Hostname: page-component-857557d7f7-wf4rb Total loading time: 0 Render date: 2025-11-22T10:02:01.575Z Has data issue: false hasContentIssue false

Discovery of the Sub-second Linearly Polarized Spikes of Synchrotron Origin in the UV Ceti Giant Optical Flare

Published online by Cambridge University Press:  31 January 2017

G. Beskin*
Affiliation:
Special Astrophysical Observatory, Nizhnij Arkhyz, Karachaevo-Cherkessia 369167, Russia Kazan (Volga region) Federal University, Kazan 420008, Russia
S. Karpov
Affiliation:
Special Astrophysical Observatory, Nizhnij Arkhyz, Karachaevo-Cherkessia 369167, Russia Kazan (Volga region) Federal University, Kazan 420008, Russia
V. Plokhotnichenko
Affiliation:
Special Astrophysical Observatory, Nizhnij Arkhyz, Karachaevo-Cherkessia 369167, Russia
A. Stepanov
Affiliation:
Pulkovo Observatory of Russian Academy of Sciences, Saint-Petersburg 196140, Russia
Yu. Tsap
Affiliation:
Pulkovo Observatory of Russian Academy of Sciences, Saint-Petersburg 196140, Russia
*
4 Email: beskin@sao.ru
Rights & Permissions [Opens in a new window]

Abstract

During our optical monitoring of UV Ceti, iconic late-type flaring star, with high temporal resolution using the Russian 6-m telescope in 2008, we detected a giant flare with the amplitude of about 3 magnitudes in U band. Near flare maximum, more than a dozen of spike bursts have been discovered with triangular shapes and durations from 0.6 to 1.2 s and maximal luminosities in the range (1.5–8) × 1027 erg s−1. For the half of these events, the linear polarization exceeds 35% with significance better than 5σ. We argue that these events are synchrotron emission of electron streams with the energies of several hundred MeV moving in the magnetic field of about 1.4 kG. Emission from such ultra-relativistic (with energies far exceeding 10 MeV) particles is being routinely observed in solar flares, but has never been detected from UV Ceti-type stars. This is the first ever detection of linearly polarized optical light from the UV Ceti-type stars which indicates that at least some fraction of the flaring events on these stars is powered by a non-thermal synchrotron emission mechanism.

Information

Type
Research Article
Copyright
Copyright © Astronomical Society of Australia 2017 

1 INTRODUCTION

Presently, there are no doubts that the flaring activity of the Sun and flaring stars, particularly those of UV Ceti-type, is of a common origin (Gershberg Reference Gershberg2015). Flaring events are caused by the release of energy stored in coronal magnetic fields. Therewith up to 10–50% of the magnetic energy is converted to the kinetic energy of accelerated electrons and ions in solar flares (Lin & Hudson Reference Lin and Hudson1976; Miller et al. Reference Miller1997; Holman et al. Reference Holman, Sui, Schwartz and Emslie2003). They are partly ejected away from the star and partly move along coronal magnetic loops, heating dense regions of the stellar atmosphere and generating the flare-like emission in a wide range of frequencies, from radio to gamma-rays (Priest & Forbes Reference Priest and Forbes2000; Benz & Güdel Reference Benz and Güdel2010).

On the Sun, these initial electrons are accelerated up to hundreds of MeV to 1 GeV, as observations of gamma-ray emission of flares suggest (see, for example, Kanbach et al. Reference Kanbach1993; Ramaty & Mandzhavidze Reference Ramaty, Mandzhavidze, Ryan and Vestrand1994; Aschwanden Reference Aschwanden2005). Flaring stars also display some manifestations of energetic non-thermal particles with Lorentz factors 1 < γ ⩽ 10 in the form of bursts of gyrosynchrotron radio emission (Bastian Reference Bastian1990; Güdel et al. Reference Güdel, Benz, Schmitt and Skinner1996; Güdel Reference Güdel2002) correlated with variations of soft X-ray emission of the chromospheric and photospheric plasma heated by these particles (Güdel Reference Güdel2002; Smith, Güdel, & Audard Reference Smith, Güdel and Audard2005; Benz & Güdel Reference Benz and Güdel2010), but the presence of ultra-relativistic electrons with γ > 10 has never been revealed in these studies. On the other hand, the detection of such particles has been reported as a result of radio observations of T Tau stars in binary systems (Massi et al. Reference Massi, Forbrich, Menten, Torricelli-Ciamponi, Neidhöfer, Leurini and Bertoldi2006; Salter et al. Reference Salter, Kóspál, Getman, van Kempen, Carpenter and Blake2010).

If such energetic particles exists in UV Ceti-type stars too, they may produce optical synchrotron emission while moving in the magnetic fields of coronal loops (Gordon Reference Gordon1954). Due to the discrete nature of particle acceleration driven by the magnetic field reconnection in a stellar corona, this emission may be in the form of separate sub-second spikes. Similar events, seen on the Sun in X-ray and gamma-ray bands, are generated by the bremsstrahlung emission of electron beams in the chromosphere, and have typical durations of 0.05–1 s (Kiplinger et al. Reference Kiplinger, Dennis, Frost and Orwig1983; Aschwanden, Schwartz, & Alt Reference Aschwanden, Schwartz and Alt1995; Cheng et al. Reference Cheng, Qiu, Ding and Wang2012).Footnote 1 On the other hand, optical spike bursts with sub-second durations in quiet states of flaring stars have been detected only in a few cases – a bit more than dozen of flashes seen in different years and with different instruments while observing EV Lac, BY Dra, V577 Mon and CN Leo (Zhilyaev & Verlyuk Reference Zhilyaev, Verlyuk, Greiner, Duerbeck and Gershberg1995; Robinson et al. Reference Robinson, Carpenter, Percival and Bookbinder1995; Tovmassian et al. Reference Tovmassian, Recillas, Cardona and Zalinian1997; Zhilyaev et al. Reference Zhilyaev1998) and lacking proper interpretations. A number of small amplitude flares with durations of a few seconds have recently been reported in UV Ceti (Schmitt et al. Reference Schmitt, Kanbach, Rau and Steinle2016).

As the timescale of synchrotron spikes is close to the one of thermal emission mechanism for optical flashes, which may be down to 0.1–1 s (Katsova & Livshits Reference Katsova, Livshits and Mirzoyan1986; Shvartsman et al. Reference Shvartsman, Beskin, Gershberg, Plakhotnichenko and Pustilnik1988; Katsova & Livshits Reference Katsova and Livshits2001), an additional criterion is necessary to distinguish between these mechanisms – the presence of linear polarization, which is a characteristic feature of synchrotron emission (Ginzburg & Syrovatskii Reference Ginzburg and Syrovatskii1965; Rybicki & Lightman Reference Rybicki and Lightman1979). Therefore, in order to confidently detect such synchrotron emission from a flaring star, one has to perform its regular photo-polarimetric monitoring with high temporal resolution using a large telescope.

Numerous attempts to detect the polarization in flares of YZ CMi, AD Leo, EV Lac and YY Gem, observed with various telescopes (Karpen et al. Reference Karpen1977; Eritsian Reference Eritsian1978; Tuominen et al. Reference Tuominen, Huovelin, Efimov, Shakhovskoi and Shcherbakov1989), were also unsuccessful. Most reliable data have been acquired during EV Lac study using 1.25-m telescope of the Crimean Astrophysical Observatory (Alekseev et al. Reference Alekseev1994). The upper limits for polarization degree in strong flares have been placed on 2% level on 10-s timescale, and 1% level – on a 50 s one.

