Introduction
The class cleavage was central in structuring political conflict in industrialized democracies for much of the 20th century. While its relevance was hotly disputed in the 1990s (Clark et al. Reference Clark, Lipset and Rempel1993), recent accounts of class voting have overcome this debate, and have focused instead on identifying new class‐party alignments in post‐industrial societies (Oesch & Rennwald Reference Oesch and Rennwald2018). By now, there is cumulative evidence that class still serves as a site of preference formation, and that classes’ policy preferences differ on more than one dimension of political conflict (Häusermann & Kriesi Reference Häusermann, Kriesi, Beramendi, Häusermann, Kitschelt and Kriesi2015; Kitschelt & Rehm Reference Kitschelt and Rehm2014; Oesch Reference Oesch2008). In addition to the traditional economic division around the role of the state in the economy, social classes hold distinct positions on issues referring to civil liberties, environmental protection, alternative lifestyles, or immigration. Recent studies of class voting have also highlighted the role played by political parties in activating or mitigating the strength of class voting (Evans & De Graaf Reference Evans and De Graaf2013b; Evans & Tilley Reference Evans and Tilley2012b, Reference Evans and Tilley2017). According to this line of research, the link between class and voting hinges crucially on the interaction between the supply and demand side of electoral politics. Class differences become manifest in differential patterns of voting only when political parties present distinct policy alternatives that appeal to different classes (Evans & De Graaf Reference Evans, De Graaf, Evans and De Graaf2013a).
In this paper, I combine the theoretical contributions from these demand‐ and supply‐side studies of class voting with recent findings in political psychology highlighting parties’ influence on attitude formation (e.g., Leeper & Slothuus Reference Leeper and Slothuus2014; Petersen et al. Reference Petersen, Slothuus and Togeby2010; Slothuus & Bisgaard Reference Slothuus and Bisgaard2020) to assess how the supply side moderates the link between social class and issue preferences. Moreover, I characterize the partisan supply by bringing in the concept of politicization, which captures the intensity and visibility of conflict between parties (Hooghe & Marks Reference Hooghe and Marks2012; Hutter & Grande Reference Hutter and Grande2014). Specifically, I show how the strength of the relationship between social class and policy preferences on different issues is moderated by the extent to which parties politicize these same issues. My main argument is that class differences in preferences will be greater in contexts in which the intensity of issue conflict between parties is higher. The empirical analyses combining individual‐level data from the European Social Survey (ESS) and party‐level data from the Chapel Hill Expert Survey (CHES) on 27 European countries provide support for this expectation. For three of the four policy issues considered, class divides in preferences are greater where these issues are highly politicized. The results of this study highlight the important role that parties play in strengthening or mitigating class opposition on different topics.
This study makes two key contributions to current accounts of class voting, electoral realignment and party conflict in post‐industrial societies. First, it emphasizes the importance of political parties in strengthening or mitigating class voting, beyond what was proposed in previous research. While earlier studies tended to take classes’ issue preferences as purely ‘social’ – that is, a consequence of structural position – this article argues that class differences in preferences are also political, in that they are dependent on the characteristics of party conflict. Crucially, this paper identifies another stage at which political parties can alter the importance of class in politics: in the articulation of class divides in policy preferences, which can later guide differential patterns of electoral behaviour. Parties can attenuate or strengthen class divisions in public opinion by making issues less or more politically contentious. As a second contribution, by assessing classes’ issue positions across different political contexts, this study provides relevant information about which social classes are likely to be mobilized jointly on a policy platform. Depending on the context of politicization, parties will be more or less likely to garner electoral support across class borders.
Since the analyses are based on cross‐sectional survey data, they face certain limitations in their ability to isolate the causal effect of parties’ politicization of issues on the relationship between social class and individuals’ placement on these issues. The theoretical argument guiding this study proposes that it is the configuration of the electoral supply that affects the importance of social class for opinion formation. Yet, the moderating role of issue politicization by parties manifest in the analyses could also be due to party positions responding to class divisions in public opinion, or to both parties’ and classes’ responding to other factors. This study implements a series of robustness checks to address this limitation by, for example, taking lagged values of parties’ positions and introducing different controls at the country‐year level. The results are robust to these alternative specifications. Moreover, these findings should be read in the context of recent literature emphasizing that parties have agency in how they strategically position themselves on issues relative to other competitors (Abou‐Chadi et al. Reference Abou‐Chadi, Green‐Pedersen and Mortensen2020), and that their policy stances do affect public opinion (Slothuus & Bisgaard Reference Slothuus and Bisgaard2020). However, as other research in this area, these results have to be considered in light of the limitations imposed by the nature of the data available. In the final discussion I reflect on how future research might causally test the relationship uncovered in this article.
Social classes’ issue preferences in a multi‐dimensional conflict space
Analyses of class voting in post‐industrial democracies have adapted to two major transformations: the expansion of new occupations, and the salience of new issues of party conflict. The tertiarization and upgrading of the occupational structure have increased its heterogeneity, thus making it necessary to implement more detailed measures of social class, better suited for this new productive structure (Güveli Reference Güveli2006; Oesch Reference Oesch2006). This study implements a market‐based definition of social class that divides class locations according to the structural position that individuals occupy in the labour market and production units (Breen Reference Breen and Wright2005; Erikson & Goldthorpe Reference Erikson and Goldthorpe1992). This means that classes are based on individuals’ market condition and occupational profile, with class divisions capturing how the labour market stratifies individuals’ life chances. This definition purposely excludes subjective aspects such as class consciousness or collective action. Social classes are socioeconomic groups that occupy a similar position in the job structure, who – as a consequence of this position – share similar economic prospects (e.g., future earnings, employment security or prospects for upward mobility). This definition of class underlies influential class schemes like Erikson, Goldthorpe & Portocarero's (EGP) (Erikson & Goldthorpe Reference Erikson and Goldthorpe1992) or Oesch's (Reference Oesch2006).
