The digestive efficiency of cattle is important for both economic and environmental agendas. The improvement of forage nutrient utilisation in cattle is directly linked with enhanced production and decreased greenhouse gas emissions intensity (GHG EI) (Arndt et al., Reference Arndt, Hristov, Price, McClelland, Pelaez, Cueva, Oh, Dijkstra, Bannink and Bayat2022). The need to produce affordable food for a growing population, in an efficient and environmentally sustainable manner, remains a challenge faced by the entire global food system (Varzakas and Smaoui, Reference Varzakas and Smaoui2024). The pressure of this challenge is acutely felt by the ruminant sector, which is frequently scrutinized for its contribution to GHG EI; especially for methane production from the ruminal microbial fermentation that enables ruminants to convert non-human edible feeds into highly nutritious human edible protein (Arndt et al., Reference Arndt, Hristov, Price, McClelland, Pelaez, Cueva, Oh, Dijkstra, Bannink and Bayat2022). The inefficiencies of microbial fermentation in the rumen are well documented (Owens and Basalan, Reference Owens and Basalan2016; Van Soest, Reference Van Soest1994); and a plethora of research has been conducted to investigate strategies to improve these inefficiencies.
Fungi can be a significant contributor to biomass in the rumen, estimates ranging from 8% (Orpin, Reference Orpin1981) to 20% of ruminal microbial dry matter (DM) (Rezaeian et al., Reference Rezaeian, Beakes and Parker2004), and play a pivotal role in fibre digestion, as well as supplying the host animal with highly digestible amino acids (Hartinger and Zebeli, Reference Hartinger and Zebeli2021). The abundance of rumen fungi is affected by the host's diet, with fungal populations, and activity, declining in highly digestible rations often fed to dairy cattle, compared to animals fed with rations high in lignified fibre, where fungi are more abundant (Hartinger and Zebeli, Reference Hartinger and Zebeli2021). Supplementing cattle rations with exogenous fungi, and their fermentation products, can offer a non-invasive method to enhance digestibility and positively manipulate the rumen microbiome towards more efficient fermentation pathways (Elghandour et al., Reference Elghandour, Salem, Adegbeye, Ponce-Covarrubias, Estrada and Ruiz2023; Meale et al., Reference Meale, Beauchemin, Hristov, Chaves and McAllister2014). The two dominant techniques for producing fungal fermentation products are solid-state fermentation (SSF) and submerged fermentation, the former occurring in the absence of free-flowing water and the latter in the presence of water. Both are methods of biotransformation, in which microbes are cultivated on a substrate to produce desirable end products, such as enzymes, organic acids, plant growth factors, alkaloids, biopolymers, aromas and pigments (Thomas et al., Reference Thomas, Larroche and Pandey2013).
Aspergillus spp. are commonly used in SSF in the food and feed industry (Thomas et al., Reference Thomas, Larroche and Pandey2013). Compared with the monogastric sector, less research has been conducted into the effects of Aspergillus spp. products in ruminants. However, studies have found their fermentation products to be efficacious at increasing the digestibility of cattle feeds in vitro (Kong et al., Reference Kong, Lu, Liu, Zhang, Jiang, Wang, Wang and Li2021; Tricarico and Dawson, Reference Tricarico and Dawson2005), and at enhancing digestibility and production responses in vivo (Caton et al., Reference Caton, Erickson, Carey and Ulmer1993; Sosa et al., Reference Sosa, Marrero, González, Albelo, Moreira, Cairo and Galindo2022; Tricarico et al., Reference Tricarico, Johnston, Dawson, Hanson, McLeod and Harmon2005). Supplementing rations with Aspergillus spp. fermentation products does not always have an effect, with some studies finding limited or no response from treatments (Giraldo et al., Reference Giraldo, Carro, Ranilla and Tejido2007; Sievert and Shaver, Reference Sievert and Shaver1993). The findings of these studies demonstrate that sometimes, the inclusion of the fermentation products of Aspergillus spp. can increase the digestibility of feeds and favourably manipulate the products of fermentation. However, the conditions under which Aspergillus fermentation products are efficacious require defining; a common issue that hinders the industry utility of supplemental microbes and the products of their fermentation in ruminants (Amin and Mao, Reference Amin and Mao2021; Meale et al., Reference Meale, Beauchemin, Hristov, Chaves and McAllister2014).