In 1982–1985, we performed a regular photometric monitoring of UV Ceti, CN Leo, V 577 Mon and Wolf 424 flaring stars using the Russian 6-m telescope with 1-μs temporal resolution. More than hundred flashes have been detected in U band, and the upper limits on the amplitude of intensity variations, both during the flares and outside them, on time scales from 1 μs to 1 s have been placed on the level of 20–0.5% (Beskin et al. Reference Beskin1988a, Reference Beskin, Gershberg, Neizvestnyi, Plakhotnichenko, Pustil’Nik and Shvartsman1988b), correspondingly. The shortest details detected were the rising fronts of four flares of these stars with durations from 0.3 to 0.8 s; decay times of these flares were 1–3 s (Shvartsman et al. Reference Shvartsman, Beskin, Gershberg, Plakhotnichenko and Pustilnik1988). These data, along with the statistical properties of all temporal characteristics, have led to conclusion that the flares, even the shortest ones, may be explained by the gas-dynamic model (Beskin et al. Reference Beskin, Gershberg, Neizvestnyi, Plakhotnichenko, Pustil’Nik and Shvartsman1988b; Katsova & Livshits Reference Katsova and Livshits2001; Gershberg Reference Gershberg2015).

In order to reliably detect the polarized non-thermal emission from UV Ceti-type stars, since 2008 we started the new set of observations of these objects with the Russian 6-m telescope using a panoramic photo-polarimeter. In this study, we report the detection of a giant, with amplitude of nearly 3 magnitudes, flare of dMe-dwarf UV Ceti during this monitoring. Near its maximum, we discovered more than a dozen of spike bursts with the duration of 0.6–1.2 s, with linear polarization exceeding 35–40% for the majority of them. We argue that these events were generated by synchrotron emission of electrons with the energies of several hundred MeV moving in magnetic fields with the strength of about 1.4 kG, and therefore are the first ever evidence for the presence of ultra-relativistic electrons in the flares of UV Ceti-type stars.

The paper is organized as follows. Section 2 describes the equipment and methods used for the high temporal resolution photopolarimetric observations of flaring stars with the Russian 6-m telescope. In Section 3, the observational characteristics of detected spike bursts are described, and in Section 4 the physical conditions necessary for their generation are analysed. Section 4 also contains the discussion of ultra-relativistic electrons production mechanisms in UV Ceti-type stars. Section 5 presents the brief summary of our results.

2 OBSERVATIONS AND DATA REDUCTION

Systematic monitoring of flaring stars with 1-μs temporal resolution with the Russian 6-m telescope is ongoing since 2008, using the panoramic photospectropolarimeter in its various configurations (Plokhotnichenko et al. Reference Plokhotnichenko, Beskin, de Bur, Karpov, Bad’in, Lyubetskaya, Lyubetskij and Pavlova2009a). The detector is the microchannel plate-based position-sensitive photon counter with four-electrode cathode (Debur et al. Reference Debur, Arkhipova, Beskin, Pakhomov, Smirnova and Solin2003), and the high speed data acquisition is performed with the dedicated ‘Quantochron 4–48’ card plugged into the PC, which encodes and stores the coordinates and times of arrival of detected photons with 1-μs accuracy (Plokhotnichenko, Solin, & Tikhonov Reference Plokhotnichenko, Solin and Tikhonov2009b). The data acquired are the photon lists, which may be later arbitrarily binned for light curve and image analysis on various time scales.

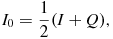
In 2008, the monitoring has been performed in U photometric band using the Wollaston prism as a polarizer. Field of view of the instrument was about 20 arcsec and angular resolution was about 2 arcsec, with no stars except for inseparable UV/BL Ceti pair seen. On the photocathode of the detector, the Wollaston prism formed two images of an object with orthogonal orientations of polarization plane. The intensities of these two images are as follows (Shurkliff Reference Shurkliff1962; Snik & Keller Reference Snik and Keller2013):

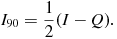
(1) $$\begin{equation} I_0 & =& \frac{1}{2} (I + Q), \\ \end{equation}$$
(2) $$\begin{equation} I_{90} & =& \frac{1}{2} (I - Q). \end{equation}$$

These quantities allow one to determine two of the four Stokes parameters:

(3) $$\begin{equation} I & =& I_0 + I_{90}, \\ \end{equation}$$
(4) $$\begin{equation} Q & =& I_0 - I_{90}. \end{equation}$$

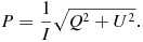
The degree of linear polarization is a combination of I, Q and U Stokes parameters (Snik & Keller Reference Snik and Keller2013):

(5) $$\begin{equation} P = \frac{1}{I}\sqrt{Q^2 + U^2}. \end{equation}$$

We know only the first two, and may therefore place the lower limit on the degree of linear polarization, as P ⩾ |Q|/I for all U values.

That is, if we detect any significant deviation of Q/I from zero, then the lower limit on the degree of linear polarization is

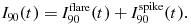
(6) $$\begin{equation} P_{\rm low} = |Q|/I = \frac{|I_0-I_{90}|}{I_0+I_{90}}. \end{equation}$$

The giant flare of UV Ceti, with nearly 3m amplitude and fast (~10 s, as compared to 30 min overall duration) initial rise, has been detected on 2008 December 28 at 15:27:02 UT.

The light curve, computed as a sum of background subtracted intensities in two images, is shown in Figure 1. As we did not have any other star in the field of view, to calibrate the flux, we associated the average pre-flare flux (−100 to 0 s) level with mU = 14.86 magnitude of UV/BL Ceti pair (Eason et al. Reference Eason, Giampapa, Radick, Worden and Hege1992), and assumed the distance d = 2.68 pc. The inset of Figure 1 also shows the 2-min interval of maximal intensity with 0.1-s temporal resolution. During this interval, more than a dozen of spike bursts with 6–50% relative amplitudes and durations not exceeding (except for two cases) 1.2 s are clearly seen. Their analysis will be performed in the next section.

Figure 1. Light curve of UV Ceti flare in U band with 0.1-s temporal resolution, obtained with the Russian 6-m telescope on 2008 December 28. The inlet shows the region marked with dashed lines in the main plot. In turn, the region marked with vertical dashed lines in the inlet, containing all the spike bursts, is shown in Figure 3.

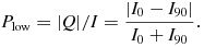
As we are interested in polarization variations during the flare, and to accommodate for the instrumental, atmospheric and interstellar polarization, we computed the mean value of k = I 0/I 90 over the 100-s long pre-flare interval, < k > =1.23, and scaled the I 90 using this coefficient. This way normalized Stokes Q/I parameter has zero mean over that interval.

Figure 2 shows the Stokes Q/I over the pre-flare and the main part of the flare interval (the gap from 240 to 250 s corresponds to the restart of data acquisition system where the information has been lost). No significant deviations from zero may be seen, except for the short events coinciding with the spike bursts detected in the light curve.

