proof. The image of
$HH_\bullet (\operatorname {Fuk}^\flat _{\mathfrak E}(\tilde {X},\tilde {{\mathfrak {b}}}))$
is the span of the exceptional cycles, up to higher order corrections. Since
$\tilde {Z}^n = \langle \tilde {Z}, c_1(\mathcal {O}(-1))^n \rangle = (-1)^{n-1}$
in
$H(\tilde {X})$
is non-zero, the powers of
$\tilde {Z}$
give a basis for the span of exceptional classes on which the pairing is non-degenerate.
6.5 Split-generation for the blowup
We conclude by proving the main theorem, which now follows from a dimension count.
Proof of Theorem 1.1
For sufficiently small
$\epsilon $
,
$\pi ^{-1}({\mathcal L})$
and
$L_{{\boldsymbol \epsilon }}$
are disjoint. Hence by Theorem 4.11 the images of
under the open-closed map
$OC(\pi ^{-1}({\mathfrak {b}}))$
are orthogonal with respect to the intersection pairing. By Lemma 6.13, these two images have trivial intersection. Therefore it suffices to show that their images have complementary dimensions. Indeed, by Corollary 6.9,
By Lemma 6.12,
On the other hand, by Theorem 1.12
The claim now follows.
Proof of Corollary 1.5
Equation (1.3) is an immediate consequence of the split generation statement and the fact that the exceptional and unexceptional Lagrangians are disjoint. For the splitting of quantum cohomology, consider the decomposition of the quantum cohomology
$QH^{\bullet }( \tilde {X}, \pi ^{-1}({\mathfrak {b}}))$
according to subspaces generated by the collections
$MC(\pi ^{-1}(\mathcal {L}))$
and
${\mathfrak E}$
. By proof of Theorem 1.1 above, these have orthogonal images with trivial intersection. Hence we have
where the dimension of the second summand is
$n-1$
. By the calculation of the potential function, the bulk-deformed quantum cohomology
$QH^{\bullet }_{\mathfrak E}(\tilde X, \pi ^{-1}({\mathfrak {b}}))$
is the direct sum of the
$n-1$
generalized eigenspaces of the quantum multiplication by
$[\omega ]$
corresponding to the eigenvalues equal to the
$n-1$
critical values of the potential function
$W_{\mathrm {ex}}$
. Hence
and the second claim of Corollary 1.5 follows.
6.6 The example of projective spaces
Lastly, we show that there is a non-empty set of examples for which our theorem applies. The argument is an explicit computation for a projective space and the Clifford torus. For
$X = \mathbb {CP}^n$
, we normalize the toric invariant symplectic form
$\omega $
such that its integral
$\int _{\mathbb {P}^1} v^* \omega $
over the standard generator
$v: \mathbb {P}^1 \to \mathbb {P}^n$
of
$H_2$
is
$1$
. Let
$L \subset \mathbb {P}^n$
be the Clifford torus
which is the only member of the collection
$\mathcal {L}$
. The potential function of the Clifford torus is computed in [Reference ChoCho05] and [Reference Cho and OhCO06]. For the standard complex structure
$J_{\mathbb {P}^n}$
on
$\mathbb {P}^n$
, all holomorphic disks are regular. Hence, there exists a Donaldson hypersurface
$D\subset \mathbb {P}^n$
which intersects the Maslov index two holomorphic disks transversely. We can then require that the domain-dependent almost complex structures on domains with minimal number of interior markings (which is the case for Maslov index two disks that have minimal areas) actually coincide with
$J_{\mathbb {P}^n}$
. The inductive construction of the coherent system of perturbation data extends to this case. Therefore, under our general framework, the count of Maslov index two disks coincides with the count of the standard Maslov index two disks. For any local system with representation y with corresponding brane
${\boldsymbol {L}}$
, one has

One can also verify that

Hence
Therefore, we obtain a distinguished weakly bounding cochain
for
${\boldsymbol {L}}$
.
To compute the Floer cohomology, note that the critical points of the potential function are
$$ \begin{align} y_{(k)} = (\varsigma_{(k)}, \ldots, \varsigma_{(k)} ) = \left( \exp \left( \frac{2k \pi \sqrt{-1}}{n+1}\right), \ldots, \exp \left( \frac{2k\pi \sqrt{-1}}{n+1} \right) \right),\ 0 \leq k \leq n. \end{align} $$
We choose the following set of weakly unobstructed branes:
For each bulk deformation
${\mathfrak {b}}$
, consider the flat
$A_{\infty }$
category
$\operatorname {Fuk}^\flat _{\mathfrak L}(X, {\mathfrak {b}})$
with the above
$n+1$
objects. Recall that by the definition of Hochschild homology there is a linear map
$$\begin{align*}\bigoplus_{k=0}^n HF^{\bullet}( {\boldsymbol{L}}_{(k)}, {\boldsymbol{L}}_{(k)}) \to HH_\bullet( \operatorname{Fuk}^\flat_{\mathfrak L}(X, {\mathfrak{b}})). \end{align*}$$
Lemma 6.14.
$HH_\bullet ( \operatorname {Fuk}^\flat _{\mathfrak L}(\mathbb {CP}^n))$
is
$(n+1)$
-dimensional with a basis given by the images of
$[\operatorname {pt}_{(k)}] \in HF^{\bullet } ({\boldsymbol {L}}_{(k)}, {\boldsymbol {L}}_{(k)})$
.
Proof. The argument is similar to that for Theorem 6.3. Indeed, one can identify the Floer cohomology
$HF^{\bullet }({\boldsymbol {L}}_{(k)}, {\boldsymbol {L}}_{(k)})$
as the Clifford algebra associated to the (non-degenerate) Hessian of W at the k-th critical point
$y_{(k)}$
.
Theorem 6.15. Let
${\mathfrak {b}} = 0$
be the trivial bulk deformation. Let
$H\in H^2(\mathbb {CP}^n, {\mathbb Z})$
be the hyperplane class. We have the following:
-
(a) The matrix of the open-closed map
equals
$$\begin{align*}[OC(0)]: HH_\bullet( \operatorname{Fuk}^\flat_{\mathfrak L}(\mathbb{CP}^n)) \to QH^{\bullet}( \mathbb{CP}^n) \end{align*}$$
$T(q^{\frac {1}{n+1}} \varsigma _{(0)}, \ldots , q^{\frac {1}{n+1}} \varsigma _{(n)} )$
plus a higher order term with respect to the basis
$[\operatorname {pt}_{(0)}], \ldots , [\operatorname {pt}_{(n)}]$
of the Hochschild homology and the basis
$1, H, \ldots , H^n$
of the quantum cohomology. Here T is the Vandermonde matrix from (6.7) and
$\varsigma _{(i)}$
are the
$(n+1)$
-th roots of unity from (6.11). In particular, the open-closed map is an isomorphism.