Recent class schemes – most notably, Oesch's (Reference Oesch2006) – have accounted for the occupational heterogeneity inherent to post‐industrial economies. One of the key contributions of new schemes has been to divide social classes based on differences in the nature of the work carried out across occupations (their ‘work logic’). This dimension captures the different experiences and relationships established in the workplace, which serves as a site of socialization and preference formation (Ares Reference Ares2020; Kitschelt & Rehm Reference Kitschelt and Rehm2014). The work logic has become particularly important to distinguish among professional occupations previously aggregated into a single (service) class. Different class schemes have introduced new divisions separating sociocultural professions (in health care, education, social welfare and the media) from managers, and professionals in technical occupations (Güveli et al. Reference Güveli, Need and De Graaf2007; Oesch Reference Oesch2006). In comparison to managers and technical professionals, individuals in sociocultural occupations are more likely to favour a stronger role of the state in the economy and more income redistribution (Gingrich & Häusermann Reference Gingrich and Häusermann2015). Sociocultural professionals also hold particularly culturally liberal preferences (e.g., more favourable to immigration or alternative lifestyles). The nature of their work – which puts them in frequent interaction with other people's needs, and makes use of social and cultural knowledge – fosters values and attitudes associated with these culturally libertarian positions (Oesch Reference Oesch2006; Güveli Reference Güveli2006).
Among the low‐skilled occupations, the literature has mostly focused on the electoral behaviour of production workers and small business owners, because of their realignment with radical right parties (Arzheimer Reference Arzheimer and Rydgren2013; Bornschier & Kriesi Reference Bornschier, Kriesi and Rydgren2013). Both social classes tend to hold markedly authoritarian attitudes: they are generally opposed to immigration, put a higher emphasis on social order, defend traditional gender roles, and oppose supranational integration (Häusermann & Kriesi Reference Häusermann, Kriesi, Beramendi, Häusermann, Kitschelt and Kriesi2015; Kitschelt & Rehm Reference Kitschelt and Rehm2014). These two classes do, however, differ on their placement on economic issues. While workers still constitute the class with highest support for state intervention in the economy and income redistribution, small business owners are more favourable towards free‐market solutions (Houtman et al. Reference Houtman, Achterberg and Derks2008).
Within Oesch's class scheme, there are a few social classes that illustrate very well patterns of post‐industrial realignment.Footnote 1 Professionals in sociocultural occupations and the manufacturing working class represent paradigmatic examples of electoral realignment (Gingrich & Häusermann Reference Gingrich and Häusermann2015; Güveli et al. Reference Güveli, Need and De Graaf2007; Houtman et al. Reference Houtman, Achterberg and Derks2008). Sociocultural professionals have recently become the new core electorate of the left, while other professionals in managerial occupations, as well as large employers have remained the electoral preserve of the centre‐right. Production workers and small business owners, on the other hand, represent two social groups increasingly contested by the radical right. A class that has received less attention, in spite of its increasing relevance in service economies, are low‐skilled service workers (Ares Reference Ares2017). While we do not know much about their preferences, it has been frequently assumed that they are close to sociocultural professionals. Because of the large body of evidence gathered around the policy preferences of these specific classes, and because they occupy different poles on the cultural and economic dimensions of conflict, it is particularly relevant to address how their preferences depend on the configuration of the partisan supply. Moreover, their placement on economic and cultural issues across contexts has relevant implications for potential class‐party alignments. The diversification of the occupational structure, and the rising competition on cultural issues has led political parties to seek support beyond their traditional social‐class electorates. Electoral success appears increasingly dependent on mobilizing voters’ support across class lines (i.e., building cross‐class voter coalitions). The potential for this cross‐class mobilization is likely to depend on the similarity in policy preferences of different social groups, which I expect to vary across contexts of politicization.
The politicization of issues by parties
In comparison to the frequent focus on demand‐side politics to explain new patterns of class‐party alignments, fewer studies have addressed the importance of the electoral supply side in this process. Moreover, the ones that have done so, have mainly studied the relationship between social class and electoral behaviour, without considering the role played by parties in shaping public opinion. Following arguments about the role of political actors in activating or reinforcing conflict (Sartori Reference Sartori and Lipset1969), this research attributed cross‐national and temporal variation in the strength of class voting to the extent to which parties present clear alternatives to voters (Elff Reference Elff2007; Evans & De Graaf Reference Evans, De Graaf, Evans and De Graaf2013a; Evans & Tilley Reference Evans and Tilley2012a, Reference Evans and Tilley2017; Rennwald & Evans Reference Rennwald and Evans2014). When there is variation in parties’ programmatic positions, distinct preferences between social groups can be manifested through the vote. If, on the contrary, parties do not offer real alternatives, class differences are not reflected in party choice. Many of these studies focused primarily on the left‐right ideological differentiation of the electoral supply. However, disparity in parties’ stances on sociocultural issues was not as frequently associated to class voting, even though these issues have become increasingly salient (for an exception, see Goldberg & Sciarini Reference Goldberg and Sciarini2014).
While these studies addressed the moderating role of the supply side on the class‐party link in the vote, we know very little about the consequences of parties’ stances for class distinctiveness in policy preferences. Divisions in public opinion are relevant since they can be considered a pre‐condition for class voting. If social class does not play a role in the articulation of preferences, then there are few differences in opinion to be expressed through the vote. I propose that the configuration of the electoral supply moderates the strength of class opposition on policy issues. Class opposition refers to individuals in different social classes taking different, antagonizing positions on a specific issue. Hence, its meaning is restricted to a disparity in preferences between classes, independently of whether and how this disparity is manifested in the vote. As the literature in political psychology has indicated, political parties are relevant actors in the process of public opinion formation. While material interests, group affiliations or values can be key determinants of voters’ attitudes, whether and how these predispositions are translated into specific preferences (e.g. on public policy) is not an automatic process, and it hinges crucially on the political context (Leeper & Slothuus Reference Leeper and Slothuus2014; Zaller Reference Zaller1992).