Figure 2. The behaviour of normalized Stokes Q/I parameter during the pre-flare and flare main part intervals. Levels of σ and 3σ, estimated assuming Poissonian statistics, are shown. Vertical lines mark the interval where spike bursts are detected. Some of them show significant polarization, whereas all other intervals of the light curve (upper panel) do not.

3 ANALYSIS OF SPIKES PROPERTIES

3.1 Durations and shapes

Figure 3 shows the region of the light curve with clearly seen flaring activity, where 14 spike bursts have been detected. Their rise times are 0.2–0.5 s, and the shapes are nearly symmetric (see upper panel in Figure 3).

Figure 3. The fragment of UV Ceti flare light curve containing 14 spike bursts, whose shapes are approximated with split Gaussian profiles (upper panel), approximated with the smooth spline for the background flare and split Gaussians for the spikes. Lower panel shows the normalized residuals, normally distributed everywhere except for the 10-s region around complex peak No. 12.

We approximated the slowly changing flare background with manually adjusted smooth spline, and the spike shapes with split Gaussians, having different rising and fading characteristic times:

(7) $$\begin{equation} I(t) = \left\lbrace \begin{array}{rl}A \exp {\left(\frac{\ln {2} \cdot (t-t_0)^2}{S_1^2}\right)} , & t < t_0 \\ A \exp {\left(\frac{\ln {2} \cdot (t-t_0)^2}{S_2^2}\right)} , & t > t_0, \end{array} \right. \end{equation}$$

where A is the peak intensity, t 0 is the peak time and S is the half-width at half maximum – the characteristic time of a two-fold change of the intensity. The approximation is shown in Figure 3, and the fit parameters are listed in Table 1. The residuals, shown in lower panel of Figure 3, are distributed normally – Shapiro–Wilk normality test cannot reject their normality with p-value better than 0.3 (except for 10-s long interval around spike No. 12, which has very complex shape, and most probably consists of several blended sub-spikes, which cannot be easily separated), and therefore the approximation is quite optimal.

Table 1. Parameters of the light curve spikes. The spikes have been fitted with split Gaussian profiles. Here, t 0 – peak time, A – peak amplitude, FWHM – peak full width at half -maximum, S 1 and S 2 – half-widths at half-maximum of the rising and fading fronts, respectively, L – peak luminosity in U-band. Also, A 0 and A 90 represent the amplitudes of the split Gaussian profiles fitted to I 0(t) and I 90(t) intensities, correspondingly, and < P low, int > is the mean intrinsic polarization of the spikes computed according to Equation (11).

a To account for instrumental polarization, I 90 has been scaled by a constant coefficient < k > =1.23, and therefore the sum of A 0 and A 90 is not equal to A.

To test the randomness of spikes’ peak times we performed the Kolmogorov–Smirnov test on t 0 values from Table 1, which gave p-value of 0.7, which confirms that the distribution of spikes in time is uniform.

Figure 4 displays the spikes’ rise and fading times with corresponding fit errors. If we exclude complex spikes Nos. 12 and 13, then the rise and fading times are uncorrelated (with Pearson correlation coefficient r = 0.08) and follow the same distribution (with Kolmogorov–Smirnov test p-value p = 0.26). Their mean values are < S1 > =(0.24 ± 0.04) s, < S2 > =(0.38 ± 0.06) s. Therefore, the spikes are nearly symmetric and have triangular form.

Figure 4. Comparison of the spikes’ rise and fall times. Total durations of 12 events are less than 1 s; for six events rise and fall times are nearly equal, whereas for six others – the latters are 2–2.5 times greater. Durations of two spikes (Nos. 12 and 13) are 2–3 s – most probably, they consist of several overlapping events.

3.2 Polarization of spikes

Figure 2 shows the temporal behaviour of Q/I normalized Stokes parameter, i.e., the ‘projection’ of linear polarization onto the Wollaston prism axis, over the 10 min of pre-flare and flare peak intervals. There are no signs of any significant deviation from zero level (p-value of Shapiro–Wilk normality test is p = 0.4) except for the moments coinciding with the spikes seen in the light curve. Figure 5 shows the close-up of the interval containing these spikes with polarization fitted with the same split Gaussian profiles with all the parameters fixed to values listed in Table 1 except for the amplitudes. It is clear that the positional and morphological coincidence of spikes in intensity and normalized Stokes Q/I parameter is perfect, whereas the amplitudes of the latter ones are in most cases exceeding 2.5σ (spikes Nos. 1, 2, 4, 5, 7, 10, 11, 12 and 14). For a more evident picture of their significances, the lower panel of Figure 5 shows the same quantity as the middle one, but constructed from the light curves rebinned to 0.5-s temporal resolution, so that the spikes fall into 1–3 bins, and the RMS decreases by 2.23 times. Then, the significance of polarized spikes is better than 10−4, and the probability of overall effect to be random is definitely lower than 10−20.

Figure 5. The region of UV Ceti flare near its maximum (see Figure 3) with 0.1-s resolution (upper panel) and the normalized Stokes Q/I parameter with the same resolution (middle panel). Red lines are approximations of spikes with all parameters except amplitudes fixed to values listed in Table 1. The lower panel is the same quantity rebinned to 0.5-s resolution and normalized to its Poissonian errors.

The polarization is absent anywhere except the spikes; therefore, we may suggest that the spikes represent an additional, polarized emission component superimposed with the overall unpolarised giant flare. Then, the observed intensities may be represented as a sum of ‘flare’ and ‘spike’ components as

(8) $$\begin{equation} I_{0}(t) & =& I_{0}^{\rm flare}(t) + I_{0}^{\rm spike}(t), \\ \end{equation}$$
(9) $$\begin{equation} I_{90}(t) & =& I_{90}^{\rm flare}(t) + I_{90}^{\rm spike}(t). \end{equation}$$

Next, we may introduce an intrinsic spike polarization, analogous to Equation (6), but corresponding to the polarization of a spike emission alone, excluding the background flare emission:

(10) $$\begin{equation} P_{\rm low,int}(t) = |Q^{\rm spike}(t)|/I^{\rm spike}(t) = \frac{|I_{0}^{\rm spike}(t)-I_{90}^{\rm spike}(t)|}{I_{0}^{\rm spike}(t)+I_{90}^{\rm spike}(t)}. \end{equation}$$

Figure 6 shows the I 0 and I 90 components over the spikes interval. The shapes in both components are quite similar, and nearly the same as spike shapes in total intensity, which may suggest that the polarization of every spike is more or less constant over time. Therefore, we may characterize the mean intrinsic polarization of every spike by independently fitting the I 0 and I 90 intensity profiles with split Gaussians described by Equation (7) with all parameters except for the amplitude A fixed to ones from Table 1 (see Figure 6) and substitute the corresponding amplitudes A 0 and A 90 into Equation (10) as mean intensities:

(11) $$\begin{equation} \left<P_{\rm low,int}\right> = \frac{|A_0-A_{90}|}{A_0+A_{90}} \ \ {\rm .} \end{equation}$$

Figure 6. Independent fits of I 0 and I 90 polarized emission components of the region shown in Figure 5 with split Gaussians with all parameters except amplitudes fixed to values listed in Table 1.

