With globally increasing numbers of older people, social participation of older adults and the detrimental aspects of loneliness are receiving growing attention worldwide. Recent studies indicate that loneliness is associated with or predicts serious mental and physical health consequences such as suicidality, impaired cognition and dementia, coronary heart disease, diabetes, hypertension and metabolic syndrome.Reference Luanaigh and Lawlor1–Reference Wilson, Krueger, Arnold, Schneider, Kelly, Barnes, Tang and Bennet7 In an earlier community study among older adults we found that feelings of loneliness also predicted excess mortality,Reference Holwerda, Beekman, Deeg, Stek, van Tilburg and Visser8 and a few other studies recently published similar results with loneliness predicting functional decline and death.Reference Luo, Hawkley, Waite and Cacioppo9,Reference Perissinotto, Cenzer and Covinsky10 The mechanisms by which loneliness affects mental and physical health remains largely unclear but health behaviours, excess stress reactivity, inadequate and inefficient physiological repair and maintenance processes are thought to play an important role in how loneliness has an impact on health.Reference Hawkley and Cacioppo11 Similarly, depression is an established risk factor for excess mortalityReference Schoevers, Beckman, van Tilburg, Deeg, Jonker and Geerlings12 and the interplay of loneliness and depression should be examined in this context.
Loneliness has been classically defined as a subjectively experienced aversive emotional state that is related to the perception of unfulfilled intimate and social needs.Reference Peplau and Perlman13 Weiss suggested that there are two types of loneliness: social and emotional loneliness.Reference Weiss14 Social loneliness occurs when the amount and quality of relationships with others is smaller than one desires. It concerns the subjective experience of the quality of relationships. Emotional loneliness occurs where the perceived intimacy in relationships is not satisfactory. Emotional and social loneliness are also referred to as intimate and relational loneliness, respectively.Reference Cacioppo, Grippo, London, Goossens and Cacioppo15 Emotional and social loneliness are distinct from social isolation, which can be defined in terms of a quantifiable reflection of the social network size and frequency and paucity of contacts.Reference Steptoe, Shankar, Demakakos and Wardle16 Loneliness has been ascertained using a single self-report measure or by validated psychometric scales.Reference Luanaigh and Lawlor1 Earlier studies often did not study differences between social loneliness and emotional loneliness.Reference Ayalon and Shiovitz-Ezra2–Reference Perissinotto, Cenzer and Covinsky10 This distinction is important, as it may provide insight regarding the consequences of loneliness and may provide clues for possible interventions.
Previous research indicates that loneliness and depression are associated and often co-occur.Reference Luanaigh and Lawlor1 Whether co-occurrence attributes to a higher mortality risk remains unclear. Until now, associations between loneliness and mortality have been studied in naturalistic cohort studies with follow-up periods ranging from 5 to 10 years for depression and up to 10 years for loneliness.Reference Holwerda, Beekman, Deeg, Stek, van Tilburg and Visser8,Reference Holwerda, Schoevers, Dekker, Deeg, Jonker and Beekman17 Studies with a relatively long follow-up time are needed to study the longitudinal associations between exposure to loneliness, depression or the combined condition and eventual mortality rates. Also it may take time before the effects of loneliness and depression are revealed. However, research on long-term effects is scarce.Reference Rapp, Gerstorf, Helmchen and Smith18 Other studies have shown different health risk profiles for loneliness and depression in men and women. Some studies show that men who are lonely and depressed have higher excess mortality rates than women.Reference Holwerda, Beekman, Deeg, Stek, van Tilburg and Visser8,Reference Schoevers, Beckman, van Tilburg, Deeg, Jonker and Geerlings12,Reference Holwerda, Schoevers, Dekker, Deeg, Jonker and Beekman17 Another study has shown loneliness to be associated with an increased risk of incident coronary heart disease in women and a review study showed depression to be more prevalent in women with coronary heart disease.Reference Thurston and Kubzansky3,Reference Naqvi, Naqvi, Merz and Bairey19 Also, among women without a history of cardiovascular disease, depression was shown to be an independent predictor of early death.Reference Schoevers, Beckman, van Tilburg, Deeg, Jonker and Geerlings12 The mechanisms responsible for differences between men and women remain unclear but biological, psychosocial differences and differences in coping style between men and women possibly play a role.Reference Schoevers, Beckman, van Tilburg, Deeg, Jonker and Geerlings12 Therefore, considering gender differences is important in studying the outcomes of loneliness and depression. Earlier studies have also shown a dose–response relationship between depression severity and excess mortality.Reference Geerlings, Beekman, Deeg, Twisk and Van Tilburg20 Therefore, it is important to also consider the depression severity level in mortality studies on loneliness and depression. The main objective of our study was to establish whether loneliness at baseline was associated with an increased chance of death after 19 years of follow-up and whether depression is further increasing this risk, possibly resulting in a toxic combination between loneliness and depression. We also assessed differences between different aspects of loneliness, between different levels of depression severity and between men and women.