Opinion formation on specific issues is a cognitively demanding process that can be facilitated by cues and heuristics. The articulation of policy preferences places high demands on voters in terms of skills, resources and motivation. In this process, parties’ issue positioning frequently serves as a heuristic, reducing the costs of information and providing cues to voters about which issues are contested and how these issues relate to their interests (Leeper & Slothuus Reference Leeper and Slothuus2014; Pannico Reference Pannico2017). Hence, the political context of party competition can alter the amount and types of information available to voters (Cavaille & Neundorf Reference Cavaille and Neundorf2015, Reference Cavaille and Neundorf2016). In polarized contexts, the clarity of the cues that voters receive is higher due to the bigger distance between parties and the greater homogeneity in their messages, hence aiding voters in developing more consistent attitudes (Levendusky Reference Levendusky2010). Moreover, more information and cues are available on issues that are relatively more salient for party competition. A growing body of literature has documented the effect of the context of competition and, specifically, of parties’ role in this process, on opinion formation. Political parties can shape public opinion on specific (and controversial) policy issues (e.g., Broockman & Butler Reference Broockman and Butler2017; Minozzi et al. Reference Minozzi, Neblo, Esterling and Lazer2015), and party leaders’ stances on a specific policy can polarize attitudes among all citizens (Nicholson Reference Nicholson2012). Even on policies with high stakes (like unemployment insurance and early retirement) citizens’ opinions shift in response to changes in parties’ issue positions (Slothuus & Bisgaard Reference Slothuus and Bisgaard2020).
The amount of information and the clarity of parties’ positions available in contexts of high politicization should operate on the relationship between social class and issue preferences. Implicit in most understandings of class voting is the assumption that common economic life chances and occupational experiences shape policy preferences, and that these guide electoral behaviour. Yet, given that opinion formation is a demanding process, the influence of class location and work experience on interests and preferences may not be automatic. Whether and how this connection occurs is likely to depend on how issues are framed in the political debate (Kinder Reference Kinder, Gilbert, Lindzey and Fiske1998). Political parties have a crucial role in structuring alternatives and connecting different choice options to individuals’ predispositions (based on social class or other factors) (Petersen et al. Reference Petersen, Slothuus and Togeby2010). When policy issues become highly contentious between parties, this should raise the awareness on class‐related interests among voters. Salient contestation between political parties increases the information available to voters, and facilitates that they connect particular values with policy positions (Petersen et al. Reference Petersen, Slothuus and Togeby2010). This is why the politicization of issues – understood as combination of the intensity and visibility of conflict (Hutter & Grande Reference Hutter and Grande2014) – can be central in strengthening or mitigating class divides in issue preferences.
Having outlined the importance of the political context for opinion formation and class divides, a relevant question is to what extent parties are responsible for politicizing issues. As recent literature on issue competition has indicated (Abou‐Chadi et al. Reference Abou‐Chadi, Green‐Pedersen and Mortensen2020; Meguid Reference Meguid2005), even if parties’ strategies are constrained by social and economic transformations, they are not just victims of structural conditions but are also agents of their own fate. Addressing party competition on different issues beyond the left‐right ideological conflict, this literature contends that the stances that parties take on issues, and the visibility they attribute to them, partly responds to their strategic choices. Some parties, frequently niche parties, might choose to strategically politicize to their advantage issues which were previously not central to party competition (e.g., green parties emphasizing environmentalism). In turn, other parties retain agency on how they react to these challenges, by taking an accommodative, adversarial or dismissive strategy, with direct implications for the politicization of niche parties’ main issues (Meguid Reference Meguid2005). If established parties expect to benefit from a new issue, like European integration, they have an incentive to take a stance and politicize it (Abou‐Chadi Reference Abou‐Chadi2016). These studies have demonstrated that parties compete not only spatially (i.e., taking different positions) but also on the emphasis placed on different topics. The strategic interaction between parties affects the contentiousness of different topics (Abou‐Chadi Reference Abou‐Chadi2016; Abou‐Chadi & Krause Reference Abou‐Chadi and Krause2020). Moreover, since parties do not necessarily compete on all issues in every election, this generates variation in issue politicization across space and time.
Given these insights from political psychology and issue competition scholarship, I hypothesize that in contexts where an issue is strongly politicized by parties, class differences in preferences on that issue will be greater. In response to the structure of competition and their own strategic considerations, parties provide information and heuristics to voters by mentioning an issue frequently and by taking a clear stance on it. These are two key dimensions of the concept of politicization: conflict visibility and intensity (Hutter & Grande Reference Hutter and Grande2014)Footnote 2. The first, conflict visibility, refers to the salience of conflict over an issue. Salience is usually considered as the key – almost necessary – dimension of politicization, since the frequent presence of a topic in the public debate is seen as a prerequisite for an issue to be politicized (Green‐Pedersen Reference Green‐Pedersen2012). A topic that is minimally mentioned can hardly be made contentious. The second dimension, the intensity of conflict, refers to actors’ polarization around a given issue. For a topic to be controversial, actors need to take diversified and opposing positions on it. Both dimensions of politicization should be central for the strength of class opposition. If parties hold distant positions on an issue, but it is barely salient in the political debate, these positions are hardly visible for voters. If an issue is highly salient but parties’ positions on it converge, voters do not receive contrasting messages. Hence, the main hypothesis is that class divides in issue preferences will be greater in contexts where these issues are strongly politicized by parties. In contexts of low politicization of an issue the distinctiveness of social classes’ placement should be comparatively lower.