Table 1 and Figure 7 show these values along with corresponding errors. For six spikes (Nos. 3, 6, 7, 8, 9 and 13) the polarization lower limits do not differ significantly from zero, exceeding it for less than 1σ (in three cases) and for 1.5–2σ (three more cases). The polarization of eight other spikes is significant and quite high – it peaks at 20% (No. 4), 30% (Nos. 5 and 11), 40% (Nos. 1, 12 and 14) and 45% (Nos. 2 and 10) and is not correlated with either spike intensity or its duration.

Figure 7. Lower limits on the degree of mean intrinsic linear polarization of the spikes, computed according to Equation (11), versus the peak fluxes. Spikes with low significance polarization (less than 3σ) are in grey, whereas spikes with significant polarization (with significance levels 10−3–10−5) are in red.

4 DISCUSSION

4.1 Large linear polarization of spikes – the evidence of their synchrotron origin

In our observations of a giant UV Ceti flare on 2012 December 28, we discovered 14 spike bursts near its maximum, and clearly detected their polarization. Their short durations, sufficiently high intensities and comparable scales of rise and fading phases – and most importantly their high intrinsic polarization exceeding 30–45% – suggest that these events may only be caused by the synchrotron emission of ultra-relativistic electron streams moving in the magnetic fields of the corona.

Indeed, no other mechanism of emission generation and/or transformation in astrophysical conditions can produce such level of linear polarization. For Thompson scattering, its degree cannot exceed 10–20% (Angel Reference Angel1969; Brown & McLean Reference Brown and McLean1977). Linear polarization of bremsstrahlung radiation is typically in 5–25% range (Brown Reference Brown1972; Emslie, Bradsher, & McConnell Reference Emslie, Bradsher and McConnell2008). Inverse Compton scattering on the electron beam does not change the state of unpolarised emission, whereas for the intrinsic synchrotron (synchrotron self-Compton mechanism) emission it lowers the original polarization degree by several times – its maximal degree is lower than 30–35% (Bonometto & Saggion Reference Bonometto and Saggion1973; Krawczynski Reference Krawczynski2012). Therefore, the linear polarization exceeding 35–45% that we detected in sub-second spikes is a direct proof of their synchrotron origin.

The synchrotron mechanism for optical flaring emission from red dwarfs had been initially proposed by Gordon (Reference Gordon1954), who noted that the detection of polarized flares might be the proof for it. However, the sparse and irregular (see Section 1) polarimetric observations of UV Ceti-type stars have been fruitless until now (Karpen et al. Reference Karpen1977; Eritsian Reference Eritsian1978; Tuominen et al. Reference Tuominen, Huovelin, Efimov, Shakhovskoi and Shcherbakov1989; Alekseev et al. Reference Alekseev1994). It seems that the majority of flares, especially the longer ones studied in these works, are dominated by thermal emission. Shorter ones are, however, still may be at least partially driven by synchrotron emission, as our observations strongly suggest.

Below, we will discuss possible origin of accelerated electrons, estimate their energies and number densities and show that they may indeed be naturally formed in UV Ceti corona.

4.2 On possible origin of ultra-relativistic electrons

The multi-wavelength observations of the Sun and solar flares, as well as active stars, which have analogous nature of flaring activity (Gershberg Reference Gershberg2015), theoretical analysis and numerical simulations have recently made it clear that the structure of magnetic fields here is a complex system of small-scale magnetic knots, multiple organized thin loops and regular thread-like structures with minimal scales about 108–109 cm or even smaller, and with the magnetic field strength nearly constant along the threads from corona to photosphere (Shibata & Yokoyama Reference Shibata and Yokoyama2002; López Fuentes, Démoulin, & Klimchuk Reference Fuentes, Démoulin and Klimchuk2008; Meyer et al. Reference Meyer, Mackay, van Ballegooijen and Parnell2013; Klimchuk Reference Klimchuk2015).

During the magnetic reconnection in the corona, the collisionless Hall current sheets, which may spontaneously form in a critical self-organizing state and trigger the flaring energy release (Cassak, Mullan, & Shay Reference Cassak, Mullan and Shay2008), are being fragmented to separate filaments due to tearing instabilities, and the particles are being accelerated in these small-scale filaments or between them on a short time scales (Drake et al. Reference Drake, Swisdak, Che and Shay2006; Che, Drake, & Swisdak Reference Che, Drake and Swisdak2011).

Possible mechanisms of electron acceleration up to 300–400 MeV energy include super-Dreicer electric fields in magnetic reconnection regions what may form the streams of ultra-relativistic electrons (Craig & Litvinenko Reference Craig and Litvinenko2002; Gordovskyy, Browning, & Vekstein Reference Gordovskyy, Browning and Vekstein2010). Gordovskyy et al. (Reference Gordovskyy, Browning and Vekstein2010) demonstrated by an illustrative estimation that in the conditions of solar corona (B ≈ 100 Gauss) the electrons may accelerate up to energies of several tens of MeV, while having quite flat (δ ≈ 1.5) energetic spectrum. As the strength of accelerating electric field EB 2, for typical UV Ceti coronal magnetic field of 300–1 500 G (Mullan et al. Reference Mullan, Mathioudakis, Bloomfield and Christian2006), the electrons may reach the energies of hundreds of MeV. At the same time, Craig & Litvinenko (Reference Craig and Litvinenko2002) and Litvinenko (Reference Litvinenko2006) demonstrated that during the magnetic reconnections the super-Dreicer electric field also forms and may accelerate the electrons up to few hundred MeV – several GeV with similar flat energetic spectrum. The same electron energies may result from interaction of electrons with fast magneto-hydrodynamical modes during the acceleration (Yan, Lazarian, & Petrosian Reference Yan, Lazarian and Petrosian2008).

The streams of ultra-relativistic electrons, formed due to acceleration of background thermal particles, subsequently lose their energy radiatively during the motion in slowly changing magnetic fields of separate threads, producing the spike bursts we observed in UV Ceti flare. Due to the stochastic nature of particle acceleration, the pitch-angle distribution of ejected electrons is isotropic (Dalla & Browning Reference Dalla and Browning2005; Minoshima & Yokoyama Reference Minoshima and Yokoyama2008), and their emission is therefore omnidirectional. Pitch-angle diffusion due to elastic scattering on whistlers (Stepanov et al. Reference Stepanov, Yokoyama, Shibasaki and Melnikov2007) or other fast MHD modes (Yan et al. Reference Yan, Lazarian and Petrosian2008) keeps it isotropic and prevents the particles from streaming rapidly along the field lines, keeping them close to the acceleration region during the cool-down. Moreover, if the particle source is powerful enough, the strong pitch-angle diffusion regime is realized and a the turbulent ‘wall’ is formed when a cloud of high-energy particles propagates along the magnetic field with the velocity of about the phase velocity of waves that is much less than particle velocity (Bespalov, Zaitsev, & Stepanov Reference Bespalov, Zaitsev and Stepanov1991; Trakhtengerts & Rycroft Reference Trakhtengerts and Rycroft2008). Therefore, the geometric effects of emission beaming and finite propagation time may be neglected in the analysis of the spikes.

Note that the giant flare itself (which seems to be purely thermal) and spike bursts are produced at different regions – the former at a loop footpoint in chromosphere (see Gershberg Reference Gershberg2015 and references therein), whereas the latter in the corona itself. Moreover, these phenomena may in principle be produced on two different stars (as both UV Ceti and BL Ceti are flaring stars). Of course, the probability of latter case is quite small, but it cannot be completely ignored.