-
(b) The closed-open maps
$CO_{0, {\boldsymbol {L}}_{(k)}}: QH^{\bullet } (\mathbb {CP}^n ) \to HF^{\bullet } ( {\boldsymbol {L}}_{(k)}, {\boldsymbol {L}}_{(k)})$
are given by where
$$\begin{align*}H^l \mapsto q^{\frac{n-l}{n+1}} \varsigma_{(k)}^{n-l} [1_{{\boldsymbol{L}}_{(k)}}], \quad k, l = 0,\ldots, n \end{align*}$$
$[1_{{\boldsymbol {L}}_{(k)}}]\in HF^{\bullet }( {\boldsymbol {L}}_{(k)}, {\boldsymbol {L}}_{(k)})$
is the identity element.
Proof. We choose a particular Morse-Smale pair on
$\mathbb {CP}^n$
to simplify the computation. The function
$$\begin{align*}f(z_0, \ldots, z_n) = \sum_{i=0}^n a_i |z_i|^2 \end{align*}$$
for
$a_0> a_1 > \cdots > a_n$
descends to a Morse function on
$\mathbb {CP}^n$
whose critical points are the toric fixed points. The closures of the unstable manifolds are the cycles
which represents the classes
$1, H, H^2, \ldots , H^n$
.
We give an explicit computation of the open-closed map using the Blaschke classification. Recall by Proposition 6.6 that the branes
${\boldsymbol {L}}_{(l)}$
have different values of the potential for distinct l, and so
$ \operatorname {Hom} ({\boldsymbol {L}}_{(l)}, {\boldsymbol {L}}_{(m)}) = 0$
by definition for
$l,m$
distinct. To prove (a), recall from Proposition 6.6 that the Floer cohomology
$HF^{\bullet } ( {\boldsymbol {L}}_{(m)}, {\boldsymbol {L}}_{(m)})$
a non-degenerate Clifford algebra corresponding to the Hessian
$\partial ^a \partial ^b W(y)$
of the potential
$W(y)$
. By Corollary 6.9 the Hochschild homology
$HH_\bullet ( HF^{\bullet } ({\boldsymbol {L}}_{(m)}, {\boldsymbol {L}}_{(m)}))$
has a single generator, which must be the point class
$[\operatorname {pt}] \in HF^n ({\boldsymbol {L}}_{(m)}, {\boldsymbol {L}}_{(m)})$
since its image under the open-closed map is non-trivial. Via the Blaschke classification (5.2) there is a unique disk
$u: \mathbb {D} \to X$
of Maslov index
$I(u) = 2k$
with an interior point
$z \in \mathbb {D}$
mapping to
$Z_k$
and boundary on L. Identify
$L \cong (S^1)^n$
via the local model and let
be the standard set of generators for
$H_1((S^1)^n)$
. By (5.2) again, the contributions in the open-closed map
$OC(0)$
arise from disks
with a single point constraint
$z_e$
in the interior of C. It follows that the open-closed map
$OC(0)$
is given as a function of the representation defined by the local system y on the point class
$[\operatorname {pt}] \in HF^{\bullet } ( {\boldsymbol {L}}_{(k)}, {\boldsymbol {L}}_{(k)})$
by
As a result, the point class in the brane with representation defined by local system
$y_{(k)}$
is mapped under the open-closed map
$OC(0)$
to
In the basis given by
$[Z_0],\ldots , [Z_{n}]$
the open-closed map has the matrix as claimed.
For (b) note that for each cycle
$\mathbb {P}^\ell $
, the Blaschke products mapping
$0$
to
$\mathbb {P}^\ell $
with index
$2(n-\ell )$
are those with the first
$n-\ell $
components
$$\begin{align*}(u_1,\ldots, u_{n-\ell})(z) = u: \mathbb{D} \to \mathbb{C}^{n+1}, \quad z \mapsto \left( \zeta_i \frac{ z - a}{1 - z \overline{a}} \right)_{i = 1,\ldots,n-\ell}. \end{align*}$$
are non-vanishing with a common root at some
$a \in \mathbb {D}$
. Hence the moduli space of holomorphic disks bounding
$L_\epsilon $
with one interior input labelled by
$Z_l$
and one boundary output is non-empty only if the output is a point constraint. In the case of a point constraint there is a single disk with an interior point mapping to
$Z_k$
and the contribution is
$y_{(k),1} \ldots y_{(k),n-\ell } 1_{{\boldsymbol {L}}_{(k)}} \in HF( {\boldsymbol {L}}_{(k)}, {\boldsymbol {L}}_{(k)})$
.
Remark 6.16. The closed-open map is a ring homomorphism as predicted by Theorem 3.35. For example, in quantum cohomology we have
$[\mathbb {P}^{n-1}]^{n+1} = q$
while in Hochschild cohomology
for any of the branes
${\boldsymbol {L}}_{(k)}$
in question.
6.6.1 Point bulk deformations
We extend the above calculation to the bulk deformed case considered in this paper. First we know from Corollary 5.31 that the bulk-deformed curved Fukaya category
$\operatorname {Fuk}^\sim _{\mathcal L}(\mathbb {CP}^n, q^{-\epsilon } p)$
is well-defined when
$\epsilon $
is sufficiently small. Its homotopy equivalence class is also independent of the choice of the point p. Now we recalculate the potential function for the choice
$p = [0,\ldots , 0, 1]$
. Suppose we have a rigid holomorphic disk
$u: \mathbb {D} \to \mathbb {CP}^n$
passing through p at interior markings l times. By the Blaschke classification of holomorphic disks, we know that the Maslov index
$\mu (u)$
of u is at least
$2ln$
. The dimension of the moduli space of such marked disks with
$1$
boundary marking is
In order to contribute to
$m_0(1)$
, the dimension is at most n. Hence
$l = 0, 1$
. While the
$l = 0$
case corresponds to the original calculation....., when
$l = 1$
, there is exactly one Maslov
$2n$
disk passing through p in the interior and passing through a fixed point on L. Hence in this case

(Note that
$n \geq 2$
.) When
$\epsilon $
is small,
$m_0(1)$
is a higher-order perturbation of
$W(y)$
. By the non-degeneracy of the Hessian of W at critical points, there are exactly
$n+1$
critical points
where
$\varsigma _{\epsilon , (k)} \in \Lambda $
is a solution to
as a higher order perturbation of
$\varsigma _{(k)}$
. For the branes
${\widehat {L}}_{\epsilon , (k)}$
corresponding to the local systems
$y_{\epsilon , (k)}$
, one has a canonical weakly bounding cochain
Take the corresponding weakly unobstructed branes, one obtains the flat
$A_{\infty }$
category
Corollary 6.17. For any sufficiently small
$\epsilon $
, the bulk-deformed open-closed map
is a linear isomorphism.