Data and Methods
To assess whether the strength of the association between social class and issue preferences is moderated by parties’ politicization of these issues, this paper combines individual‐level data from rounds three to eight of the ESS (European Social Survey Round 3–8 Data 2006‐2012), with party‐level data from the 2006, 2010 and 2014 CHES (Bakker et al. 2015). This provides a sufficiently large number of level‐2 observations (country‐round) to be able to estimate multilevel models with cross‐level interactive terms.Footnote 3
Because there is some disagreement about the dimensionality of political conflict in Europe and because party competition can differ across specific issues, I study individuals’ issue preferences separately. The estimations are based on four different outcome variables capturing (i) preferences about income redistribution (with higher values indicating opposition to income redistribution by the government); (ii) preferences on immigration – an index measure based on six individual items gauging preferences on immigration with higher values indicating support for immigrationFootnote 4; (iii) attitudes towards homosexuality (with higher values indicating more positive attitudes); and (iv) preferences over European integration (with higher values gauging support for European Union [EU] integration). These items are included consistently in the ESS rounds under consideration.Footnote 5 These measures of preferences have been standardized (to have a mean of 0 and a standard deviation of 1) to allow for comparability across models. A detailed description of all variables is available in Supporting Information Appendix 2.
To evaluate the potential moderation by the electoral supply, I compute a measure of politicization on these same issues. In the CHES dataset there are four items that match the ESS questions measuring individual preferences. On redistribution, the CHES asks about a party's “position on redistribution from the rich to the poor”. On immigration, there is information on the “position on immigration policy”. On attitudes towards homosexuality, there is an item gauging a party's “position on social lifestyle (e.g. homosexuality)”. Last, on European integration, it asks about the “orientation of the party leadership towards European integration”. Besides placing parties on these issues, experts are also asked to indicate the salience attributed to each of them by each party.Footnote 6
The party‐level data is used to operationalize politicization by partially following the proposal by Hutter and Grande (Reference Hutter and Grande2014), which captures both the intensity and visibility of conflict. Politicization takes the product of the standard deviation of parties’ positions on an issue (as a measure of actor polarization – the intensity of conflict) and the relative salience of that issue (as a measure of conflict visibility). The relative salience of an issue takes the ratio of the average salience of that issue (across parties) and the average salience of all issues within a party system. Only parties with parliamentary representation are taken into consideration. As an example, in the CHES from 2006, in Belgium, the standard deviation of parties’ positions on the issue of redistribution takes the value 1.906. In this party system, the average salience of the issue of redistribution across all parties is of 5.802 (with salience measured on a 0 to 10 scale), while the average salience of all issues is of 5.578.Footnote 7 The ratio of the two values is 1.040, indicating that redistribution is relatively more salient than other issues. For this country, the measure of politicization of redistribution takes the value of 1.982: the product of 1.906 times 1.040 (the intensity and visibility of conflict). To facilitate the comparison of results across issues, the measure of politicization is later rescaled to range from 0 to 1 (from the minimum to the maximum level of politicization observed in the sample). While I expect both the visibility and intensity of party conflict to impact jointly the process of opinion formation, as part of the robustness checks, I also address the relevance of salience and polarization separately, to account for the possibility that it is mostly one of these two dimensions that fosters attitudinal opposition between classes.
The figures in Supporting Information Appendix 4 present levels of politicization of the different issues (in the original scale) across countries and time. The issues of redistribution and immigration appear, on average, more politicized than the topics of gay and lesbian rights, or European integration. More importantly, there are no obvious temporal or geographical clusters in the distribution of politicization of these issues. Even on the topic of gay and lesbians’ rights – on which we might have expected recent attitudinal shifts towards greater liberalization (Caughey et al. Reference Caughey, O'Grady and Warshaw2019) to possibly hinder opposition on this issue – we find high levels of politicization in more recent waves, and both in Western and Eastern Europe. This could be related to the active opposition to gay rights among some radical right parties (e.g., VOX or the AfD) (Arzheimer Reference Arzheimer2015; Turnbull‐Dugarte Reference Turnbull‐Dugarte2019).
The other key explanatory variable in the analyses is social class. The operationalization follows Oesch's eight‐class scheme, which assigns respondents to classes based on their occupation. This operationalization allows identifying some typical post‐industrial classes (like sociocultural professionals, or service workers) that are not well‐captured in other schemes. One might raise the concern that these horizontal divisions based on work logic might capture not only the formation of political preferences in the context of the occupation but also selection effects related to values (Kitschelt & Rehm Reference Kitschelt and Rehm2014). These could, in turn, be associated to different preferences, particularly on cultural issues (Stubager Reference Stubager2008). For this reason, I repeat the analyses implementing the (six‐class) EGP scheme in the robustness checks. This alternative operationalization leads to the same conclusions. In the main analyses, I rely on Oesch's measure because it provides a clearer picture of some of the key class divides in post‐industrial societies highlighted in the theory section. The presentation of the results focuses particularly on five social classes in the scheme for which there are clear expectations about their placement on different issues. The figures summarize the results for sociocultural professionals, managers, small business owners, production workers and service workers. While managers and production workers frequently represent opposite poles on the economic dimension, sociocultural professionals, and production workers and small business owners usually stand on opposite sides on cultural issues. Service workers are included since they are frequently assumed as close to sociocultural professionals, but evidence on their preferences is scarce. The tables included in Supporting Information Appendices 5 and 6 present the results for the entire class scheme. To estimate interaction coefficients between social class (measured at the individual level) and politicization (measured at the country‐round level) I rely on linear multilevel models with cross‐level interactions, which include random slopes for social class. All analyses introduce additional controls for: atypical employment (i.e., labour market outsider status), educational attainment, union membership, gender and age.Footnote 8
Results
Before going into whether the political context moderates class divides, Figure 1 presents social classes’ average placement on the four issues under consideration. These estimates are average predicted values based on multilevel additive models controlling for the politicization of the corresponding issue at the country‐round level. The results here presented replicate established findings from earlier research. On income redistribution – with higher values indicating opposition to redistribution by the government – workers and the managerial class stand on opposing poles. There is also a visible division among professionals, with sociocultural professionals being clearly more supportive of state intervention. While workers and sociocultural professionals appear relatively close on this topic, they are located on opposing poles on issues of the cultural domain. On the topics of immigration, homosexuals’ rights and EU integration, production and service workers tend to be located on the authoritarian and nationalistic pole, while the professional classes appear as more libertarian and cosmopolitan. In line with studies of radical right support, small business owners also appear as more culturally conservative. The main question in this paper, however, is whether these differences are strengthened or mitigated depending on the configuration of the partisan supply.