Method
Participants
The Longitudinal Aging Study Amsterdam (LASA) is a prospective study on physical, emotional, cognitive and social functioning in the Dutch general population. The LASA cohort is based on a sample born between 1908 and 1937, initially aged 55–85, based in three representative geographic regions in The Netherlands. The sample was recruited from 11 municipal registries in 1992 for the Living Arrangements and Social Networks of Older Adults (LSN) programme with an over-sampling of older people and men. The initial response rate was 62% (n = 3805). On average 11 months after the LSN interview the 3677 surviving participants were approached for the first LASA cycle (1992–1993). Of the survivors 3107 participated yielding a response rate for the first LASA cycle of 85%. Examinations consisted of an interview that was performed at home. Every 3 years the participants were re-examined. Details on data collection procedures have been described elsewhere.Reference Huisman, Poppelaars, Van der Horst, Beekaman, Brug and Van Tilburg21 Of all participants of the interview 2878 were included in this study as 229 participants had no data on one or more of the baseline variables. Informed consent was obtained from all participants and the study was approved by the Medical Ethics Committee of the VU University Medical Center, Amsterdam. The Longitudinal Aging Study Amsterdam (LASA) was initiated by the Dutch Ministry of Welfare, Health and Culture (currently Ministry of Health, Welfare and Sports).
Measures
To examine the association between loneliness, depression and risk for all-cause mortality we used data from the municipal registry to determine the mortality status of participants. The reference date of mortality was 1 of September 2011. The survival time counted was 6916 days. Data are processed on an anonymous basis. Death certificates, supplied by the doctor, are sent to the medical official of Statistics Netherlands, which processes the data.
To assess loneliness we used the De Jong Gierveld loneliness scale, a validated 11-item scale which can be applied as a unidimensional scale.Reference De Jong Gierveld and Kamphuis22 The scale items were developed using Weiss' distinction between social and emotional loneliness with emotional loneliness stemming from the absence of an intimate relationship or a close emotional attachment and social loneliness stemming from the absence of a broader group of contacts or an engaging social network.Reference Weiss14 The number of item responses indicative for loneliness is counted (range 0–11). The cut-off score for the loneliness scale is ⩾3. Individuals with scores ⩾2 on six emotional loneliness items are considered emotionally lonely and those with scores ⩾2 on five social loneliness items are considered socially lonely.Reference Van Tilburg and De Jong Gierveld23 The correlation between emotional and social loneliness is 0.29 (Spearman's rho) indicating that it is useful to make the distinction between emotional and social loneliness when measuring loneliness.
Depression was measured using the Centre for Epidemiologic Studies Depression Scale (CES-D), a 20-item scale developed to measure depressive symptoms in the community.Reference Radloff24 The CES-D was originally designed for epidemiological survey in the general population. Studies have demonstrated that it has good psychometric properties in different populations and have shown its usefulness in physically ill and older populations. The sensitivity for major depressive disorder is 100% and the specificity 88%.Reference Beekman, Deeg, Van Limbeek, Braam, De Vries and Van Tilburg25 The CES-D (range 0–60) has a standard cut-off of ⩾16 for depressive symptoms and ⩾24 for a severe level of depressive symptoms or diagnosis of a major depressive episode.Reference Chabrol, Montovany, Chouicha and Duconge26,Reference Lesman-Leegte, Van Veldhuisen, Hillege, Moser, Sanderman and Jaarsma27
The personal network was defined as the people with whom participants are in touch regularly and who are important to them. For the personal network, relationships were identified by name with a domain-specific approach with the following domains: household members, children and their partners, other relatives, friends, neighbours, colleagues from work (including voluntary work) or school, members of organisations. The number of people the participant had frequent contact with and who were important to the participant was counted. The definitions of frequent and important were left to the respondent. For all the respondents the partner, if there was one, was included in the network. Only individuals above the age of 18 were included. The age of 18 was chosen to exclude young children who are often not part of the potential support for a participant. The number of people (with a minimum of 0 and a maximum of 80) was taken as the size of the total network.Reference Van Tilburg28 If for personal network no data were available in the first LASA cycle, data from the LSN study were imputed.