Proof. We compute the disks with bulk insertions at a point. We still take
${p = [ 0, 0,\ldots ,0, 1]}$
. As
$[OC(q^{-\epsilon } p)]$
in the direction of
$1 = \mathrm {PD}([Z_n])$
) is always only the classical contribution (see Lemma 3.19), we only need to compute in the directions of
$H, H^2, \ldots , H^n$
, whose representatives
$Z_{n-1}$
,
$\ldots $
,
$Z_0$
are all disjoint from p. The requirement that the disk passes through p forces n additional roots in the Blaschke product (5.2). So the total number of roots in any Blaschke disk with at least one point constraint at p that also contribute to the open-closed map in the directions of
$Z_{n-1}, \ldots , Z_0$
, is at least n. It follows that the matrix of
$[OC(q^{-\epsilon } q)]$
is that of
$[OC(0)]$
plus terms with q-valuation at least
$\frac {n}{n+1} - \epsilon $
or greater. Hence
$[OC(q^{-\epsilon } p)]$
is still an isomorphism.
Appendix A. Partly local domain-dependent almost complex structures
In this appendix, we fill a gap pointed out by Nick Sheridan in the proof of independence of genus zero Gromov-Witten invariants from the choice of divisor in the Cieliebak-Mohnke perturbation scheme [Reference Cieliebak and MohnkeCM07]. We then use the same argument to show that the Fukaya category defined using stabilizing divisors is independent of the choice of stabilizing divisor.
A.1 Independence of Gromov-Witten invariants
The proof of independence of genus zero Gromov-Witten invariants of a rational symplectic manifold X from the choice of Donaldson hypersurfaces in [Reference Cieliebak and MohnkeCM07, 8.18] depends on the construction of a parametrized moduli space for the following situation: Given a type
$\Gamma $
of stable marked curve let
$\overline {\mathcal {U}}_\Gamma \to \overline {\mathcal {M}}_\Gamma $
denote the universal curve over the compactified moduli space
$\overline {\mathcal {M}}_\Gamma $
of curves of type
$\Gamma $
. Let
$\mathcal {J}_\tau (X,\omega )$
denote the space of
$\omega $
-tamed almost complex structures on the given symplectic manifold
$(X,\omega )$
with rational symplectic class
$[\omega ] \in H^2(X,\omega )$
. A domain-dependent almost complex structure is a map
Associated to a coherent collection of sufficiently generic choices
${\underline {\smash {J}}} = (J_\Gamma )$
is a Gromov-Witten pseudocycle
$\overline {\mathcal {M}}_{0,n}(X,\beta ) \subset X^n$
for each number of markings n and each class
$\beta \in H_2(X)$
.
Naturally, one wishes to show that the resulting pseudocycle is independent, up to cobordism between pseudocycles, from the choice of Donaldson hypersurface. Suppose that
$D', D^{\prime \prime } \subset X$
are two Donaldson hypersurfaces and
$J^{\prime } = (J^{\prime }{}_{\Gamma ^{\prime }}), J^{\prime \prime } = (J^{\prime \prime }{}_{\Gamma ^{\prime \prime }})$
are two collections of domain dependent almost complex structures depending on the intersection points with
$D^{\prime }$
resp.
$D^{\prime \prime }$
, depending on some combinatorial type
$\Gamma ^{\prime }$
resp.
$\Gamma ^{\prime \prime }$
. We assume that
$\Gamma $
is a combinatorial type from which
$\Gamma ^{\prime }$
resp.
$\Gamma ^{\prime \prime }$
is obtained by forgetting the first
$n^{\prime }$
resp. last
$n^{\prime \prime }$
markings and stabilizing; see (A.1). Consider the pullback
to a common universal curve
$\overline {\mathcal {U}}_\Gamma $
for some type
$\Gamma $
recording both sets of markings (so that if
$\Gamma ^{\prime }$
resp.
$\Gamma "$
has
$n^{\prime }$
resp.
$n^{\prime \prime }$
leaves then
$\Gamma $
has
$n^{\prime }+n^{\prime \prime }$
leaves). One wishes to construct a homotopy between
$(f^{\prime \prime })^* J^{\prime }_{\Gamma ^{\prime }}, \ (f^{\prime })^* J^{\prime \prime }_{\Gamma ^{\prime \prime }}$
to construct a cobordism between the corresponding pseudocycles
$\overline {\mathcal {M}}^{\prime }_n(X,\beta )$
and
$\overline {\mathcal {M}}_n^{\prime \prime }(X,\beta )$
. Unfortunately, as pointed out by Nick Sheridan, the pullbacks
$(f^{\prime \prime })^* J^{\prime }_{\Gamma ^{\prime }}, \ (f^{\prime })^* J^{\prime \prime }_{\Gamma ^{\prime \prime }}$
do not satisfy the locality condition used to show compactness. That is, the restriction of the almost complex structures
$(f^{\prime })^* J_{\Gamma ^{\prime \prime }}^{\prime \prime }$
(or
$(f^{\prime \prime })^* J_{\Gamma ^{\prime }}^{\prime }$
) to some irreducible component
$S_v$
of the domain curve C are not independent of markings on other components
$S_{v^{\prime }} \neq S_v$
, because collapsed components
$S_v$
may map to non-special points
$f'(S_v) = \{ w \} \in f'(C)$
under the forgetful map
$f'$
.
In this appendix we modify the definition of the locality on the collapsed components so that one may homotope between the two domain-dependent almost complex structures without losing compactness. Instead of directly homotoping between the given pull-backs, one first homotopes each pullback to an almost complex structure that is equal to a base almost complex structure near any special point.
A.2 Partly local perturbations
We introduce the following notation for stable maps with two types of markings. Let
$\Gamma $
be a combinatorial type of genus zero stable curve with
$n = n'+n"$
markings. Let
$D',D"$
be Donaldson hypersurfaces in the symplectic manifold
$(X,\omega )$
, that is, symplectic hypersurfaces representing large multiples
$k' [\omega ]$
resp.
$k" [\omega ]$
of the symplectic class
${[\omega ] \in H^2(X,\mathbb {Q})}$
. Suppose
$D'$
and
$D"$
intersect transversely. Let
$\mathcal {J} (X, D', D")$
be the space of
$\omega $
-tamed almost complex structures on X that make
$D'$
and
$D"$
almost complex. Let
$\mathcal {J}^E(X,D',D") \subset \mathcal {J} (X, D', D")$
be some contractible subset of almost complex structures
$J: TX \to TX$
preserving
$TD'$
and
$TD"$
taming the symplectic form
$\omega $
and so that any non-constant pseudoholomorphic J-holomorphic map
$u: C \to X$
with some given energy bound
$E(u) < E$
to X meets
$D',D"$
each in at least three but finitely many distinct points
$u^{-1}(D'), u^{-1}(D")$
in the domain C as in [Reference Cieliebak and MohnkeCM07, 8.18]. Let
be a base almost complex structure that satisfies these conditions without restriction on the energy of the map
$u: C \to X$
.
