Introduction
By defining moduli problems classifying deformations of p-divisible groups with additional structures, Rapoport and Zink have constructed their eponymous spaces which consist of a projective system
$({\mathcal {M}}_{K_p})$
of non-archimedean analytic spaces. The set of data defining the moduli problem determines two p-adic groups
$G({\mathbb {Q}}_p)$
and
$J({\mathbb {Q}}_p)$
which both act on the tower. Its cohomology is therefore equipped with an action of
$G({\mathbb {Q}}_p) \times J({\mathbb {Q}}_p)$
, along with a compatible action of the absolute Weil group W of a finite extension of
${\mathbb {Q}}_p$
, called the local reflex field. This is expected to give a geometric incarnation of the local Langlands correspondence. The Kottwitz conjecture describes the
$G({\mathbb {Q}}_p)\times J({\mathbb {Q}}_p)$
-supercuspidal part of the cohomology. It was first proved for the Lubin-Tate tower in [Reference Boyer6] and in [Reference Harris and Taylor16], from which the Drinfeld case follows by duality. The case of basic unramified EL Rapoport-Zink spaces has been treated in [Reference Fargues14] and [Reference Shin30]. As for the PEL case, it was proved for basic unramified unitary Rapoport-Zink spaces with signature
$(1,n-1)$
with n odd in [Reference Nguyen26], and in [Reference Bertoloni Meli and Nguyen5] for an arbitrary signature with an odd number of variables. Beyond the Kottwitz conjecture, one would like to understand the individual cohomology groups of the Rapoport-Zink spaces entirely. This has been done in [Reference Boyer7] for the Lubin-Tate case (and, dually, for the Drinfeld case as well) using a vanishing cycle approach. Boyer’s results were later used in [Reference Dat11] to recover the action of the monodrony and give an elegant form of geometric Jacquet-Langlands correspondence. However, this method relied heavily on the particular geometry of the Lubin-Tate tower, and we are faced with technical issues in other situations.
In this paper, we aim at understanding a little bit more on the individual cohomology groups of the Rapoport-Zink spaces in the basic PEL unramified unitary case with signature
$(1,n-1)$
at hyperspecial level. Here,
$G({\mathbb {Q}}_p)$
is an unramified group of unitary similitudes in n variables and
$J({\mathbb {Q}}_p)$
is an inner form of
$G({\mathbb {Q}}_p)$
. In fact,
$J({\mathbb {Q}}_p)$
is isomorphic to
$G({\mathbb {Q}}_p)$
when n is odd and
$J({\mathbb {Q}}_p)$
is the non quasi-split inner form when n is even. Our approach is based on the description of the reduced special fiber
${\mathcal {M}}_{\mathrm {red}}$
given in [Reference Vollaard32] and [Reference Vollaard and Wedhorn33]. In these papers, Vollaard and Wedhorn built the Bruhat-Tits stratification
$\{{\mathcal {M}}_{\Lambda }\}_{\Lambda }$
on
${\mathcal {M}}_{\mathrm {red}}$
which has two distinctive features:
-
– the closed strata
$({\mathcal {M}}_{\Lambda })_{\Lambda }$
are indexed by the vertices of the Bruhat-Tits building
$\Lambda \in \mathrm {BT}(J,{\mathbb {Q}}_p)$
of
$J({\mathbb {Q}}_p)$
. The combinatorics of the stratification can be read off the building. -
– each individual stratum
${\mathcal {M}}_{\Lambda }$
is isomorphic to a generalized Deligne-Lusztig variety for a finite group of Lie type of the form
$\mathrm {GU}_{2\theta +1}(\mathbb F_p)$
, arising in the maximal reductive quotient of the maximal parahoric subgroup
$J_{\Lambda } := \mathrm {Stab}_J(\Lambda )$
. Here
$1\leq 2\theta +1 =: t(\Lambda ) \leq n$
is an odd integer called the orbit type of
$\Lambda \in \mathrm {BT}(J,{\mathbb {Q}}_p)$
.
Let
$\theta _{\mathrm {max}} := \left \lfloor \frac {n-1}{2}\right \rfloor $
so that we have
$0 \leq \theta \leq \theta _{\mathrm {max}}$
for all vertices
$\Lambda \in \mathrm {BT}(J,{\mathbb {Q}}_p)$
. In [Reference Muller25], by exploiting the Ekedahl-Oort stratification on a given stratum
${\mathcal {M}}_{\Lambda }$
, we computed the cohomology groups
${\mathrm {H}}^{\bullet }({\mathcal {M}}_{\Lambda }\otimes \overline {\mathbb F_p},\overline {{\mathbb {Q}}_{\ell }})$
in terms of representations of
$\mathrm {GU}_{2\theta +1}(\mathbb F_p)$
with a Frobenius action. We consider the Rapoport-Zink space
${\mathcal {M}}^{\mathrm {an}} := {\mathcal {M}}_{K_0}$
at maximal level, where
$K_0 \subset G({\mathbb {Q}}_p)$
is a hyperspecial parahoric subgroup. Then
${\mathcal {M}}^{\mathrm {an}}$
is an analytic space of dimension
$n-1$
. It admits an open cover by the analytical tubes
$U_{\Lambda }$
of the closed Bruhat-Tits strata
${\mathcal {M}}_{\Lambda }$
. This induces a
$J({\mathbb {Q}}_p)\times W$
-equivariant Čech spectral sequence computing the cohomology of
${\mathcal {M}}^{\mathrm {an}}$
$$ \begin{align*}E_{1}^{a,b}: \bigoplus_{\gamma \in I_{-a+1}} {\mathrm{H}}^b_c(U_{\Lambda(\gamma)} \widehat{\otimes} \, {\mathbb{C}}_p,\overline{{\mathbb{Q}}_{\ell}}) \implies {\mathrm{H}}^{a+b}_c({\mathcal{M}}^{\mathrm{an}},\overline{{\mathbb{Q}}_{\ell}}),\end{align*} $$
where for
$s\geq 1$
the index set is given by
$$ \begin{align*}I_{s} := \left\{\gamma = (\Lambda^1,\ldots ,\Lambda^s) \in \mathrm{BT}(J,{\mathbb{Q}}_p)^s \,|\, \forall i, t(\Lambda^i) = 2\theta_{\mathrm{max}}+1 \text{ and } U(\gamma) := \bigcap_{i=1}^s U_{\Lambda^i} \not = \emptyset\right\}.\end{align*} $$
Using nearby cycles for formal schemes and since we have good reduction, the cohomology of the tubes
$U_{\Lambda }$
can be identified, up to a shift in indices and a suitable Tate twist, with the cohomology of the closed Bruhat-Tits strata
${\mathcal {M}}_{\Lambda }$
. Let
$\mathrm {Frob} \in W$
be a lift of the geometric Frobenius and let
$\tau $
denote the action of the element
$(p\cdot \mathrm {id},\mathrm {Frob}) \in J({\mathbb {Q}}_p)\times W$
on the cohomology. We refer to
$\tau $
as the ‘rational Frobenius’. Then the action of
$\tau $
on the cohomology of
$U_{\Lambda }$
is identified with the Frobenius action on the cohomology of
${\mathcal {M}}_{\Lambda }$
.
Proposition. The spectral sequence degenerates on the second page
$E_2$
. For
$0 \leq b \leq 2(n-1)$
, the induced filtration on
${\mathrm {H}}_c^b({\mathcal {M}}^{\mathrm {an}}\widehat {\otimes } \, {\mathbb {C}}_p,\overline {{\mathbb {Q}}_{\ell }})$
splits, i.e. we have an isomorphism
$$ \begin{align*}{\mathrm{H}}_c^b({\mathcal{M}}^{\mathrm{an}}\widehat{\otimes} \, {\mathbb{C}}_p,\overline{{\mathbb{Q}}_{\ell}}) \simeq \bigoplus_{b \leq b' \leq 2(n-1)} E_2^{b-b',b'}.\end{align*} $$
The action of W on
${\mathrm {H}}_c^b({\mathcal {M}}^{\mathrm {an}}\widehat {\otimes } \, {\mathbb {C}}_p,\overline {{\mathbb {Q}}_{\ell }})$
is trivial on the inertia subgroup and the action of the rational Frobenius
$\tau $
is semisimple. The subspace
$E_2^{b-b',b'}$
is identified with the eigenspace of
$\tau $
associated to the eigenvalue
$(-p)^{b'}$
.
Let us fix a maximal simplex
$\{\Lambda _0,\ldots ,\Lambda _{\theta _{\mathrm {max}}}\}$
in
$\mathrm {BT}(J,{\mathbb {Q}}_p)$
such that
$t(\Lambda _{\theta }) = 2\theta +1$
for all
$0\leq \theta \leq \theta _{\mathrm {max}}$
, and let us write
$J_{\theta }$
instead of
$J_{\Lambda _{\theta }}$
. In order to study the
$J({\mathbb {Q}}_p)$
-action, we rewrite the terms
$E_1^{a,b}$
using compactly induced representations
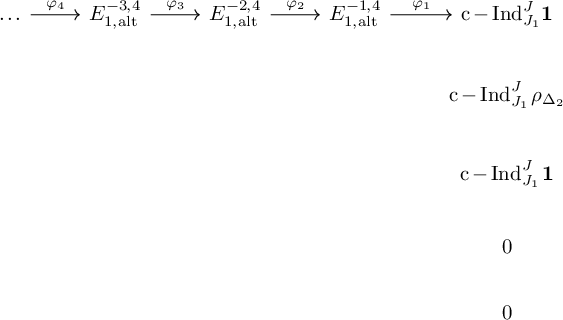
$$ \begin{align*}E_1^{a,b} \simeq \bigoplus_{\theta = 0}^{\theta_{\mathrm{max}}} {\mathrm{c-Ind}}_{J_{\theta}}^J \, \left( {\mathrm{H}}_c^b(U_{\Lambda_{\theta}}\widehat{\otimes} \, {\mathbb{C}}_p,\overline{{\mathbb{Q}}_{\ell}}) \otimes \overline{{\mathbb{Q}}_{\ell}}[K_{-a+1}^{(\theta)}]\right).\end{align*} $$
Here for
$s\geq 1$
and
$0 \leq \theta \leq \theta _{\mathrm {max}}$
the finite set
$K_{s}^{(\theta )} \subset I_{s}$
is given by
It is equipped with an action of
$J_{\theta }$
and
$\overline {{\mathbb {Q}}_{\ell }}[K_s^{(\theta )}]$
is the associated permutation module. The various
$J_{\theta }$
’s are maximal parahoric subgroups of
$J({\mathbb {Q}}_p)$
, and the representations
${\mathrm {H}}_c^b(U_{\Lambda _{\theta }}\widehat {\otimes } \, {\mathbb {C}}_p,\overline {{\mathbb {Q}}_{\ell }}) \otimes \overline {{\mathbb {Q}}_{\ell }}[K_{-a+1}^{(\theta )}]$
are trivial on the unipotent radical
$J_{\theta }^+$
. In particular, they are representations of the finite group of Lie type
${\mathcal {J}}_{\theta } := J_{\theta }/J_{\theta }^+ \simeq \mathrm {G}(\mathrm U_{2\theta +1}(\mathbb F_p)\times \mathrm U_{n-2\theta -1}(\mathbb F_p))$
. By exploiting this spectral sequence and the underlying combinatorics of the Bruhat-Tits building of
$J({\mathbb {Q}}_p)$
, we are able to compute the cohomology groups of
${\mathcal {M}}^{\mathrm {an}}$
of highest degree
$2(n-1)$
, and when
$n=3$
or
$4$
the group of degree
$2(n-1)-1$
as well. We denote by
$J^{\circ }$
the subgroup of
$J({\mathbb {Q}}_p)$
consisting of all the unitary similitudes in
$J({\mathbb {Q}}_p)$
whose multipliers are units. We note that
$J^{\circ }$
is normal in
$J({\mathbb {Q}}_p)$
with quotient
$J/J^{\circ } \simeq \mathbb Z$
.
Proposition. There is an isomorphism
and the rational Frobenius
$\tau $
acts via multiplication by
$p^{2(n-1)}$
.
For
$\lambda $
a partition of
$2\theta _{\mathrm {max}}+1$
, we denote by
$\rho _{\lambda }$
the associated irreducible unipotent representation of
$\mathrm {GU}_{2\theta _{\mathrm {max}}+1}(\mathbb F_p)$
via the classification of [Reference Lusztig and Srinivasan22] which we recall in Section 2. We also write
$\rho _{\lambda }$
for its inflation to the maximal parahoric subgroup
$J_{\theta _{\mathrm {max}}}$
. In particular, if
$2\theta _{\mathrm {max}}+1$
is equal to
$\frac {t(t+1)}{2}$
for some integer
$t\geq 1$
, we write
$\Delta _t := (t,t-1,\ldots ,1)$
for the partition of
$2\theta _{\mathrm {max}}+1$
whose Young diagram is a staircase. The unipotent representation
$\rho _{\Delta _t}$
of
$\mathrm {GU}_{2\theta _{\mathrm {max}}+1}(\mathbb F_p)$
is cuspidal.
Theorem. Assume that
$\theta _{\mathrm {max}} = 1$
, i.e.
$n=3$
or
$4$
. We have
with the rational Frobenius
$\tau $
acting via multiplication by
$-p^{2(n-1)-1}$
.
In general, the terms
$E_2^{a,b}$
in the second page may be difficult to compute. However, the terms corresponding to
$a=0$
and
$b \in \{2(n-1-\theta _{\mathrm {max}}),2(n-1-\theta _{\mathrm {max}})+1\}$
are not touched by any non-zero differential in the alternating version of the Čech spectral sequence, making their computations accessible. We note that
$2(n-1-\theta _{\mathrm {max}})$
is equal to the middle degree when n is odd, and to one plus the middle degree when n is even.
Proposition. We have an isomorphism of
$J({\mathbb {Q}}_p)$
-representations
If
$n\geq 3$
then we also have an isomorphism
We note that the representation
$\rho _{(2\theta _{\mathrm {max}}+1)}$
is the trivial representation. Using type theory, we may describe the inertial supports of the irreducible subquotients of such compactly induced representations. An inertial class is a pair
$[L,\tau ]$
where L is a Levi complement of
$J({\mathbb {Q}}_p)$
and
$\tau $
is a supercuspidal representation of L, up to conjugation and twist by an unramified character. Any smooth irreducible representation
$\pi $
of
$J({\mathbb {Q}}_p)$
determines a unique inertial class
$\ell (\pi )$
. If
$\mathfrak s$
is an inertial class, let
$\mathrm {Rep}^{\mathfrak s}(J({\mathbb {Q}}_p))$
be the category of smooth representations of
$J({\mathbb {Q}}_p)$
all of whose irreducible subquotients
$\pi $
satisfy
$\ell (\pi ) = \mathfrak s$
. For
$\mathfrak S$
a set of inertial classes, let
$\mathrm {Rep}^{\mathfrak S}(J({\mathbb {Q}}_p))$
be the direct product of the categories
$\mathrm {Rep}^{\mathfrak s}(J({\mathbb {Q}}_p))$
for
$\mathfrak s \in \mathfrak S$
. Let
$(\mathbf V,\{\cdot ,\cdot \})$
be the n-dimensional
${\mathbb {Q}}_{p^2}$
-hermitian space whose group of unitary similitudes is
$J({\mathbb {Q}}_p)$
. The Witt index of
$\mathbf V$
is
$\theta _{\mathrm {max}}$
. Let
be a Witt decomposition, where for all
$1\leq i \leq \theta _{\mathrm {max}}$
,
$H_i$
is a hyperbolic plane and where
$\mathbf V^{\mathrm {an}}$
is anisotropic. Note that
$\mathbf V^{\mathrm {an}}$
has dimension
$1$
or
$2$
depending on whether n is odd or even, respectively. For
$0 \leq f \leq \theta _{\mathrm {max}}$
, we consider
where for
$1\leq i \leq \theta _{\mathrm {max}}$
,
$T_i \subset \mathrm {GU}(H_i)$
is a maximal torus. Then
$L_f$
can be seen as a Levi complement in
$J({\mathbb {Q}}_p)$
, and
$L_{\theta _{\mathrm {max}}} = J({\mathbb {Q}}_p)$
. In particular
$L_0$
is a minimal Levi complement. Let
$\tau _0$
denote the trivial representation of
$L_0$
, and let
$\tau _1$
denote the representation of
$L_1$
obtained by letting the
$T_i$
’s for
$i\geq 2$
act trivially, and
$\mathrm {GU}(H_1 \oplus \mathbf V^{\mathrm {an}})$
act through the compact induction of the inflation to a special maximal parahoric subgroup of the unique cuspidal unipotent representation
$\rho _{\Delta _2}$
of
$\mathrm {GU}_3(\mathbb F_p)$
. For
$f=0,1$
, the irreducible representation
$\tau _f$
of
$L_f$
is supercuspidal. For V a smooth representation of
$J({\mathbb {Q}}_p)$
and
$\chi $
a continuous character of the centre
$\mathrm Z(J({\mathbb {Q}}_p))$
, we denote by
$V_{\chi }$
the maximal quotient of V on which the centre acts like
$\chi $
. Combining our previous proposition with an analysis of the inertial supports via type theory, we obtain the following proposition.
Proposition. Let
$\chi $
be an unramified character of
$\mathrm Z(J)$
.
-
– Assume that
$n\geq 3$
. The representation
$(E_2^{0,2(n-1-\theta _{\mathrm {max}})})_{\chi }$
contains no non-zero admissible subrepresentation, and is not
$J({\mathbb {Q}}_p)$
-semisimple. Moreover, any irreducible subquotient has inertial support
$[L_0,\tau _0]$
. If
$n\geq 5$
, then the same statement holds for
$(E_2^{0,2(n-1-\theta _{\mathrm {max}})+1})_{\chi }$
with the inertial support being
$[L_1,\tau _1]$
. -
– For
$n = 1,2,3,4$
, let
$b = 0,2,3,5$
, respectively. We have
$\theta _{\mathrm {max}} = 0$
if
$n=1,2$
and
$\theta _{\mathrm {max}} = 1$
if
$n=3,4$
. Let
$\chi $
be an unramified character of
$\mathrm {Z}(J({\mathbb {Q}}_p))$
. The twist
$\tau _{\theta _{\mathrm {max}},\chi }$
of
$\tau _{\theta _{\mathrm {max}}}$
by
$\chi $
is an irreducible supercuspidal representation of
$J({\mathbb {Q}}_p)$
, and we have
$$ \begin{align*}(E_2^{0,b})_{\chi} \simeq \begin{cases} \tau_{\theta_{\mathrm{max}},\chi} & \text{if } n = 1,3,4,\\ \tau_{\theta_{\mathrm{max}},\chi}\oplus\chi_0\tau_{\theta_{\mathrm{max}},\chi} & \text{if } n=2. \end{cases}\end{align*} $$
Here, when
$n=2$
the subgroup
$\mathrm Z(J({\mathbb {Q}}_p))J_0$
has index
$2$
in
$J({\mathbb {Q}}_p)$
. In this situation,
$\chi _0$
denotes the unique non-trivial character of
$J({\mathbb {Q}}_p)$
which is trivial on
$\mathrm Z(J)J_0$
. This proposition yields the following important corollary.