Figure 1. Social classes’ average predicted preferences.
Note: Estimates are based on linear multilevel additive regression models introducing controls for age, gender, education, union membership and politicization of issues (with random intercepts for country‐round). The coefficients for all variables are presented in models 1, 2, 3 and 4 of Supporting Information Appendix 5.
Figure 2 summarizes social classes’ average predicted preferences on redistribution, across different levels of politicization of this issue. Politicization is rescaled to range from 0 to 1 – with 0 corresponding to the minimum politicization observed in the sample, and 1 to the maximum. The estimates are based on a multilevel linear model with a cross‐level interaction between social class and the politicization of redistribution, including random slopes for social class and random intercepts for country‐round.Footnote 9 Higher values on the Y‐axis indicate stronger opposition to income redistribution by the government. Across all levels of politicization, production workers consistently appear as the class most favourable to income redistribution, while managers and small business owners locate themselves on the opposite pole. In line with the expected moderation from the supply side, the preferences of the different social classes are spread further apart at higher levels of politicization. Class divides are greater in contexts in which parties are more polarized on redistribution and place a greater salience on it.Footnote 10 At the lowest level of politicization the largest difference in preferences is of 0.217 points between production workers and managers (statistically significant at p < 0.001), roughly one‐fifth of the standard deviation of preferences for redistribution in the sample. At the highest level of politicization, the largest difference is between production workers and small business owners and rises to 0.356 points (statistically significant at p < 0.001). Interestingly, sociocultural professionals remain relatively close to production and service workers across different political contexts. Contrasts of predicted class preferences on redistribution (as well as on preferences on immigration, homosexuality and the EU) at low, medium and high levels of politicization – with confidence intervals – are graphically summarized in Supporting Information Appendix 7.

Figure 2. Average predicted preferences on redistribution along politicization of this issue. [Colour figure can be viewed at wileyonlinelibrary.com]
Note: Estimates from a linear multilevel interactive regression model (with random slopes for social class and random intercepts for country‐round) introducing controls for age, gender, education and union membership. The coefficients for all variables are presented in model 5 of Supporting Information Appendix 6.
The increasing differentiation between social classes along politicization is more marked for the issue of immigration. Figure 3 summarizes average predicted preferences of the different classes, with higher values on the Y‐axis indicating a more positive stance towards immigration. This figure depicts a clear fanning out pattern.Footnote 11 While at the lowest level of politicization the largest difference between classes is of only 0.122 points (between production workers and sociocultural professionals and statistically significant at p < 0.001), this difference is more than five times larger (0.682 points) when the politicization of immigration is greatest (significant at p < 0.001). Differences in preferences between production and service workers also increase along the politicization of immigration, but these two classes remain as the two most opposed to immigration across all contexts.

Figure 3. Average predicted preferences on immigration along politicization of this issue. [Colour figure can be viewed at wileyonlinelibrary.com]
Note: Estimates from a linear multilevel interactive regression model (with random slopes for social class and random intercepts for country‐round) introducing controls for age, gender, education and union membership. The coefficients for all variables are presented in model 6 of Supporting Information Appendix 6.
Following with another issue typically associated with the cultural dimension, Figure 4 depicts the same graphical summary, now for attitudes towards gays and lesbians. Higher values on the Y‐axis indicate more positive attitudes towards homosexuality. These results provide further support for the proposition that the strength of class discrepancies is dependent on the politicization of this issue.Footnote 12 While attitudinal differences between social classes are rather minor when homosexuals’ rights are not politicized (the maximum difference is of 0.085 between production workers and managers, statistically significant at p < 0.01), they increase substantively at high levels of politicization (to 0.218 points, significant at p < 0.001). As with preferences on immigration, production workers and sociocultural professionals are also located on opposing poles, and particularly distant at the highest levels of politicization. Whereas for the lowest levels of politicization, service workers are closest to production workers in terms of preferences, this changes under greatest politicization, where service workers grow appart from production workers, and small business owners appear as the class closest to them.

Figure 4. Average predicted preferences on attitudes towards homosexuality along politicization of this issue. [Colour figure can be viewed at wileyonlinelibrary.com]
Note: Estimates from a linear multilevel interactive regression model (with random slopes for social class and random intercepts for country‐round) introducing controls for age, gender, education and union membership. The coefficients for all variables are presented in model 7 of Supporting Information Appendix 6.