Demographic variables and chronic diseases were assessed and are detailed in Table 1 (see online Table DS1 for a version that includes a larger number of variables). Chronic diseases were assessed by self-report, which has been shown as fairly accurate.Reference Kriegsman, Penninx and Van Eijk29
Table 1 Characteristics of participants (see online Table DS1 for a version of this table covering a larger number of variables)

| Characteristic | Total | Men | Women | P a |
|---|---|---|---|---|
| Gender, n (%) | 2878 (100) | 1397 (48.5) | 1481 (51.5) | |
| Age, years: mean | 70.35 | 70.49 | 70.23 | |
| Number of people in personal network, mean | 13.82 | 13.73 | 13.92 | |
| Living together with partner, n (%) | 1877 (65.2) | 1103 (79.0) | 774 (52.3) | 0.001 |
| Living together with other, n (%) | 429 (14.9) | 241 (17.3) | 208 (14.0) | 0.19 |
| Lonely, n (%) | 873 (30.3) | 397 (28.4) | 476 (32.1) | 0.03 |
| Emotional loneliness, n (%) | 799 (27.8) | 317 (22.7) | 482 (32.5) | 0.001 |
| Social loneliness, n (%) | 664 (23.1) | 353 (25.3) | 311 (21.0) | 0.007 |
| Depressive disorder, n (%) | 390 (13.6) | 139 (9.9) | 251 (16.9) | 0.001 |
| Severe depressive disorder, n (%) | 129 (4.5) | 41 (2.9) | 88 (5.9) | 0.001 |
| Pulmonary disease, n (%) | 329 (11.4) | 182 (13.0) | 147 (9.9) | 0.009 |
| Cardiovascular disease, n (%) | 568 (19.7) | 345 (24.7) | 223 (15.1) | 0.001 |
| Peripheral artery disease, n (%) | 276 (9.6) | 138 (9.9) | 138 (9.3) | 0.61 |
| Diabetes, n (%) | 219 (7.6) | 102 (7.3) | 117 (7.9) | 0.55 |
| Cerebrovascular disease, n (%) | 145 (5.0) | 90 (6.4) | 55 (3.7) | 0.001 |
| Osteoarthritis, n (%) | 938 (32.6) | 319 (22.8) | 619 (41.8) | 0.001 |
| Rheumatoid arthritis, n (%) | 194 (6.7) | 61 (4.4) | 133 (9.0) | 0.001 |
| Cancer, n (%) | 261 (9.1) | 92 (6.6) | 169 (11.4) | 0.001 |
| Other diseases, n (%)b | 947 (32.9) | 395 (28.3) | 552 (37.3) | 0.001 |
| Number of chronic diseases,c mean | 1.38 | 1.27 | 1.49 | |
| Mini-Mental State Examination score, mean | 27.11 | 27.15 | 27.1 | |
| Functional limitations, n (%) | ||||
| No difficulties with tasks | 1734 (60.3) | 936 (67.0) | 898 (60.6) | 0.001 |
| Tasks with difficulty | 547 (19.0) | 253 (18.1) | 294 (19.9) | |
| Tasks with help | 324 (11.3) | 128 (9.2) | 196 (13.2) | |
| Tasks not possible | 273 (9.5) | 80 (5.7) | 193 (13.0) | |
a. Differences between men and women.
b. Other diseases include hypertension, kidney and thyroid disease and epilepsy.
c. Chronic diseases: pulmonary diseases (including asthma, chronically bronchitis and pulmonary emphysema), heart disease (including cardiac arrhythmias, congestive heart failure, angina pectoris and narrowing of coronary arteries or myocardial infarction), peripheral artery disease, osteoarthritis, rheumatoid arthritis, cancer.
General cognitive functioning was measured by the Mini-Mental State Examination (MMSE).Reference Folstein, Folstein and McHugh30 Functional limitations were assessed by three questions about physical functioning (activities) derived from the Organisation for Economic Co-operation and Development (OECD) questionnaire, a disability assessment instrument in the general population.Reference McWhinnie31 Participants could specify that they have no difficulties with physical functioning, could do the activities with difficulty, with help or were not able to perform these activities at all.
Analyses
In describing the study population descriptive statistics were used; χ2 statistics were used to describe differences between men and women. We calculated mortality hazard ratios (HRs) with 95% confidence intervals using Cox proportional hazard regression models for the different aspects of loneliness, different depression severity levels and all other potential risk factors associated with excess mortality. Kaplan–Meier analyses were performed for the different aspects of loneliness and different depression severity levels. In multivariate analysis we first performed Cox proportional hazard regression analyses for the different aspects of loneliness and time to death adjusting for depression and the selected covariates (demographical factors (age, gender, marital status and educational level), network status, chronic diseases, global cognitive functioning and functional limitations). Second, we performed Cox proportional hazard regression analyses for the different depression severity levels adjusting for loneliness and the previously mentioned selected covariates. We performed subgroup analysis if an interaction was found between gender and the different aspects of loneliness, between gender and the different depression severity levels and between the different aspects of loneliness and the different depression severity levels. Our specified threshold of significance was P<0.05. For interactions the threshold of significance was P<0.10.
Results
Characteristics of the cohort
Characteristics of the cohort are reported in Table 1 (see online Table DS1 for a more detailed version); loneliness and emotional loneliness were more common in women whereas social loneliness was more prevalent in men. More women were (severely) depressed. Men had a higher prevalence of cardiovascular, cerebrovascular and pulmonary disease whereas women reported more osteoarthritis, rheumatoid arthritis, cancer and functional limitations. For peripheral artery disease and diabetes there were no differences between men and women.
Loneliness, depression and gender
When calculating interactions we found a three-way interaction (a two-way interaction that varies across levels of a third variable) between loneliness, depression and gender (P = 0.001), between emotional loneliness, depression and gender (P = 0.001) and between social loneliness, depression and gender (P = 0.01). Adding other variables to the model we found a three-way interaction between emotional loneliness, depression and gender (P = 0.08). After adding these variables no three-way interaction was found between loneliness, depression and gender (P = 0.12) and between social loneliness, depression and gender (P = 0.37).