Corollary. Let
$\chi $
be an unramified character of
$\mathrm Z(J({\mathbb {Q}}_p))$
. If
$n\geq 3$
then
${\mathrm {H}}_c^{2(n-1-\theta _{\mathrm {max}})}({\mathcal {M}}^{\mathrm {an}}\widehat {\otimes } \, {\mathbb {C}}_p,\overline {{\mathbb {Q}}_{\ell }})_{\chi }$
is not
$J({\mathbb {Q}}_p)$
-admissible. If
$n\geq 5$
then the same holds for
${\mathrm {H}}_c^{2(n-1-\theta _{\mathrm {max}})+1}({\mathcal {M}}^{\mathrm {an}}\widehat {\otimes } \, {\mathbb {C}}_p,\overline {{\mathbb {Q}}_{\ell }})_{\chi }$
.
Thus the cohomology of Rapoport-Zink spaces need not be admissible nor
$J({\mathbb {Q}}_p)$
-semisimple in general. Lastly, we introduce the unramified unitary PEL Shimura variety of signature
$(1,n-1)$
with hyperspecial level structure at p. It is defined over a quadratic extension F of
${\mathbb {Q}}$
in which the prime p is inert. The corresponding Shimura datum gives rise to a reductive group
$\mathbb G$
over
${\mathbb {Q}}$
such that
$\mathbb G_{{\mathbb {Q}}_p} = G$
and
$\mathbb G(\mathbb R) \simeq \mathrm {GU}(1,n-1)$
. The Shimura varieties are indexed by the open compact subgroups
$K^p \subset \mathbb G(\mathbb A_f^p)$
which are small enough. Kottwitz constructed integral models
$\mathrm S_{K^p}$
at p of these Shimura varieties. Their special fibers are stratified by the Newton strata, and the unique closed stratum is called the basic locus, which we denote by
$\overline {\mathrm S}_{K^p}^{\mathrm {ss}}$
since it coincides with the supersingular locus. It has dimension
$\theta _{\mathrm {max}}$
. The p-adic uniformization theorem of [Reference Rapoport and Zink28] gives a geometric identity between the reduced special fiber
${\mathcal {M}}_{\mathrm {red}}$
of the Rapoport-Zink space
$\mathcal M$
and the supersingular locus
$\overline {\mathrm S}_{K^p}^{\mathrm {ss}}$
. In [Reference Fargues14], Fargues constructed a Hochschild-Serre spectral sequence associated to this geometric identity, computing the cohomology of the supersingular locus.
Let
$\xi $
be an irreducible algebraic finite dimensional representation of
$\mathbb G$
, and let
$\overline {{\mathcal {L}}_{\xi }}$
be the associated local system on the Shimura variety, restricted to the special fiber. It is a pure sheaf of some weight
$w(\xi ) \in \mathbb Z_{\geq 0}$
. Let I be the inner form of
$\mathbb G$
such that
$I_{{\mathbb {Q}}_p} = J$
,
$I_{\mathbb A_f^p} = \mathbb G_{\mathbb A_f^p}$
and
$I(\mathbb R) \simeq \mathrm {GU}(0,n)$
. We denote by
${\mathcal {A}}_{\xi }(I)$
the set of automorphic representations of I of type
at infinity, and counted with multiplicities. Fargues’ spectral sequence is given in the second page by
$$ \begin{align*}F_2^{a,b} = \bigoplus_{\Pi\in{\mathcal{A}}_{\xi}(I)} \mathrm{Ext}_{J}^a \left ({\mathrm{H}}_c^{2(n-1)-b}({\mathcal{M}}^{\mathrm{an}}\widehat{\otimes} \, {\mathbb{C}}_p, \overline{{\mathbb{Q}}_{\ell}})(1-n), \Pi_p\right) \otimes \Pi^p \implies \mathrm{H}^{a+b}(\overline{\mathrm S}^{\mathrm{ss}} \otimes \, \overline{\mathbb F_p}, \overline{{\mathcal{L}}_{\xi}}),\end{align*} $$
where
${\mathrm {H}}^{\bullet }(\overline {\mathrm S}^{\mathrm {ss}}\otimes \,\overline {\mathbb F_p},\overline {{\mathcal {L}}_{\xi }}) := \varinjlim _{K^p}{\mathrm {H}}^{\bullet }(\overline {\mathrm S}_{K^p}^{\mathrm {ss}} \otimes \, \overline {\mathbb F_p},\overline {{\mathcal {L}}_{\xi }})$
. We point out that the abutment is just the cohomology of the supersingular locus with coefficients in
$\overline {{\mathcal {L}}_{\xi }}$
because the nearby cycles are trivial due to the smoothness of the integral model
$\mathrm S_{K^p}$
. It is
$\mathbb G(\mathbb A_f^p)\times W$
-equivariant. When
$n=3$
or
$4$
this sequence degenerates on the second page, and our knowledge on the cohomology of the Rapoport-Zink space
${\mathcal {M}}^{\mathrm {an}}$
allows us to compute every term. We obtain a description of the cohomology of the supersingular locus in terms of automorphic representations.
A smooth character of
$J({\mathbb {Q}}_p)$
is said to be unramified if it is trivial on all compact subgroups of
$J({\mathbb {Q}}_p)$
. Let
$X^{\mathrm {un}}(J({\mathbb {Q}}_p))$
denote the set of unramified characters of
$J({\mathbb {Q}}_p)$
. Let
$\mathrm {St}_J$
denote the Steinberg representation of
$J({\mathbb {Q}}_p)$
. If
$\Pi \in {\mathcal {A}}_{\xi }(I)$
, we define
$\delta _{\Pi _p} := \omega _{\Pi _p}(p^{-1}\cdot \mathrm {id})p^{-w(\xi )} \in \overline {{\mathbb {Q}}_{\ell }}^{\times }$
where
$\omega _{\Pi _p}$
is the central character of
$\Pi _p$
, and
$p^{-1}\cdot \mathrm {id}$
lies in the centre of
$J({\mathbb {Q}}_p)$
. For any isomorphism
$\iota :\overline {{\mathbb {Q}}_{\ell }} \simeq \mathbb C$
we have
$|\iota (\delta _{\Pi _p})| = 1$
. Eventually, if
$x\in \overline {{\mathbb {Q}}_{\ell }}^{\times }$
, we denote by
$\overline {{\mathbb {Q}}_{\ell }}[x]$
the one-dimensional representation of the Weil group W where the inertia acts trivially and
$\mathrm {Frob}$
acts like multiplication by the scalar x.
Theorem. Assume that
$n = 3$
or
$4$
, so that
$\overline {\mathrm S}^{\mathrm {ss}}$
is one dimensional. There are
$\mathbb G(\mathbb A_f^p) \times W$
-equivariant isomorphisms
$$ \begin{align*} \mathrm{H}^{0}(\overline{\mathrm S}^{\mathrm{ss}} \otimes \, \overline{\mathbb F_p}, \overline{{\mathcal{L}}_{\xi}}) & \simeq \bigoplus_{\substack{\Pi\in{\mathcal{A}}_{\xi}(I) \\ \Pi_p \in X^{\mathrm{un}}(J)}} \Pi^p \otimes \overline{{\mathbb{Q}}_{\ell}}[\delta_{\Pi_p}p^{w(\xi)}], \\ \mathrm{H}^{1}(\overline{\mathrm S}^{\mathrm{ss}} \otimes \, \overline{\mathbb F_p}, \overline{{\mathcal{L}}_{\xi}}) & \simeq \bigoplus_{\substack{\Pi\in{\mathcal{A}}_{\xi}(I) \\ \exists \chi \in X^{\mathrm{un}}(J),\\ \Pi_p = \chi\cdot\mathrm{St}_J}} \Pi^p \otimes \overline{{\mathbb{Q}}_{\ell}}[\delta_{\Pi_p}p^{w(\xi)}] \oplus \bigoplus_{\substack{\Pi\in{\mathcal{A}}_{\xi}(I) \\ \exists \chi \in X^{\mathrm{un}}(J),\\ \Pi_p = \chi\cdot\tau_1}} \Pi^p \otimes \overline{{\mathbb{Q}}_{\ell}}[-\delta_{\Pi_p}p^{w(\xi)+1}],\\ \mathrm{H}^{2}(\overline{\mathrm S}^{\mathrm{ss}} \otimes \, \overline{\mathbb F_p}, \overline{{\mathcal{L}}_{\xi}}) & \simeq \bigoplus_{\substack{\Pi\in{\mathcal{A}}_{\xi}(I) \\ \Pi_p^{J_1}\not = 0}} \Pi^p \otimes \overline{{\mathbb{Q}}_{\ell}}[\delta_{\Pi_p}p^{w(\xi)+2}]. \end{align*} $$
Notations
Throughout the paper, we fix an integer
$n\geq 1$
and we write
$\theta _{\mathrm {max}} := \lfloor \frac {n-1}{2} \rfloor $
so that
$n = 2\theta _{\mathrm {max}}+1$
or
$2(\theta _{\mathrm {max}}+1)$
according to whether n is odd or even. We also fix an odd prime number p. If k is a perfect field of characteristic p, we denote by
$W(k)$
the ring of Witt vectors and by
$W(k)_{{\mathbb {Q}}}$
its fraction field, which is an unramified extension of
${\mathbb {Q}}_p$
. We denote by
$\sigma : x \mapsto x^p$
the Frobenius on k or its lift to
$W(k)$
. If
$q = p^e$
is a power of p, we write
$\mathbb F_{q}$
for the field with q elements. In the special case where
$q=p^2$
, we also use the alternative notation
$\mathbb Z_{p^2} = W(\mathbb F_{p^2})$
and
${\mathbb {Q}}_{p^2} = W(\mathbb F_{p^2})_{{\mathbb {Q}}}$
. We fix an algebraic closure
$\mathbb F$
of
$\mathbb F_p$
. For
$k\geq 1$
, the
$k\times k$
identity matrix is denoted by
$I_k$
, and the matrix with
$1$
in the antidiagonal and
$0$
everywhere else is denoted by
$A_k$
. In various situations, the symbol
$\mathbf 1$
will always represent the trivial representation of the group we are considering. The symmetric group of
$\{1,\ldots ,k\}$
is denoted
$\mathfrak S_k$
.
1 The Bruhat-Tits stratification on the PEL unitary Rapoport-Zink space of signature
$(1,n-1)$
1.1 The PEL unitary Rapoport-Zink space
$\mathcal M$
of signature
$(1,n-1)$
In [Reference Vollaard and Wedhorn33], the authors introduce the PEL unitary Rapoport-Zink space
$\mathcal M$
of signature
$(1,n-1)$
as a moduli space, classifying the deformations of a given p-divisible group equipped with additional structures. We briefly recall the construction. Let E be a quadratic unramified extension of
${\mathbb {Q}}_p$
with ring of integers
$\mathcal O_E$
and with nontrivial Galois involution
$a \mapsto a^*$
. Let
$\varphi _0: K \xrightarrow {\sim } {\mathbb {Q}}_{p^2}$
be a
${\mathbb {Q}}_p$
-linear isomorphism and let
$\varphi _1 := \sigma \circ \varphi _0$
. Let
$\mathrm {Nilp}$
denote the category of schemes over
$\mathbb Z_{p^2}$
where p is locally nilpotent. For
$S\in \mathrm {Nilp}$
, a unitary p
-divisible group of signature
$(1,n-1)$
over S is a triple
$(X,\iota _X,\lambda _X)$
where
-
– X is a p-divisible group over S.
-
–
$\iota _X: \mathcal O_E\rightarrow \mathrm {End}(X)$
is a
$\mathcal O_E$
-action on X such that the induced action on its Lie algebra satisfies the signature
$(1,n-1)$
condition: for every
$a \in \mathcal O_E$
, the characteristic polynomial of
$\iota _X(a)$
acting on
$\mathrm {Lie}(X)$
is given by
$$ \begin{align*}(T-\varphi_0(a))^1(T-\varphi_1(a))^{n-1} \in \mathbb Z_{p^2}[T] \subset \mathcal O_{S}[T].\end{align*} $$
-
–
$\lambda _X:X \xrightarrow {\sim } {}^tX$
is an
$\mathcal O_E$
-linear polarization where
${}^tX$
denotes the Serre dual of X.
The
$\mathcal O_E$
-linearity of
$\lambda _X$
is with respect to the
$\mathcal O_E$
-actions
$\iota _X$
and the induced action
$\iota _{{}^tX}$
on the dual. A specific example of unitary p-divisible group over
$\mathbb F_{p^2}$
is given in [Reference Vollaard and Wedhorn33] 2.4 by means of covariant Dieudonné theory. We denote it by
$(\mathbb X,\iota _{\mathbb X},\lambda _{\mathbb X})$
and call it the standard unitary p
-divisible group. The p-divisible group
$\mathbb X$
is superspecial. The following set-valued functor
$\mathcal M$
defines a moduli problem classifying deformations of
$\mathbb X$
by quasi-isogenies. More precisely, for
$S \in \mathrm {Nilp}$
the set
$\mathcal M(S)$
consists of all isomorphism classes of tuples
$(X,\iota _X,\lambda _X,\rho _X)$
such that
-
–
$(X,\lambda _X,\rho _X)$
is a unitary p-divisible group of signature
$(1,n-1)$
over S. -
–
$\rho _X: X\times _S \overline {S} \rightarrow \mathbb X\times _{\mathbb F_{p^2}} \overline {S}$
is an
$\mathcal O_{E}$
-linear quasi-isogeny compatible with the polarizations, in the sense that
${}^t\rho _X \circ \lambda _{\mathbb X} \circ \rho _X$
is a
${\mathbb {Q}}_p^{\times }$
-multiple of
$\lambda _X$
.
In the second condition,
$\overline {S}$
denotes the special fiber of S. By [Reference Rapoport and Zink28] Corollary 3.40, this moduli problem is represented by a separated formal scheme
$\mathcal M$
over
$\mathrm {Spf}(\mathbb Z_{p^2})$
, called a Rapoport-Zink space. It is formally locally of finite type, and since the associated PEL datum is unramified it is also formally smooth over
$\mathbb Z_{p^2}$
. The reduced special fiber of
$\mathcal M$
is the reduced
$\mathbb F_{p^2}$
-scheme
${\mathcal {M}}_{\mathrm {red}}$
defined by the maximal ideal of definition. Rational points of
$\mathcal M$
over a perfect field extension k of
$\mathbb F_{p^2}$
can be understood in terms of semi-linear algebra by means of Dieudonné theory. We denote by
$M(\mathbb X)$
the (covariant) Dieudonné module of
$\mathbb X$
, this is a free
$\mathbb Z_{p^2}$
-module of rank
$2n$
. We denote by
$N(\mathbb X) := M(\mathbb X)\otimes {\mathbb {Q}}_{p^2}$
its isocrystal. By construction, the Frobenius
$\mathbf F$
and the Verschiebung
$\mathbf V$
agree on
$N(\mathbb X)$
. In particular, we have
$\mathbf F^2 = p\cdot \mathrm {id}$
on the isocrystal. The
$\mathcal O_E$
-action
$\iota _{\mathbb X}$
induces a
$\mathbb Z/2\mathbb Z$
-grading
$M(\mathbb X) = M(\mathbb X)_0 \oplus M(\mathbb X)_1$
as a sum of two free
$\mathbb Z_{p^2}$
-modules of rank n, such that
$a \in \mathcal O_E$
acts via
$\varphi _i(a)$
on
$M(\mathbb X)_i$
for
$i = 0,1$
. The same goes for the isocrystal
$N(\mathbb X) = N(\mathbb X)_0 \oplus N(\mathbb X)_1$
where
$N(\mathbb X)_i = M(\mathbb X)_i\otimes {\mathbb {Q}}_{p^2}$
for
$i=0,1$
. The polarization
$\lambda _{\mathbb X}$
induces a perfect alternating
${\mathbb {Q}}_{p^2}$
-bilinear pairing
$\langle \cdot ,\cdot \rangle $
on
$N(\mathbb X)$
such that
Moreover
$\langle \cdot ,\cdot \rangle $
restricts to a perfect
$\mathbb Z_{p^2}$
-pairing on the lattice
$M(\mathbb X)$
. The pieces
$N(\mathbb X)_i$
are totally isotropic for
$i=0,1$
and dual of each other. Moreover, the Frobenius
$\mathbf F$
is
$1$
-homogeneous with respect to this grading. As in [Reference Vollaard and Wedhorn33] 2.6, we define
where
$\delta \in \mathbb Z_{p^2}^{\times }$
is a scalar satisfying
$\delta ^{\sigma } = -\delta $
. The pairing
$\{\cdot ,\cdot \}$
is a perfect
$\sigma $
-hermitian form on
$N(\mathbb X)_0$
.
Notation. From now on, we will write
$\mathbf V := N(\mathbb X)_0$
and
$\mathbf M := M(\mathbb X)_0$
.