Synergen® (Alltech Inc., Kentucky, USA) is a commercially available product of the SSF of Aspergillus niger (ANP), containing residual enzyme activities. Previous research found that doses of 2 and 5 mg/g ANP significantly increased the in vitro gas production from a grass silage-based dairy total mixed ration (TMR), suggesting that ANP could potentially enhance the digestibility of cattle rations (Yerby et al., Reference Yerby, Huntington, Warren and Jonsson2025). The goal of the present study was to investigate if ANP influenced in vivo rumen fermentation when fed to cattle, by measuring the effect of a range of doses of ANP on the in sacco degradation of dairy TMR, steam-flaked barley and grass silage, rumen volatile fatty acid (VFA) concentrations and proportions, rumen pH and the whole-tract digestibility of DM.
Materials and methods
Study design
Animals and treatments
This trial followed a 4 × 4 Latin square design, investigating four doses of ANP (0, 5, 10, 15 g/day), in four cannulated, mature Jersey heifers, age 12 ± 2 years, weight 659 ± 37 kg. Doses of ANP were selected to represent range of inclusion rates around the 2 mg/g dose that previously increased in vitro TMR digestibility (Yerby et al., Reference Yerby, Huntington, Warren and Jonsson2025). A dose of 2 mg/g ANP in vitro, is approximately equivalent to feeding 10 g/day in vivo. Cattle were group-housed in a loose pen bedded with barley straw, with ad libitum access to a dry cow ration consisting of barley straw (750 g/kg) and grass silage (250 g/kg), on an as fed basis, which was topped up at 1500 h daily. Daily intake of the dry cow ration was not measured, but based upon mixer wagon top-ups, we estimate that each heifer consumed approximately 20 kg/day, on an as fed basis. The nutritional composition of the ration is shown in Table 1. Each heifer was also fed 300 g/day concentrates comprising of 50 g steam-flaked barley and 250 g soaked sugar beet pulp, making the forage-to-concentrate ratio of the total ration approximately 99.4:0.6; cattle received trace elements and vitamins in a slow-release bolus (Rumbol, UK). ANP treatments were mixed with concentrates and each heifer was fed individually in a crush at 0800 h to ensure treatment consumption. Each trial period consisted of 21-day adaption to treatment, followed by 48-h of sampling, with heifers randomly allocated treatments prior to the commencement of the trial.
Table 1. Nutritional composition of the dry cow ration, available ad libitum to four mature Jersey heifers, and the feeds suspended in sacco, in a 4 × 4 Latin square design trial, measuring the efficacy of four doses of Synergen® on rumen fermentation kinetics

a In sacco dairy total mixed ration consisted of: 761 g/kg grass silage, 224 g/kg dairy concentrates (Advanced Robot 18 Dairy Nuts, Advanced Ruminant Nutrition), 15 g/kg molasses, on an as fed basis.
b Dry cow ration consisted of: 750 g/kg barley straw, 250 g/kg grass silage, on an as fed basis.