4.3 What are the parameters of magnetic fields and electrons responsible for the spikes?

If the spike bursts are indeed caused by synchrotron radiation, we may estimate the range of magnetic field strengths, Lorentz factors and numbers of accelerated electrons necessary to provide their observed peak luminosities and fading durations, while keeping the emission in U band. For simplicity, and following the arguments presented earlier, we will assume the isotropic distribution of electron pitch angles, and will use corresponding angle-averaged formulae for their synchrotron emission.

For a single electron, the peak frequency of its synchrotron emission is (Ginzburg & Syrovatskii Reference Ginzburg and Syrovatskii1965; Rybicki & Lightman Reference Rybicki and Lightman1979)

(12) $$\begin{equation} \nu _s \approx 1.2\times 10^6 B \gamma ^2 \ \ \mbox{Hz,} \end{equation}$$

where γ = Es/mc 2 is the Lorentz factor, Es is the electron energy and B is the magnetic field strength, whereas the characteristic timescale of its energy loss is (Ginzburg & Syrovatskii Reference Ginzburg and Syrovatskii1965)

(13) $$\begin{equation} \tau _s \approx 5\times 10^8 B^{-2} \gamma ^{-1} \ \ \mbox{s.} \end{equation}$$

By combining Equations (12) and (13), for the effective frequency of U band ν s = 8 × 1014 Hz, we may get

(14) $$\begin{equation} \gamma \approx 700 \left(\frac{\tau _s}{0.38\ \mbox{s}}\right)^{1/3} \end{equation}$$

and

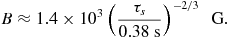
(15) $$\begin{equation} B \approx 1.4\times 10^3\left(\frac{\tau _s}{0.38\ \mbox{s}}\right)^{-2/3} \ \ \mbox{G.} \end{equation}$$

For the average fading time of spikes (see Table 1 and Section 3.1) τ s = 0.38 s, from Equations (14) and (15), we get γ ≈ 700, which corresponds to the electron energy Es = γmc 2 ≈ 360 MeV and B ≈ 1.4 × 103 G. The latter value is in good agreement with the magnetic field strength derived from observations of UV Ceti flares (Mullan et al. Reference Mullan, Mathioudakis, Bloomfield and Christian2006; Zaitsev & Stepanov Reference Zaitsev and Stepanov2008).

The number of ultra-relativistic electrons N responsible for the synchrotron emission of the spike burst may then be estimated as

(16) $$\begin{equation} N \approx \frac{W}{L}\mbox{,} \end{equation}$$

where W is the observed luminosity in U band and the luminosity of a single electron is (Ginzburg & Syrovatskii Reference Ginzburg and Syrovatskii1965)

(17) $$\begin{equation} L \approx 1.6\times 10^{-15} B^2 \gamma ^2 \ \ \mbox{erg~s$^{-1}$.} \end{equation}$$

Using the average luminosity of spikes W = 4.6 × 1027 erg s−1 (see Table 1), B = 1400 G and γ = 700, we get for the number of emitting particles N = 3 × 1030.

The scatter of actual spikes’ fading times from 0.11 to 0.7 s (excluding two longer ones, see Table 1), as well as their luminosities, gives the ranges of γ = 460–860, B = 900–2300 G, Es = 235–440 MeV and N = 4 × 1029–8 × 1030.

4.4 The spectrum of accelerated electrons

Now, we may estimate the slope δ of electron energy distribution which is necessary to have $N \approx 4\times 10^{29}\text{&#x2013;}8\times 10^{30}$ particles accelerated up to energies exceeding Es ≈ 440 MeV to generate observed spike bursts.

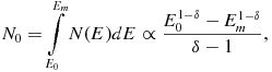
For simplicity, we may assume that the accelerated electrons follow the same power law, dN = N(E)dEE −δ dE, in the wide range of energies from tens of keV up to hundreds of MeVs, which is consistent with observations of solar (see, for example, Ramaty & Mandzhavidze Reference Ramaty, Mandzhavidze, Ryan and Vestrand1994; Kanbach et al. Reference Kanbach1993; Lin Reference Lin2011) and stellar flares (Smith et al. Reference Smith, Güdel and Audard2005).

The lower energy cutoff E 0 for different solar flares have been found to be 10–50 keV (Sui, Holman, & Dennis Reference Sui, Holman and Dennis2007; Kontar, Dickson, & Kašparová Reference Kontar, Dickson and Kašparová2008; Caspi & Lin Reference Caspi and Lin2010). For the analysis of synchronous radio and X-ray observations of flaring stars, the value of 10 keV has been used (Smith et al. Reference Smith, Güdel and Audard2005). The maximal energy Em of accelerated electrons may be as high as 0.5–1 GeV, as both observations of solar flares (Ramaty & Mandzhavidze Reference Ramaty, Mandzhavidze, Ryan and Vestrand1994; Kanbach et al. Reference Kanbach1993; Lin Reference Lin2011) and theoretical models (Craig & Litvinenko Reference Craig and Litvinenko2002; Litvinenko Reference Litvinenko2006; Yan et al. Reference Yan, Lazarian and Petrosian2008) suggest.

Then, the total number of accelerated particles is

(18) $$\begin{equation} N_0 = \int \limits _{E_0}^{E_m}N(E)dE \propto \frac{E_0^{1-\delta }-E_{m}^{1-\delta }}{\delta -1} \mbox{,} \end{equation}$$

and the mean energy of accelerated particle is

(19) $$\begin{equation} \left<E\right> = \frac{1}{N_0} \int \limits _{E_0}^{E_m} E N(E) dE = \frac{\delta -1}{\delta -2} \frac{E_0^{2-\delta }-E_{m}^{2-\delta }}{E_0^{1-\delta }-E_{m}^{1-\delta }} \mbox{.} \end{equation}$$

All the particles with energies exceeding Es sooner or later contribute to U band emission during the spike burst (as for the higher energy electrons cooling time is shorter, according to Equation (13)); therefore. the number of electrons responsible for the synchrotron emission of the spike burst is

(20) $$\begin{equation} N = \int \limits _{E_s}^{E_m}N(E)dE = N_0 \frac{E_s^{1-\delta }-E_{m}^{1-\delta }}{E_0^{1-\delta }-E_{m}^{1-\delta }} \mbox{.} \end{equation}$$

The number of accelerated electrons may also be written as

(21) $$\begin{equation} N_0 = k n_t V \mbox{,} \end{equation}$$

where k is the fraction of thermal electrons with density nt being accelerated during the magnetic reconnection in the filament zone with characteristic size l and volume V = πl 3/6 (assuming spherical shape). As an upper estimate of l, we will use the minimal scale of inhomogeneities in solar (or stellar) corona of 108–109 cm (Shibata & Yokoyama Reference Shibata and Yokoyama2002; Meyer et al. Reference Meyer, Mackay, van Ballegooijen and Parnell2013). The efficiency of thermal particles acceleration k in solar flares may reach 10–100% (see, for example, Lin Reference Lin2011). On the other hand, for flares on UV Ceti-type stars, it is not determined yet, and we will consider below the interval k = 10−7 − 1. Finally, for the thermal density nt on UV Ceti, we will assume the interval from 1010 cm−3 in a quiet state (Güdel & Nazé Reference Güdel and Nazé2009) to 1012 cm−3 during the flares (Mullan et al. Reference Mullan, Mathioudakis, Bloomfield and Christian2006).