Then
$\mathbf V$
is a
${\mathbb {Q}}_{p^2}$
-hermitian space of dimension n, and
$\mathbf M$
is a given
$\mathbb Z_{p^2}$
-lattice, i.e. a finitely generated
$\mathbb Z_{p^2}$
-submodule containing a basis of
$\mathbf V$
. Given two lattices
$M_1$
and
$M_2$
, the notation
$M_1 \overset {d}{\subset } M_2$
means that
$M_1\subset M_2$
and the quotient module
$M_2/M_1$
has length d. The integer d is called the index of
$M_1$
in
$M_2$
, and is denoted
$d = [M_2:M_1]$
. Given a lattice
$M\subset \mathbf V$
, we define the dual lattice
$M^{\vee } := \{v \in \mathbf V \,|\, \{v,M\} \subset \mathbb Z_{p^2}\}$
.By construction the lattice
$\mathbf M$
satisfies
Consider the matrices
$$ \begin{align*}T_{\text{odd}}:= A_{2\theta_{\mathrm{max}}+1}, \quad \quad T_{\text{even}}:= \left(\begin{matrix} & & & A_{\theta_{\mathrm{max}}} \\ & 1 & 0 & \\ & 0 & p & \\ A_{\theta_{\mathrm{max}}} & & & \end{matrix} \right). \end{align*} $$
By [Reference Vollaard32] Proposition 1.15, there exists a basis of
$\mathbf V$
such that
$\{\cdot ,\cdot \}$
is represented by the matrix
$T_{\text {odd}}$
if n is odd and by
$T_{\text {even}}$
if n is even. A Witt decomposition on
$\mathbf V$
is a set
$\{L_i\}_{i\in I}$
of isotropic lines in
$\mathbf V$
such that the following conditions are satisfied:
-
– for every
$i \in I$
, there is a unique
$i'\in I$
such that
$\{L_i,L_{i'}\} \not = 0$
, -
– the sum of the
$L_i$
’s is direct, -
– the orthogonal of the direct sum of the
$L_i$
’s is an anisotropic subspace of
$\mathbf V$
.
Since each line
$L_i$
is isotropic, in the first condition one necessarily has
$(i')' = i$
and
$i \not = i'$
. As a consequence, we have
$\#I = 2w(\mathbf V)$
for some integer
$w = w(\mathbf V)$
called the Witt index of
$\mathbf V$
. It does not depend on the choice of a Witt decomposition. We write
$L^{\mathrm {an}}$
for the orthogonal of the direct sum of the
$L_i$
’s. The dimension of
$L^{\mathrm {an}}$
is
$n^{\mathrm {an}} := n - 2w$
. Given a Witt decomposition of
$\mathbf V$
, one may find vectors
$e_i \in L_i$
such that
$\{e_i,e_j\} = \delta _{j,i'}$
. Together with a choice of an orthogonal basis for
$L^{\mathrm {an}}$
, these vectors define a basis of
$\mathbf V$
which is said to be adapted to the Witt decomposition. For any
$i\in I$
, the direct sum
$L_i \oplus L_{i'}$
is isometric to the hyperbolic plane
$\mathbf H$
. Therefore, we obtain a decomposition
We may always rearrange the index set so that
$I = \{-w,\ldots ,-1,1,\ldots ,w\}$
and
$i' = -i$
for all
$i \in I$
. In this context, we write
$L_0$
instead of
$L^{\mathrm {an}}$
.
We fix once and for all a basis e of
$\mathbf V$
in which the hermitian form is represented by the matrix
$T_{\text {odd}}$
or
$T_{\text {even}}$
. In the case
$n = 2\theta _{\mathrm {max}}+1$
is odd, we will denote it
and in the case
$n = 2(\theta _{\mathrm {max}}+1)$
is even we will denote it
The choice of such a basis gives a Witt decomposition with
$L_i := {\mathbb {Q}}_{p^2}e_i$
and
$L_0$
the subspace generated by
$e_0^{\mathrm {an}}$
, and when n is even by
$e_1^{\mathrm {an}}$
as well. In particular,
$w(\mathbf V) = \theta _{\mathrm {max}}$
and
$n^{\mathrm {an}} = 1$
or
$2$
depending on whether n is odd or even, respectively.
Given a perfect field extension k of
$\mathbb F_{p^2}$
, we denote by
$\mathbf V_k$
the base change
$\mathbf V \otimes _{{\mathbb {Q}}_{p^2}} W(k)_{{\mathbb {Q}}}$
. The form may be extended to
$\mathbf V_k$
by the formula
for all
$v,w\in \mathbf V$
and
$x,y\in W(k)_{{\mathbb {Q}}}$
. The notions of index and duality for
$W(k)$
-lattices can be extended as well. By [Reference Vollaard32] Proposition 1.10, the rational points of the Rapoport-Zink space are described by the following statement.
Proposition 1.1. Let k be a perfect field extension of
$\mathbb F_{p^2}$
. There is a natural bijection between
$\mathcal M(k)$
and the set of
$W(k)$
-lattices M in
$\mathbf V_k$
such that for some integer
$i\in \mathbb Z$
, we have
There is a decomposition
$\mathcal M = \bigsqcup _{i\in \mathbb Z} {\mathcal {M}}_i$
into formal connected subschemes which are open and closed. The rational points of
${\mathcal {M}}_i$
are those lattices M satisfying the relation above with the given integer i. In particular, the lattice
$\mathbf M$
defined in the previous paragraph is an element of
${\mathcal {M}}_0(\mathbb F_{p^2})$
. By [Reference Vollaard32] Proposition 1.7, the formal scheme
${\mathcal {M}}_i$
is empty if
$ni$
is odd.
Let
$J = \mathrm {GU}(\mathbf V)$
be the group of unitary similitudes of
$\mathbf V$
, seen as a reductive group over
${\mathbb {Q}}_p$
. Then
$J({\mathbb {Q}}_p)$
consists of all
$g\in \mathrm {GL}_{{\mathbb {Q}}_{p^2}}(\mathbf V)$
which preserve the hermitian form up to a unit
$c(g)\in {\mathbb {Q}}_{p}^{\times }$
, called the multiplier. By Dieudonné theory, the group
$J({\mathbb {Q}}_p)$
is also identified with the group of quasi-isogenies
$\mathbb X \to \mathbb X$
of unitary p-divisible groups. The space
$\mathcal M$
is endowed with a natural action of
$J({\mathbb {Q}}_p)$
. At the level of points, the element g acts by sending a lattice M to
$g(M)$
. For
$g\in J({\mathbb {Q}}_p)$
, let
$\alpha (g)$
be the p-adic valuation of
$c(g)$
. This defines a continuous homomorphism
where
$\mathbb Z$
is given the discrete topology. Then g induces an isomorphism
${\mathcal {M}}_i \xrightarrow {\sim } {\mathcal {M}}_{i+\alpha (g)}$
. According to [Reference Vollaard32] 1.17 the image of
$\alpha $
is
$\mathbb Z$
if n is even, and
$2\mathbb Z$
if n is odd. The centre
$\mathrm Z(J({\mathbb {Q}}_p))$
consists of all the scalar matrices, so that it is identified with
${\mathbb {Q}}_{p^2}^{\times }$
. If
$\lambda \in {\mathbb {Q}}_{p^2}^{\times }$
, then
$c(\lambda \cdot \mathrm {id}) = \mathrm {Norm}(\lambda ) \in {\mathbb {Q}}_{p}^{\times }$
, where
$\mathrm {Norm}$
is the norm map relative to the quadratic extension
${\mathbb {Q}}_{p^2}/{\mathbb {Q}}_{p}$
. In particular,
$\alpha (\mathrm Z(J)) = 2\mathbb Z$
. Thus, the restriction of
$\alpha $
to the centre is surjective onto
$\mathrm {Im}(\alpha )$
only when n is odd. When n is even, we define the following element
$$ \begin{align*}g_0 := \left(\begin{matrix} & & & I_{\theta_{\mathrm{max}}} \\ & 0 & p & \\ & 1 & 0 & \\ pI_{\theta_{\mathrm{max}}} & & & \end{matrix} \right).\end{align*} $$
Then
$g_0 \in J({\mathbb {Q}}_p)$
and
$c(g_0) = p$
so that
$\alpha (g_0) = 1$
. Moreover
$g_0^2 = p\cdot \mathrm {id}$
belongs to
$\mathrm Z(J({\mathbb {Q}}_p))$
. Let i and
$i'$
be two integers such that
$ni$
and
$ni'$
are even. We consider the multiplication
$p^{\frac {i'-i}{2}}:\mathbb X\to \mathbb X$
when
$i\equiv i' \mod 2$
, and the quasi-isogeny
$p^{\frac {i'-i-1}{2}}g_0:\mathbb X \to \mathbb X$
when
$i\not \equiv i' \mod 2$
. This is well defined as the second case may only happen when n is even. It induces a morphism
$\psi _{i,i'}:{\mathcal {M}}_i \rightarrow {\mathcal {M}}_{i'}$
. By [Reference Vollaard32] Proposition 1.18, the map
$\psi _{i,i'}$
is an isomorphism between
${\mathcal {M}}_i$
and
${\mathcal {M}}_{i'}$
, and if
$i,i'$
and
$i"$
are three integers such that
$ni, ni'$
and
$ni"$
are even, then we have
$\psi _{i',i"}\circ \psi _{i,i'} = \psi _{i,i"}$
.
1.2 The Bruhat-Tits stratification of the special fiber
${\mathcal {M}}_{\mathrm {red}}$
We now recall the construction of the Bruhat-Tits stratification on
${\mathcal {M}}_{\mathrm {red}}$
as in [Reference Vollaard and Wedhorn33]. Let i be an integer such that
$ni$
is even. We define
If
$\Lambda \in {\mathcal {L}}_i$
, we define its orbit type
$t(\Lambda ):= [\Lambda :p^{i+1}\Lambda ^{\vee }]$
. We also call it the type of
$\Lambda $
. In particular, the lattices in
${\mathcal {L}}_i$
of type
$1$
are precisely the
$\mathbb F_{p^2}$
-rational points of
${\mathcal {M}}_{i}$
. By sending
$\Lambda $
to
$g(\Lambda )$
, an element
$g\in J({\mathbb {Q}}_p)$
defines a map
${\mathcal {L}}_i\rightarrow {\mathcal {L}}_{i+\alpha (g)}$
. The following Proposition follows from [Reference Vollaard32] Remark 2.3 and [Reference Vollaard and Wedhorn33] Remark 4.1.
Proposition 1.2. Let i be an integer such that
$ni$
is even and let
$\Lambda \in {\mathcal {L}}_i$
.
-
– The map
${\mathcal {L}}_i\rightarrow {\mathcal {L}}_{i+\alpha (g)}$
induced by an element
$g\in J({\mathbb {Q}}_p)$
is an inclusion preserving, type preserving bijection. -
– We have
$1\leq t(\Lambda ) \leq n$
. Furthermore
$t(\Lambda )$
is odd. -
– The sets
${\mathcal {L}}_i$
’s for various i’s are pairwise disjoint.
Moreover, two lattices
$\Lambda , \Lambda ' \in \bigsqcup _{ni \in 2\mathbb Z}{\mathcal {L}}_i$
are in the same orbit under the action of
$J({\mathbb {Q}}_p)$
if and only if
$t(\Lambda ) = t(\Lambda ')$
.
We write
$\mathcal L := \bigsqcup _{ni \in 2\mathbb Z}{\mathcal {L}}_i$
. For any odd number t between
$1$
and n, there exists a lattice
$\Lambda \in {\mathcal {L}}_0$
of orbit type t. Write
$t_{\mathrm {max}} := 2\theta _{\mathrm {max}}+1$
, so that the orbit type t of any lattice in
$\mathcal L$
satisfies
$1\leq t \leq t_{\mathrm {max}}$
. The following lemma will be useful later.
Lemma 1.3. Let
$i \in \mathbb Z$
such that
$ni$
is even, and let
$\Lambda \in {\mathcal {L}}_i$
. We have
$\Lambda ^{\vee } \in \mathcal L$
if and only if either n is even or n is odd and
$t(\Lambda ) = t_{\mathrm {max}}$
. If
$\Lambda ^{\vee } \in \mathcal L$
and n is even, then
$\Lambda ^{\vee } \in {\mathcal {L}}_{-i-1}$
and
$t(\Lambda ^{\vee }) = n - t(\Lambda )$
. If on the contrary n is odd, then
$\Lambda ^{\vee } \in {\mathcal {L}}_{-i}$
and
$t(\Lambda ^{\vee }) = t(\Lambda )$
.
Proof. First we prove the converse. We have the following chain of inclusions
If n is even, then
$-n(i+1)$
is also even and
$n-t(\Lambda ) \not = 0$
. Since
$(\Lambda ^{\vee })^{\vee } = \Lambda $
, we deduce that
$\Lambda ^{\vee } \in {\mathcal {L}}_{-i-1}$
with orbit type
$n-t(\Lambda )$
. Assume now that n is odd and that
$t(\Lambda ) = t_{\mathrm {max}} = n$
. Then
$\Lambda ^{\vee } = p^{-i}\Lambda \in {\mathcal {L}}_{-i}$
.
Let us now assume that
$\Lambda ^{\vee } \in \mathcal L$
and that n is odd. Let
$i' \in 2\mathbb Z$
such that
$\Lambda ^{\vee } \in {\mathcal {L}}_{i'}$
. We have
therefore
$-2\leq i+i' \leq 0$
. Since
$i+i'$
is even it is either
$-2$
or
$0$
. If it were
$-2$
, then we would have
$t(\Lambda ) = t(\Lambda ^{\vee }) = 0$
which is absurd. Therefore
$i+i' = 0$
, and we have
$n-t(\Lambda ) = n - t(\Lambda ^{\vee }) = 0$
.
With the help of
${\mathcal {L}}_i$
, one may construct an abstract simplicial complex
$\mathcal B_i$
. For
$s\geq 0$
, an s-simplex of
$\mathcal B_i$
is a subset
$S\subset {\mathcal {L}}_i$
of cardinality
$s+1$
such that for some ordering
$\Lambda _0,\ldots ,\Lambda _s$
of its elements, we have a chain of inclusions
$p^{i+1}\Lambda _s^{\vee }\subsetneq \Lambda _0 \subsetneq \Lambda _1 \subsetneq \ldots \subsetneq \Lambda _s$
. We must have
$0\leq s \leq m$
for such a simplex to exist. Let
$\tilde {J} = \mathrm {SU}(\mathbf V)$
be the derived group of J. We consider the abstract simplicial complex
$\mathrm {BT}(\tilde J,{\mathbb {Q}}_p)$
of the Bruhat-Tits building of
$\tilde {J}$
over
${\mathbb {Q}}_p$
. A concrete description of this complex is given in [Reference Vollaard32] Theorem 3.5.
Theorem 1.4. The Bruhat-Tits building
$\mathrm {BT}(\tilde J,{\mathbb {Q}}_p)$
is naturally identified with
$\mathcal B_i$
for any fixed integer i such that
$ni$
is even. The set
${\mathcal {L}}_i$
is identified with the set of vertices of
$\mathrm {BT}(\tilde J,{\mathbb {Q}}_p)$
. The identification is
$\tilde J({\mathbb {Q}}_p)$
-equivariant.
Apartments in the Bruhat-Tits building
$\mathrm {BT}(\tilde J,{\mathbb {Q}}_p)$
are in one-to-one correspondence with Witt decompositions of
$\mathbf V$
. Let
$L = \{L_i\}_{i\in I}$
be a Witt decomposition of
$\mathbf V$
and let
$f = (f_i)_{i\in I} \sqcup B^{\mathrm {an}}$
be a basis of
$\mathbf V$
adapted to the decomposition, where
$f_i \in L_i$
and
$B^{\mathrm {an}}$
is an orthogonal basis of
$L^{\mathrm {an}}$
. Under the identification of
$\mathrm {BT}(\tilde J,{\mathbb {Q}}_p)$
with
$\mathcal B_i$
, the vertices inside the apartment associated to L correspond to the lattices
$\Lambda \in {\mathcal {L}}_i$
which are equal to the direct sum of
$\Lambda \cap L^{\mathrm {an}}$
and of the modules
$p^{r_i}\mathbb Z_{p^2}f_i$
for some integers
$(r_i)_{i\in I}$
. The subset of
${\mathcal {L}}_i$
consisting of all such lattices will be denoted
${\mathcal {A}}_i^L$
or, with an abuse of notations,
${\mathcal {A}}_i^f$
. We call such a set
${\mathcal {A}}_i^L$
the apartment associated to L in
${\mathcal {L}}_i$
. We also define
$\mathcal A^L := \bigsqcup _{ni\in 2\mathbb Z} {\mathcal {A}}_i^L$
. We recall a general result regarding Bruhat-Tits buildings.
Proposition 1.5. Let i be an integer such that
$ni$
is even. Any two lattices
$\Lambda $
and
$\Lambda '$
in
${\mathcal {L}}_i$
lie inside a common apartment
${\mathcal {A}}_i^{L}$
for some Witt decomposition L. Moreover, the action of
$\tilde J({\mathbb {Q}}_p)$
acts transitively on the set of apartments
$\{{\mathcal {A}}_i^L\}_L$
.
Recall the basis e of
$\mathbf V$
that we have fixed earlier. We will denote by
the
$\mathbb Z_{p^2}$
-lattice generated by the vectors
$p^{r_j}e_j$
for all
$j = \pm 1,\ldots , \pm \theta _{\mathrm {max}}$
, by
$p^{s_0}e^{\mathrm {an}}_0$
and if n is even, by
$p^{s_1}e^{\mathrm {an}}_1$
too. Here, the
$r_j$
’s are integers and s denotes either the integer
$s_0$
if n is odd or the pair of integers
$(s_0,s_1)$
if n is even.
Proposition 1.6. Let i be an integer such that
$ni$
is even. Let
$(r_j,s)$
be a family of integers as above. The corresponding lattice
$\Lambda = \Lambda (r_{-\theta _{\mathrm {max}}},\ldots ,r_{-1},s,r_1,\ldots ,r_{\theta _{\mathrm {max}}})$
belongs to
${\mathcal {L}}_i$
if and only if the following conditions are satisfied
-
– for all
$1\leq j \leq \theta _{\mathrm {max}}$
, we have
$r_{-j} + r_j \in \{i,i+1\}$
, -
–
$s_0 = \lfloor \frac {i+1}{2}\rfloor $
, -
– if n is even, then
$s_1 = \lfloor \frac {i}{2}\rfloor $
.