The universal curve breaks into irreducible components corresponding to the vertices of the combinatorial type. Let
$\overline {\mathcal {U}}_\Gamma \to \overline {\mathcal {M}}_\Gamma $
be the closure of the universal curve of type
$\Gamma $
. For each vertex
$v \in \operatorname {Vert}(\Gamma )$
let
$\Gamma (v)$
denote the tree with the single vertex v and edges those of
$\Gamma $
meeting v. Let
$\overline {\mathcal {U}}_{\Gamma ,v} \subset \overline {\mathcal {U}}_\Gamma $
be the component corresponding to v, obtained by pulling back
$\overline {\mathcal {U}}_{\Gamma (v)}$
so that
$\mathcal {U}_\Gamma $
is obtained from the disjoint union of the curves
$\mathcal {U}_{\Gamma ,v} \to \mathcal {M}_\Gamma $
by identifying at nodes.
Cieliebak-Mohnke [Reference Cieliebak and MohnkeCM07] requires that the almost complex structure is equal to the base almost complex structure near the nodes. This condition is not true for domain-dependent almost complex structures pulled back under forgetful maps, and so must be relaxed as follows. Recall that Knudsen’s (genus zero) universal curve
$\overline {\mathcal {U}}_\Gamma $
[Reference KnudsenKnu83] is a smooth projective variety, and in particular a complex manifold. A domain-dependent almost complex structure for type
$\Gamma $
of stable genus zero curve is an almost complex structure
that preserves the splitting of the tangent bundle
$T(\overline {\mathcal {U}}_\Gamma \times X)$
into factors
$T\overline {\mathcal {U}}_\Gamma \times TX$
and that is equal to the standard complex structure on the tangent space to the projective variety
$\overline {\mathcal {U}}_{\Gamma }$
, and gives rise to a map from
$\overline {\mathcal {U}}_\Gamma $
to
$\mathcal {J}(X,D',D")$
with the same notation
$J_\Gamma $
. Let
denote the space of such maps taking values in
$\mathcal {J}^E(X,D',D")$
. With this definition, the standard proof of Gromov convergence applies: Any sequence
$u_\nu : C_\nu \to X$
of
$J_\Gamma $
-holomorphic maps with energy
$E(u) <E $
may be viewed as a finite energy sequence of maps to
$\overline {\mathcal {U}}_\Gamma \times X$
. Therefore it has a subsequence with a Gromov limit
$u: C \to X$
where the stabilization
$C^s$
of C is a fiber of
$\overline {\mathcal {U}}_\Gamma $
and u is pseudoholomorphic for the pull-back of the restriction of
$J_\Gamma $
to
$C^s$
. If we restrict to sequences of maps
$u_\nu : C_\nu \to X$
sending the markings to
$D'$
or
$D"$
then in fact
$C^s$
is equal to C, since non-constant components of u with fewer than three markings are impossible.
We distinguish components of the curve that are collapsed under forgetting the first or second group of markings. Let
denote the forgetful maps forgetting the first
$n'$
resp. last
$n"$
markings and stabilizing. Call a component of
$C f'$
-unstable if it is collapsed by
$f'$
, and
$f'$
-stable otherwise, in which case it corresponds to a component of
$f'(C)$
.
$f"$
-unstable components are defined similarly.
Definition A.1. (Local and partly local almost complex structures)
-
(a) A domain-dependent almost complex structure
is local if and only if for each
$$\begin{align*}J_\Gamma: \overline{\mathcal{U}}_\Gamma \to \mathcal{J}(X,D',D") \end{align*}$$
$v \in \operatorname {Vert}(\Gamma )$
the restriction
$J_\Gamma | \overline {\mathcal {U}}_{\Gamma ,v}$
is local in the sense that
$J_\Gamma | \overline {\mathcal {U}}_{\Gamma ,v}$
is pulled back from some map
$J_{\Gamma ,v}$
defined on the universal curve
$\overline {\mathcal {U}}_{\Gamma (v)}$
and equal to
$J_{ D', D"}$
near any special point of
$\overline {\mathcal {U}}_{\Gamma ,v}$
.
-
(b) A domain-dependent almost complex structure
is
$$\begin{align*}J_\Gamma: \overline{\mathcal{U}}_\Gamma \to \mathcal{J}(X,D',D") \end{align*}$$
$f'$
-local if and only if
-
(i) for each
$v \in \operatorname {Vert}(\Gamma )$
which is
$f'$
-stable (that is, has enough
$D"$
markings),
$J_\Gamma | \overline {\mathcal {U}}_{\Gamma ,v}$
is local in the sense that
$J_\Gamma | \overline {\mathcal {U}}_{\Gamma ,v}$
is pulled back from some map
$J_{\Gamma ,v}$
defined on the universal curve
$\overline {\mathcal {U}}_{\Gamma (v)}$
and equal to
$J_{D',D"}$
near any point
$z \in C$
mapping to a special point
$f'(z)$
of
$f'(C)$
, and -
(ii) for each
$v \in \operatorname {Vert}(\Gamma )$
which is
$f'$
-unstable (that is, does not have enough
$D"$
markings),
$J_\Gamma | \overline {\mathcal {U}}_{\Gamma ,v}$
is constant on each fiber of
$\overline {\mathcal {U}}_{\Gamma ,v}\to {\mathcal {M}}_\Gamma $
.
The definition of
$f"$
-local is similar. In either case, we say that
$J_\Gamma $
is partly local. -
Remark A.2. Note that local almost complex structures defined on
$\overline {\mathcal U}_\Gamma $
are
$f'$
-local. Moreover, if
$J_{\Gamma "}$
defined on
$\overline {\mathcal U}_{\Gamma "}$
is local, then the
$f'$
-pullback
$(f')^* J_{\Gamma "}$
is
$f'$
-local. However, the condition that an almost complex structure is
$f'$
-local is weaker than the condition that it is pulled back under
$f'$
: if v is collapsed by
$f'$
, the restriction
$J_\Gamma | \overline {\mathcal {U}}_{\Gamma ,v}$
is still allowed to depend on special points
$z \in \overline {\mathcal {U}}_{\Gamma ,v}$
that are forgotten under
$f'$
.