Parameters
The in sacco degradation of steam-flaked barley, grass silage and a grass silage-based dairy TMR comprising 761 g/kg grass silage, 224 g/kg dairy concentrates and 15 g/kg molasses, as fed, was measured following the recommendations in the method evaluation of Vanzant et al. (Reference Vanzant, Cochran and Titgemeyer1998). The nutritional composition of feeds is shown in Table 1. Feeds were oven dried at 55°C for 48 h and 5 g (± 5%) of each feed was weighed into 672 pre-weighed ANKOM Forage bags (10 × 20 cm, 50 µm porosity). Feeds were dried to ensure homogeneity in DM across samples, as varying levels of moisture could impact the modelling of degradation kinetics, and to enable silage samples taken from the same clamp location to be used throughout the study; dried feeds were kept in airtight containers until required. During each sampling period, feed degradation was measured in duplicate at seven time points: 0, 3, 6, 9, 12, 24, 48 h, totalling 42 samples per rumen. Bags were soaked in 39°C water for 5 min and then inserted into the ventral sac region of the rumen and anchored to the bung of the cannula with polyester string. At each collection timepoint, duplicate bags of each feed were removed from the rumen and placed into ice water to halt fermentation, prior to being washed in a washing machine on a 30-min cold cycle, and then oven dried at 55°C for 48 h. Once dried, bags were re-weighed to calculate DM disappearance (Goering and Van Soest, Reference Goering and Van Soest1970). The contents of duplicate bags were pooled and ground to pass through a 1 mm sieve (Retsch Cyclone, Germany) for neutral detergent fibre (NDF), crude protein (CP) and organic matter (OM) analyses. NDF concentrations of feed residuals were quantified following the procedure of Van Soest (Reference Van Soest1994), using an ANKOM200 Fibre Analyser (ANKOM Technology Corporation, NY, USA). The Kjeldahl method was used for estimation of nitrogen, with CP calculated as N × 6.25 (AOAC 2001.11) (Horwitz and Latimer, Reference Horwitz and Latimer2005). OM was determined by ashing feed residuals in a muffle furnace at 550°C overnight (AOAC 923.03) (Helrich, Reference Helrich1990).
To quantify rumen pH and VFAs, ≈100 ml of digesta was collected from the ventral sac region of each rumen at timepoints: 0, 3, 6, 9, 12, 24 and 48 h, during each sampling period. The pH of digesta was measured using a calibrated probe (TRUEscience Smart Cap, UK) and then the digesta was strained through a double layer of cheesecloth. Duplicate 10 ml samples of strained rumen fluid were stored with 0.5 ml orthophosphoric acid in 15 ml Corning Centrifuge Tubes and frozen at −20°C until VFA analyses could be performed. The concentrations of total VFA, acetate, propionate, butyrate, valerate, isovalerate and isobutyrate in rumen fluid were subsequently measured with gas chromatography, using a 2-ethyl-butyric acid internal standard, following the procedures described by Erwin et al. (Reference Erwin, Marco and Emery1961). To measure apparent total tract digestibility of DM, duplicate rectal grab samples of faeces were obtained from each cow at the end of each sampling period. The acid-insoluble ash (AIA) procedure of Van Keulen and Young (Reference Van Keulen and Young1977) was used to calculate DM digestibility. Only the AIA content of the dry cow ration was used in calculations, as only a small amount of concentrates were used as a mechanism to administer ANP, their contribution to total dietary AIA at an inclusion rate of approximately 0.6%, was assumed to be negligible.
Modelling and statistical analysis of data
Degradation kinetics of DM, OM, NDF and CP in feed residuals were estimated using the NOWAY programme (Harbron, Reference Harbron1994). NOWAY fits in sacco degradability values to the exponential decay equation described by Ørskov and McDonald (Reference Ørskov and McDonald1979):
Where:
Y is the degradation of the substrate at rumen incubation time t;
a is the immediately soluble fraction + small particle insoluble fraction of the substrate (%) at t = 0;
b is the insoluble, slowly degradable fraction of the substrate (%);
a + b is the potential degradability of the substrate when t is not limited;
c is the fractional rate at which b is degraded (%/h).
Datasets were subjected to a Shapiro Wilks normality test and differences between a, b and c parameters were calculated with one-way ANOVA. Differences in rumen pH, total tract digestibility of DM, and rumen VFA proportions and concentrations were calculated with repeated measures ANOVA. All statistical analyses were performed in R (RCoreTeam, 2024) and significance was declared at P < 0.05.