Moreover, when
$\Lambda \in {\mathcal {L}}_i$
then
Proof. The lattice
$\Lambda $
belongs to
${\mathcal {L}}_i$
if and only if the following chain of inclusions holds
The dual lattice
$\Lambda ^{\vee }$
is equal to the lattice
$\Lambda (-r_{\theta _{\mathrm {max}}},\ldots ,-r_{1},s',-r_{-1},\ldots ,-r_{-\theta _{\mathrm {max}}})$
, where
$s' = -s_0$
when n is odd, and
$s' = (-s_0,-s_1-1)$
when n is even. Thus, the inclusions above are equivalent to the following inequalities:
$$ \begin{align*} & i - r_{-j} \leq r_j \leq i + 1 - r_{-j}, & i - s_0 \leq s_0 \leq i + 1 - s_0,\\ & i - 1 - s_1 \leq s_1 \leq i - s_1 \text{ (if }n\text{ is even)}. & \end{align*} $$
This proves the desired condition on the integers
$r_j$
’s and on s. Let us now assume that
$\Lambda \in {\mathcal {L}}_i$
. Its orbit type is equal to the index
$[\Lambda ,p^{i+1}\Lambda ^{\vee }]$
. This corresponds to the number of times equality occurs with the left-hand side in all the inequalities above. Of course, if the equality
$i - r_{-j} = r_j$
occurs for some j, then it occurs also for
$-j$
. Moreover, if i is even then the equality
$i - s_0 = s_0$
occurs whereas
$i - 1 - s_1 \not = s_1$
. On the contrary if i is odd, then the equality
$i-1-s_1 = s_1$
occurs whereas
$i - s_0 \not = s_0$
. Thus in all cases, only one of
$s_0$
and
$s_1$
contributes to the index. Putting things together, we deduce the desired formula.
We deduce the following corollary.
Corollary 1.7. The apartment
$A_i^e$
(resp.
$A^e$
) consists of all the lattices of the form
which belong to
${\mathcal {L}}_i$
(resp. to
$\mathcal L$
).
Proof. According to the previous proposition, it is clear that all lattices which belong to
${\mathcal {L}}_i$
and are of the form
$\Lambda (r_{-\theta _{\mathrm {max}}},\ldots ,r_{-1},s,r_1,\ldots ,r_{\theta _{\mathrm {max}}})$
are elements of
${\mathcal {A}}_i^e$
. We shall prove the converse. Let
$\Lambda \in {\mathcal {A}}_i^e$
. By definition, there exists integers
$(r_j)_j$
such that
Write
$\Lambda ' = \Lambda \cap \mathbf V^{\mathrm {an}}$
. This is a lattice in
$\mathbf V^{\mathrm {an}}$
which satisfies the chain of inclusions
where the duals are taken with respect to the restriction of
$\{\cdot ,\cdot \}$
to
$\mathbf V^{\mathrm {an}}$
. Since
$\mathbf V^{\mathrm {an}}$
is anisotropic, there is only a single lattice satisfying the chain of inclusions above. If we write
$a := \lfloor \frac {i+1}{2}\rfloor $
and
$b := \lfloor \frac {i}{2}\rfloor $
, it is given by
$p^{a}\mathbb Z_{p^2}e_0^{\mathrm {an}}$
if n is odd, and by
$p^{a}\mathbb Z_{p^2}e_0^{\mathrm {an}} \oplus p^{b}\mathbb Z_{p^2}e_1^{\mathrm {an}}$
if n is even. Thus, it must be equal to
$\Lambda '$
and it concludes the proof.
We fix a maximal simplex in
${\mathcal {L}}_0$
lying inside the apartment
${\mathcal {A}}_0^e$
. For
$0\leq \theta \leq \theta _{\mathrm {max}}$
we define
Here, the
$0$
in the middle stands for
$(0,0)$
in case n is even. We have
$t(\Lambda _{\theta }) = 2\theta +1$
and
Thus, they form an
$\theta _{\mathrm {max}}$
-simplex in
${\mathcal {L}}_0$
. Given a lattice
$\Lambda \in {\mathcal {L}}_i$
, a subfunctor
${\mathcal {M}}_{\Lambda }$
of
${\mathcal {M}}_{i,\mathrm {red}}$
is defined in [Reference Vollaard and Wedhorn33], classifying those p-divisible groups for which a certain quasi-isogeny, depending on
$\Lambda $
, is in fact an actual isogeny. In Lemma 4.2, the authors prove that it is representable by a projective scheme over
$\mathbb F_{p^2}$
, and that the natural morphism
${\mathcal {M}}_{\Lambda } \hookrightarrow {\mathcal {M}}_{i,\mathrm {red}}$
is a closed immersion. The schemes
${\mathcal {M}}_{\Lambda }$
are called the closed Bruhat-Tits strata of
$\mathcal M$
. Their rational points are described as follows, see Lemma 4.3 of loc. cit.
Proposition 1.8. Let k be a perfect field extension of
$\mathbb F_{p^2}$
, and let
$M\in {\mathcal {M}}_{i,\mathrm {red}}(k)$
. Then
The set of lattices satisfying the condition above was conjectured in [Reference Vollaard32] to be the set of points of a subscheme of
${\mathcal {M}}_{i,\mathrm {red}}$
, and it was proved in the special cases
$n=2,3$
. In [Reference Vollaard and Wedhorn33], the general argument is given by the construction of
${\mathcal {M}}_{\Lambda }$
. The action of an element
$g\in J({\mathbb {Q}}_p)$
on
$\mathcal {M}_{\mathrm {red}}$
induces an isomorphism
${\mathcal {M}}_{\Lambda } \xrightarrow {\sim } {\mathcal {M}}_{g\cdot \Lambda }$
.
Let
$\Lambda \in \mathcal L$
. We denote by
$J_{\Lambda }$
the fixator of
$\Lambda $
under the action of
$J({\mathbb {Q}}_p)$
. If
$\Lambda = \Lambda _{\theta }$
for some
$0\leq \theta \leq \theta _{\mathrm {max}}$
, we will write
$J_{\theta }$
instead. These are maximal parahoric subgroups of
$J({\mathbb {Q}}_p)$
. In unramified unitary similitude groups, maximal parahoric subgroups and maximal compact subgroups are the same. A general parahoric subgroup is an intersection
$J_{\Lambda _1}\cap \ldots \cap J_{\Lambda _s}$
where
$\{\Lambda _1,\ldots ,\Lambda _s\}$
is an s-simplex in
${\mathcal {L}}_i$
for some i. Any parahoric subgroup is compact and open in
$J({\mathbb {Q}}_p)$
. Let i be the integer such that
$\Lambda \in {\mathcal {L}}_i$
. We define
$V_{\Lambda }^0:= \Lambda /p^{i+1}\Lambda ^{\vee }$
and
$V_{\Lambda }^1 := p^{i}\Lambda ^{\vee }/\Lambda $
. Since
$p\Lambda \subset p\cdot p^i\Lambda ^{\vee }$
and
$p\cdot p^{i}\Lambda ^{\vee } \subset \Lambda $
, these are both
$\mathbb F_{p^2}$
-vector space of dimensions, respectively,
$t(\Lambda )$
and
$n-t(\Lambda )$
. Both spaces come together with a non-degenerate
$\sigma $
-hermitian form
$(\cdot ,\cdot )_0$
and
$(\cdot ,\cdot )_1$
with values in
$\mathbb F_{p^2}$
, respectively induced by
$p^{-i}\{\cdot ,\cdot \}$
and by
$p^{-i+1}\{\cdot ,\cdot \}$
. If k is a perfect field extension of
$\mathbb F_{p^2}$
and if
$\epsilon \in \{0,1\}$
, we may extend the pairings to
$(V_{\Lambda }^{\epsilon })_k = V_{\Lambda }^{\epsilon }\otimes _{\mathbb F_{p^2}} k$
by setting
for all
$v,w\in V_{\Lambda }^{\epsilon }$
and
$x,y\in k$
. If U is a subspace of
$(V_{\Lambda }^{\epsilon })_k$
we denote by
$U^{\perp }$
its orthogonal.
Denote by
$J_{\Lambda }^+$
the pro-unipotent radical of
$J_{\Lambda }$
and write
${\mathcal {J}}_{\Lambda } := J_{\Lambda }/J_{\Lambda }^+$
. This is a finite group of Lie type, called the maximal reductive quotient of
$J_{\Lambda }$
. We have an identification
${\mathcal {J}}_{\Lambda } \simeq \mathrm {G}(\mathrm {U}(V_{\Lambda }^0) \times \mathrm {U}(V_{\Lambda }^1))$
, that is the group of pairs
$(g_0,g_1)$
where for
$\epsilon \in \{0,1\}$
we have
$g_{\epsilon } \in \mathrm {GU}(V_{\Lambda }^{\epsilon })$
and
$c(g_0) = c(g_1)$
. Here,
$c(g_{\epsilon }) \in \mathbb F_{p}^{\times }$
denotes the multiplier of
$g_{\epsilon }$
. For
$0\leq \theta \leq \theta _{\mathrm {max}}$
and
$\epsilon \in \{0,1\}$
, we will write
$V_{\theta }^{\epsilon }$
and
${\mathcal {J}}_{\theta }$
instead of
$V_{\Lambda _{\theta }}^{\epsilon }$
and
${\mathcal {J}}_{\Lambda _{\theta }}$
.
Let
$\Lambda \in {\mathcal {L}}_i$
where
$ni$
is even. We write
$t(\Lambda ) = 2\theta +1$
. Let k be a perfect field extension of
$\mathbb F_{p^2}$
. Let T be any
$W(k)$
-lattice in
$\mathbf V_k$
such that
where
$0 \leq \theta ' \leq \theta $
. Then T must contain
$p^{i+1}\Lambda _k^{\vee }$
and
$[\Lambda _k:T] = \theta - \theta '$
. We may consider
$\overline {T} := T/p^{i+1}\Lambda _k^{\vee }$
the image of T in
$V^{(0)}_{\Lambda }$
. Then
$\overline {T}$
is an
$\mathbb F_{p^2}$
-subspace of dimension
$\theta + \theta ' + 1$
. Moreover, one may check that
$\overline {p^{i+1}T^{\vee }} = \overline {T}^{\perp }$
, therefore the subspace
$\overline {T}$
contains its orthogonal. These observations lead to the following proposition, see [Reference Vollaard32] Proposition 2.7.
Proposition 1.9. The mapping
$T \mapsto \overline {T}$
defines a bijection between the set of
$W(k)$
-lattices T in
$\mathbf V_k$
such that
$p^{i+1}T^{\vee } \overset {2\theta '+1}{\subset } T \subset \Lambda _k$
and the set
In particular taking
$\theta ' = 0$
, this set is in bijection with
${\mathcal {M}}_{\Lambda }(k)$
.
Remark 1.10. Similarly, the set of
$W(k)$
-lattices T such that
$\Lambda _k \subset T \overset {n-2\theta '-1}{\subset } p^{i}T^{\vee }$
for some
$\theta \leq \theta ' \leq \theta _{\mathrm {max}}$
is in bijection with
The bijection is given by
$T \mapsto \overline {T}^{\perp }$
where
$\overline {T} := T/\Lambda _k \subset V^{(1)}_k$
. These sets can be seen as the k-rational points of some flag variety for
$\mathrm {GU}(V^{(0)}_{\Lambda })$
and
$\mathrm {GU}(V^{(1)}_{\Lambda })$
, which are special instances of Deligne-Lusztig varieties. This is accounted for in the next paragraph.
Let
$\Lambda \in \mathcal L$
. The action of
$J({\mathbb {Q}}_p)$
on the Rapoport-Zink space
$\mathcal M$
restricts to an action of the parahoric subgroup
$J_{\Lambda }$
on the closed Bruhat-Tits stratum
${\mathcal {M}}_{\Lambda }$
. This action factors through the maximal reductive quotient
${\mathcal {J}}_{\Lambda } \simeq \mathrm {G}(\mathrm {U}(V_{\Lambda }^0) \times \mathrm {U}(V_{\Lambda }^1))$
. This action is trivial on the normal subgroup
$\{\mathrm {id}\}\times \mathrm U(V_{\Lambda }^1) \subset {\mathcal {J}}_{\Lambda }$
, thus it factors again through the quotient which is isomorphic to
$\mathrm {GU}(V_{\Lambda }^0)$
. With respect to this action, the variety
${\mathcal {M}}_{\Lambda }$
is isomorphic to a generalized Deligne-Lusztig variety, see [Reference Vollaard and Wedhorn33] Theorem 4.8.
Theorem 1.11. There is an isomorphism between
${\mathcal {M}}_{\Lambda }$
and a certain generalized parabolic Deligne-Lusztig variety for the finite group of Lie type
$\mathrm {GU}(V_{\Lambda }^{0})$
, compatible with the actions. In particular, if
$t(\Lambda ) = 2\theta + 1$
then the variety
${\mathcal {M}}_{\Lambda }$
is projective, smooth, geometrically irreducible of dimension
$\theta $
.
We refer to [Reference Muller25] Section 1 for the definition of Deligne-Lusztig varieties. In particular, the adjective “generalized” is understood according to loc. cit. The Deligne-Lusztig variety isomorphic to
${\mathcal {M}}_{\Lambda }$
is introduced in [Reference Vollaard and Wedhorn33] Section 4.5, and it is denoted by
$Y_{\Lambda }$
there. Theorem 5.1 of loc. cit. describes the incidence relations between the different strata.
Theorem 1.12. Let
$i\in \mathbb Z$
such that
$ni$
is even. Let
$\Lambda , \Lambda ' \in {\mathcal {L}}_i$
. The following statements hold.
-
(1) The inclusion
$\Lambda \subset \Lambda '$
is equivalent to the scheme-theoretic inclusion
${\mathcal {M}}_{\Lambda }\subset {\mathcal {M}}_{\Lambda '}$
. It also implies
$t(\Lambda )\leq t(\Lambda ')$
and there is equality if and only if
$\Lambda = \Lambda '$
. -
(2) The three following assertions are equivalent.
$$ \begin{align*} \mathrm{(i)}\;\Lambda\cap \Lambda'\in {\mathcal{L}}_i. & & \mathrm{(ii)}\; \Lambda\cap \Lambda' \text{ contains a lattice of }{\mathcal{L}}_i. & & \mathrm{(iii)}\;{\mathcal{M}}_{\Lambda}\cap {\mathcal{M}}_{\Lambda'} \not = \emptyset. \end{align*} $$
If these conditions are satisfied, then
${\mathcal {M}}_{\Lambda }\cap {\mathcal {M}}_{\Lambda '}={\mathcal {M}}_{\Lambda \cap \Lambda '}$
, where we understand the left-hand side as the scheme theoretic intersection inside
${\mathcal {M}}_{i,\mathrm {red}}$
. -
(3) The three following assertions are equivalent
$$ \begin{align*} & \mathrm{(i)}\;\Lambda+ \Lambda'\in {\mathcal{L}}_i. & & \mathrm{(ii)}\; \Lambda+ \Lambda' \text{ is contained in a lattice of }{\mathcal{L}}_i. & & \\ & \mathrm{(iii)}\;{\mathcal{M}}_{\Lambda}, {\mathcal{M}}_{\Lambda'} \subset {\mathcal{M}}_{\widetilde{\Lambda}} \text{ for some }\widetilde{\Lambda} \text{ in } {\mathcal{L}}_i. \end{align*} $$
If these conditions are satisfied, then
${\mathcal {M}}_{\Lambda + \Lambda '}$
is the smallest subscheme of the form
${\mathcal {M}}_{\widetilde {\Lambda }}$
containing both
${\mathcal {M}}_{\Lambda }$
and
${\mathcal {M}}_{\Lambda '}$
. -
(4) If k is a perfect field extension of
$\mathbb F_{p^2}$
then
${\mathcal {M}}_i(k)=\bigcup _{\Lambda \in {\mathcal {L}}_i}{\mathcal {M}}_{\Lambda }(k)$
.
In essence, the previous statements explain how the stratification given by the
${\mathcal {M}}_{\Lambda }$
mimics the combinatorics of the Bruhat-Tits building of
$\tilde J$
, hence the name.
1.3 Normalizers of maximal parahoric subgroups of
$J({\mathbb {Q}}_p)$
In this section we compute the normalizer of the maximal parahoric subgroups
$J_{\Lambda }$
.
Lemma 1.13. Let
$\Lambda , \Lambda ' \in \mathcal L$
.
-
(i) The parahoric subgroup
$J_{\Lambda }$
acts transitively on the set of apartments containing
$\Lambda $
. -
(ii) We have
$J_{\Lambda } = J_{\Lambda '}$
if and only if there exists
$k\in \mathbb Z$
such that
$\Lambda = p^k\Lambda '$
or
$\Lambda = p^k\Lambda '\,^{\vee }$
.
Proof. The first point is a general fact from the theory of Bruhat-Tits buildings. For the second point, the converse is clear. Indeed, if
$x\in {\mathbb {Q}}_{p^2}^{\times }$
then
$J_{x\Lambda } = J_{\Lambda }$
, and an element
$g\in J({\mathbb {Q}}_p)$
fixes a lattice
$\Lambda $
if and only if it fixes its dual
$\Lambda ^{\vee }$
. Now, let
$\Lambda , \Lambda ' \in \mathcal L$
such that
$J_{\Lambda } = J_{\Lambda '}$
. Up to replacing
$\Lambda '$
with an appropriate lattice
$g\cdot \Lambda '$
, it is enough to treat the case
$\Lambda ' = \Lambda _{\theta }$
for some
$0\leq \theta \leq \theta _{\mathrm {max}}$
. By Proposition 1.5, we can find an apartment
$\mathcal A^L$
containing both
$\Lambda _{\theta }$
and
$\Lambda $
. By the first point, we can find
$g\in J_{\theta } = J_{\Lambda }$
which sends
$\mathcal A^L$
to
$\mathcal A^e$
. Therefore
$g\cdot \Lambda = \Lambda $
belongs to
$\mathcal A^e$
. According to Proposition 1.7, we may write
for some integers
$(r_j,s)$
. Let i be the integer such that
$\Lambda \in {\mathcal {L}}_i$
. Then according to Proposition 1.6 we have
-
–
$\forall 1\leq j \leq \theta _{\mathrm {max}}, r_{-j} + r_{j} \in \{i,i+1\}$
. -
–
$s_0 = \lfloor \frac {i+1}{2} \rfloor $
. -
– if n is even then
$s_1 = \lfloor \frac {i}{2} \rfloor $
.
For
$1\leq j\leq \theta $
, let
$g_j$
be the automorphism of
$\mathbf V$
which exchanges
$e_{-j}$
and
$e_j$
while fixing all the other vectors in the basis e. Then, from the definition of
$\Lambda _{\theta }$
we have
$g_j \in J_{\theta }$
. Therefore
$g_j$
must fix
$\Lambda $
too, which implies that
$r_{-j} = r_j$
. And for
$\theta + 1 \leq j \leq \theta _{\mathrm {max}}$
, let
$g_j$
be the automorphism sending
$e_{j}$
to
$p^{-1}e_{-j}$
and
$e_{-j}$
to
$pe_j$
while fixing all the other vectors in the basis e. Then again we have
$g_j \in J_{\theta } = J_{\Lambda }$
which implies that
$r_{-j} = r_j - 1$
.