As the energy for particle acceleration is originating from the magnetic field, we may write the (probably over-conservative) energy budget condition as

(22) $$\begin{equation} \frac{\left<E\right> N_0}{V} = \left<E\right> n_t k < \frac{B^2}{8\pi } \mbox{.} \end{equation}$$

Then, we may solve Equations (19)–(22) for possible values of δ on k allowed for the aforementioned set of parameters: E 0 = 10–50 keV, Em = 0.5–1 GeV, N = 4 × 1029–8 × 1030, nt = 1010–1012 cm−3 and l = 108–109 cm. The result is shown as a filled region in Figure 8 bounded by the lines with parameters marked there. One can readily see that even for the lowest fraction of accelerated electrons k = 10−7, there are always parameters of coronal plasma that may explain the generation of observed spike bursts, if the electron spectral slope is steeper than δ = 1.7. On the other hand, to have spectral slope flatter than δ = 2 and δ = 3, one have to accelerate more than 10−4% and 1% thermal particles, correspondingly. The former case is valid for any combination of E 0, l and N, whereas the latter is just for some subset of it. The upper limit on δ ≲ 3.4 is placed by the energy density condition of Equation (22).

Figure 8. Allowed power law slopes δ of electron distribution and fractions k of thermal electrons being accelerated, necessary to generate the observed spike bursts for different parameter values.

It is clear that the observed spike bursts may be generated for any combination of possible parameters of the corona if one have 1 < δ < 3.4 and k > 10−7. The larger luminosities and/or smaller sizes of active regions correspond to the harder spectra with smaller slopes, to get the necessary amount of electrons with sufficiently large energies. Such values of δ differ from typical slopes of energy spectrum of electrons in solar flares, typically greater than 3 and reaching values of 4–6 (Aschwanden Reference Aschwanden2005). On the other hand, there are evidences for the detection of quite flat spectra of electrons with slopes of 2–3 in the flares of UV Ceti-type stars (Smith et al. Reference Smith, Güdel and Audard2005).

Therefore, we may conclude that the conditions for the synchrotron origin of the detected highly polarized spike bursts may naturally occur in the corona of UV Ceti, with no additional assumptions except for the contemporary views on coronal activity of the Sun and flaring stars.

5 CONCLUSIONS

In our observations of a giant flare of UV Ceti on 2012 December 28, we discovered 14 spike bursts near its maximum, and clearly detected their linear polarization, in which intrinsic value exceeds 35–40%. These events in such numbers, and the polarization of the flare emission in general, have never been seen before from any UV Ceti-type star. We argue that their short durations, sufficiently high intensities and comparable scales of rise and fading phases, and most importantly the polarization, suggest that these events may only be caused by the synchrotron emission of ultra-relativistic electrons moving in the magnetic fields of the corona. As we demonstrated in Section 4, the UV Ceti corona may indeed possess the conditions – densities and magnetic field strengths – necessary to accelerate significant amount of particles up to the energies of hundreds of MeV, producing the emission in U band with the durations about fractions of a second. Therefore, our result is the first ever evidence for the generation of ultra-relativistic electrons with such energies in the coronae of UV Ceti-type stars.

As a side note, let us also mention that the presence of very energetic particles in flares of UV Ceti-type stars may have significant impact on the planets orbiting them. Indeed, the fraction of such particles may be ejected away from the star and may significantly worsen the conditions for the appearance and development of life on the planets formally inside the habitable zones around the red dwarfs (Kasting, Whitmire, & Reynolds Reference Kasting, Whitmire and Reynolds1993; Tarter et al. Reference Tarter2007). It is important as such stars are easier targets for exoplanet detection, as the recent observations suggest (Guinan et al. Reference Guinan, Engle, Kullberg, Watson and Michener2014; Gillon et al. Reference Gillon2014).

ACKNOWLEDGEMENTS

The work has been partially supported by RFBR Grant No. 15-02-0828 and Program No. 7 of Russian Academy of Sciences. Observations were partially carried out according to the Russian Government Program of Competitive Growth of Kazan Federal University. The theoretical analysis of the possible influence of red dwarfs activity to habitable planets was performed under the financial support of the grant of Russian Science Foundation No. 14-50-00043.

Footnotes

1 Even shorter radio spikes, also quite common phenomena in solar and stellar flares (Fleishman & Mel’nikov Reference Fleishman and Mel’nikov1998; Osten & Bastian Reference Osten and Bastian2006), are of coherent nature.