Results
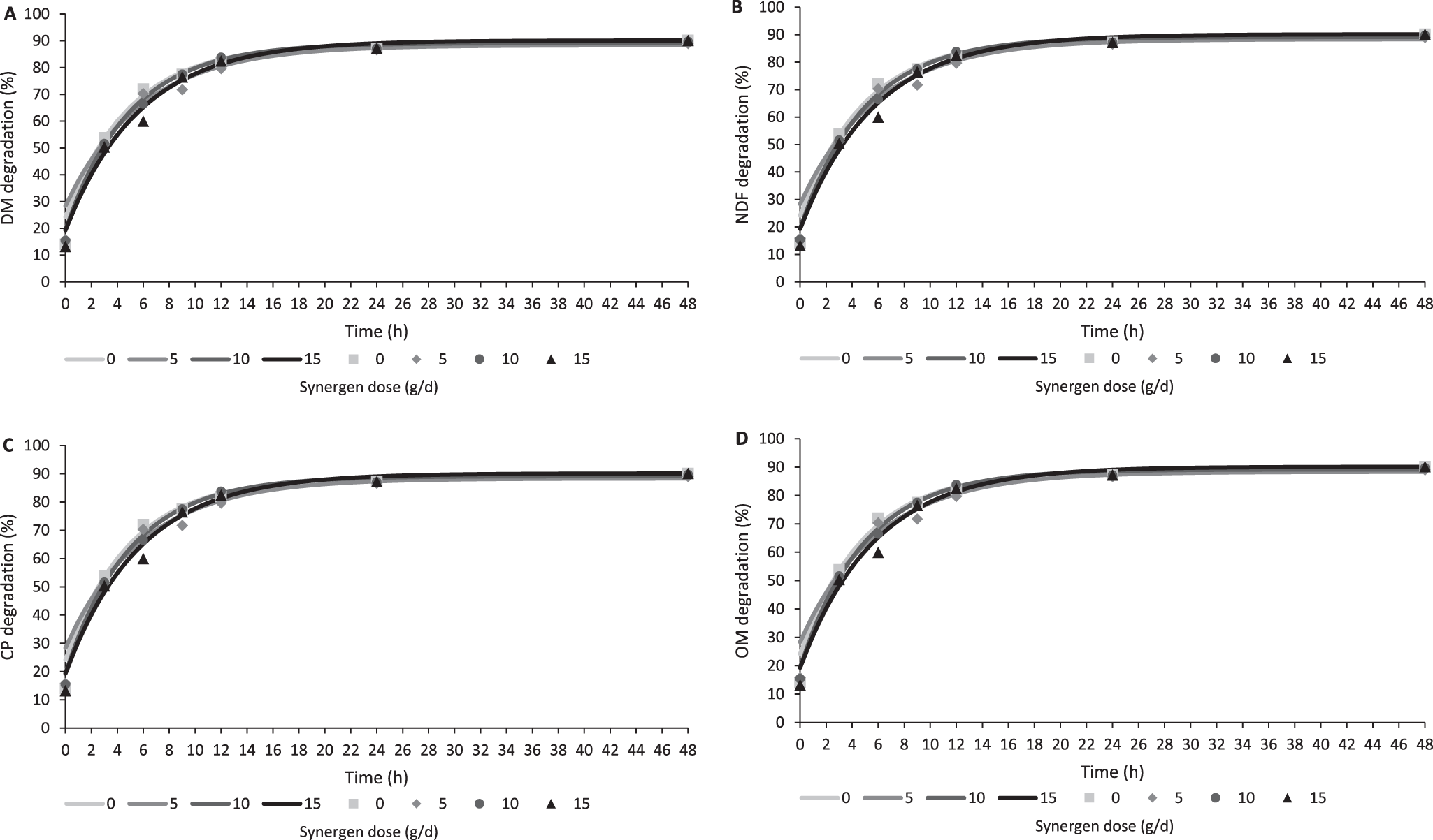
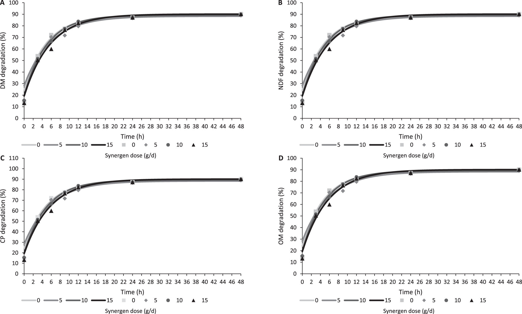
Figures 1–3 show the degradation curves of DM (A), NDF (B), CP (C) and OM (D) components of 5 g grass silage, grass silage-based dairy TMR and steam-flaked barley, respectively. Plotted lines are the fitted degradation curves calculated using the NOWAY programme, individual points are the mean degradation values of each component at each bag-withdrawal timepoint. The mean a, b and c values estimated by the NOWAY programme for the degradation of DM, OM, NDF and CP in each feed over 48 h are presented in Table 2. There were no significant differences between any treatments for any degradation parameter. The mean apparent total tract digestibility of DM from treatments of 0, 5, 10 and 15 g ANP was 83.6, 79.8, 82.1 and 80.3 %, respectively (pooled SE = 1.08). There were no significant differences in apparent digestibility from treatment (P = 0.639), experimental period (P = 0.948) and no treatment × period interaction (P = 0.721).

Figure 1. Degradation curves of the dry matter (A), neutral detergent fibre (B), crude protein (C) and organic matter (D) components of 5 g grass silage incubated in the rumens of four mature Jersey heifers, fed four doses of Synergen® (0, 5, 10, 15 g/day), in a 4 × 4 Latin square design digestibility trial. Plotted lines display the degradation curves calculated using the NOWAY programme (Harbron, Reference Harbron1994). NOWAY estimates the degradation kinetics of feed, using the exponential decay equation described by Ørskov and Mcdonald (Reference Ørskov and McDonald1979). individual scatter plot points display the mean degradation values of each component, quantified at seven bag withdrawal timepoints (0, 3, 6, 9, 12, 24 and 48 h).