Assume first that
$i = 2i'$
is even. Combining the previous observations, we have
$r_j = i'$
for all
$1\leq j \leq \theta $
and
$r_j = i' + 1$
for all
$\theta + 1 \leq j \leq \theta _{\mathrm {max}}$
. Moreover we have
$s_0 = i'$
and if n is even, we have
$s_1 = i'$
. In other words, we have
$\Lambda = p^{i'}\Lambda _{\theta }$
.
Assume now that
$i = 2i' + 1$
is odd. This implies that n is even. Combining the previous observations, we have
$r_j = i' + 1$
for all
$1\leq j \leq \theta _{\mathrm {max}}$
. Moreover we have
$s_0 = i' + 1$
and if n is even, we have
$s_1 = i'$
. In other words, we have
$\Lambda = p^{i'+1}\Lambda _{\theta }^{\vee }$
.
Proposition 1.14. Let
$\Lambda \in \mathcal L$
. If
$t(\Lambda ) \not = n - t(\Lambda )$
then the normalizer of
$J_{\Lambda }$
in
$J({\mathbb {Q}}_p)$
is
$\mathrm N_J(J_{\Lambda }) = \mathrm Z(J({\mathbb {Q}}_p))J_{\Lambda }$
. Otherwise, n is even and there exists an element
$h_0 \in J({\mathbb {Q}}_p)$
such that
$h_0^2 = p\cdot \mathrm {id}$
and
$N_J(J_{\Lambda })$
is the subgroup generated by
$J_{\Lambda }$
and
$h_0$
. In particular,
$\mathrm Z(J({\mathbb {Q}}_p))J_{\Lambda }$
is a subgroup of index
$2$
in
$N_J(J_{\Lambda })$
.
Remark 1.15. The condition
$t(\Lambda ) \not = n - t(\Lambda )$
is automatically satisfied if n is odd. If n is even, it is satisfied when
$t(\Lambda ) \not = \theta _{\mathrm {max}} + 1$
, this is the case in particular when
$\theta _{\mathrm {max}}$
is odd.
Proof. It is clear that
$\mathrm Z(J({\mathbb {Q}}_p))J_{\Lambda } \subset \mathrm N_J(J_{\Lambda })$
. Conversely, let
$g \in N_J(J_{\Lambda })$
, so that we have
$J_{\Lambda } = {}^gJ_{\Lambda } = J_{g\cdot \Lambda }$
. We apply Lemma 1.13 to deduce the existence of
$k\in \mathbb Z$
such that
$g\cdot \Lambda = p^{k} \Lambda $
(case
$1$
) or
$g\cdot \Lambda = p^{k} \Lambda ^{\vee }$
(case
$2$
). If we are in case
$1$
, then
$g \in p^{k}J_{\Lambda } \subset \mathrm Z(J({\mathbb {Q}}_p))J_{\Lambda }$
and we are done. If n is even, the assumption that
$t(\Lambda ) \not = n - t(\Lambda )$
makes case
$2$
impossible. If n is odd and we are in case
$2$
, then in particular
$\Lambda ^{\vee } \in \mathcal L$
. By Lemma 1.3, we must have
$\Lambda = p^{i}\Lambda ^{\vee }$
for some even
$i\in \mathbb Z$
. In particular, we are also in case
$1$
. Therefore, no matter the parity of n, we are always in case
$1$
.
Assume now that
$t(\Lambda ) = n - t(\Lambda )$
, in particular n and
$\theta _{\mathrm {max}}$
are both even. We write
$\theta _{\mathrm {max}} = 2\theta _{\mathrm {max}}'$
so that
$t(\Lambda ) = 2\theta _{\mathrm {max}}'+1$
and we solve the case
$\Lambda = \Lambda _{\theta _{\mathrm {max}}'}$
first. Recall the element
$g_0$
that was defined earlier. By direct computation, we see that
$g_0\cdot \Lambda _{\theta _{\mathrm {max}}'} = p\Lambda _{\theta _{\mathrm {max}}'}^{\vee }$
. Therefore
${}^{g_0}J_{\theta _{\mathrm {max}}'} = J_{p\Lambda _{\theta _{\mathrm {max}}'}^{\vee }} = J_{\theta _{\mathrm {max}}'}$
so that
$g_0 \in {\mathrm {N}}_J(J_{\theta _{\mathrm {max}}'})$
. Now let g be any element normalizing
$J_{\theta _{\mathrm {max}}}$
, so that
$J_{\theta _{\mathrm {max}}'} = {}^gJ_{\theta _{\mathrm {max}}'} = J_{g\cdot \Lambda _{\theta _{\mathrm {max}}'}}$
. According to 1.13 there exists
$k\in \mathbb Z$
such that
$g\cdot \Lambda _{\theta _{\mathrm {max}}'} = p^k\Lambda _{\theta _{\mathrm {max}}'}$
or
$g\cdot \Lambda _{\theta _{\mathrm {max}}'} = p^k\Lambda _{\theta _{\mathrm {max}}'}^{\vee } = p^{k-1}g_0\cdot \Lambda _{\theta _{\mathrm {max}}'}$
. In the first case we have
$g \in p^kJ_{\theta _{\mathrm {max}}'}$
and in the second case we have
$g \in p^{k-1}g_0J_{\theta _{\mathrm {max}}'}$
. Since
$g_0^2 = p\cdot \mathrm {id}$
, the claim is proved with
$h_0 = g_0$
.
In the general case, we have
$t(\Lambda ) = 2\theta _{\mathrm {max}}'+1 = t(\Lambda _{\theta _{\mathrm {max}}'})$
. There exists some
$g\in J({\mathbb {Q}}_p)$
such that
$\Lambda = g\cdot \Lambda _{\theta _{\mathrm {max}}'}$
. Then
${\mathrm {N}}_J(\Lambda ) = {}^g{\mathrm {N}}_J(\Lambda _{\theta _{\mathrm {max}}'})$
so that the claim follows with
$h_0 := gg_0g^{-1}$
.
1.4 Counting the closed Bruhat-Tits strata
In this section we count the number of closed Bruhat-Tits strata which contain or which are contained in another given one. Let
$d\geq 0$
and consider V a d-dimensional
$\mathbb F_{p^2}$
-vector space equipped with a non-degenerate hermitian form. This structure is uniquely determined up to isomorphism as we are working over a finite field. For
$\left \lceil \frac {d}{2}\right \rceil \leq r \leq d$
, we define
$$ \begin{align*} N(r,V) & := \{U \,|\, U \text{ is an }r\text{-dimensional subspace of }V \text{ such that }U^{\perp}\subset U\},\\ \nu(r,d) & := \# N(r,V), \end{align*} $$
where
$U^{\perp }$
denotes the orthogonal of U with respect to the hermitian form on V. By Proposition 1.9 and the following Remark, we have the following statement, see also [Reference Vollaard and Wedhorn33] Corollary 5.7.
Proposition 1.16. Let
$\Lambda \in \mathcal L$
. Write
$t(\Lambda ) = 2\theta +1$
for some
$0\leq \theta \leq \theta _{\mathrm {max}}$
.
-
– Let
$\theta '$
be an integer such that
$0\leq \theta ' \leq \theta $
. The number of closed Bruhat-Tits strata of dimension
$\theta '$
contained in
${\mathcal {M}}_{\Lambda }$
is
$\nu (\theta + \theta ' + 1, 2\theta + 1)$
. -
– Let
$\theta '$
be an integer such that
$\theta \leq \theta ' \leq \theta _{\mathrm {max}}$
. The number of closed Bruhat-Tits strata of dimension
$\theta '$
containing
${\mathcal {M}}_{\Lambda }$
is
$\nu (n - \theta - \theta ' - 1, n - 2\theta - 1)$
.
Another way to formulate the proposition is to say that
$\nu (\theta + \theta ' + 1, 2\theta + 1)$
(resp.
$\nu (n - \theta - \theta ' - 1, n - 2\theta - 1)$
) is the number of vertices of type
$2\theta ' + 1$
in the Bruhat-Tits building of
$\tilde {J}$
which are neighbours of a given vertex of type
$2\theta + 1$
for
$\theta ' \leq \theta $
(resp.
$\theta ' \geq \theta $
). In [Reference Vollaard and Wedhorn33], an explicit formula is given for
$\nu (d-1,d)$
. The next proposition gives a formula to compute
$\nu (r,d)$
for general r and d.
Proposition 1.17. Let
$d\geq 0$
and let
$\left \lceil \frac {d}{2}\right \rceil \leq r \leq d$
. We have
$$ \begin{align*}\nu(r,d) = \frac{\prod_{j=1}^{2(d-r)}\left(p^{2r-d+j} - (-1)^{2r-d+j}\right)}{\prod_{j=1}^{d-r}\left(p^{2j} -1\right)}\end{align*} $$
Proof. We fix a basis
$(e_1,\ldots ,e_d)$
of V in which the hermitian form is represented by the matrix
$A_d$
. We denote by
$U_0$
the subspace generated by the vectors
$e_1,\ldots , e_r$
. The orthogonal of
$U_0$
is generated by
$e_1,\ldots , e_{d-r}$
. Since
$\left \lceil \frac {d}{2}\right \rceil \leq r \leq d$
,
$U_0$
contains its orthogonal, thus
$U_0 \in N(r,V)$
. The unitary group
$\mathrm {U}(V) \simeq \mathrm U_{d}(\mathbb F_p)$
acts transitively on the set
$N(r,V)$
(since
$p \not = 2$
). The stabilizer of
$U_0$
in
$\mathrm U_{d}(\mathbb F_p)$
is the standard parabolic subgroup
$$ \begin{align*}P_0 := \left\{ \begin{pmatrix} B & * & *\\ 0 & M & *\\ 0 & 0 & F(B) \end{pmatrix} \in \mathrm U_{d}(\mathbb F_p) \; \middle| \; B \in \mathrm{GL}_{d-r}(\mathbb F_{p^2}), M\in \mathrm U_{2r-d}(\mathbb F_p)\right\}.\end{align*} $$
Here,
$F(B) = A_{d-r}(B^{(p)})^{-T}A_{d-r}$
where
$B^{(p)}$
is the matrix B with all coefficients raised to the power p. The order of
$\mathrm U_d(\mathbb F_p)$
is well known and given by the formula
$$ \begin{align*}\#\mathrm U_d(\mathbb F_p) = p^{\frac{d(d-1)}{2}}\prod_{j=1}^{d} \left(p^j - (-1)^j\right).\end{align*} $$
It remains to compute the order of
$P_0$
. We have a Levi decomposition
$P_0 = L_0N_0$
with
$L_0 \cap N_0 = \{1\}$
where
$$ \begin{align*} L_0 & := \left\{ \begin{pmatrix} B & 0 & 0\\ 0 & M & 0\\ 0 & 0 & F(B) \end{pmatrix} \in \mathrm U_{d}(\mathbb F_p) \; \middle| \; B \in \mathrm{GL}_{d-r}(\mathbb F_{p^2}), M\in \mathrm U_{2r-d}(\mathbb F_p)\right\}, \\ N_0 & := \!\left\{\! \!\begin{pmatrix} 1 & X & Z\\ 0 & 1 & Y\\ 0 & 0 & 1 \end{pmatrix} \!\!\in \mathrm U_{d}(\mathbb F_p) \;\! \!\middle|\!\! \; X \in \mathrm{M}_{d-r,2r-d}(\mathbb F_{p^2}), Y\in \mathrm M_{2r-d,d-r}(\mathbb F_{p^2}), Z\in \mathrm M_{d-r}(\mathbb F_{p^2})\right\}. \end{align*} $$
The order of
$L_0$
is given by
$$ \begin{align*}\#L_0 &= \#\mathrm{GL}_{d-r}(\mathbb F_{p^2})\#\mathrm U_{2r-d}(\mathbb F_p)\\& = p^{(d-r)(d-r-1) + \frac{(2r-d)(2r-d-1)}{2}}\prod_{j=1}^{d-r}\left(p^{2j}-1\right)\prod_{j=1}^{2r-d} \left(p^j - (-1)^j\right).\end{align*} $$
As for
$N_0$
, we need some more conditions on the matrices
$X, Y$
and Z. By direct computations, one may check that
$$ \begin{align*} \begin{pmatrix} 1 & X & Z\\ 0 & 1 & Y\\ 0 & 0 & 1 \end{pmatrix} \in N_0 \iff Y &= -A_{2r-d}(X^{(p)})^TA_{d-r} \text{ and } Z + A_{d-r}(Z^{(p)})^TA_{d-r} \\&= XY \in \mathrm M_{d-r}(\mathbb F_{p^2}). \end{align*} $$
Thus, X is any matrix of size
$(d-r) \times (2r-d)$
and Y is determined by X. In the second equation, the matrix
$A_{d-r}(Z^{(p)})^TA_{d-r}$
is the reflection of
$Z^{(p)}$
with respect to the antidiagonal. The equation implies that the coefficients below the antidiagonal of Z determine those above the antidiagonal. Furthermore, if z is a coefficient in the antidiagonal then the equation determines the value of
$\mathrm {Tr}(z) = z + z^p$
, where
$\mathrm {Tr}: \mathbb F_{p^2} \rightarrow \mathbb F_p$
is the trace relative to the extension
$\mathbb F_{p^2}/\mathbb F_p$
. The trace is surjective and its kernel has order p. Thus, there are only p possibilities for each antidiagonal coefficient. Putting things together, the order of
$N_0$
is given by
where the three terms take account, respectively, of the choice of X, the choice of the coefficients below the antidiagonal of Z and the choice of the coefficients in the antidiagonal of Z. Hence the order of
$P_0$
is given by
$$ \begin{align*}\#P_0 = \#L_0\#N_0 = p^{\frac{d(d-1)}{2}}\prod_{j=1}^{d-r}\left(p^{2j}-1\right)\prod_{j=1}^{2r-d} \left(p^j - (-1)^j\right).\end{align*} $$
Upon taking the quotient
$\nu (r,d) = \#\mathrm U_d(\mathbb F_p)/\#P_0$
, the result follows.
In particular with
$r = d-1$
, we obtain
$$ \begin{align*}\nu(d-1,d) = \frac{(p^{d-1}-(-1)^{d-1})(p^d-(-1)^{d})}{p^2-1}.\end{align*} $$
If
$d = 2\delta $
is even, it is equal to
$(p^{d-1}+1)\sum _{j=0}^{\delta -1}p^{2j}$
, and if
$d = 2\delta + 1$
is odd, it is equal to
$(p^{d}+1)\sum _{j=0}^{\delta -1}p^{2j}$
. This coincides with the formula given in [Reference Vollaard and Wedhorn33] Example 5.6.
2 The cohomology of a closed Bruhat-Tits stratum
In [Reference Muller25], we computed the cohomology groups
$\mathrm {H}^{\bullet }_c({\mathcal {M}}_{\Lambda }\otimes \mathbb F,\overline {{\mathbb {Q}}_{\ell }})$
of the closed Bruhat-Tits strata. The computation relies on the Ekedahl-Oort stratification on
${\mathcal {M}}_{\Lambda }$
which, in the language of Deligne-Lusztig varieties, translates into a stratification by Coxeter varieties for unitary groups of smaller sizes. The cohomology of Coxeter varieties is well known thanks to the work of Lusztig in [Reference Lusztig20]. In order to state our results, we recall the classification of unipotent representations of the finite unitary group.
Let q be a power of prime number p, and let
$\mathbf G$
be a reductive connected group over an algebraic closure
$\mathbb F$
of
$\mathbb F_p$
. Assume that
$\mathbf G$
is equipped with an
$\mathbb F_q$
-structure induced by a Frobenius morphism F. Let
$G = \mathbf G^F$
be the associated finite group of Lie type. Let
$(\mathbf T,\mathbf B)$
be a pair consisting of an F-stable maximal torus
$\mathbf T$
and an F-stable Borel subgroup
$\mathbf B$
containing
$\mathbf T$
. Let
$\mathbf W = \mathbf W(\mathbf T)$
denote the Weyl group of
$\mathbf G$
. The Frobenius F induces an action on
$\mathbf W$
. For
$w\in \mathbf W$
, let
$\dot {w}$
be a representative of w in the normalizer
$\mathrm N_{\mathbf G}(\mathbf T)$
of
$\mathbf T$
. By the Lang-Steinberg theorem, one can find
$g\in \mathbf G$
such that
$\dot {w} = g^{-1}F(g)$
. Then
${}^g\mathbf T := g\mathbf T g^{-1}$
is another F-stable maximal torus, and
$w \in \mathbf W$
is said to be the type of
$^g \mathbf T$
with respect to
$\mathbf T$
. Every F-stable maximal torus arises in this manner. According to [Reference Deligne and Lusztig12] Corollary 1.14, the G-conjugacy class of
$^g \mathbf T$
only depends on the F-conjugacy class of w in the Weyl group
$\mathbf W$
. Here, two elements w and
$w'$
in
$\mathbf W$
are said to be F-conjugate if there exists some element
$\tau \in \mathbf W$
such that
$w = \tau w' F(\tau )^{-1}$
. For every
$w\in \mathbf W$
, we fix
$\mathbf T_w$
an F-stable maximal torus of type w with respect to
$\mathbf T$
. The Deligne-Lusztig induction of the trivial representation of
$\mathbf T_w$
is the virtual representation of G defined by the formula
where
$X(w)$
is the Deligne-Lusztig variety for
$\mathbf G$
given by
According to [Reference Deligne and Lusztig12] Theorem 1.6, the virtual representation
$R_w$
only depends on the F-conjugacy class of w in
$\mathbf W$
. An irreducible representation of G is said to be unipotent if it occurs in
$R_w$
for some
$w\in \mathbf W$
. The set of isomorphism classes of unipotent representations of G is denoted by
$\mathcal E(G,1)$
.
Remark 2.1. Since the centre
$\mathrm {Z}(G)$
acts trivially on the variety
$X(w)$
, any irreducible unipotent representation of G has trivial central character.