Figure 5 presents social classes’ average predicted preferences for European integration. Higher values on the Y‐axis indicate support for further EU integration. In this case, the figure does not depict a consistent association between the strength of class divides and the politicization of European integration.Footnote 13 In fact, some classes appear slightly more similar in terms of their preferences at higher levels of politicization. Hence, on this particular issue, the results do not support the proposition that the greater politicization of issues by parties strengthens class divides. Across political contexts, classes’ relative placement is in line with previous studies. Managers and sociocultural professionals are highly supportive of EU integration, in contrast to the opposition from production and service workers. It is unexpected that small business owners appear more supportive of integration when this issue is highly politicized, since this class is expected to oppose EU integration in both economic and cultural terms.

Figure 5. Average predicted preferences on European integration along politicization of this issue. [Colour figure can be viewed at wileyonlinelibrary.com]
Note: Estimates from a linear multilevel interactive regression model (with random slopes for social class and random intercepts for country‐round) introducing controls for age, gender, education and union membership. The coefficients for all variables are presented in model 8 of Supporting Information Appendix 6.
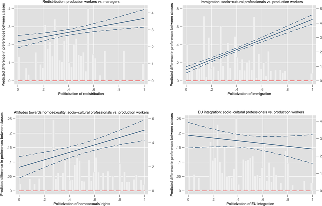
Figure 6 provides another depiction of the results discussed so far. Each of the panels plots the difference in preferences between two selected classes for each of the issues, along different levels of politicization. Positive slopes are in line with the expected association between politicization and class divides. On the issue of redistribution, the upper‐left panel plots average differences between managers and production workers, as the two classes illustrating economic conflict. The other three panels reflect differences in preferences between production workers and sociocultural professionals, as the two classes illustrating cultural conflict. Figure 6 displays clearly the differing pattern of EU integration, in comparison to the other three issues, for which increases in politicization are associated to greater class divides. Interestingly, the issues of gays’ and lesbians’ rights and, particularly, immigration show great potential for class divides, but this opposition is more context‐dependent than on the issue of redistribution.

Figure 6. Differences in predicted preferences between selected classes along politicization of issues. [Colour figure can be viewed at wileyonlinelibrary.com]
Note: Estimates from linear multilevel interactive regression models (with random slopes for social class and random intercepts for country‐round) introducing controls for age, gender, education and union membership. The coefficients for all variables are presented in Supporting Information Appendix 6.
The differing pattern for EU integration could be explained by attitudes on this issue being more fixed (less malleable) than on the other topics. To address this possibility, I take the rate of non‐response and ‘Don't know’ replies to the different attitudinal items as a proxy for malleability of attitudes. Since cognitive availability and attitudinal consistency tend to be correlated (Goren Reference Goren2013), we would expect higher rates of non‐response to be indicative of attitudes that are less fixed. Non‐response to the EU integration item is higher than the other issue preferences (as shown in Supporting Information Appendix 8), hence indicating that these attitudes should be more open to change. Thus, the malleability of attitudes does not appear to explain this different pattern. The next section shows that this difference on EU integration is robust to alternative specifications, and in the discussion I reflect on further potential explanations for this different result.
Robustness Checks
Because all models are estimated on cross‐sectional data, they are limited in that they cannot identify a causal effect of parties’ politicization of issues on the link between class and preferences. One could reasonably argue that parties might be able to anticipate potential class differences on certain issues, and accordingly politicize them. This would imply that it is actually differences in public opinion between social classes that explain issue politicization. The question of whether parties lead or follow public opinion has been frequently debated in the political psychology scholarship (Leeper & Slothuus Reference Leeper and Slothuus2014). Ideally, one would resort to cross‐national panel data to follow individuals’ trajectories on issue preferences, and see how they react to changes in the supply side. For example, Cavaille and Neundorf (Reference Cavaille and Neundorf2016) find, for the British case, that partisan elites’ decisions to polarize on the economy usually precede aggregate attitudinal change as measured by survey data. However, currently, no cross‐national panel data is available to pursue this approach.
The current estimations rely on party‐level data that was measured in previous years or in the same year that the ESS was fielded. As a robustness check, I restrict the sample to those rounds of the ESS that were fielded at least two years after the CHES. This introduces a two‐year lag between the measurement of parties’ and classes’ positions, with politicization temporally preceding classes’ preferences. These analyses (presented in Supporting Information Appendix 9) return similar results, although the moderating role of the partisan supply is slightly weaker. These alternative specifications, however, are not ideal, since the partisan supply should play a role at the time when preferences are formed, not two years into the future.
Even if the possibilities to address endogeneity are limited by data availability, there are theoretical grounds to expect that at least part of the moderation found is driven by the partisan supply. Several experimental and quasi‐experimental studies have been able to isolate the causal effect of parties’ and politicians’ stances on opinion formation (Levendusky Reference Levendusky2010; Minozzi et al. Reference Minozzi, Neblo, Esterling and Lazer2015; Petersen et al. Reference Petersen, Slothuus and Togeby2010; Slothuus & Bisgaard Reference Slothuus and Bisgaard2020). Moreover, recent literature on issue competition has emphasized that parties have agency in how they position themselves, and emphasize or downplay specific issues (Abou‐Chadi et al. Reference Abou‐Chadi, Green‐Pedersen and Mortensen2020; Meguid Reference Meguid2005; Meyer & Wagner Reference Meyer and Wagner2013). Even if parties’ issue positioning faces constraints and incentives generated by other parties’ strategies, public opinion itself, or a party leadership's own preferences, parties can affect public opinion, and have agency in deciding how to politicize issues. This gives us confidence in that, at least part of the moderation found, can be safely attributed to parties’ behaviour. As additional robustness tests, I also include controls for socioeconomic indicators at the country‐round level to address the possibility that both parties and preferences could be responding to changes in the countries’ socioeconomic situations. Controls account for economic and social conditions (unemployment level, poverty rate, Gini index, level of immigration, number of asylum seekers, and number of immigrants from non‐EU countries). These models are presented in Supporting Information Appendix 10, and indicate that the results commented above are not driven by differences in objective socioeconomic conditions between countries. The partisan supply still moderates class differences in preferences in these models.