Figure 2. Degradation curves of the dry matter (A), neutral detergent fibre (B), crude protein (C) and organic matter (D) components of 5 g grass silage-based dairy TMR incubated in the rumens of four mature Jersey heifers, fed four doses of Synergen® (0, 5, 10, 15 g/day), in a 4 × 4 Latin square design digestibility trial. Plotted lines display the degradation curves calculated using the NOWAY programme (Harbron, Reference Harbron1994). NOWAY estimates the degradation kinetics of feed, using the exponential decay equation described by Ørskov and Mcdonald (Reference Ørskov and McDonald1979). individual scatter plot points display the mean degradation values of each component, quantified at seven bag withdrawal timepoints (0, 3, 6, 9, 12, 24 and 48 h).

Figure 3. Degradation curves of the dry matter (A), neutral detergent fibre (B), crude protein (C) and organic matter (D) components of 5 g steam-flaked barley incubated in the rumens of four mature Jersey heifers, fed four doses of Synergen® (0, 5, 10, 15 g/day), in a 4 × 4 Latin square design digestibility trial. Plotted lines display the degradation curves calculated using the NOWAY programme (Harbron, Reference Harbron1994). NOWAY estimates the degradation kinetics of feed using the exponential decay equation described by Ørskov and Mcdonald (Reference Ørskov and McDonald1979). individual scatter plot points display the mean degradation values of each component, quantified at seven bag withdrawal timepoints (0, 3, 6, 9, 12, 24 and 48 h).