Let
$\mathbf G$
and
$\mathbf G'$
be two reductive connected groups over
$\mathbb F$
both equipped with an
$\mathbb F_q$
-structure. We denote by F and
$F'$
the respective Frobenius morphisms. Let
$f: \mathbf G\rightarrow \mathbf G'$
be an
$\mathbb F_q$
-isotypy, that is a homomorphism defined over
$\mathbb F_q$
whose kernel is contained in the centre of
$\mathbf G$
and whose image contains the derived subgroup of
$\mathbf G'$
. Then, according to [Reference Digne and Michel13] Proposition 11.3.8, we have an equality
Thus, the irreducible unipotent representations of G and of
$G'$
can be identified. We will use this observation in the case
$G = \mathrm {U}_k(\mathbb F_q)$
and
$G' = \mathrm {GU}_k(\mathbb F_q)$
. The corresponding reductive groups are
$\mathbf G = \mathrm {GL}_k$
and
$\mathbf G' = \mathrm {GL}_k \times \mathrm {GL}_1$
. The Frobenius morphisms can be defined as
Here,
$\dot {w_0}$
is the
$k\times k$
matrix with only
$1$
’s in the antidiagonal and
$M^{(q)}$
is the matrix M whose entries are all raised to the power q. The isotypy
$f: \mathbf G\rightarrow \mathbf G'$
is defined by
$f(M) = (M,1)$
. It satisfies
$F'\circ f = f \circ F$
, it is injective and its image contains the derived subgroup
$\mathrm {SL}_n\times \{1\} \subset \mathbf G'$
. Hence, we obtain the following result.
Proposition 2.2. The irreducible unipotent representations of the finite groups of Lie type
$\mathrm U_k(\mathbb F_q)$
and
$\mathrm {GU}_k(\mathbb F_q)$
can be naturally identified.
Assume that the Coxeter graph of the reductive group
$\mathbf G$
is a union of subgraphs of type
$A_m$
(for various m). Let
be the set of isomorphism classes of irreducible representations of its Weyl group
$\mathbf W$
. The action of the Frobenius F on
$\mathbf W$
induces an action on
, and we consider the fixed point set
. The following theorem of [Reference Lusztig and Srinivasan22] classifies the irreducible unipotent representations of G.
Theorem 2.3. There is a bijection between
and the set of isomorphism classes of irreducible unipotent representations of G.
We recall how the bijection is constructed. According to loc. cit. if
there is a unique automorphism
$\widetilde {F}$
of V of finite order such that
$$ \begin{align*}R(V) := \frac{1}{|\mathbf W|}\sum_{w\in \mathbf W} \mathrm{Trace}(w\circ \widetilde{F} \,|\, V)R_w\end{align*} $$
is an irreducible representation of G. Then the map
$V \mapsto R(V)$
is the desired bijection. In the case of
$\mathrm U_k(\mathbb F_q)$
or
$\mathrm {GU}_k(\mathbb F_q)$
, the Weyl group
$\mathbf W$
is identified with the symmetric group
$\mathfrak S_k$
and we have an equality
. Moreover, the automorphism
$\widetilde {F}$
is the multiplication by
$w_0$
, where
$w_0$
is the element of maximal length in
$\mathbf W$
. Thus, in both cases the irreducible unipotent representations of G are classified by the irreducible representations of the Weyl group
$\mathbf W\simeq \mathfrak S_k$
, which in turn are classified by partitions of k or equivalently by Young diagrams, as we briefly recall in the next paragraph.
A partition of k is a tuple of integers
$\lambda = (\lambda _1 \geq \ldots \geq \lambda _r>0)$
with
$r\geq 1$
such that
$\lambda _1 + \ldots + \lambda _r = k$
. The integer k is called the length of the partition, and it is denoted by
$|\lambda |$
. A Young diagram of size k is a top left justified collection of k boxes, arranged in rows and columns. There is a correspondence between Young diagrams of size k and partitions of k, by associating to a partition
$\lambda = (\lambda _1, \ldots , \lambda _r)$
the Young diagram having r rows consisting successively of
$\lambda _1, \ldots , \lambda _r$
boxes. We will often identify a partition with its Young diagram, and conversely. For example, the Young diagram associated to
$\lambda = (3^2,2^2,1)$
is the following one.

To any partition
$\lambda $
of k, one can naturally associate an irreducible character
$\chi _{\lambda }$
of the symmetric group
$\mathfrak S_k$
.
The irreducible unipotent representation of
$\mathrm U_k(\mathbb F_q)$
(resp.
$\mathrm {GU}_k(\mathbb F_q)$
) associated to
$\chi _{\lambda }$
by the bijection of Theorem 2.3 is denoted by
$\rho _{\lambda }^{\mathrm U}$
(resp.
$\rho _{\lambda }^{\mathrm {GU}}$
). In virtue of Proposition 2.2, for every
$\lambda $
we have
$\rho _{\lambda }^{\mathrm U} = \rho _{\lambda }^{\mathrm {GU}} \circ f$
, where
$f: \mathrm U_k(\mathbb F_q) \rightarrow \mathrm {GU}_k(\mathbb F_q)$
is the inclusion. Thus, it is harmless to identify
$\rho _{\lambda }^{\mathrm U}$
and
$\rho _{\lambda }^{\mathrm {GU}}$
so that from now on, we will omit the superscript. The partition
$(k)$
corresponds to the trivial representation and
$(1^k)$
to the Steinberg representation. Given a box
in the Young diagram of
$\lambda $
, its hook length
is
$1$
plus the number of boxes lying below it or on its right. For instance, in the following figure the hook length of every box of the Young diagram of
$\lambda = (3^2,2^2,1)$
has been written inside it.

The degree of the representations
$\rho _{\lambda }$
is given by expressions known as hook formula, see, for instance, [Reference Geck and Pfeiffer15] Proposition 4.3.5.
Proposition 2.4. Let
$\lambda = (\lambda _1 \geq \ldots \geq \lambda _r> 0)$
be a partition of k. The degree of the irreducible unipotent representation
$\rho _{\lambda }$
is given by the following formula

where
$a(\lambda ) = \sum _{i=1}^r (i-1)\lambda _i$
.
We may describe the cuspidal support of the unipotent representations
$\rho _{\lambda }$
. According to [Reference Lusztig21] Propositions 9.2 and 9.4 there exists an irreducible unipotent cuspidal representation of
$\mathrm U_k(\mathbb F_q)$
(or
$\mathrm {GU}_k(\mathbb F_q)$
) if and only if k is an integer of the form
$k = \frac {t(t+1)}{2}$
for some
$t\geq 0$
. When k is an integer of this form, the unique unipotent cuspidal representation is associated to the partition
$\Delta _t := (t, t-1,\ldots ,1)$
, whose Young diagram has the distinctive shape of a staircase. Here, as a convention
$U_0(\mathbb F_q) = \mathrm {GU}_0(\mathbb F_q)$
denotes the trivial group. For example, here are the Young diagrams of
$\Delta _1,\Delta _2$
and
$\Delta _3$
. Of course, the one of
$\Delta _0$
the empty diagram.

We consider an integer
$t\geq 0$
such that k decomposes as
$k = 2e + \frac {t(t+1)}{2}$
for some
$e\geq 0$
. Let G denote
$\mathrm {U}_k(\mathbb F_q)$
or
$\mathrm {GU}_k(\mathbb F_q)$
, and consider
$L_t$
the subgroup consisting of block-diagonal matrices having one middle block of size
$\frac {t(t+1)}{2}$
and all other blocks of size
$1$
. This is a standard Levi subgroup of G. For
$\mathrm U_k(\mathbb F_q)$
, it is isomorphic to
$\mathrm {GL}_1(\mathbb F_{q^2})^e\times \mathrm U_{\frac {t(t+1)}{2}}(\mathbb F_q)$
whereas in the case of
$\mathrm {GU}_k(\mathbb F_q)$
it is isomorphic to
$\mathrm {G}\left (\mathrm {U}_1(\mathbb F_{q})^e\times \mathrm {U}_{\frac {t(t+1)}{2}}(\mathbb F_q)\right )$
. In both cases,
$L_t$
admits a quotient which is isomorphic to a group of the same type as G but of size
$\frac {t(t+1)}{2}$
. We write
$\rho _t$
for the inflation to
$L_t$
of the unipotent cuspidal representation
$\rho _{\Delta _t}$
of this quotient. If
$\lambda $
is a partition of k, the cuspidal support of the representation
$\rho _{\lambda }$
is given by exactly one of the pair
$(L_t,\rho _t)$
up to conjugation, where
$t\geq 0$
is an integer such that for some
$e\geq 0$
we have
$k = 2e + \frac {t(t+1)}{2}$
. Note that in particular k and
$\frac {t(t+1)}{2}$
must have the same parity. With these notations, the irreducible unipotent representations belonging to the principal series (i.e. those whose cuspidal support is supported on a minimal parabolic subgroup) are those with cuspidal support
$(L_0,\rho _0)$
if k is even and
$(L_1,\rho _1)$
if k is odd.
Given an irreducible unipotent representation
$\rho _{\lambda }$
, there is a combinatorical way to determine the Harish-Chandra series to which it belongs, as we recalled in [Reference Muller25] Section 2. We consider the Young diagram of
$\lambda $
. We call domino any pair of adjacent boxes in the diagram. It may be either vertical or horizontal. We remove dominoes from the diagram of
$\lambda $
so that the resulting shape is again a Young diagram, until one can not proceed further. This process results in the Young diagram of the partition
$\Delta _t$
for some
$t\geq 0$
, and it is called the
$2$
-core of
$\lambda $
. It does not depend on the successive choices for the dominoes. Then, the representation
$\rho _{\lambda }$
has cuspidal support
$(L_t,\rho _t)$
if and only if
$\lambda $
has
$2$
-core
$\Delta _t$
. For instance, the diagram
$\lambda = (3^2,2^2,1)$
has
$2$
-core
$\Delta _1$
, as it can be determined by the following steps. We put crosses inside the successive dominoes that we remove from the diagram.

Thus, the unipotent representation
$\rho _{\lambda }$
of
$\mathrm U_{11}(\mathbb F_q)$
or
$\mathrm {GU}_{11}(\mathbb F_q)$
has cuspidal support
$(L_1,\rho _1)$
, so in particular it is a principal series representation.
From now on, we take
$q = p$
. Let
$\Lambda \in \mathcal L$
with orbit type
$t(\Lambda ) = 2\theta + 1$
. Recall that the stratum
${\mathcal {M}}_{\Lambda }$
is equipped with an action of the finite group of Lie type
$\mathrm {GU}(V_{\Lambda }^0)$
. Upon choosing a basis, we identify this group with
$\mathrm {GU}_{2\theta +1}(\mathbb F_p)$
. Let
$\mathrm {Frob} = \sigma ^{-2} \in \mathrm {Gal}(\mathbb F/\mathbb F_{p^2})$
be the geometric Frobenius. Then
$\mathrm {Frob}$
is a topological generator of
$\mathrm {Gal}(\mathbb F/\mathbb F_{p^2})$
. In [Reference Muller25], we computed the cohomology groups
$\mathrm {H}^{\bullet }({\mathcal {M}}_{\Lambda }\otimes \mathbb F,\overline {{\mathbb {Q}}_{\ell }})$
in terms of a
$\mathrm {GU}_{2\theta +1}(\mathbb F_p) \times \langle \mathrm {Frob} \rangle $
-representation. The result is summed up in the following Theorem.
Theorem 2.5. Let
$\Lambda \in \mathcal L$
and write
$t(\Lambda ) = 2\theta +1$
for some
$0\leq \theta \leq \theta _{\mathrm {max}}$
.
-
(1) The cohomology group
${\mathrm {H}}^j({\mathcal {M}}_{\Lambda }\otimes \mathbb F,\overline {{\mathbb {Q}}_{\ell }})$
is zero unless
$0 \leq j \leq 2\theta $
. -
(2) The Frobenius
$\mathrm {Frob}$
acts like multiplication by
$(-p)^j$
on
${\mathrm {H}}^j({\mathcal {M}}_{\Lambda }\otimes \mathbb F,\overline {{\mathbb {Q}}_{\ell }})$
. -
(3) For
$0\leq j \leq \theta $
we have
$$ \begin{align*}{\mathrm{H}}^{2j}({\mathcal{M}}_{\Lambda}\otimes \mathbb F,\overline{{\mathbb{Q}}_{\ell}}) = \bigoplus_{s=0}^{\min(j,\theta - j)} \rho_{(2\theta + 1 - 2s, 2s)}.\end{align*} $$
For
$0\leq j \leq \theta - 1$
we have
$$ \begin{align*}{\mathrm{H}}^{2j+1}({\mathcal{M}}_{\Lambda}\otimes \mathbb F,\overline{{\mathbb{Q}}_{\ell}}) = \bigoplus_{s=0}^{\min(j,\theta - 1 - j)} \rho_{(2\theta - 2s, 2s + 1)}.\end{align*} $$
Thus, the cohomology of
${\mathcal {M}}_{\Lambda }$
consists only of unipotent representations whose associated Young diagram has at most two rows.
Remarks 2.6. Let us make a few comments.
-
– The cohomology groups of index
$0$
and
$2\theta $
are the trivial representation of
$\mathrm {GU}_{2\theta +1}(\mathbb F_p)$
. -
– All irreducible representations in the cohomology groups of even index belong to the unipotent principal series, whereas all the ones in the groups of odd index have cuspidal support
$(L_2,\rho _2)$
. -
– The cohomology group
${\mathrm {H}}^j({\mathcal {M}}_{\Lambda }\otimes \mathbb F,\overline {{\mathbb {Q}}_{\ell }})$
contains no cuspidal representation unless
$\theta = j = 0$
or
$\theta = j = 1$
. If
$\theta = 0$
then
${\mathrm {H}}^0$
is the trivial representation of
$\mathrm {GU}_1(\mathbb F_p) = \mathbb F_{p^2}^{\times }$
, and if
$\theta = 1$
then
${\mathrm {H}}^1$
is the representation
$\rho _{\Delta _2}$
of
$\mathrm {GU}_3(\mathbb F_p)$
. Both of them are cuspidal.
3 Shimura variety and p-adic uniformization of the supersingular locus
In this section, we introduce the PEL unitary Shimura variety with signature
$(1,n-1)$
as in [Reference Vollaard and Wedhorn33] Sections 6.1 and 6.2, and we recall the p-adic uniformization theorem of its basic (or supersingular) locus. The Shimura variety can be defined as a moduli problem classifying abelian varieties with additional structures, as follows. Let
$\mathbb E$
be a quadratic imaginary extension of
${\mathbb {Q}}$
such that
$\mathbb E_p \simeq E$
. In particular p is inert in
$\mathbb E$
. Let
$B/\mathbb E$
be a simple central algebra of degree
$d\geq 1$
which splits over p and at infinity. Let
$*$
be a positive involution of the second kind on B, and let
$\mathbb V$
be a non-zero finitely generated left B-module equipped with a non-degenerate
$*$
-alternating form
$\langle \cdot ,\cdot \rangle $
taking values in
${\mathbb {Q}}$
. Assume also that
$\dim _{\mathbb E}(\mathbb V) = nd$
. Let
$\mathbb G$
be the connected reductive group over
${\mathbb {Q}}$
whose points over a
${\mathbb {Q}}$
-algebra R are given by
We denote by
$c:\mathbb G\rightarrow \mathbb G_{m}$
the multiplier character. The base change
$\mathbb G_{\mathbb R}$
is isomorphic to a group of unitary similitudes
$\mathrm {GU}(r,s)$
of a hermitian space with signature
$(r,s)$
where
$r+s=n$
. We assume that
$r=1$
and
$s=n-1$
. We consider a Shimura datum of the form
$(\mathbb G,X)$
, where X denotes the unique
$\mathbb G(\mathbb R)$
-conjugacy class of homomorphisms
$h:\mathbb C^{\times } \rightarrow \mathbb G_{\mathbb R}$
such that for all
$z\in \mathbb C^{\times }$
we have
$\langle h(z)\cdot ,\cdot \rangle = \langle \cdot , h(\overline {z})\cdot \rangle $
, and such that the
$\mathbb R$
-pairing
$\langle \cdot ,h(i)\cdot \rangle $
is positive definite. Such a homomorphism h induces a decomposition
$\mathbb V\otimes \mathbb C = \mathbb V_1 \oplus \mathbb V_2$
. Concretely,
$\mathbb V_1$
(resp.
$\mathbb V_2$
) is the subspace where
$h(z)$
acts like z (resp. like
$\overline {z}$
). Let F be the unique subfield of
$\mathbb C$
isomorphic to
$\mathbb E$
. The reflex field associated to the PEL data, that is the field of definition of
$\mathbb V_1$
as a complex representation of B, is equal to F unless
$n=2$
, in which case it is
${\mathbb {Q}}$
. Nonetheless, for simplicity we will consider the associated Shimura varieties over F even in the case
$n=2$
.
Remark 3.1. As remarked in [Reference Vollaard32] Section 6, the group G satisfies the Hasse principle, i.e.
$\mathrm {ker}^1({\mathbb {Q}},\mathbb G)$
is a singleton. Therefore, the Shimura variety associated to the Shimura datum
$(G,X)$
coincides with the moduli space of abelian varieties that we are going to define.
Let
$\mathbb A_f$
denote the ring of finite adèles over
${\mathbb {Q}}$
and let
$K\subset G(\mathbb A_f)$
be an open compact subgroup. We define a functor
$\mathrm {Sh}_K$
by associating to an F-scheme S the set of isomorphism classes of tuples
$(A,\lambda _A,\iota _A,\overline {\eta }_A)$
where
-
– A is an abelian scheme over S.
-
–
$\lambda _A: A\rightarrow \widehat {A}$
is a polarization. -
–
$\iota _A:B\rightarrow \mathrm {End}(A)\otimes {\mathbb {Q}}$
is a morphism of algebras such that
$\iota _A(b^*) = \iota _A(b)^{\dagger }$
where
$\cdot ^{\dagger }$
denotes the Rosati involution associated to
$\lambda _A$
, and such that the Kottwitz determinant condition is satisfied:
$$ \begin{align*}\forall b \in B,\, \det(\iota_A(b)) = \det(b\,|\, \mathbb V_1).\end{align*} $$
-
–
$\overline {\eta }_A$
is a K-level structure, that is a K-orbit of isomorphisms of
$B\otimes \mathbb A_f$
-modules
$\mathrm {H}_1(A,\mathbb A_f) \xrightarrow {\sim } \mathbb V\otimes \mathbb A_f$
that is compatible with the other data.