Moving to the operationalization of politicization, the measure captures both the salience of an issue and the polarization of parties’ positions around it. The two dimensions are relevant for public opinion formation, since party cues on policy issues become clearer when party conflict is intense, and more information is available when conflict is visible. Yet, it is possible that one of the two dimensions plays a bigger role in affecting individuals’ preferences. That is, that either the availability of information or the articulation of strongly opposed positions is more important in this process. For this reason, I also assess the moderating role of polarization and salience separately. The results of these alternative specifications (included in Supporting Information Appendices 11 and 12) indicate that, while each factor is associated to class differentiation in preferences (for the three issues for which this moderation is present in the main analyses), their separate moderating role is weaker. For the issues of redistribution and attitudes towards gays and lesbians it appears that the link to salience is weaker than for polarization. Overall, the results suggest that, as previous literature has argued (Hutter & Grande Reference Hutter and Grande2014), politicization is a multifaceted process, best captured by a composite measure. In the absence of salience, actor polarization will probably not be evident to a majority of citizens. Similarly, if an issue is visible but hardly contested, party competition provides little information about alternative positions on the issue.
The largest moderating role of the partisan supply appears on two issues typically categorized as cultural. This could raise questions about whether these class differences are dependent on the implementation of Oesch's class scheme, which emphasizes horizontal class differentiation based on work logic. To address these concerns I replicate the analyses operationalizing class through EGP's six‐class scheme (Erikson & Goldthorpe Reference Erikson and Goldthorpe1992). Figures 13.A–13.D in Supporting Information Appendix 13 indicate that the moderating role of the partisan supply is also evident for class differences along the EGP scheme. On the economic issue, the main opposition is between workers (skilled and unskilled), and the service class and petty bourgeoisie. On the issues of immigration and attitudes towards gays and lesbians, the main opposition is between workers and the service class. These class differences become substantively larger at higher levels of politicization. This alternative operationalization produces the same lack of moderation in what concerns European integration. Additional tests also exclude the control for educational attainment (Supporting Information Appendix 14). Whether to include controls that are likely to be antecedents of social class (like education) is a topic of debate in class analyses (Knutsen & Langsæther Reference Knutsen and Langsæther2015). Previous studies have sometimes attributed cultural preferences to individuals’ education rather than class (Van de Werfhorst & De Graaf Reference Van de Werfhorst and De Graaf2004). Moreover, education could also ground differences in receptiveness towards party messages (Zaller Reference Zaller1992). This is the reason for including educational attainment as a control in the main analyses. However, results are robust to excluding education, as well as to including an additional control for political interest (Supporting Information Appendix 14).
Finally, to make sure that the results are not driven by particular countries, I repeat the estimations removing one country at a time from the estimation. Supporting Information Appendix 15 replicates Figures 2, 3, 4, 5 when each of the countries is excluded. As these plots display, the patterns described above are robust to excluding individual countries from the analyses.
Discussion
This study brings an important contribution to our understanding of class politics in post‐industrial societies. In line with the main argument, the results document that differences in how social classes are positioned on relevant issues (like income redistribution, or the rights of immigrants and homosexuals) depend on the extent to which these issues are politicized by parties. While earlier literature proposed that the configuration of the electoral supply affects the link between class and voting, this study identifies another key stage at which the partisan supply intervenes: in activating or mitigating class opposition in policy preferences. Given that differences in political values between classes are a relevant mechanism behind class voting (Langsæther Reference Langsæther2019), this paper highlights another point at which parties’ strategic considerations and patterns of competition can affect class voting. Moreover, it also shows the relevance of going beyond aggregate measures of ideological differentiation and characterizing the political context in terms of parties’ placement on and emphasis of concrete issues. On income redistribution, the key divide between the managers and production workers is magnified under a strong politicization of this issue. Interestingly, moderation is particularly strong for two of the cultural issues. On the topic of the rights of immigrants and of homosexuals, the divide between production workers and sociocultural professionals is mitigated when these issues are hardly contested and emphasized, but divergence between these classes grows much stronger at high politicization. Hence, while the potential for class opposition is high, it is strongly context dependent.
Even if it goes beyond the scope of this study to assess how class issue‐opposition is reflected in electoral behaviour, classes’ average issue placement provides relevant information about social coalitions that could be mobilized by different parties. Overall, cross‐class coalitions (or the ability of parties to garner support beyond a single‐class base) will become increasingly unlikely in contexts of high issue politicization. For instance, a coalition between sociocultural professionals and workers is likely with low levels of politicization of the cultural issues of immigration and homosexuals’ rights, and medium (or even high) levels of politicization of the redistributive conflict. However, this coalition becomes increasingly unlikely when cultural issues are more contentious. This would imply that the possibilities for, for example, left‐wing parties to cater jointly to sociocultural professionals and their traditional workers’ base are scarce when cultural issues are controversial. We find an analogous situation for small business owners and workers, who display similar cultural preferences on immigration and attitudes towards gays and lesbians, but diverge on economic preferences, especially under great politicization of this issue. At the same time, the politicization of EU integration hardly threatens specific class coalitions, since it does not increase class divides. These are some potential social coalitions suggested by the analyses of individual issues. Whether and under which conditions these groups can be jointly mobilized will also depend on the extent to which these different issues are integrated. If issues are highly integrated or embedded (i.e., not orthogonal to one another) (Kriesi et al. Reference Kriesi, Grande, Lachat, Dolezal, Bornschier and Frey2006; Whitefield & Rohrschneider Reference Whitefield and Rohrschneider2019), then classes’ placement on a single issue becomes less informative about likely social coalitions. As suggested by the literature addressing the integration of international issues on domestic dimensions of competition, a stronger embedment of issues may sharpen differences between parties and social groups, decreasing the likelihood that social classes can be targeted separately on individual topics. Independently of issue integration, an important takeaway from these analyses is that the potential for classes to align with different parties is likely to be context‐dependent. Future research could address how different configurations of the partisan supply – characterized by the politicization of different issues – affect the likelihood that certain parties (e.g., social‐democratic) garner support among different classes, and how issue preferences mediate the link between class and voting across these different contexts.