Table 2. Exponential decay parameters estimated by the NOWAY programme (Harbron, Reference Harbron1994) for the degradation of dry matter, organic matter, neutral detergent fibre and crude protein components of 5 g grass silage, grass silage-based dairy TMR and steam-flaked barley

a, the immediately soluble fraction of the substrate (%) at timepoint 0; b, the insoluble, slowly degradable fraction of the substrate (%); c, the fractional rate at which b is degraded. Feeds were incubated in the rumens of four mature Jersey heifers, fed four doses of Synergen® (0, 5, 10, 15 g/day), in a 4 × 4 Latin square design digestibility trial. Degradation was measured at seven time points (0, 3, 6, 9, 12, 24 and 48 h) during 48-h sampling periods.
Figure 4 shows the mean pH of rumen digesta collected from the fistulated cattle at seven timepoints during each 48 h sampling period. There was no effect of treatment on rumen pH (P = 0.946), nor was there a treatment × time interaction (P = 0.821). The effect of time on rumen pH was significant (P < 0.001). Mean concentrations and proportions of VFAs measured in rumen digesta are presented in Table 3. There was no significant effect of treatment, or a significant treatment × time interaction for any absolute or proportional VFA values. For all VFA parameters, the effect of time was significant (P < 0.001).

Figure 4. Rumen pH in four mature Jersey heifers, fed four doses of Synergen® (0, 5, 10, 15 g/day), in a 4 × 4 Latin square design digestibility trial. Ph of digesta was measured at seven time points during 48-h sampling periods. Error bars display SEM, and P-values were calculated using repeated measures two-way ANOVA in R (Rcoreteam, 2024).
Table 3. Mean rumen volatile fatty acid concentrations and proportions in four mature Jersey heifers, fed four doses of synergen® (0, 5, 10, 15 g/d), in a 4 × 4 Latin square digestibility trial. Digesta samples were collected from the ventral sac region of each rumen at seven time points during 48-h sampling periods

The effect of time was significant (P < 0.001) for all parameters.
Discussion
In the present study, none of the doses of ANP influenced the degradation of feeds in sacco, the apparent total tract digestibility of DM, or the VFA production from rumen fermentation. When we trialled this ANP in vitro, significant increases in gas production were measured, suggesting increased digestibility (Yerby et al., Reference Yerby, Huntington, Warren and Jonsson2025). The ANP doses and TMR used in the in vitro study were similar to the treatment doses and TMR used in the present study, and as such, we anticipated the ANP to influence digestibility in vivo. Although in vitro gas production is a valuable tool for highly controlled pre-screening of feed materials and additives prior to animal testing, in vitro effects do not guarantee efficacy in animals, as demonstrated by these results. The rumen is a complex organ containing a dynamic population of microbes. As such, many factors, including dose, production method, animal age and productivity, environment, pH stability and feed specificity, can influence the efficacy of a microbial fermentation product in the rumen (Beauchemin et al., Reference Beauchemin, Colombatto and Morgavi2004). To the authors’ knowledge, no in vivo studies have been published on the effects of fermentation products solely from A. niger in mature cattle. However, there have been inconsistent responses in studies measuring the effects of products from a closely related species: Aspergillus oryzae, and combined A. oryzae and A. niger co-cultivation products, on rumen fermentation kinetics and cattle productivity.