The Kottwitz condition in the third point is independent of the choice of
$h\in X$
. If K is sufficiently small, this moduli problem is represented by a smooth quasi-projective scheme
$\mathrm {Sh}_K$
over F. When the level K varies, the Shimura varieties form a projective system
$(\mathrm {Sh}_K)_K$
equipped with an action of
$\mathbb G(\mathbb A_f)$
by Hecke correspondences.
We assume the existence of a
$\mathbb Z_{(p)}$
-order
$\mathcal O_B$
in B, stable under the involution
$*$
, such that its p-adic completion is a maximal order in
$B_{{\mathbb {Q}}_p}$
. We also assume that there is a
$\mathbb Z_p$
-lattice
$\Gamma $
in
$\mathbb V\otimes {\mathbb {Q}}_p$
, invariant under
$\mathcal O_B$
and self-dual for
$\langle \cdot ,\cdot \rangle $
. We may fix isomorphisms
$\mathbb E_p \simeq E$
and
$B_{{\mathbb {Q}}_p} \simeq \mathrm M_d(E)$
such that
$\mathcal O_B\otimes \mathbb Z_{p}$
is identified with
$\mathrm M_d(\mathcal O_E)$
.
As a consequence of the existence of
$\Gamma $
, the group
$G := \mathbb G_{{\mathbb {Q}}_p}$
is unramified. Let
$K_0 := \mathrm {Stab}(\Gamma )$
be the subgroup of
$G({\mathbb {Q}}_p)$
consisting of all g such that
$g\cdot \Gamma = \Gamma $
. It is a hyperspecial maximal compact subgroup of
$G({\mathbb {Q}}_p)$
. We will consider levels of the form
$K = K_0K^p$
where
$K^p$
is an open compact subgroup of
$\mathbb G(\mathbb A_f^p)$
. Note that K is sufficiently small as soon as
$K^p$
is sufficiently small. By the work of Kottwitz in [Reference Kottwitz19], the Shimura varieties
$\mathrm {Sh}_{K_0K^p}$
admit integral models over
$\mathcal O_{F,(p)}$
which have the following moduli interpretation. We define a functor
$\mathrm {S}_{K^p}$
by associating to an
$\mathcal O_{F,(p)}$
-scheme S the set of isomorphism classes of tuples
$(A,\lambda _A,\iota _A,\overline {\eta }^p_A)$
where
-
– A is an abelian scheme over S.
-
–
$\lambda _A: A\rightarrow \widehat {A}$
is a polarization whose order is prime to p. -
–
$\iota _A:\mathcal O_B\rightarrow \mathrm {End}(A)\otimes \mathbb Z_{(p)}$
is a morphism of algebras such that
$\iota _A(b^*) = \iota _A(b)^{\dagger }$
where
$\cdot ^{\dagger }$
denotes the Rosati involution associated to
$\lambda _A$
, and such that the Kottwitz determinant condition is satisfied:
$$ \begin{align*}\forall b \in \mathcal O_B,\, \det(\iota_A(b)) = \det(b\,|\, \mathbb V_1).\end{align*} $$
-
–
$\overline {\eta }^p_A$
is a
$K^p$
-level structure, that is a
$K^p$
-orbit of isomorphisms of
$B\otimes \mathbb A_f^p$
-modules
$\mathrm {H}_1(A,\mathbb A_f^p) \xrightarrow {\sim } \mathbb V\otimes \mathbb A_f^p$
that is compatible with the other data.
If
$K^p$
is sufficiently small, this moduli problem is also representable by a smooth quasi-projective scheme over
$\mathcal O_{F,(p)}$
. When the level
$K^p$
varies, these integral Shimura varieties form a projective system
$(\mathrm {S}_{K^p})_{K^p}$
equipped with an action of
$\mathbb G(\mathbb A_f^p)$
by Hecke correspondences. We have a family of isomorphisms
which are compatible as the level
$K^p$
varies.
Notation. From now on, we identify
$F_p$
with
${\mathbb {Q}}_{p^2}$
and
$\mathcal O_{F_p}$
with
$\mathbb Z_{p^2}$
. Moreover, the notation
$\mathrm S_{K^p}$
will refer to the base change
$\mathrm S_{K^p} \otimes _{\mathcal O_{F,(p)}} \mathbb Z_{p^2}$
.
Therefore, under this convention we have isomorphisms
$\mathrm {Sh}_{K_0K^p}\otimes _F {\mathbb {Q}}_{p^2} \simeq \mathrm {S_{K^p}}\otimes _{\mathbb Z_{p^2}} {\mathbb {Q}}_{p^2}$
compatible as the level
$K^p$
varies. Let
$\overline {\mathrm S}_{K^p} := \mathrm S_{K^p}\otimes _{\mathbb Z_{p^2}} \mathbb F_{p^2}$
denote the special fiber of the Shimura variety. Let
$\overline {\mathrm S}_{K^p}^{\mathrm {ss}}$
denote the supersingular locus of the Shimura variety, i.e. the locus of points
$x \in \overline {\mathrm S}_{K^p}$
such that the universal abelian scheme is supersingular at x. Then
$\overline {\mathrm S}_{K^p}^{\mathrm {ss}}$
is a closed subvariety of
$\overline {\mathrm S}_{K^p}$
, and its geometry can be described using the Rapoport-Zink space
$\mathcal M$
in a process called p-adic uniformization, see [Reference Rapoport and Zink28] and [Reference Fargues14].
Let
$x = [{\mathcal {A}}_x,\lambda _x,\iota _x,\overline {\eta }^p_x]$
be a geometric point of
$\overline {\mathrm S}_{K^p}^{\mathrm {ss}}$
. Since
$\mathbb G$
satisfies the Hasse principle, according to [Reference Fargues14] Proposition 3.1.8 the isogeny class of
$({\mathcal {A}}_x, \lambda _x, \iota _x)$
does not depend on the choice of x. The p-divisible group
${\mathcal {A}}_x[p^{\infty }]$
inherits an
$\mathcal O_B \otimes \mathbb Z_p \simeq \mathrm M_d(\mathcal O_E)$
-action from
$\iota _A$
. Let
$\mathbb X_x := \mathcal O_E^d \otimes _{\mathrm M_d(\mathcal O_E)} {\mathcal {A}}_x[p^{\infty }]$
with
$\mathcal O_E$
-action induced by the diagonal inclusion
$\mathcal O_E \hookrightarrow \mathcal O_E^d$
. According to [Reference Vollaard and Wedhorn33] Section 6.3,
$\mathbb X_x$
is a unitary p-divisible group of signature
$(1,n-1)$
over
$\mathbb F$
in the sense of Section 1. Let also
${\mathcal {M}}_x$
be the Rapoport-Zink space defined as in Section 1, but using
$\mathbb X_x$
as a framing object. In particular
${\mathcal {M}}_x$
is a formal scheme over
$\mathrm {Spf}(W(\mathbb F))$
. There exists an isogeny
$\mathbb X \otimes \mathbb F \to \mathbb X_x$
of unitary p-divisible group, inducing an isomorphism
${\mathcal {M}}_{W(\mathbb F)} := \mathcal M \otimes _{\mathbb Z_{p^2}} W(\mathbb F) \xrightarrow {\sim } {\mathcal {M}}_x$
, see [Reference Vollaard and Wedhorn33] Section 6.4. The Rapoport-Zink space
${\mathcal {M}}_x$
is equipped with an action of the group
$J_x({\mathbb {Q}}_p)$
where
$J_x$
is the group of quasi-isogenies of the unitary p-divisible group
$\mathbb X_x$
. The quasi-isogeny
$\mathbb X \otimes \mathbb F \to \mathbb X_x$
identifies
$J_x$
with J and makes the isomorphism between the Rapoport-Zink spaces
$J({\mathbb {Q}}_p)$
-equivariant. We define
$I := \mathrm {Aut}({\mathcal {A}}_x,\lambda _x,\iota _x)$
as a reductive group over
${\mathbb {Q}}$
. Since x is in the supersingular locus, the group I is the inner form of
$\mathbb G$
such that
$I_{{\mathbb {Q}}_p} = J$
(in fact
$J_x$
, which is identified with J),
$I_{\mathbb A_f} = \mathbb G_{\mathbb A_f^p}$
and
$I(\mathbb R) \simeq \mathrm {GU}(0,n)$
, which is the unique inner form of
$G(\mathbb R)$
that is compact modulo centre. In particular, one can think of
$I({\mathbb {Q}})$
as a subgroup both of
$J({\mathbb {Q}}_p)$
and of
$G(\mathbb A_f^p)$
. Let
$(\widehat {\mathrm S}_{K^p})^{\mathrm {ss}}$
denote the formal completion of
$\mathrm S_{K^p}$
along the supersingular locus. The p-adic uniformization theorem relates
$(\widehat {\mathrm S}_{K^p})^{\mathrm {ss}}$
with a certain quotient of
${\mathcal {M}}_x$
, see [Reference Rapoport and Zink28] Theorem 6.23. Using the isomorphism above, we may replace
${\mathcal {M}}_x$
with
${\mathcal {M}}_{W(\mathbb F)}$
and obtain the following statement.
Theorem 3.2. There is an isomorphism of formal schemes over
$\mathrm {Spf}(W(\mathbb F))$
which is compatible with the
$\mathbb G(\mathbb A_f^p)$
-action by Hecke correspondences as the level
$K^p$
varies.
This isomorphism is known as the p -adic uniformization of the supersingular locus. The induced map on the special fiber is an isomorphism
of schemes over
$\mathbb F$
. The double coset space
$I({\mathbb {Q}})\backslash \mathbb G(\mathbb A_f^p) / K^p$
is finite, so that we may fix a system of representatives
$g_1,\ldots ,g_s \in \mathbb G(\mathbb A_f^p)$
. For every
$1 \leq k \leq s$
, we define
$\Gamma _k := I({\mathbb {Q}}) \cap g_k K^p g_k^{-1}$
, which we see as a discrete subgroup of
$J({\mathbb {Q}}_p)$
that is cocompact modulo the centre. The left-hand side of the p-adic uniformization theorem is isomorphic to the disjoint union of the quotients
$\Gamma _k \backslash {\mathcal {M}}_{W(\mathbb F)}$
. In particular for the special fiber, it is an isomorphism
$$ \begin{align*}(\Theta_{K^p})_s:\bigsqcup_{k=1}^s \Gamma_k \backslash ({\mathcal{M}}_{\mathrm{red}} \otimes \mathbb F) \xrightarrow{\sim} \overline{\mathrm S}_{K^p}^{\mathrm{ss}} \otimes \mathbb F.\end{align*} $$
Let
$\Phi _{K^p}^k$
be the composition
${\mathcal {M}}_{\mathrm {red}} \otimes \mathbb F \rightarrow \Gamma _k \backslash ({\mathcal {M}}_{\mathrm {red}} \otimes \mathbb F) \rightarrow \overline {\mathrm {Sh}}_{C^p}^{\,\mathrm {ss}} \otimes \mathbb F$
and let
$\Phi _{K^p}$
be the disjoint union of the
$\Phi _{K^p}^k$
. The map
$\Phi _{K^p}$
is surjective. According to [Reference Vollaard and Wedhorn33] Section 6.4, it is a local isomorphism which can be used to transport the Bruhat-Tits stratification from
${\mathcal {M}}_{\mathrm {red}}$
to
$\overline {\mathrm S}_{K^p}^{\mathrm {ss}}$
.
Proposition 3.3. Let
$\Lambda \in \mathcal L$
. For any
$1\leq k \leq s$
, the restriction of
$\Phi _{K^p}^k$
to
${\mathcal {M}}_{\Lambda } \otimes \mathbb F$
is an isomorphism onto its image.
We will denote by
$\overline {\mathrm {S}}_{K^p,\Lambda ,k}$
the scheme theoretic image of
${\mathcal {M}}_{\Lambda } \otimes \mathbb F$
through
$\Phi ^k$
. A subscheme of the form
$\overline {\mathrm {S}}_{K^p,\Lambda ,k}$
is called a closed Bruhat-Tits stratum of the Shimura variety. Together, they form the Bruhat-Tits stratification of the supersingular locus, whose combinatorics is described by the union of the complexes
$\Gamma _k \backslash \mathcal L$
.
4 The cohomology of the Rapoport-Zink space at maximal level
4.1 The spectral sequence associated to an open cover of
${\mathcal {M}}^{\mathrm {an}}$
The formal scheme
$\mathcal M$
is special in the sense of [Reference Berkovich3] since it is formally locally of finite type. Thus, we may consider the associated analytic space
${\mathcal {M}}^{\mathrm {an}}$
over
${\mathbb {Q}}_{p^2}$
in the sense of loc. cit. We note that
${\mathcal {M}}^{\mathrm {an}}$
is smooth, as follows from [Reference Rapoport and Zink28] Proposition 5.17 (to be precise, this statement is about the rigid space
${\mathcal {M}}^{\mathrm {rig}}$
in the sense of Berthelot, but it is equivalent to the corresponding statement for
${\mathcal {M}}^{\mathrm {an}}$
, see, for instance, [Reference Fargues14] Lemme 2.3.24, or Appendice D for a brief summary of various comparisons between analytic, rigid and adic spaces). We refer to
${\mathcal {M}}^{\mathrm {an}}$
as the generic fiber of
$\mathcal M$
. It is equipped with a reduction (or specialization) map
$\mathrm {red}: {\mathcal {M}}^{\mathrm {an}} \to {\mathcal {M}}_{\mathrm {red}}$
which is anticontinuous, i.e. the preimage of a closed (resp. open) subset is open (resp. closed). If Z is a locally closed subset of
${\mathcal {M}}_{\mathrm {red}}$
, then the preimage
$\mathrm {red}^{-1}(Z)$
is called the analytical tube over Z. It is an analytic domain in
${\mathcal {M}}^{\mathrm {an}}$
and it coincides with the generic fiber of the formal completion of
${\mathcal {M}}_{\mathrm {red}}$
along Z. If
$i\in \mathbb Z$
such that
$ni$
is even, then the tube
$\mathrm {red}^{-1}({\mathcal {M}}_i) = {\mathcal {M}}_i^{\mathrm {an}}$
is open and closed in
${\mathcal {M}}^{\mathrm {an}}$
and we have
${\mathcal {M}}^{\mathrm {an}} = \bigsqcup _{ni\in 2\mathbb Z} {\mathcal {M}}_i^{\mathrm {an}}.$
If
$\Lambda \in \mathcal L$
, we define
the tube over
${\mathcal {M}}_{\Lambda }$
. The action of
$J({\mathbb {Q}}_p)$
on
$\mathcal M$
induces an action on the generic fiber
${\mathcal {M}}^{\mathrm {an}}$
such that
$\mathrm {red}$
is
$J({\mathbb {Q}}_p)$
-equivariant. By restriction it induces an action of
$J_{\Lambda }$
on
$U_{\Lambda }$
. The analytic space
${\mathcal {M}}^{\mathrm {an}}$
and each of the open subspaces
$U_{\Lambda }$
have dimension
$n-1$
.
We fix a prime number
$\ell \not = p$
. In [Reference Berkovich1], Berkovich developped a theory of étale cohomology for his analytic spaces. Using it we may define the cohomology of the Rapoport-Zink space
${\mathcal {M}}^{\mathrm {an}}$
by the formula
$$ \begin{align*} {\mathrm{H}}^{\bullet}_c({\mathcal{M}}^{\mathrm{an}}\widehat{\otimes}\, {\mathbb{C}}_p,\overline{{\mathbb{Q}}_{\ell}}) & := \varinjlim_U {\mathrm{H}}_c^{\bullet}(U\widehat{\otimes} \, {\mathbb{C}}_p,\overline{{\mathbb{Q}}_{\ell}}) \\ & = \varinjlim_U\varprojlim_n {\mathrm{H}}_c^{\bullet}(U\widehat{\otimes} \, {\mathbb{C}}_p,\mathbb Z/\ell^n\mathbb Z)\otimes \overline{{\mathbb{Q}}_{\ell}} \end{align*} $$
where U goes over all relatively compact open of
${\mathcal {M}}^{\mathrm {an}}$
. These cohomology groups are equipped with commuting actions of
$J({\mathbb {Q}}_p)$
and of W, the absolute Weil group of
${\mathbb {Q}}_{p^2}$
. The
$J({\mathbb {Q}}_p)$
-action causes no problem of interpretation, but the W-action requires some explanations, see [Reference Fargues14] Section 4.4.1. Let
$\mathrm {Frob} = \sigma ^{-2}$
be the geometric Frobenius in W. The inertia subgroup
$I\subset W$
acts on
${\mathrm {H}}^{\bullet }_c({\mathcal {M}}^{\mathrm {an}}\widehat {\otimes }\, {\mathbb {C}}_p,\overline {{\mathbb {Q}}_{\ell }})$
via the coefficients
${\mathbb {C}}_p$
, whereas
$\mathrm {Frob}$
acts via the Weil descent datum defined by Rapoport and Zink in [Reference Rapoport and Zink28] 3.48. Let
denote the Frobenius morphism relative to
$\mathbb F_{p^2}$
. Let
$(\mathcal M \otimes W(\mathbb F))^{(p^2)}$
be the functor defined by
for all
$W(\mathbb F)$
-scheme S where p is locally nilpotent. The Weil descent datum is the isomorphism
$\alpha _{\mathrm {RZ}}: \mathcal M \otimes W(\mathbb F) \xrightarrow {\sim } (\mathcal M \otimes W(\mathbb F))^{(p^2)}$
given by
$(X,\iota ,\lambda ,\rho ) \in \mathcal M(S) \mapsto (X,\iota ,\lambda ,F_{\mathbb X} \circ \rho )$
. We may describe this in terms of rational points and Dieudonné modules. If
$k/\mathbb F$
is a perfect field extension, let
$\tau := \mathrm {id}\otimes \sigma ^2$
on
$\mathbf V_k = \mathbf V \otimes _{{\mathbb {Q}}_{p^2}} W(k)_{{\mathbb {Q}}}$
. Since we use covariant Dieudonné theory, the relative Frobenius
$F_{\mathbb X}$
corresponds to the Verschiebung
$\mathbf V^2$
. By construction of
$\mathbb X$
, we have
$\mathbf V^2 = p\tau ^{-1}$
in
$\mathbf V_k$
. Therefore,
$\alpha _{\mathrm {RZ}}$
sends a Dieudonné module
$M\in \mathcal M(k)$
to
$p\tau ^{-1}(M)$
.