Remark A.3. One can reformulate the
$f'$
-local condition as a pullback condition for a forgetful map that forgets almost the same markings as those forgotten by
$f'$
. Let C be a curve of type
$\Gamma $
. Let
$C^{{\operatorname {us}}} \subset C$
be the locus collapsed by
$f'$
. For each connected component
$C_i, i = 1,\ldots , k$
of
$C^{{\operatorname {us}}}$
mapping to a marking of
$f'(C)$
choose
$j(i)$
so that
$z_{j(i)} \in C_i$
. Let
$I^{{\operatorname {us}}} \subset \{ 1, \ldots , n \}$
denote the set of indices j of markings
$z_j \in C^{{\operatorname {us}}}$
with
$z_j \neq z_{j(i)}, \forall i$
. Forgetting the markings with indices in
$I^{{\operatorname {us}}}$
and collapsing defines a map
$f: C \to f(C)$
such that any collapsed component of C maps to a special point of
$f(C)$
. Let
$\Gamma ^f$
denote the combinatorial type of
$f(C)$
. Then
$J_\Gamma $
is
$f'$
-local if and only if
$J_\Gamma = f^* J_{\Gamma ^f}$
is pulled back from a local domain-dependent almost complex structure
$J_{\Gamma ^f}: \overline {\mathcal {U}}_{\Gamma ^f} \to \mathcal {J}(X,D',D")$
. Indeed, the collapsed components under
$C \to f(C)$
are the same as those of
$f': C \to f'(C)$
since adding a single marking
$z_i$
on the components that collapse
$S_v$
to markings
$f(S_v) \subset f(C)$
does not stabilize
$S_v$
. So the pull-back condition
$J_\Gamma = f^* J_{\Gamma ^f}$
requires
$J_\Gamma $
to be constant on the components
$S_v$
such that
$\dim (f(S_v)) = 0$
. On the other hand, any irreducible component of
$f(C)$
is isomorphic, as a stable marked curve, to an irreducible component of C not collapsed under
$f'$
.
Remark A.4. There also exist domain-dependent almost complex structures that are both
$f'$
and
$f"$
-local. Indeed, suppose that C is a curve of type
$\Gamma $
, and
$K \subset \{1,\ldots , n' + n" \} $
is the set of markings on components collapsed by
$f'$
or
$f"$
. Forgetting the markings
${z_k, k \in K}$
defines a forgetful map
$f^{\mathrm {s}\mathrm {s}}: C \to f^{\mathrm {s}\mathrm {s}}(C)$
, where
$f^{\mathrm {s}\mathrm {s}} (C)$
is of some (possibly empty) type
$\Gamma ^{\mathrm {ss}}$
. Let
$J_{\Gamma ^{\mathrm {ss}}}: \overline {\mathcal {U}}_{\Gamma ^{\mathrm {ss}}} \to \mathcal {J}(X,D',D")$
be a domain-dependent almost complex structure for type
$\Gamma ^{\mathrm {ss}}$
. Then
$(f^{\mathrm {ss}})^* J_{\Gamma ^{\mathrm {ss}}}$
is both
$f'$
and
$f"$
-local (taking the constant structure
$J_{D',D"}$
if
$\Gamma ^{\mathrm {ss}}$
is empty.)
Lemma A.5. The space of
$f'$
-local resp.
$f"$
-local resp.
$f'$
and
$f"$
-local almost complex structures tamed by or compatible with the symplectic form
$\omega $
is contractible. Any
$f'$
-local resp.
$f"$
-local resp.
$f'$
and
$f"$
-local
$J_\Gamma | \partial \overline {\mathcal {U}}_\Gamma $
defined on the boundary
$\partial \overline {\mathcal {U}}_\Gamma := \overline {\mathcal {U}}_\Gamma | \partial \overline {\mathcal {M}}_\Gamma $
extends to a
$f'$
-local resp.
$f"$
-local resp.
$f'$
and
$f"$
-local structure
$J_\Gamma $
over an open neighbourhood of the boundary
$\partial \overline {\mathcal {U}}_\Gamma $
in
$\overline {\mathcal {U}}_\Gamma $
.
Proof. Contractibility follows from the contractibility of tamed or compatible almost complex structures. Since the space of
$f'$
-local tamed almost complex structures is contractible, it suffices to show the existence of an extension of
$J_\Gamma $
near any stratum
$\overline {\mathcal {U}}_{\Gamma _1} \subset \overline {\mathcal {U}}_\Gamma $
and then patch together the extensions. Local domain-dependent almost complex structures
$J_\Gamma $
extend by a gluing construction in which open balls
$U_+, U_-$
around a node are replaced by a punctured ball
$V \cong U_+^\times \cong U_-^\times $
on which the almost complex structure is equal to the base almost complex structure
$J_{D', D"}$
.
In the partly local case, recall from Remark A.3 that
$J_\Gamma $
is the pull-back of a local almost complex structure
$J_{\Gamma ^f}$
near any particular fiber of the universal curve. Define an extension of
$J_\Gamma $
near curves of type
$\Gamma _1$
by first extending
$J_{\Gamma ^f}$
and then pulling back. In more detail, let C be such a curve and let
$C_1,\ldots , C_k$
denote the connected components of C collapsed by
$f'$
to a non-special point of
$f'(C)$
. Choose a marking
$z_i \in C_i$
and let
$\Gamma ^{\operatorname {ps}}$
resp.
$\Gamma _1^{\operatorname {ps}}$
denote the type obtained from
$\Gamma $
resp.
$\Gamma _1$
by forgetting all markings on
$C_i$
except
$z_i$
, for each
$i = 1,\ldots , k$
. Consider the forgetful map
that forgets all but the marking
$z_i$
on
$C_i$
. As discussed in Remark A.3
$J_{\Gamma _1}$
is the pullback of a complex structure
Since the complex structure
$J_{\Gamma _1^f}$
is constant equal to the base almost complex structure
$J_{D',D"}$
near the nodes (which must join non-collapsed components)
$J_{\Gamma _1^f}$
naturally extends to a domain-dependent almost complex structure
$J_{\Gamma ^f}$
on a neighbourhood
$\mathcal {N}_{\Gamma _1^f}$
of
$\overline {\mathcal {U}}_{\Gamma _1^f}$
in
$\overline {\mathcal {U}}_{\Gamma ^f}$
by taking
$J_{\Gamma ^f}$
to equal
$J_{D',D"}$
near the nodes. Now take
$J_\Gamma = f^* J_{\Gamma ^f}$
to obtain an extension of
$J_\Gamma $
from
$\mathcal {U}_{\Gamma _1}$
to a neighbourhood
$f^{-1}(\mathcal {N}_{\Gamma _1^f})$
. The proof for
$f'$
local or
$f'$
and
$f"$
-local structures is similar.