Yoon and Stern (Reference Yoon and Stern1996) supplemented four lactating Holstein cows with 3 g/day A. oryzae culture in a 4 × 4 Latin square design, as well as a S. cerevisiae treatment and a combination of S. cerevisiae and A. oryzae. Cows treated with A. oryzae culture had a significant increase in ruminal cellulolytic and proteolytic bacterial counts. However, similar to our study, treatment had no effect on ruminal digestibility, rumen pH, whole-tract digestibility or VFA concentrations and proportions. Although a combination of A. oryzae and S. cerevisiae did decrease ruminal isoacid concentrations. Increased populations of cellulolytic and proteolytic bacteria should influence rumen fermentation (Newbold et al., Reference Newbold, Brock and Wallace1992). However, no significant effect on fermentation parameters was measured by Yoon and Stern (Reference Yoon and Stern1996). Conversely, Sosa et al. (Reference Sosa, Marrero, González, Albelo, Moreira, Cairo and Galindo2022) trialled four doses of A. oryzae culture (0, 1, 2, 3 g/days), in four non-lactating Holstein × Zebu cows, in a 4 × 4 Latin square design trial, and found a significant increase (P < 0.0001) in ruminal cellulolytic bacteria and fungi from all treatment doses, paired with a significant increase in DMI. Sosa et al. (Reference Sosa, Marrero, González, Albelo, Moreira, Cairo and Galindo2022) also realised an increase in total VFA production from the 2 g/day dose of A. oryzae culture, which is likely related to the increase in cellulolytic microbes. Notably, the same A. oryzae dose (3 g/day) as used in the study of Yoon and Stern (Reference Yoon and Stern1996), did not significantly influence VFA production or proportions. This highlights the impact that factors such as inclusion rate can have on the efficacy of Aspergillus spp. products. The cattle in the study of Sosa et al. (Reference Sosa, Marrero, González, Albelo, Moreira, Cairo and Galindo2022) were fed a highly digestible ration, containing 664 g/kg DM corn silage and 300 g/kg DM soybean, in comparison to the ration offered in our study which was straw based and high in undigestible fibre. The rumens of cattle fed high fibre diets are favourable environments for anaerobic fungi to proliferate in, and these fungi can enhance the digestion of lignified fibre with penetrative hyphae (Hartinger and Zebeli, Reference Hartinger and Zebeli2021). Sosa et al. (Reference Sosa, Marrero, González, Albelo, Moreira, Cairo and Galindo2022) measured significant increases in rumen fungi from 3.35 log ufc/mL in control cattle, to 5.34 log ufc/mL in cattle fed 2 g/day A. oryzae extract, which likely contributed to the improvements in performance measured in their study. Although fungi populations were not measured in the present study, it is plausible that the high levels of endogenous fungal activity resulting from basal diet offered, may have caused the lack of treatment effects in this study.
Martins et al. (Reference Martins, Oh, Harper, Melgar, Räisänen, Chen, Nedelkov, Karnezos and Hristov2022) measured the effect of an enzyme extract from A. niger and A. oryzae on the total tract digestibility and lactational productivity of primiparous and multiparous Holstein cows (n = 24 per control and treatment groups), offered a TMR containing 37.5% cereals, 43% corn silage, 13.2% alfalfa haylage and 4% straw hay mix, as fed. The extract contained amylase, hemicellulase, cellulase, β-glucanase and pectinase activities, and was included at a dose rate of 113.4 g/day. As with our study, total tract digestibility was unaffected by treatment. However, treatment increased milk yield and energy-corrected milk in primiparous cows, but not multiparous cows. Concentrations of milk protein and lactose were increased from treatment regardless of parity but yields of milk protein and lactose were only increased in primiparous cows. Somatic cell count was significantly reduced by treatment irrespective of parity. There was no effect of treatment on body weight, milk urea nitrogen or total milk solids. This study indicates that lactational performance of cattle can be enhanced from Aspergillus spp. products, without a corresponding significant increase in whole-tract nutrient digestibility. Notably, the parity × treatment interactions for yields of milk, protein, and lactose, highlight the influence that age can have on the efficacy of microbial fermentation products. In their first lactation, many cows have not reached their mature size, thus, DMI can be limited by GI tract capacity (Van Soest, Reference Van Soest1994). Enhancing the hydrolytic capacity of the rumen with Aspergillus spp. products could increase rumen outflow rate and consequently DMI, although this was not measured by Martins et al. (Reference Martins, Oh, Harper, Melgar, Räisänen, Chen, Nedelkov, Karnezos and Hristov2022). Increased DMI could enable increased VFA production and could explain beneficial lactation responses. The rumen microbiome was not examined in this study, but the ration cattle were fed would likely provide a less favourable environment for endogenous fungi compared to the ration offered in our study, and as such, the addition of this Aspergillus extract may have had a greater capacity to enhance rumen fermentation.