Bivariate analyses
The overall mortality in our study was 63.5% (n = 1828) at 19 years of follow-up (70.9% (n = 990) men and 56.6% (n = 838) women). We found in bivariate analysis that loneliness, emotional loneliness, social loneliness and (severe) depression were all associated with excess mortality (online Table DS2). To illustrate the results we performed Kaplan–Meier analysis for the different aspects of loneliness and different depression severity levels. Online Fig. DS1 shows the Kaplan–Meier analysis for severe depression in men and women. Data for the different aspects of loneliness are not shown but showed similar results except for the gender differences, which were less prominent than in severe depression.
Multivariate analyses
We performed Cox regression analyses for the different aspects of loneliness and the different depression severity levels. All-cause mortality hazard ratios for the different aspects of loneliness and the different depression severity levels are shown in Tables 2 and 3, respectively. We found in the final multivariate model that the different aspects of loneliness and different depression severity levels were no longer associated with excess mortality. However, in (severe) depression in men significance was only lost in the last step of analysis (shown in Table 3).
Table 2 Mortality hazard ratios for people with loneliness, emotional loneliness and social loneliness with adjustment for potential confounders in men and women separately

| Mortality hazard ratios (95% CI) | ||
|---|---|---|
| Men | Women | |
| Loneliness | ||
| Unadjusted ratio | 1.50 (1.31–1.72) | 1.49 (1.29–1.71) |
| Adjusted ratio | 1.13 (0.97–1.32) | 0.99 (0.85–1.16) |
| Emotional loneliness | ||
| Unadjusted ratio | 1.53 (1.32–1.76) | 1.61 (1.40–1.85) |
| Adjusted ratio | 1.04 (0.88–1.23) | 1.12 (0.95–1.31) |
| Social loneliness | ||
| Unadjusted ratio | 1.17 (1.02–1.35) | 1.33 (1.13–1.56) |
| Adjusted ratio | 1.05 (0.90–1.22) | 1.06 (0.90–1.26) |
a. Hazard ratios of 19 years mortality in participants with loneliness; adjustment for demographics, network size, depression, cardiovascular and cerebrovascular disease, other diseases, number of chronic diseases, cognitive functioning and functional limitations. Significant hazard ratios are in bold (P < 0.05).
Table 3 Mortality hazard ratios for people with depression and severe depression with stepwise adjustment for potential confounders in men and women separatelya

| Mortality hazard ratios (95% CI) | ||
|---|---|---|
| Men | Women | |
| Depression | ||
| Unadjusted ratio | 1.43 (1.17–1.74) | 1.44 (1.21–1.70) |
| Adjustment for: | ||
| Demographics | 1.52 (1.24–1.86) | 1.18 (1.00–1.41) |
| Network size | 1.50 (1.22–1.84) | 1.18 (0.99–1.40) |
| Loneliness | 1.45 (1.16–1.80) | 1.15 (0.96–1.39) |
| Cardiovascular and cerebrovascular disease | 1.36 (1.09–1.69) | 1.11 (0.92–1.34) |
| Other diseases | 1.29 (1.03–1.61) | 1.11 (0.92–1.34) |
| No chronic diseases | 1.29 (1.03–1.61) | 1.11 (0.92–1.34) |
| Mini-Mental State Examination | 1.25 (1.00–1.56)b | 1.08 (0.89–1.30) |
| Functional limitations | 1.19 (0.95–1.49) | 0.98 (0.81–1.19) |
| Severe depression | ||
| Unadjusted ratio | 1.90 (1.34–2.69) | 1.43 (1.09–1.87) |
| Adjustment for: | ||
| Demographics | 1.81 (1.27–2.56) | 1.31 (1.00–1.71) |
| Network size | 1.77 (1.25–2.52) | 1.30 (0.99–1.70) |
| Loneliness | 1.68 (1.18–2.40) | 1.26 (0.94–1.67) |
| Cardiovascular and cerebrovascular disease | 1.65 (1.15–2.35) | 1.20 (0.90–1.59) |
| Other diseases | 1.55 (1.07–2.22) | 1.18 (0.89–1.57) |
| No chronic diseases | 1.55 (1.08–2.22) | 1.18 (0.89–1.58) |
| Mini-Mental State Examination | 1.53 (1.06–2.20)b | 1.13 (0.85–1.50) |
| Functional limitations | 1.40 (0.97–2.02) | 1.04 (0.78–1.39) |
a. Hazard ratios of 19 years mortality in participants with depression and severe depression; adjustment for demographics, network size, loneliness, cardiovascular and cerebrovascular disease, other diseases, number of chronic diseases, cognitive functioning and functional limitations. Significant hazard ratios are in bold (P < 0.05).
b. For men significance was only lost in the last step of analysis.