A.3 Transversality
We wish to inductively construct partly local almost complex structures so that the moduli spaces of stable maps define pseudocycles. Recall that the combinatorial type of a stable map is obtained from the type of stable curve by decorating the vertices with homology classes; we also wish to record the intersection multiplicities with the Donaldson hypersurfaces. More precisely, a type
$\mathbb {\Gamma }$
of stable map u from C to
$(X,D',D")$
consists of a type
$\Gamma $
the stable curve C (the graph with vertices corresponding to components and edges corresponding to markings and nodes) with the labelling of vertices
$v \in \operatorname {Vert}(\Gamma )$
by homology class
$d(v) = [u |S_v] \in H_2(X)$
, labelling of the semi-infinite edges e by either
$D'$
or
$D"$
,Footnote 14 and by the intersection multiplicities
$m'(e), m"(e)$
with
$D'$
and
$D"$
(possibly zero if the corresponding marking does not map to
$D'$
or
$D"$
. A stable map is adapted of type
$\Gamma $
if
-
(a) each connected component of
$u^{-1}(D')$
resp.
$u^{-1}(D")$
contains at least one marking
$z_e$
corresponding to an edge e with labelling
$m'(e) \geq 1$
resp.
$m"(e) \geq 1$
, and -
(b) if
$m'(e) \geq 1$
resp.
$m"(e) \geq 1$
, then the marking
$z_e$
is mapped to
$D'$
resp.
$D"$
.
By forgetting the extra data and stabilization one can associate to each type of stable maps a type of stable curves. In notation we do not distinguish the two notions of types. Given a type of stable curve
$\Gamma $
choose a domain-dependent almost complex structure
$J_\Gamma $
. Denote by
$\mathcal {M}_\Gamma (X,J_\Gamma )$
the moduli space of adapted
$J_\Gamma $
-holomorphic stable maps
$u: C \to X$
of type
$\mathbb {\Gamma }$
, such that for each
$v \in \mathrm {Vert}(\Gamma )$
with
$d(v) \neq 0$
, the image of
$u_v$
is not contained in
$D' \cup D"$
, and for each semi-infinite edge e attached to v, the local intersection number of
$u_v$
with
$D'$
resp.
$D"$
at
$z_e$
is equal to
$m'(e)$
resp.
$m"(e)$
. The moduli space
$\mathcal {M}_{\mathbb {\Gamma }}(X,J_\Gamma )$
is locally cut out by a smooth map of Banach manifolds: Given a local trivialization of the universal curve given by a subset
$\mathcal {M}^i_\Gamma \subset \mathcal {M}_\Gamma $
and a trivialization
$C \times \mathcal {M}^i_\Gamma \to \mathcal {U}_\Gamma ^i = \mathcal {U}_\Gamma |_{\mathcal {M}^i_\Gamma }$
, we consider the space of maps
$\operatorname {Map}(C,X)_{k,p}$
of Sobolev class
$k,p$
for
$p \ge 2$
satisfying the above constraints and k sufficiently large to the space of
$0,1$
-forms with values in
$TX$
given by the Cauchy-Riemann operator
$\overline {\partial }_{J_\Gamma }$
associated to
$J_\Gamma $
. The linearization of this operator is denoted
$D_{u}$
(or
$D_{u,J_\Gamma }$
to emphasize dependence on
$J_\Gamma $
) and the map u is called regular if
$D_{u}$
is surjective. We call a type
$\mathbb {\Gamma }$
of stable map
$u: C \to X$
crowded if there is a maximal ghost subtree of the domain
$C_1 \subset C $
with more than one marking
$z_e \in C_1$
and uncrowded otherwise. It is not in general possible to achieve transversality for crowded types using the Cieliebak-Mohnke perturbation scheme.
Definition A.6. We say a domain-dependent almost complex structure
$J_\Gamma $
is regular for a map type
$\mathbb {\Gamma }$
with underlying domain type
$\Gamma $
if
-
(a) if
$\mathbb {\Gamma }$
is uncrowded then every element of the moduli space
$\mathcal {M}_\Gamma (X,J_\Gamma )$
of adapted
$J_\Gamma $
-holomorphic maps is regular; and -
(b) If
$\mathbb {\Gamma }$
is crowded then there exists a regular
$J_{\Gamma ^{\operatorname {ps}}}$
for some uncrowded type
$\mathbb {\Gamma }^{\operatorname {ps}}$
obtained by forgetting all but one marking
$z_e$
on each maximal ghost component for curves of type
$\mathbb {\Gamma }$
such that
$J_{\Gamma ^{\operatorname {ps}}}$
is equal to
$J_\Gamma $
on all non-constant components, that is, all components of
$\overline {\mathcal {U}}_\Gamma $
on which the maps
$u: C \to X$
in
$\mathcal {M}_{\mathbb {\Gamma }}(X,J_\Gamma )$
are non-constant.
Recall the construction by Floer [Reference FloerFlo88, Lemma 5.1] of a subspace of smooth functions with a separable Banach space structure. Let
$\underline {\smash {\epsilon }} = ( \epsilon _\ell , \ell \in \mathbb {Z}_{\ge 0})$
be a sequence of constants converging to zero. Let
$\mathcal {J}_\Gamma (X)_{\underline {\smash {\epsilon }}}$
denote the space of domain-dependent almost complex structures of finite Floer norm as in [Reference FloerFlo88, Section 5]. In particular,
$\mathcal {J}_\Gamma (X)_{\underline {\smash {\epsilon }}}$
allows variations with arbitrarily small support near any point.
Proposition A.7.
-
(a) For a regular domain-dependent almost complex structure
$J_{\Gamma "}$
the pull-back
$ (f')^* J_{\Gamma "}$
is regular, and similarly for the pull-back
$(f")^* J_{\Gamma '}$
for regular
$J_{\Gamma '}$
. -
(b) Suppose that
$J_\Gamma | \partial \overline {\mathcal {U}}_\Gamma $
is
$f'$
-local and is a regular domain-dependent almost complex structure defined on the boundary
$\partial \overline {\mathcal {U}}_\Gamma \to \partial \overline {\mathcal {M}}_\Gamma $
. The set of regular
$f'$
-local extensions is comeager, that is, is the intersection of countably many sets with dense interiors in the space of extensions. -
(c) Any parametrized-regular homotopy
$J_{\Gamma ,t} | \partial \overline {\mathcal {U}}_\Gamma $
between two regular
$f'$
-local domain-dependent almost complex structures
$J_{\Gamma ,0}, J_{\Gamma ,1}$
on the boundary
$\partial \overline {\mathcal {U}}_\Gamma $
may be extended to a parametrized-regular one-parameter family of
$f'$
-local structures
$J_{\Gamma ,t}$
equal to
$J_{\Gamma ,t}$
over
$\overline {\mathcal {U}}_\Gamma $
.