Sun et al. (Reference Sun, Wu, Wang, Wang and Liu2017) measured the effect of 5 g/day A. oryzae culture in multiparous Chinese Holstein cows (n = 24 per control and treatment groups). Similarly to the multiparous cows in the study of Martins et al. (Reference Martins, Oh, Harper, Melgar, Räisänen, Chen, Nedelkov, Karnezos and Hristov2022), treatment had no effect on the milk yield, fat or protein; although an increase in the percentage of lactose in milk was realised. Conversely to our study, cows treated with A. oryzae culture had significantly greater production of VFAs and increased microbial protein production; coupled with a significantly higher Ruminococcus flavefaciens population and increased carboxymethylcellulase activity in their rumens. Suggesting that A. oryzae influences the rumen microbial community and increases its hydrolytic capacity. In our study, the cattle treated with ANP were not lactating, and considerably older (12 ± 2 years) and heavier (659 ± 37 kg) than most Jersey cows in commercial herds, as well as being offered a high fibre diet unsuitable for lactating animals. Their metabolic demands would be considerably lower than lactating and/or pregnant cows (Ferrell and Jenkins, Reference Ferrell and Jenkins1984). Although cannulating cattle allows for access into the rumen environment, which can provide valuable data on rumen fermentation parameters which would otherwise be difficult to collect, the physiological and dietary differences between the cattle available for use in this study and cattle in dairy herds is a limitation of this study. The addition of small quantities of fungal fermentation product, without penetrative capacity due to loss of the hyphal function following SSF, into an environment which could already have significant fungal activities, likely constrained the potential efficacy of this ANP.
Conclusion
In the present study, supplementing mature, non-lactating Jersey cattle with ANP had no effect on the in sacco degradation of grass silage, grass silage-based dairy TMR, or steam-flaked barley. Treatments did not alter the pH of the rumen, the production of VFAs, or the total tract digestibility of DM. These results indicate that under the conditions of this trial, supplemental ANP does not influence digestibility or the end products of rumen fermentation. Further research is required to determine if age, breed, diet and lactation influence the efficacy of ANP in cattle.
Acknowledgements
The authors would like to acknowledge Professor Jo-Anne Murray and Professor Peter Hastie for securing the funding for the PhD project that this study is a component of.
Funding statement
This study was supported by the University of Glasgow and Alltech as part of a PhD studentship.
Competing interests
H.W. is an employee of Alltech, which produces Synergen®, and Alltech is part funding the PhD studentship of Stefan Yerby. The funding did not influence the presentation of the reports, Alltech having given permission to publish without redaction before the study was conducted.
Ethics approval
The experiments described in this study were authorised under the Animals (Scientific Procedures) Act of 1986, Project Licence number PP7153972, granted: 13 August 2020 and amended: 25 January 2023.
Data availability statement
Full data sets from this experiment are deposited in the University of Glasgow Enlighten repository: http://dx.doi.org/10.5525/gla.researchdata.1874.
Declaration of generative AI and AI-assisted technologies in the writing process
The authors did not use any artificial intelligence-assisted technologies in the writing process.
Author contributions
S.Y.: Conceptualization, Investigation, Data Curation, Formal analysis, Writing – original draft. J.H.: Conceptualization, Resources, Writing – review & editing, Supervision. H.W.: Conceptualization, Resources, Writing – review & editing, Supervision. N.J.: Conceptualization, Resources, Project administration, Writing – review & editing, Supervision.