Subsequently we performed Cox proportional hazard analysis for depression and severe depression in the lonely, emotionally lonely and socially lonely subgroups. For depression we found no excess mortality in the subgroups with loneliness, emotional loneliness and social loneliness (data not shown). For severe depression we found excess mortality in men (but not in women) with both emotional and social loneliness. We found higher hazard ratios in participants who were severely depressed with social loneliness than with emotional loneliness. Results for severe depression are shown in Table 4.
Table 4 Associations between severe depression and mortality in men and women with and without loneliness, with successive adjustment for potential confounders

| Mortality hazard ratios (95% CI), P | ||
|---|---|---|
| Subgroup | Men | Women |
| Severe depression and loneliness | ||
| Unadjusted ratio | 1.60 (1.10–2.34) 0.01 | 1.08 (0.78–1.48) 0.66 |
| Adjustment for: | ||
| Demographics | 1.65 (1.13–2.41) 0.009 | 1.21 (087–1.67) 0.26 |
| Network size | 1.63 (1.11–2.38) 0.01 | 1.21 (0.87–1.67) 0.26 |
| Cardiovascular and cerebrovascular disease | 1.65 (1.11–2.42) 0.001 | 1.19 (0.86–1.68) 0.29 |
| Other diseases | 1.63 (1.10–2.43) 0.02 | 1.19 (0.85–1.65) 0.31 |
| No chronic diseases | 1.63 (1.09–2.42) 0.02 | 1.18 (0.85–1.64) 0.32 |
| Mini-Mental State Examination | 1.60 (1.08–2.39) 0.02 | 1.16(0.83–1.61) 0.39 |
| Functional limitations | 1.49 (1.00–2.22) 0.05 | 1.05 (0.76–1.48) 0.75 |
| Severe depression without loneliness | ||
| Unadjusted ratio | 1.09 (0.35–3.38) 0.89 | 1.66 (0.98–2.83) 0.06 |
| Adjusted ratio | 0.96 (0.30–3.11) 0.96 | 0.98 (0.56–1.71) 0.95 |
| Severe depression and emotional loneliness | ||
| Unadjusted ratio | 1.58 (1.08–2.32) 0.02 | 1.14 (0.83–1.55) 0.43 |
| Adjustment for: | ||
| Demographics | 1.78 (1.22–2.62) 0.003 | 1.16 (085–1.60) 0.34 |
| Network size | 1.76 (1.20–2.58) 0.004 | 1.16 (0.85–1.59) 0.35 |
| Cardiovascular and cerebrovascular disease | 1.80 (1.22–2.67) 0.003 | 1.15 (0.83–1.58) 0.40 |
| Other diseases | 1.68 (1.12–2.53) 0.001 | 1.14 (0.83–1.58) 0.41 |
| No chronic diseases | 1.68 (1.11–2.53) 0.01 | 1.14 (0.83–1.58) 0.41 |
| Mini-Mental State Examination | 1.63 (1.08–2.47) 0.02 | 1.11 (0.80–1.54) 0.52 |
| Functional limitations | 1.61 (1.06–2.43) 0.02 | 1.00 (0.72–1.40) 0.97 |
| Severe depression without emotional loneliness | ||
| Unadjusted ratio | 1.00 (0.32–3.10) 1.00 | 1.22(0.67–2.22) 0.52 |
| Adjusted ratio | 0.76 (0.24–2.44) 0.65 | 1.21(0.66–2.21) 0.55 |
| Severe depression and social loneliness | ||
| Unadjusted ratio | 2.36 (1.48–3.76) < 0.001 | 1.06 (0.69–1.61) 0.80 |
| Adjustment for: | ||
| Demographics | 2.01 (1.25–3.25) 0.004 | 1.12 (0.73–1.70) 0.61 |
| Network size | 1.98 (1.22–3.20) 0.005 | 1.14 (0.75–1.74) 0.53 |
| Cardiovascular and cerebrovascular disease | 2.11 (1.29–3.45) 0.003 | 1.11 (0.72–1.70) 0.63 |
| Other diseases | 2.47 (1.48–4.14) 0.001 | 1.11 (0.72–1.71) 0.63 |
| No chronic diseases | 2.43 (1.45–4.07) 0.001 | 1.08 (0.70–1.67) 0.72 |
| Mini-Mental State Examination | 2.38 (1.42–4.00) 0.001 | 1.08 (0.69–1.64) 0.78 |
| Functional limitations | 2.13 (1.27–3.59) 0.004 | 0.98 (0.63–1.52) 0.92 |
| Severe depression without social loneliness | ||
| Unadjusted ratio | 1.43 (0.85–2.44) 0.18 | 1.51 (1.13–2.30) 0.009 |
| Adjusted ratio | 1.15 (0.67–1.99) 0.62 | 1.05 (0.72–1.51) 0.81 |
a. Hazard ratios of 19 years mortality in participants. Significant hazard ratios are in bold (P < 0.05).