Proof. Item (a) is immediate from the definition, since any variation of
$J_{\Gamma "}$
induces a variation of
$(f')^* J_{\Gamma "}$
. (b) is an application of Sard-Smale applied to a universal moduli space. We sketch the proof, which is analogous to that in Cieliebak-Mohnke [Reference Cieliebak and MohnkeCM07, Chapter 5]. By Lemma A.5,
$J_\Gamma | \partial \overline {\mathcal {U}}_\Gamma $
has an extension over the interior. For transversality, first consider the case of an uncrowded type
$\mathbb {\Gamma }$
of stable map with domain type
$\Gamma $
. Choose open subsets
$L_\Gamma ,N_\Gamma \subset \overline {\mathcal {U}}_\Gamma $
of the boundary resp. markings and nodes, such that
$L_\Gamma $
is union of fibers of
$\overline {\mathcal {U}}_\Gamma $
containing the restriction
$\overline {\mathcal {U}}_\Gamma | \partial \mathcal {M}_\Gamma $
and
$N_\Gamma $
is sufficiently small so that the intersection of the complement of
$N_\Gamma $
with each component of each fiber of
$\mathcal {U}_\Gamma $
not meeting
$L_\Gamma $
is non-empty. Let
$\mathcal{M}^{\mathrm{univ}}_\Gamma(u,J_\Gamma)$
denote the universal moduli space consisting of pairs
$(u,J_\Gamma)$
, where
$u : C \to X$
is a
$J_\Gamma$
-holomorphic map of Sobolev class
$W^{k,p}$
, where
$p \geq 2$
and
$k$
is suficiently large so that
$kp \geq 3$
and the vanishing orders at the Donaldson hypersurfaces
$D'$
,
$D"$
are well-defined. Let
$\mathcal {J}^E_\Gamma (X,N_\Gamma ,S_\Gamma ) \subset \mathcal {J}^E_\Gamma (X)$
denote the space of
$J_\Gamma \in \mathcal {J}_\Gamma ^E(X)_{\underline {\smash {\epsilon }}}$
that are
$f'$
-local domain-dependent almost complex structures that agree with
$J_{D',D"}$
on the neighbourhood
$N_\Gamma $
of the nodes and markings
$z \in \overline {\mathcal {U}}_\Gamma $
that map to special points
$f'(z) \in \overline {\mathcal {U}}_{f'(\Gamma )}$
as in Definition A.1, and equal to the given extension in the neighbourhood
$L_\Gamma $
of the boundary, and constant on the components required by
$f'$
-locality in Definition A.1. By elliptic regularity,
$\mathcal {M}^{{\operatorname {univ}}}_\Gamma (X)$
is independent of the choice of Sobolev constants used in its construction.
The universal moduli space is a smooth Banach manifold by an application of the implicit function theorem for Banach manifolds. Let
$\mathcal {U}_\Gamma ^i \to \mathcal {M}_\Gamma ^i , i = 1,\ldots , m$
be a collection of open subsets of the universal curve
$\mathcal {U}_\Gamma \to \mathcal {M}_\Gamma $
on which the universal curve is trivialized via diffeomorphisms
$\mathcal {U}_\Gamma ^i \to \mathcal {M}_\Gamma ^i \times C$
. The space of pairs
$(u : C \to X, J_\Gamma )$
with
$[C] \in \mathcal {M}_\Gamma ^i$
, u of type
$\Gamma $
of class
$W^{k,p}$
on each component, and
$J_\Gamma \in \mathcal {J}^E_\Gamma (X,N_\Gamma ,S_\Gamma )$
is a smooth separable Banach manifold. Since we assume that
$J_\Gamma $
is regular on the boundary
$\partial \mathcal {U}_\Gamma $
, an argument using Gromov compactness shows that by choosing
$L_\Gamma $
sufficiently small we may assume that
$\tilde {D}_{u,J_\Gamma }$
is surjective for
$[C] \in L_\Gamma $
, since regularity is an open condition in the Gromov topology [Reference McDuff and SalamonMS04, Section 10.7]. Let
$\tilde {D}_{u,J_\Gamma }$
the linearization of
$(u,J_\Gamma ) \mapsto \overline {\partial }_{J_\Gamma } u$
, and suppose that
$\eta $
lies in the cokernel of
$\tilde {D}_{u,J_\Gamma }$
. We have
$D_u^* \eta ^s = 0$
where
$D_u$
is the usual linearized Cauchy-Riemann operator [Reference McDuff and SalamonMS04, p. 258] for the map; in the case of vanishing constraints at the Donaldson hypersurfaces see Cieliebak-Mohnke [Reference Cieliebak and MohnkeCM07, Lemma 6.6]. By variation of the almost complex structure
$J_\Gamma $
and unique continuation,
$\eta $
vanishes on any component on which u is non-constant. On the other hand, for any constant component
$u_v: S_v \to X$
, the linearized Cauchy-Riemann operator
$D_{u_v}$
on a trivial bundle
$u_v^* TX$
is regular with kernel
$ \operatorname {ker}(D_{u_v})$
the space of constant maps
$\xi : C_u \to (u_v)^* TX$
. It follows by a standard inductive argument that the same holds true for a tree
$C' = \cup _{v \in V} S_v , {\operatorname {d}} u |_{C'} = 0 $
of constant pseudoholomorphic spheres so the element
$\eta $
vanishes on any component
$S_v \subset C$
on which u is constant. It follows that
$\mathcal {M}^{{\operatorname {univ}},i}_\Gamma (X)$
is a smooth Banach manifold. For a comeager subset
$\mathcal {J}_\Gamma ^{{\operatorname {reg}}}(X) \subset \mathcal {J}_\Gamma (X)$
of partly almost complex structures in the space above extending the given ones near the boundary, the moduli spaces
$\mathcal {M}^i_\Gamma (X) = \mathcal {M}_\Gamma (X) |_{\mathcal {M}^i_\Gamma }$
are transversely cut out for each
$i = 1,\ldots , m$
. The transition maps between the local trivializations
$\mathcal {M}_\Gamma ^i \cap \mathcal {M}_\Gamma ^j \to \operatorname {Aut} (C)$
induce smooth maps
$\mathcal {M}_\Gamma ^{i}(X) |_{\mathcal {M}_{\Gamma }^i \cap \mathcal {M}_\Gamma ^j} \to \mathcal {M}_\Gamma ^{j}(X) |_{\mathcal {M}_{\Gamma }^i \cap \mathcal {M}_\Gamma ^j}$
making
$\mathcal {M}_\Gamma (X)$
into a smooth manifold.
Next, consider a crowded type
$\mathbb {\Gamma }$
with domain type
$\Gamma $
. Let
$f: \Gamma \to f(\Gamma )$
be a map forgetting all but one marking on each maximal ghost component
$C' \subset C$
and stabilizing; the multiplicities
$m'(e),m"(e)$
at any marking
$z_e$
is the sum of the multiplicities of markings in its pre-image
$f^{-1}(z_e)$
. Define
$J_{\Gamma ^f}$
as follows.
-
(a) If
$\mathcal {U}_{\Gamma ^f,v} \cong \mathcal {U}_{\Gamma ,v}$
let
$J_{\Gamma ^f} | \mathcal {U}_{\Gamma ^f,v}$
be equal to
$J_{\Gamma } | \mathcal {U}_{\Gamma ,v}$
. -
(b) Otherwise let
$J_{\Gamma ^f} : \mathcal {U}_{\Gamma ^f,v}\to \mathcal {J}^E(X,D',D")$
be constant equal to
$J_{D',D"}$
.