References

REFERENCES

Alekseev, I. Y., et al. 1994, A&A, 288, 502 1994A&A...288..502A Google Scholar
Angel, J. R. P. 1969, ApJ, 158, 219 10.1086/150185 1969ApJ...158..219A Google Scholar
Aschwanden, M. J. 2002, SSRv, 101, 1 10.1023/A:1019712124366 2002SSRv..101....1A Google Scholar
Aschwanden, M. J. 2005, Physics of the Solar Corona. An Introduction with Problems and Solutions (2nd edn.; Chichester: Springer & Praxis Publishing Ltd.)Google Scholar
Aschwanden, M. J., Schwartz, R. A., & Alt, D. M. 1995, ApJ, 447, 923 10.1086/175930 1995ApJ...447..923A Google Scholar
Bastian, T. S. 1990, SoPh, 130, 265 10.1007/BF00156794 1990SoPh..130..265B Google Scholar
Benz, A. O., & Güdel, M. 2010, ARA&A, 48, 241 10.1146/annurev-astro-082708-101757 2010ARA&A..48..241B Google Scholar
Beskin, G. M., Gershberg, R. E., Neizvestnyi, S. I., Plakhotnichenko, V. L., Pustil’Nik, L. A., & Shvartsman, V. F. 1988b, BCrAO, 79, 67 1988BCrAO..79...67B Google Scholar
Beskin, G. M., et al. 1988a, SvAL, 14, 65 1988SvAL...14...65B Google Scholar
Bespalov, P. A., Zaitsev, V. V., & Stepanov, A. V. 1991, ApJ, 374, 369 10.1086/170127 1991ApJ...374..369B CrossRefGoogle Scholar
Bonometto, S., & Saggion, A. 1973, A&A, 23, 9 1973A&A....23....9B Google Scholar
Brown, J. C. 1972, SoPh, 26, 441 10.1007/BF00165286 1972SoPh...26..441B Google Scholar
Brown, J. C., & McLean, I. S. 1977, A&A, 57, 141 1977A&A....57..141B Google Scholar
Caspi, A., & Lin, R. P. 2010, ApJ, 725, L161 10.1088/2041-8205/725/2/L161 2010ApJ...725L.161C Google Scholar
Cassak, P. A., Mullan, D. J., & Shay, M. A. 2008, ApJ, 676, L69 10.1086/587055 2008ApJ...676L..69C Google Scholar
Che, H., Drake, J. F., & Swisdak, M. 2011, Natur, 474, 184 10.1038/nature10091 2011Natur.474..184C Google Scholar
Cheng, J. X., Qiu, J., Ding, M. D., & Wang, H. 2012, A&A, 547, A73 10.1051/0004-6361/201118608 2012A&A...547A..73C Google Scholar
Craig, I. J. D., & Litvinenko, Y. E. 2002, ApJ, 570, 387 10.1086/339578 2002ApJ...570..387C Google Scholar
Dalla, S., & Browning, P. K. 2005, A&A, 436, 1103 10.1051/0004-6361:20042589 2005A&A...436.1103D Google Scholar
Debur, V., Arkhipova, T., Beskin, G., Pakhomov, M., Plokhotnichenko V., Smirnova, M., & Solin, A. 2003, NIMPA, 513, 127 10.1016/j.nima.2003.08.016 2003NIMPA.513..127D Google Scholar
Dolan, J. F. 1967, SSRv, 6, 579 10.1007/BF00168792 1967SSRv....6..579D Google Scholar
Drake, J. F., Swisdak, M., Che, H., & Shay, M. A. 2006, Natur, 443, 553 10.1038/nature05116 2006Natur.443..553D Google Scholar
Dulk, G. A. 1985, ARA&A, 23, 169 10.1146/annurev.aa.23.090185.001125 1985ARA&A..23..169D Google Scholar
Eason, E. L. E., Giampapa, M. S., Radick, R. R., Worden, S. P., & Hege, E. K. 1992, AJ, 104, 1161 10.1086/116305 1992AJ....104.1161E Google Scholar
Emslie, A. G., Bradsher, H. L., & McConnell, M. L. 2008, ApJ, 674, 570 10.1086/524983 2008ApJ...674..570E CrossRefGoogle Scholar
Eritsian, M. A. 1978, SoByu, 50, 40 1978SoByu..50...40E Google Scholar
Fleishman, G. D., & Mel’nikov, V. F. 1998, PhyU, 41, 1157 10.1070/PU1998v041n12ABEH000510 1998PhyU...41.1157F Google Scholar
Gershberg, R. E. 2015, Solar-Type Activity in Main-Sequence Stars (Simferopol: Antikva)Google Scholar
Gillon, M., et al. 2014, A&A, 563, A21 10.1051/0004-6361/201322362 2014A&A...563A..21G Google Scholar
Ginzburg, V. L., & Syrovatskii, S. I. 1965, ARA&A, 3, 297 10.1146/annurev.aa.03.090165.001501 1965ARA&A...3..297G Google Scholar
Gordon, I. M. 1954, DoSSR, 47, 621 Google Scholar
Gordovskyy, M., Browning, P. K., & Vekstein, G. E. 2010, A&A, 519, A21 10.1051/0004-6361/200913569 2010A&A...519A..21G Google Scholar
Güdel, M. 2002, ARA&A, 40, 217 10.1146/annurev.astro.40.060401.093806 2002ARA&A..40..217G Google Scholar
Güdel, M., Benz, A. O., Schmitt, J. H. M. M., & Skinner, S. L. 1996, ApJ, 471, 1002 10.1086/178027 1996ApJ...471.1002G Google Scholar
Güdel, M., & Nazé, Y. 2009, A&ARv, 17, 309 10.1007/s00159-009-0022-4 2009A&ARv..17..309G Google Scholar
Guinan, E. F., Engle, S. G., Kullberg, E., Watson, W., & Michener, S. 2014, in AAS Meeting Abstracts Vol. 224 (Washington, D.C.: American Astronomical Society), 102.07Google Scholar
Holman, G. D., Sui, L., Schwartz, R. A., & Emslie, A. G. 2003, ApJ, 595, L97 10.1086/378488 2003ApJ...595L..97H Google Scholar
Kanbach, G., et al. 1993, A&AS, 97, 349 1993A&AS...97..349K Google Scholar
Karpen, J. T., et al. 1977, ApJ, 216, 479 10.1086/155489 1977ApJ...216..479K Google Scholar
Kasting, J. F., Whitmire, D. P., & Reynolds, R. T. 1993, Icar, 101, 108 10.1006/icar.1993.1010 1993Icar..101..108K Google Scholar
Katsova, M. M., & Livshits, M. A. 1986, in Flare Stars and Related Objects, ed. Mirzoyan, L. V. (Yerevan: Armenian Academy of Sciences), 183 Google Scholar
Katsova, M. M., & Livshits, M. A. 2001, A&AT, 20, 531 10.1080/10556790108213594 2001A&AT...20..531K Google Scholar
Kiplinger, A. L., Dennis, B. R., Frost, K. J., Orwig, L. E., & Emslie A. G. 1983, ApJ, 265, L99 10.1086/183966 1983ApJ...265L..99K Google Scholar
Klimchuk, J. A. 2015, PTRSL, 373, 20140256 10.1098/rsta.2014.0256 2015RSPTA.37340256K Google Scholar
Kontar, E. P., Dickson, E., & Kašparová, J. 2008, SoPh, 252, 139 10.1007/s11207-008-9249-x 2008SoPh..252..139K Google Scholar
Krawczynski, H. 2012, ApJ, 744, 30 10.1088/0004-637X/744/1/30 2012ApJ...744...30K Google Scholar
Lin, R. P. 2011, SSRv, 159, 421 10.1007/s11214-011-9801-0 2011SSRv..159..421L Google Scholar
Lin, R. P., & Hudson, H. S. 1976, SoPh, 50, 153 10.1007/BF00206199 1976SoPh...50..153L Google Scholar
Litvinenko, Y. E. 2006, A&A, 452, 1069 10.1051/0004-6361:20054324 2006A&A...452.1069L Google Scholar
López Fuentes, M. C., Démoulin, P., & Klimchuk, J. A. 2008, ApJ, 673, 586 10.1086/523928 2008ApJ...673..586L Google Scholar
Massi, M., Forbrich, J., Menten, K. M., Torricelli-Ciamponi, G., Neidhöfer, J., Leurini, S., & Bertoldi, F. 2006, A&A, 453, 959 10.1051/0004-6361:20053535 2006A&A...453..959M Google Scholar
Meyer, K. A., Mackay, D. H., van Ballegooijen, A. A., & Parnell, C. E. 2013, SoPh, 286, 357 10.1007/s11207-013-0272-1 2013SoPh..286..357M Google Scholar
Miller, J. A., et al. 1997, JGR, 1021997JGR...102.1463M Google Scholar
Minoshima, T., & Yokoyama, T. 2008, ApJ, 686, 701 10.1086/591268 2008ApJ...686..701M CrossRefGoogle Scholar
Mullan, D. J., Mathioudakis, M., Bloomfield, D. S., & Christian, D. J. 2006, ApJS, 164, 173 10.1086/502629 2006ApJS..164..173M Google Scholar
Osten, R. A., & Bastian, T. S. 2006, ApJ, 637, 1016 10.1086/498410 2006ApJ...637.1016O Google Scholar
Osten, R. A., et al. 2010, ApJ, 721, 785 10.1088/0004-637X/721/1/785 2010ApJ...721..785O Google Scholar
Plokhotnichenko, V. L., Beskin, G. M., de Bur, V. G., Karpov, S. V., Bad’in, D. A., Lyubetskaya, Z. V., Lyubetskij, A. P., & Pavlova, V. V. 2009a, AstBu, 64, 308 10.1134/S1990341309030109 2009AstBu..64..308P Google Scholar
Plokhotnichenko, V., Solin, A., & Tikhonov, A. 2009b, AstBu, 64, 198 Google Scholar
Priest, E., & Forbes, T. 2000, Magnetic ReconnectionCrossRefGoogle Scholar
Ramaty, R., & Mandzhavidze, N. 1994, AIP Conf. Ser., Vol. 294, High-Energy Solar Phenomena – A New Era of Spacecraft Measurements, eds. Ryan, J. & Vestrand, W. T. (New York: AIP Publishing), 2610.1063/1.45196 Google Scholar
Robinson, R. D., Carpenter, K. G., Percival, J. W., & Bookbinder, J. A. 1995, ApJ, 451, 795 10.1086/176266 1995ApJ...451..795R Google Scholar
Rybicki, G. B., & Lightman, A. P. 1979, Radiative Processes in Astrophysics (New York: Wiley-Interscience)Google Scholar
Salter, D. M., Kóspál, Á., Getman, K. V., Hogerheijde M. R., van Kempen, T. A., Carpenter, J. M., Blake, G. A., & Wilner D. 2010, A&A, 521, A32 10.1051/0004-6361/201015197 2010A&A...521A..32S Google Scholar
Schmitt, J. H. M. M., Kanbach, G., Rau, A., & Steinle, H. 2016, A&A, 589, A48 10.1051/0004-6361/201628199 2016A&A...589A..48S Google Scholar
Shibata, K., & Yokoyama, T. 2002, ApJ, 577, 422 10.1086/342141 2002ApJ...577..422S Google Scholar
Shurkliff, W. A. 1962, Polarized Light (Cambridge, MA: Harvard University Press)Google Scholar
Shvartsman, V. F., Beskin, G. M., Gershberg, R. E., Plakhotnichenko, V. L., & Pustilnik, L. A. 1988, SvAL, 14, 97 1988SvAL...14...97S Google Scholar
Smith, K., Güdel, M., & Audard, M. 2005, A&A, 436, 241 10.1051/0004-6361:20042054 2005A&A...436..241S Google Scholar
Snik, F., & Keller, C. U. 2013, Astronomical Polarimetry: Polarized Views of Stars and Planets (Dordrecht: Springer Science + Business Media), 175 10.1007/978-94-007-5618-2_4 Google Scholar
Stepanov, A. V., Yokoyama, T., Shibasaki, K., & Melnikov, V. F. 2007, A&A, 465, 613 10.1051/0004-6361:20066573 2007A&A...465..613S Google Scholar
Sui, L., Holman, G. D., & Dennis, B. R. 2007, ApJ, 670, 862 10.1086/522198 2007ApJ...670..862S Google Scholar
Tarter, J. C., et al. 2007, AsBio, 7, 30 10.1089/ast.2006.0124 2007AsBio...7...30T Google Scholar
Tovmassian, H. M., Recillas, E., Cardona, O., & Zalinian, V. P. 1997, RMxAA, 33, 107 1997RMxAA..33..107T Google Scholar
Trakhtengerts, V. Y., & Rycroft, M. J. 2008, Whistler and Alfvén Mode Cyclotron Masers in Space (Cambridge: Cambridge University Press)Google Scholar
Tuominen, I., Huovelin, J., Efimov, I. S., Shakhovskoi, N. M., & Shcherbakov, A. G. 1989, SoPh, 121, 419 10.1007/BF00161710 1989SoPh..121..419T Google Scholar
Westfold, K. C. 1959, ApJ, 130, 241 10.1086/146713 1959ApJ...130..241W Google Scholar
Yan, H., Lazarian, A., & Petrosian, V. 2008, ApJ, 684, 1461 10.1086/589962 2008ApJ...684.1461Y Google Scholar
Zaitsev, V. V., & Stepanov, A. V. 2008, PhyU, 51, 1123 10.1070/PU2008v051n11ABEH006657 2008PhyU...51.1123Z Google Scholar
Zhilyaev, B. E., & Verlyuk, I. A. 1995, in IAU Colloq. 151: Flares and Flashes, Vol. 454, Lecture Notes in Physics, eds. Greiner, J., Duerbeck, H. W., & Gershberg, R. E. (Berlin: Springer Verlag), 8210.1007/3-540-60057-4_241 Google Scholar
Zhilyaev, B. E., et al. 1998, A&A, 334, 931 1998A&A...334..931Z Google Scholar
Figure 0