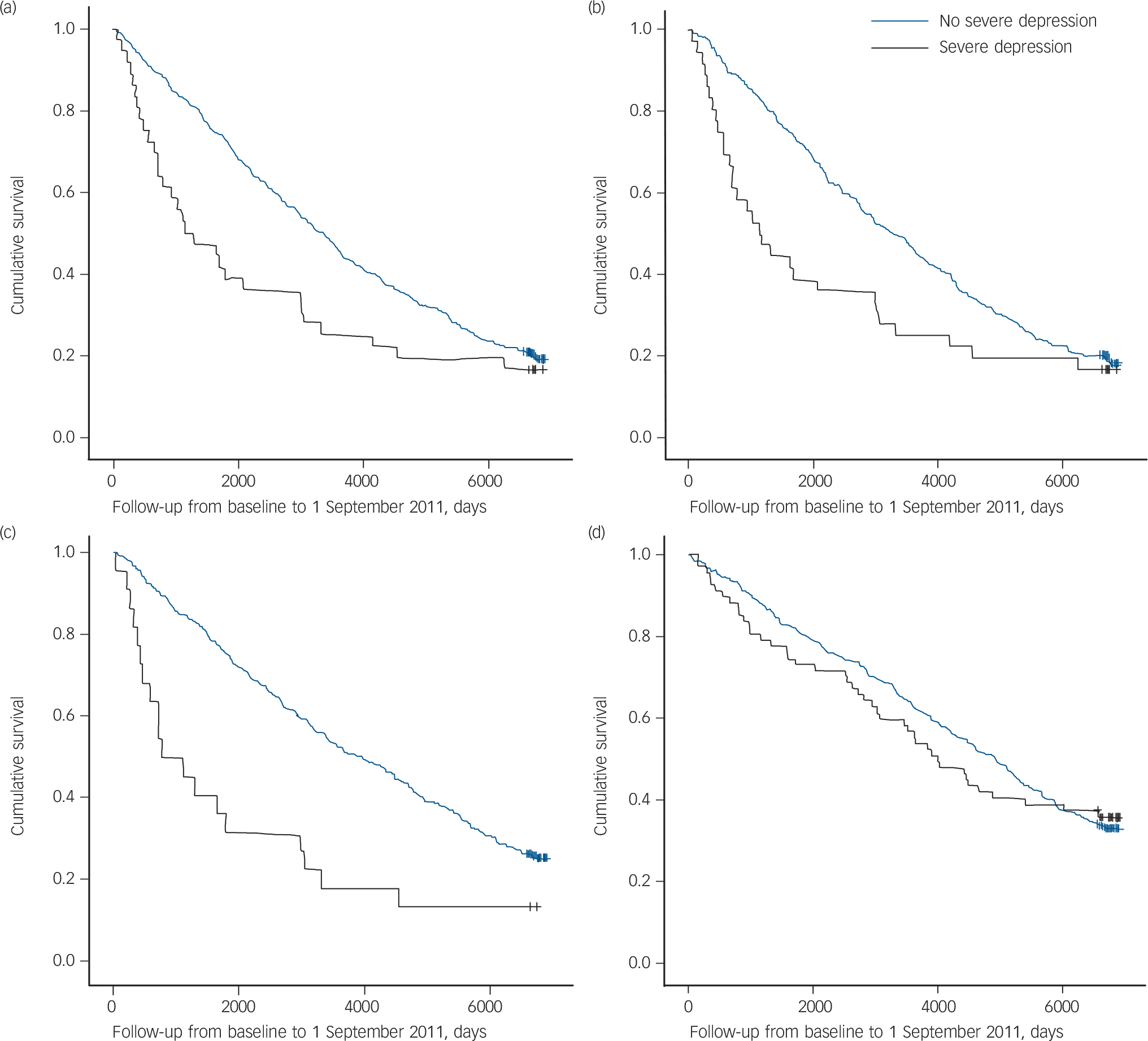
To illustrate the findings in Table 4 we performed Kaplan–Meier analysis in subgroups of loneliness. These showed that severe depression was associated with increased mortality in men who were lonely, emotionally lonely and socially lonely with the highest excess mortality in those men who were socially lonely. In the other subgroups no increased mortality was found (see online Table DS3). Figure 1(a–c) shows mortality in men with severe depression and who were lonely (a), emotionally lonely (b) and socially lonely (c), and Fig. 1(d) shows mortality for women with severe depression and who were lonely.

Fig. 1 Kaplan–Meier survival plots (proportion of participants who survived); cumulative survival.
(a) Men with severe depression who are lonely. Severe depression n = 36, no severe depression n = 361. Log rank test: χ2 = 6.16 (d.f. = 1, P = 0.02). (b) Men with severe depression who are emotionally lonely. Severe depression n = 36, no severe depression n = 281. Log rank test: χ2 = 5.68 (d.f. = 1, P = 0.02). (c) Men with severe depression who are socially lonely. Severe depression n = 22, no severe depression n = 331. Log rank test: χ2 = 13.68 (d.f. = 1, P = 0.02), (d) Women with severe depression who are lonely. Severe depression n = 67, no severe depression n = 409. Log rank test χ2 = 0.19 (d.f. = 1, P = 0.66). 2000 days, 5.5 years; 4000 days, 11 years; 6000 days, 16.5 years. Vertical lines on graphs indicate censored data.