The map
$J_{\Gamma ^f}$
is continuous because any non-collapsed ghost component
$S_v \subset C$
must connect at least two non-ghost components
$C_{v_1} , C_{v_2} \subset C$
and the connecting points of the non-ghost components
$f'(C_{v_1}), f'(C_{v_2})$
is a node of the curve
$f'(f(C))$
of type
$f'(\Gamma ^f)$
. For a comeager subset of
$J_\Gamma $
extending the given ones near the boundary described above, the complex structures
$J_{\Gamma ^f}$
are also regular by the argument for uncrowded types. Item (c) is a parametrized version of (b).
Corollary A.8. There exists a regular homotopy
$J_{\Gamma ,t}, t \in [-1,1]$
between
$ (f")^* J^{\prime }_{\Gamma '}$
and
$ \ (f')^* J^{\prime \prime }_{\Gamma "}$
in the space of maps
$\overline {\mathcal {U}}_\Gamma \to \mathcal {J}(X,D',D")$
that are
$f'$
-local for
$t \in [-1,0]$
and
$f"$
-local for
$t \in [0,1]$
Proof. Let
${\underline {\smash {J}}} = (J_\Gamma )$
be a collection of regular domain-dependent almost complex structures that are both
$f'$
and
$f"$
-local, as in Remark A.4. By part (A.7) above, for each type
$\Gamma $
there exists a regular homotopy from
$J_\Gamma $
to
$(f')^* J_{\Gamma "}$
resp.
$(f")^* J_{\Gamma '}$
extending the given homotopies on the boundary. The existence of a regular homotopy now follows by induction.
A.4 Homotopy invariance of Fukaya categories
We wish to show, as claimed in Remark 3.3, that the
$A_{\infty }$
homotopy type of
$\operatorname {Fuk}_{\mathcal {L}} (X,{\mathfrak {b}})$
(as a curved
$A_{\infty }$
algebra with curvature with positive q-valuation over the Novikov ring
$\Lambda _{\ge 0}$
) is independent of the choice of almost complex structures, perturbations, stabilizing divisors, and depend only on the isotopy class of bulk deformation. The argument uses a moduli space of quilted disks with seams labelled by the diagonal, as in [Reference Charest and WoodwardCW22, Section 5.5]. The hardest part is showing independence of the choice of Donaldson hypersurface. Let
$D',D"$
be two Donaldson hypersurfaces that intersect transversely. Let
$C = S \cup T$
be a quilted treed disk of type
$\Gamma $
. Each component
$S_v, v \in \operatorname {Vert}(\Gamma )$
has some distance
$$ \begin{align} d(v) = \sum_{e \in \operatorname{Edge}(\Gamma)_{v}^{v'} } \ell(e) \in \mathbb{R} \end{align} $$
measuring the sum of the lengths of edges
$e \in \operatorname {Edge}(\Gamma )_{v}^{v'}$
to a vertex
$v'$
corresponding to a quilted component. Thus
$d(v)$
is negative if v comes after the quilted components in order of components starting with the incoming edges, positive distance if it comes before and zero distance if
$S_v$
is itself quilted. We now consider perturbations
$P_\Gamma $
for
$D' \cup D"$
-adapted maps, with each marking labelled by the divisor to which it maps. The perturbations
$P_\Gamma $
are required to satisfy the following properties:
-
(a) On the components
$S_v$
with
$d(v) = + \infty $
, the perturbation
$P_\Gamma $
is required to be a partly local perturbation obtained by pull-back of maps forgetting the
$D"$
-markings of some perturbation scheme
$P_{f"(\Gamma })$
for markings mapping to
$D'$
. -
(b) On the components
$S_v$
with
$d(v) = - \infty $
, the perturbation
$P_\Gamma $
is required to be partly local perturbations obtained by pull-back of maps forgetting the
$D'$
-markings of some perturbation scheme
$P_{f'(\Gamma })$
for markings mapping to
$D"$
.
One obtains from such a scheme an
$A_{\infty }$
morphism
where the inclusion of
$D'$
or
$D"$
in the notation indicates which perturbation scheme is being used. To justify the existence of such a perturbation scheme, note that as in the proof of Lemma A.5, any partly local perturbation scheme may be homotoped to a local one by homotoping to the base almost complex structure on certain components, and the space of local perturbations is contractible. Similarly, reversing the roles of
$D",D'$
one obtains an
$A_{\infty }$
morphism
Then an argument using twice-quilted treed disks produces
$A_{\infty }$
homotopies from
$\psi \circ \phi , \phi \circ \psi $
to the relevant identities, as in [Reference Ma’u, Wehrheim and WoodwardMWW18, Theorem 7.20].
There are some minor differences between the case of genus zero Gromov-Witten invariants and the case of Fukaya category. For example, the universal curve in the Gromov-Witten case is itself a manifold, a fact which can be used to simplify the description of the space of perturbations.
Remark A.9. We also require a version of homotopy invariance which allows one of the divisors to be stabilizing only for disks in a certain subset, as in the case of the inverse image of a Donaldson hypersurface in the blow-down discussed in the main body of the paper. We consider the following situation: Let
$U \subset X$
be an open subset disjoint from L, J an almost complex structure on X and
$\tilde {Z} \subset U$
a J-almost complex submanifold with the property that any non-constant holomorphic sphere in U is contained in
${\tilde {Z}}$
and has positive Chern number. Let
$D',D"$
be codimension two J-almost complex submanifolds with the property that any holomorphic sphere not contained in
$\tilde {Z}$
meets
$D', D"$
in finitely many but at least three points, and any holomorphic disk bounding L meets
$D', D"$
at least once. By perturbing the almost complex structure using domain-dependent perturbations away from U one finds that the moduli spaces of holomorphic disks of expected dimension at most one are regular and define Fukaya categories
$\operatorname {Fuk}_{\mathcal {L}}^\sim (X,{\mathfrak {b}};D')$
and
$\operatorname {Fuk}_{\mathcal {L}}^\sim (X,{\mathfrak {b}};D")$
, as in Section 5.4.1, with compactness as in Lemma 5.26. The argument above now gives the desired homotopy equivalence.
Acknowledgements
This work was partially supported by NSF grants DMS 2105417 for Woodward and 2345030 for Xu. Any opinions, findings and conclusions or recommendations expressed in this material are those of the author(s) and do not necessarily reflect the views of the National Science Foundation.
Competing interests
The authors declare none.
Data availability statement
No new data was collected or generated.

















