One of the puzzling results from the analyses is that there is no apparent moderation by the partisan supply on class differentiation on Europeanization. One possible explanation for this finding could be that European integration is an issue less closely integrated into the main party cleavages (Evans & Andersen Reference Evans and Andersen2004; but see Whitefield & Rohrschneider Reference Whitefield and Rohrschneider2019). On topics that are less integrated into the main lines of party competition, party cues to voters tend be weaker and more infrequent. In their UK‐based study, Evans and Andersen (Reference Evans and Andersen2004) argue that respondents’ EU positions are less affected by their partisanship, hence indicating that party messages may play a weaker role on this issue. This could potentially explain the lower impact of parties’ politicization of EU integration on classes’ opinion differentiation. The lower absolute politicization of this issue across countries (in comparison to the others, see Supporting Information Appendix 4) would be in line with this explanation. Interestingly, taking the number of ‘Don't know’ answers as a sign of availability and malleability of attitudes indicated that there are more of these answers on the issue of EU integration, yet these attitudes appear to be less inclined to change (at least in response to changes in politicization). The lack of moderation could also be explained by differences in how this issue is politicized across countries specifically, by the extent to which this topic is framed and politicized on economic or cultural terms. The analyses displayed different key class divides on economic and cultural issues. While economic topics oppose production workers to managers and small business owners, cultural issues divide workers from sociocultural professionals. If European integration is framed differently across countries, and politicization increases through greater emphasis on its cultural or economic dimensions, this could reinforce different class divides across countries. This could confuse differences in preferences, since the measure here implemented asks about EU integration in general – without separating economy and culture. To disentangle these two potential explanations, future research could address whether the extent to which EU issues are integrated into main party cleavages affects the moderating role of the partisan supply; and rely on measures (of both preferences and party stances) that separate the cultural and economic dimensions of EU integration.
The evidence here presented is in line with the argument that social classes’ placement on different issues is context‐dependent, and that class issue opposition is stronger when these issues are strongly politicized by parties. Because the analyses are based on cross‐sectional survey data, they are limited in their ability to isolate the causal effect of the partisan supply on attitudes. Hence, we must be cautious in interpreting these results as evidence of an effect of politicization. However, the robustness of the results to different specifications gives us confidence in the association between issue politicization and class opposition. Moreover, the strategic behaviour by parties to position themselves and politicize different dimensions of conflict – identified in analyses of issue competition – and the (quasi‐)experimental evidence on the impact of a party's messages on public opinion, lend further credibility to the theoretical link between the partisan supply and classes’ preferences. Yet, parties and their messages are also constrained by structural changes, and must face transformations to the social composition of their electoral bases. Hence, future research efforts could be centred around research designs that allow for the identification of partisan effects on class divides in preferences. These could take the form of experimental treatments subjecting respondents to different party messages, or quasi‐experimental designs identifying stances of exogenous politicization of an issue. The increased internal validity of these designs might come at the cost of lower generalizability. However, a growing body of work in this direction would provide further insight about parties’ role in activating or mitigating class politics.
Acknowledgments
I would like to thank Hanspeter Kriesi, Silja Häusermann, Enrique Hernández, Aina Gallego, Daniel Bischof, the editor and anonymous reviewers of the European Journal of Political Research, as well as participants at the 2018 ECPR, 2019 EPSA, and 2019 APSA conferences for helpful comments and suggestions on previous versions of this article.
Funding information
Macarena Ares has received funding from the postdoctoral fellowhips programme Beatriu de Pinós, funded by the Secretary of Universities and Research (Government of Catalonia) and by the Horizon 2020 programme of research and innovation of the European Union under the Marie Sklodowska‐Curie grant agreement No 801370.
Online Appendix
Additional supporting information may be found in the Online Appendix section at the end of the article:
Appendix 1: Simplified Oesch 8‐class scheme with representative professions
Appendix 2: Question wording and descriptive statistics
Appendix 3: Results from a factor analysis of immigration items in the European Social Survey
Appendix 4: Levels of politicization of redistribution, immigration, homosexuals’ rights and EU integration across countries and time
Appendix 5: Additive multilevel regression models of issue preferences
Appendix 6: Multilevel regression models with cross‐level interactions (estimated with random slopes for social class)
Appendix 7: Class differences in preferences at low, medium and high levels of issue politicization
Appendix 8: Non‐response and ‘Don't know’ replies to issue preference items
Appendix 9: Multilevel regression models with cross‐level interactions (estimated with random slopes for social class) restricted to waves 4, 6 and 8 of the European Social Survey
Appendix 10: Multilevel regression models with cross‐level interactions and socioeconomic controls at the country‐round level (estimated with random slopes for social class)
Appendix 11: Multilevel regression models with cross‐level interactions with issue salience (estimated with random slopes for social class)1
Appendix 12: Multilevel regression models with cross‐level interactions with issue polarization (estimated with random slopes for social class)2
Appendix 13: Average predicted preferences along politicization by EGP social classes3
Appendix 14: Multilevel regression models with cross‐level interactions excluding control for educational attainment, and including control for political interest (estimated with random slopes for social class)
Appendix 15: Average predicted preferences along politicization excluding one country from the estimation4
Appendix 16: Average predicted preferences along politicization of issues (excluding observations from the 2014 CHES)5