In conclusion, we found that the different aspects of loneliness and different depression severity levels were associated with increased mortality in bivariate analyses in both genders but not in multivariate analyses at 19 years follow-up. In the lonely subgroups we found that severe depression was associated with an increased chance of early death in men in both bivariate and multivariate analyses with the highest mortality in the socially lonely subgroup.
Discussion
Main findings
The present study shows first that emotional and social loneliness and depression are associated with excess mortality in bivariate analysis but not in multivariate analysis after 19 years of follow-up. Second, we provided evidence that severe depression is an important risk factor for death in men who are emotionally and socially lonely, with the highest risk in those men with severe depression and who are socially lonely, when also taking into account the effects of an extensive range of confounders such as cardio- and cerebrovascular diseases, cognitive functioning and functional decline, and that this association remains after 19 years of follow-up. Both loneliness and depression have been shown to be identifiable and measureable risk factors for an early death while making no distinction between emotional and social loneliness.Reference Holwerda, Beekman, Deeg, Stek, van Tilburg and Visser8–Reference Perissinotto, Cenzer and Covinsky10,Reference Schoevers, Beckman, van Tilburg, Deeg, Jonker and Geerlings12 Our study shows that the combination of either emotional or social loneliness with severe depression indicates a lethal combination in men in the long term. The fact that we found that depression interacts with both emotional and social loneliness is important as both conditions are open to interventions such as interpersonal and social network interventions with the emotional aspects of loneliness requiring a more interpersonal approach and social loneliness requiring an approach aimed at social networks.Reference Van Tilburg and De Jong Gierveld32
To the best of our knowledge this is the largest study of a representative general population sample of older people that examines the interplay between both emotional and social loneliness and depression and their association with excess mortality with such an extended follow-up time. Only one other study has examined the interplay between loneliness and depression with mortality as the outcome. That study showed that 85-year-old people with both depression and feelings of loneliness have a higher 5-year mortality risk whereas neither depression nor perceived loneliness as a single condition had a significant effect on mortality.Reference Stek, Vinkers, Gussekloo, Beekman, Van der Mast and Westendorp33 Our findings show that these negative consequences also affect the younger old, are true for both emotional and social loneliness and are still apparent 19 years later.
Explanations
The impact of the different aspects of loneliness in combination with depression on longevity may be explained by a number of mechanisms such as suicidality and cardiovascular disease, which have been connected with both lonelinessReference Ayalon and Shiovitz-Ezra2,Reference Thurston and Kubzansky3 and depression.Reference Schoevers, Beckman, van Tilburg, Deeg, Jonker and Geerlings12,Reference Naqvi, Naqvi, Merz and Bairey19 The specific mechanisms underlying the interplay between depression and loneliness and an early death are not clear, but some studies have suggested potential pathways. Stek et al Reference Stek, Vinkers, Gussekloo, Beekman, Van der Mast and Westendorp33 suggest that the risk attributable to depression in the presence of perceived loneliness may result from motivational depletion and ‘giving up’, resulting in serious consequences such as social isolation, decreased mobility, poor diet and reduced adherence with prescribed drug regimens. Other studies specifically looked at reciprocal relationships between loneliness and depression and suggest that, although loneliness is not a necessary part of depression, it is a potential risk factor for its onset. Also, reciprocal influences over time between loneliness and depressive symptomatology have been shown indicating that loneliness and depression could possibly be both a cause and an outcome.Reference Luanaigh and Lawlor1 Social isolation could also influence the experience of depressive symptoms, and functional impairment and lower activity and participation could be both an outcome and cause of depression.Reference Luanaigh and Lawlor1,Reference Alpass and Neville34,Reference Adams, Sanders and Auth35 Cacioppo et al Reference Cacioppo, Hughes, Waite, Hawkley and Thisted36 found loneliness to be a more powerful cause of depressive symptoms in men than in women in a longitudinal study among middle-aged and older adults. Loneliness predicted changes in depressive symptoms over time and depressive symptoms predicted changes in loneliness over time, indicating that the influences between loneliness and depressive symptoms are reciprocal with a synergistic effect between these conditions. The consequences are illustrated in recent research showing that suicide attempts in older people with depression were associated with poor social problem-solving, constricted social networks and disruptive interpersonal relationships.Reference Szanto, Dombrovski, Sahakian, Mulsant, Houck and Reynolds37
We hypothesise that the combination of the different aspects of loneliness and depression may be more toxic than the sum of the two risks because the effects of loneliness and depression may add up through reciprocal influences over time. Also from an epidemiological perspective we know that an unfavourable depression course has been shown to decrease network size and increase loneliness and conversely that loneliness predicts long-term trajectories in depressive symptoms.Reference Houtjes, van Meijel, van de Ven, Deeg, van Tilburg and Beekman38 This indicates once more an amplification of the co-occurrence of loneliness and depression.