Figure 1. Light curve of UV Ceti flare in U band with 0.1-s temporal resolution, obtained with the Russian 6-m telescope on 2008 December 28. The inlet shows the region marked with dashed lines in the main plot. In turn, the region marked with vertical dashed lines in the inlet, containing all the spike bursts, is shown in Figure 3.

Figure 1

Figure 2. The behaviour of normalized Stokes Q/I parameter during the pre-flare and flare main part intervals. Levels of σ and 3σ, estimated assuming Poissonian statistics, are shown. Vertical lines mark the interval where spike bursts are detected. Some of them show significant polarization, whereas all other intervals of the light curve (upper panel) do not.

Figure 2

Figure 3. The fragment of UV Ceti flare light curve containing 14 spike bursts, whose shapes are approximated with split Gaussian profiles (upper panel), approximated with the smooth spline for the background flare and split Gaussians for the spikes. Lower panel shows the normalized residuals, normally distributed everywhere except for the 10-s region around complex peak No. 12.

Figure 3

Table 1. Parameters of the light curve spikes. The spikes have been fitted with split Gaussian profiles. Here, t0 – peak time, A – peak amplitude, FWHM – peak full width at half -maximum, S1 and S2 – half-widths at half-maximum of the rising and fading fronts, respectively, L – peak luminosity in U-band. Also, A0 and A90 represent the amplitudes of the split Gaussian profiles fitted to I0(t) and I90(t) intensities, correspondingly, and < Plow, int > is the mean intrinsic polarization of the spikes computed according to Equation (11).

Figure 4

Figure 4. Comparison of the spikes’ rise and fall times. Total durations of 12 events are less than 1 s; for six events rise and fall times are nearly equal, whereas for six others – the latters are 2–2.5 times greater. Durations of two spikes (Nos. 12 and 13) are 2–3 s – most probably, they consist of several overlapping events.

Figure 5

Figure 5. The region of UV Ceti flare near its maximum (see Figure 3) with 0.1-s resolution (upper panel) and the normalized Stokes Q/I parameter with the same resolution (middle panel). Red lines are approximations of spikes with all parameters except amplitudes fixed to values listed in Table 1. The lower panel is the same quantity rebinned to 0.5-s resolution and normalized to its Poissonian errors.

Figure 6

Figure 6. Independent fits of I0 and I90 polarized emission components of the region shown in Figure 5 with split Gaussians with all parameters except amplitudes fixed to values listed in Table 1.

Figure 7

Figure 7. Lower limits on the degree of mean intrinsic linear polarization of the spikes, computed according to Equation (11), versus the peak fluxes. Spikes with low significance polarization (less than 3σ) are in grey, whereas spikes with significant polarization (with significance levels 10−3–10−5) are in red.

Figure 8

Figure 8. Allowed power law slopes δ of electron distribution and fractions k of thermal electrons being accelerated, necessary to generate the observed spike bursts for different parameter values.