We found a consistent difference between men and women in the association between the combined conditions of severe depression and (emotional and social) loneliness and excess mortality. Studies indicate significant gender differences in genetics and the immune system that play a role in a different response to stress in men compared with women.Reference Choi and McLaughlin39
The exact mechanisms explaining the association between (emotional and social) loneliness, depression and mortality needs to be further explored. The combination of these conditions identifies a subgroup who are at increased risk that may need more aggressive treatment and interventions.
Strengths
Our study is the first study to investigate the joint effect of depression and the different aspects of loneliness on all-cause mortality in men and women. The large sample size, long follow-up, high response rate and 99.5% ascertainment of deaths are strong aspects of our study. In addition we had almost complete information on medical conditions, marital status, network size, education, cognitive functioning and functional limitations. Furthermore, both depression and loneliness were assessed with reliable and valid instruments, which is an advantage over earlier studies.
Limitations
Some limitations of the study should be considered. The information regarding medical diagnoses was based on self-report. This may lead to misclassification of the exposure variables. However, patients' self-report on a variety of medical disorders has been shown to be reliable.Reference Kriegsman, Penninx and Van Eijk29 In addition, although we adjusted for a comprehensive set of variables our study does not prove that emotional and social loneliness and depression or the combined condition are the cause of death. It is possible that the outcomes may still be explained by another unmeasured confounder. Another limitation is that we used a single observation for depression and different aspects of loneliness in our study but both the presence of depression and different aspects of loneliness could have changed during the follow-up period. Another aspect potentially affecting our findings is the fact that some symptoms of loneliness and depression overlap, which could result in overdiagnosis of loneliness, depression or both. On the other hand both conditions were measured extensively with well-established and reliable instruments that do not rely on the overlapping symptoms. Furthermore, loneliness and depression were found to have independent effects on the outcome. Although we found no excess mortality for depression and loneliness in multivariate analysis after 19 years of follow-up it is possible that excess mortality could be found after a shorter period of follow-up as has been shown in our earlier studiesReference Holwerda, Beekman, Deeg, Stek, van Tilburg and Visser8,Reference Schoevers, Beckman, van Tilburg, Deeg, Jonker and Geerlings12 as differences in exposure variables may occur during the total follow-up period; emotional and social loneliness as well as depression may be associated with excess mortality in the short term and their combination with excess mortality in the long term. In our study children were excluded from the personal network. However, children can be an important part of the life of individuals and affect a person's perception of loneliness. Finally, another limitation is that in our study we had no information on the treatment of emotional and social loneliness and depression so the impact of treatment over time for these conditions could not be studied.
Implications
After concluding that men are more vulnerable in both their negative experience of intimacy and quality of relations with respect to the development of depression, we hypothesise that prognosis in older adults, especially men, may be improved by focusing on treatment approaches aimed at both the emotional (intimacy in relationships) and social (the number of relationships, network) aspects of loneliness and their relation with depression. Proposed interventions that showed promise in reducing loneliness in a meta-analysisReference Masi, Chen, Hawkley and Cacioppo40 include social skills training (aimed for example at improving conversation skills and non-verbal communication), enhancing social support (for example interventions after bereavement and relocation), increasing opportunities for social interactions, cognitive–behavioural training (focusing on maladaptive social cognition) and befriending (to develop a relationship between individuals distinct from professional–client relationships). The fact that we found that severe depression was associated with excess mortality in men meeting criteria for both emotional and social loneliness justifies interventions aimed at both types of loneliness thereby reducing both aspects of loneliness and depression by increasing emotional support and increasing the size of the network group.
Although assessment of loneliness is not usual in clinical practice, loneliness is, especially in older people, an important contributor to adverse health outcomes similar to known medical risk factors, such as cardiovascular and cerebrovascular diseases.Reference Perissinotto, Cenzer and Covinsky10 It is suggested that for older men, loneliness may be just as stressful as their medical disorders.Reference Perissinotto, Cenzer and Covinsky10 Loneliness can be addressed through a variety of interventions and may be treatable through these interventions just like somatic and psychiatric conditions in old age. We think for this reason that asking about the different aspects of loneliness in a structured way, especially in older men with depression, is an important task for healthcare workers in order to identify individuals at an increased risk of adverse outcomes as a consequence of loneliness.
By identifying these aspects of loneliness we will be better able to suggest interventions for loneliness. Future research needs to study potential interventions to ascertain which ones are most effective. In the meantime, healthcare professionals are advised to assess loneliness, to identify lonely older adults and to apply existing interventions. Also, older people with depression who are lonely should be referred for psychiatric, psychological and social interventions to reduce the impact of loneliness and its possible potentiating effect on depression. Recognition and treatment of depression in older adults with emotional and social loneliness may further improve social networks and interpersonal relationships, especially in men. We suggest that an integrated approach aimed at both depression and the different aspects of loneliness may improve prognosis as loneliness and depression were shown to act in a synergistic way.
Funding
The Longitudinal Aging Study Amsterdam (LASA) was funded by the Dutch Ministry of Welfare, Health and Culture (currently Ministry of Health, Welfare and Sports).





eLetters
No eLetters have been published for this article.