Remark 4.1. We stress that the Weil descent datum
$\alpha _{\mathrm {RZ}}$
is not effective, however the Rapoport-Zink space is defined over
$\mathbb Z_{p^2}$
, and this rational structure is induced by the effective descent datum
$p^{-1}\alpha _{\mathrm {RZ}}$
, with
$p = p\cdot \mathrm {id} \in \mathrm Z(J({\mathbb {Q}}_p))$
.
We define
The action of
$\varphi $
on the cohomology of
${\mathcal {M}}^{\mathrm {an}}$
coincides with the action of a geometric Frobenius induced by the effective descent datum
$p^{-1}\alpha _{\mathrm {RZ}}$
. Thus, we refer to
$\varphi $
as the rational Frobenius element.
Notation. To alleviate the notations, we will omit the coefficients
${\mathbb {C}}_p$
. Therefore we write
${\mathrm {H}}^{\bullet }_c({\mathcal {M}}^{\mathrm {an}},\overline {{\mathbb {Q}}_{\ell }})$
and similarly for subspaces of
${\mathcal {M}}^{\mathrm {an}}$
.
The cohomology groups
${\mathrm {H}}^{\bullet }_c({\mathcal {M}}^{\mathrm {an}},\overline {{\mathbb {Q}}_{\ell }})$
are concentrated in degrees
$0$
to
$2(n-1)$
. According to [Reference Fargues14] Corollaire 4.4.7, these groups are smooth for the
$J({\mathbb {Q}}_p)$
-action and continuous for the I-action. For
$g\in J({\mathbb {Q}}_p)$
, we have an isomorphism
which is induced by
$g^{-1}$
and contravariance of cohomology. In particular, the action of
$\mathrm {Frob}$
gives an isomorphism
${\mathrm {H}}^{\bullet }({\mathcal {M}}_i,\overline {{\mathbb {Q}}_{\ell }}) \xrightarrow {\sim } {\mathrm {H}}^{\bullet }({\mathcal {M}}_{i+2},\overline {{\mathbb {Q}}_{\ell }})$
. Let
$(J({\mathbb {Q}}_p)\times W)^{\circ }$
be the subgroup of
$J({\mathbb {Q}}_p)\times W$
consisting of all elements of the form
$(g,u\mathrm {Frob}^j)$
with
$u\in I$
and
$\alpha (g) = -2j$
. In fact, we have
$(J({\mathbb {Q}}_p)\times W)^{\circ } = (J^{\circ }\times I)\varphi ^{\mathbb Z}$
where
$J^{\circ } := \mathrm {Ker}(\alpha ) \subset J({\mathbb {Q}}_p)$
, and
$\alpha = v_p \circ c$
was introduced in Section 1.1. Each group
${\mathrm {H}}^{\bullet }_c({\mathcal {M}}_i^{\mathrm {an}},\overline {{\mathbb {Q}}_{\ell }})$
is a
$(J({\mathbb {Q}}_p)\times W)^{\circ }$
-representation, and we have an isomorphism
In particular, when
${\mathrm {H}}^{k}_c({\mathcal {M}}^{\mathrm {an}},\overline {{\mathbb {Q}}_{\ell }})$
is non-zero it is infinite dimensional. However, by [Reference Fargues14] Proposition 4.4.13, these cohomology groups are always of finite type as
$J({\mathbb {Q}}_p)$
-modules.
We introduce the Čech spectral sequence associated to the locally finite covering of
${\mathcal {M}}^{\mathrm {an}}$
by the
$U_{\Lambda }$
’s. For
$i\in \mathbb Z$
such that
$ni$
is even and for
$0\leq \theta \leq \theta _{\mathrm {max}}$
, we denote by
${\mathcal {L}}_i^{(\theta )}$
the subset of
${\mathcal {L}}_i$
whose elements are those lattices of orbit type
$2\theta +1$
. We also write
$\mathcal L^{(\theta )}$
for the union of the
${\mathcal {L}}_i^{(\theta )}$
. Then
$\{U_{\Lambda }\}_{\Lambda \in \mathcal L^{(\theta _{\mathrm {max}})}}$
is an open cover of
${\mathcal {M}}^{\mathrm {an}}$
. We may apply [Reference Fargues14] Proposition 4.2.2 to deduce the existence of the following Čech spectral sequence computing the cohomology of the Rapoport-Zink space, concentrated in degrees
$a\leq 0$
and
$0\leq b \leq 2(n-1)$
,
$$\begin{align} E_{1}^{a,b}: \bigoplus_{\gamma \in I_{-a+1}} {\mathrm{H}}^b_c(U(\gamma),\overline{{\mathbb{Q}}_{\ell}}) \implies {\mathrm{H}}^{a+b}_c({\mathcal{M}}^{\mathrm{an}},\overline{{\mathbb{Q}}_{\ell}}). \end{align}$$
Here, for
$s\geq 1$
the set
$I_s$
is defined by
$$ \begin{align*}I_s := \left\{\gamma = (\Lambda^1,\ldots ,\Lambda^s) \, \middle | \, \forall 1\leq j \leq s, \Lambda^j \in \mathcal L^{(\theta_{\mathrm{max}})} \text{ and } U(\gamma):= \bigcap_{j=1}^s U_{\Lambda^j} \not = \emptyset \right\}.\end{align*} $$
Necessarily, if
$\gamma = (\Lambda ^1,\ldots ,\Lambda ^s)\in I_s$
then there exists a unique i such that
$ni$
is even and
$\Lambda ^j \in {\mathcal {L}}_i^{(\theta _{\mathrm {max}})}$
for all
$J({\mathbb {Q}}_p)$
. We then define
$\Lambda (\gamma ) := \bigcap _{j=1}^s \Lambda ^j \in {\mathcal {L}}_i$
so that
$U(\gamma ) = U_{\Lambda (\gamma )}$
. In particular, the open subspace
$U(\gamma )$
depends only on the intersection
$\Lambda (\gamma )$
of the elements in the s-tuple
$\gamma $
.
For
$s\geq 2$
and
$\gamma = (\Lambda ^1,\ldots ,\Lambda ^{s}) \in I_s$
, define
$\gamma _j := (\Lambda ^1,\ldots ,\widehat {\Lambda ^j},\ldots ,\Lambda ^s) \in I_{s-1}$
for the
$(s-1)$
-tuple obtained from
$\gamma $
by removing the j-th term. Besides, for
$\Lambda ,\Lambda ' \in {\mathcal {L}}_i$
with
$\Lambda ' \subset \Lambda $
, we write
$f_{\Lambda ',\Lambda }^b$
for the natural map
${\mathrm {H}}^b_c(U_{\Lambda '},\overline {{\mathbb {Q}}_{\ell }}) \to {\mathrm {H}}^b_c(U_{\Lambda },\overline {{\mathbb {Q}}_{\ell }})$
induced by the open immersion
$U_{\Lambda '} \subset U_{\Lambda }$
. For
$a\leq -1$
, the differential
$E_1^{a,b}\to E_1^{a+1,b}$
is denoted by
$\varphi ^{a,b}$
. It is the direct sum over all
$\gamma \in I_{-a+1}$
of the maps
$$ \begin{align*} {\mathrm{H}}^b_c(U(\gamma),\overline{{\mathbb{Q}}_{\ell}}) & \to \bigoplus_{\delta \in \{\gamma_1,\ldots \gamma_{-a+1}\}} {\mathrm{H}}^b_c(U(\delta),\overline{{\mathbb{Q}}_{\ell}})\\ v & \mapsto \left(\sum_{\substack{j=1\\ \gamma_j = \delta}}^{-a+1}(-1)^{j+1}f_{\Lambda(\gamma),\Lambda(\gamma_j)}^b(v)\right)_{\delta \in \{\gamma_1,\ldots, \gamma_{-a+1}\}}. \end{align*} $$
An element
$g\in J({\mathbb {Q}}_p)$
acts on the set
$I_s$
by sending
$\gamma $
to
$g\cdot \gamma := (g\Lambda ^1,\ldots ,g\Lambda ^s)$
. The action of
$g^{-1}$
induces an isomorphism
Likewise,
$\mathrm {Frob} \in W$
induces an isomorphism
${\mathrm {H}}_c^{\bullet }(U(\gamma ),\overline {{\mathbb {Q}}_{\ell }}) \xrightarrow {\sim } {\mathrm {H}}_c^{\bullet }(U(p\cdot \gamma ),\overline {{\mathbb {Q}}_{\ell }})$
. This defines a natural
$J({\mathbb {Q}}_p)\times W$
-action on the terms
$E_1^{a,b}$
, with respect to which the spectral sequence is equivariant. In order to analyze the spectral sequence (
E
), we begin by relating the cohomology of a tube
$U_{\Lambda }$
to the cohomology of the corresponding closed Bruhat-Tits stratum
${\mathcal {M}}_{\Lambda }$
. Note that by restriction,
${\mathrm {H}}_c^{\bullet }(U_{\Lambda },\overline {{\mathbb {Q}}_{\ell }})$
is naturally a representation of the subgroup
$(J_{\Lambda }\times I)\varphi ^{\mathbb Z} \subset J({\mathbb {Q}}_p)\times W$
.
Proposition 4.2. Let
$\Lambda \in \mathcal L$
and let
$0\leq b \leq 2(n-1)$
. There is a
$(J_{\Lambda }\times I)\varphi ^{\mathbb Z}$
-equivariant isomorphism
where, on the left-hand side, the inertia I acts trivially and
$\varphi $
acts like the geometric Frobenius
$\mathrm {Frob}$
.
In particular, the inertia acts trivially on the cohomology of
$U_{\Lambda }$
.
Proof. The closed subvariety
${\mathcal {M}}_{\Lambda } \subset {\mathcal {M}}_{\mathrm {red}}$
is bounded in the sense of [Reference Rapoport and Zink28] Paragraph 2.30. Indeed, it is irreducible and all irreducible components of
${\mathcal {M}}_{\mathrm {red}}$
are bounded by the proof of loc. cit. Proposition 2.32. Thus, there exists a quasi-compact open formal subscheme
$\mathcal U$
of
$\mathcal M$
containing
${\mathcal {M}}_{\Lambda }$
(these are denoted by
$U^f$
and are introduced in the proof of Theorem 2.16 in loc. cit.). The formal scheme
$\mathcal U$
is of finite type, in particular the structure morphism
$\mathcal U \to \mathrm {Spf}(\mathbb Z_{p^2})$
is adic. Since
$\mathcal M$
is formally smooth,
$\mathcal U$
is actually a smooth formal scheme. Replacing
$\mathcal U$
by
$J_{\Lambda } \cdot \mathcal U$
, we may assume that
$\mathcal U$
is stable under the action of
$J_{\Lambda }$
.
Let
$\mathrm R\Psi _{\eta }\overline {{\mathbb {Q}}_{\ell }}$
denote Berkovich’s nearby cycles on
$\mathcal U_{\mathrm {red}}$
as defined in [Reference Berkovich2]. Since
$\mathcal U$
is smooth, by Corollary 5.4 of loc. cit. we actually have
$\mathrm R\Psi _{\eta }\overline {{\mathbb {Q}}_{\ell }} \simeq \overline {{\mathbb {Q}}_{\ell }}$
. Besides, let
$\mathrm R\widetilde {\lambda }_*\overline {{\mathbb {Q}}_{\ell }}$
denote Huber’s nearby cycles as defined in [Reference Huber17] Paragraph 3.12, where
$\widetilde {\lambda }: \widetilde d(\mathcal U) \to \mathcal U$
is the natural reduction map attached to the adic space
$\widetilde d(\mathcal U)$
associated to the formal scheme
$\mathcal U$
. Since the etale sites of
$\mathcal U$
and of
$\mathcal U_{\mathrm {red}}$
are naturally identified, we can think of
$\mathrm R\widetilde {\lambda }_*\overline {{\mathbb {Q}}_{\ell }}$
as an object of the derived category of
$\ell $
-adic sheaves on
$\mathcal U_{\mathrm {red}}$
. According to [Reference Fargues14] Section 5.4.2, both notions of nearby cycles coincide, i.e.
In particular, the inertia acts trivially on the nearby cycles. Let
$\mathcal U_{|{\mathcal {M}}_{\Lambda }}^{\wedge }$
denote the formal completion of
$\mathcal U$
along
${\mathcal {M}}_{\Lambda }$
. Since
$\mathcal U$
is open in
$\mathcal M$
, it coincides with the formal completion of
$\mathcal M$
along
${\mathcal {M}}_{\Lambda }$
. Thus, we have
$(\mathcal U_{|{\mathcal {M}}_{\Lambda }}^{\wedge })^{\mathrm {an}} = U_{\Lambda }$
. Moreover,
$\widetilde d(\mathcal U_{|{\mathcal {M}}_{\Lambda }}^{\wedge }) = U_{\Lambda }^{\mathrm {rig}}$
according to [Reference Fargues14] Appendice D, where
$(\,\cdot \,)^{\mathrm {rig}}$
is the natural functor from the category of Hausdorff analytic spaces to the category of quasiseparated adic spaces. Therefore, by [Reference Huber18] Theorem 8.3.5.iii) we have an isomorphism
${\mathrm {H}}^b(U_{\Lambda },\overline {{\mathbb {Q}}_{\ell }}) \simeq {\mathrm {H}}^b(\widetilde d(\mathcal U_{|{\mathcal {M}}_{\Lambda }}^{\wedge }) \otimes {\mathbb {C}}_p,\overline {{\mathbb {Q}}_{\ell }})$
. Moreover, by [Reference Huber17] Proposition 3.15 applied to the smooth formal scheme
$\mathcal U$
, we have
The isomorphisms are compatible with the actions of
$J_{\Lambda }$
and of the Frobenius.
Corollary 4.3. Let
$\Lambda \in \mathcal L$
and let
$0 \leq b \leq 2(n-1)$
. There is a
$(J_{\Lambda }\times I)\varphi ^{\mathbb Z}$
-equivariant isomorphism
where
$t(\Lambda ) = 2\theta + 1$
.
Proof. This is a consequence of algebraic and analytic Poincaré duality, respectively for
$U_{\Lambda }$
and for
${\mathcal {M}}_{\Lambda }$
. Indeed, we have
$$ \begin{align*} {\mathrm{H}}^{b}_{c}(U_{\Lambda},\overline{\mathbb{Q}_{\ell}}) & \simeq \mathrm{H}^{2(n-1) - b}(U_{\Lambda},\overline{\mathbb{Q}_{\ell}})^{\vee}(n-1)\\ & \simeq \mathrm{H}^{2(n-1) - b}(\mathcal{M}_{\Lambda}\otimes\mathbb{F},\overline{\mathbb{Q}_{\ell}})^{\vee}(n-1) \\ & \simeq \mathrm{H}^{b - 2(n-1-\theta)}(\mathcal{M}_{\Lambda}\otimes\mathbb{F},\overline{\mathbb{Q}_{\ell}})(n-1-\theta). \end{align*} $$
Let
$\Lambda \in \mathcal L$
and write
$t(\Lambda ) = 2\theta + 1$
. If
$\lambda $
is a partition of
$2\theta + 1$
, recall the unipotent irreducible representation
$\rho _{\lambda }$
of
$\mathrm {GU}(V_{\Lambda }^{0}) \simeq \mathrm {GU}_{2\theta +1}(\mathbb F_p)$
that we introduced in Section 2. It can be inflated to the maximal reductive quotient
${\mathcal {J}}_{\Lambda } \simeq \mathrm {G}(\mathrm {U}(V^0_{\Lambda })\times \mathrm {U}(V^1_{\Lambda }))$
, and then to the maximal parahoric subgroup
$J_{\Lambda }$
. With an abuse of notation, we still denote this inflated representation by
$\rho _{\lambda }$
. In virtue of Theorem 2.5, the isomorphism in the last paragraph translates into the following result.
Proposition 4.4. Let
$\Lambda \in \mathcal L$
and write
$t(\Lambda ) = 2\theta + 1$
. The following statements hold.
-
(1) The cohomology group
${\mathrm {H}}_c^b(U_{\Lambda },\overline {{\mathbb {Q}}_{\ell }})$
is zero unless
$2(n-1-\theta ) \leq b \leq 2(n-1)$
. -
(2) The action of
$J_{\Lambda }$
on the cohomology factors through an action of the finite group of Lie type
$\mathrm {GU}(V^{0}_{\Lambda })$
. The rational Frobenius
$\varphi $
acts like multiplication by
$(-p)^{b}$
on
${\mathrm {H}}_c^b(U_{\Lambda },\overline {{\mathbb {Q}}_{\ell }})$
. -
(3) For
$0\leq b \leq \theta $
we have
$$ \begin{align*}{\mathrm{H}}_c^{2b + 2(n-1-\theta)}(U_{\Lambda},\overline{{\mathbb{Q}}_{\ell}}) = \bigoplus_{s=0}^{\min(b,\theta - b)} \rho_{(2\theta + 1 - 2s, 2s)}.\end{align*} $$
For
$0\leq b \leq \theta - 1$
we have
$$ \begin{align*}{\mathrm{H}}_c^{2b+1 + 2(n-1-\theta)}(U_{\Lambda},\overline{{\mathbb{Q}}_{\ell}}) = \bigoplus_{s=0}^{\min(b,\theta - 1 - b)} \rho_{(2\delta - 2s, 2s + 1)}.\end{align*} $$
The description of the rational Frobenius action yields the following corollary.
Corollary 4.5. The spectral sequence degenerates on the second page
$E_2$
. For
$0 \leq b \leq 2(n-1)$
, the induced filtration on
${\mathrm {H}}_c^b({\mathcal {M}}^{\mathrm {an}},\overline {{\mathbb {Q}}_{\ell }})$
splits, i.e. we have an isomorphism
$$ \begin{align*}{\mathrm{H}}_c^b({\mathcal{M}}^{\mathrm{an}},\overline{{\mathbb{Q}}_{\ell}}) \simeq \bigoplus_{b \leq b' \leq 2(n-1)} E_2^{b-b',b'}.\end{align*} $$
The action of W on
${\mathrm {H}}_c^b({\mathcal {M}}^{\mathrm {an}},\overline {{\mathbb {Q}}_{\ell }})$
is trivial on the inertia subgroup and the action of the rational Frobenius element
$\varphi $
is semisimple. The subspace
$E_2^{b-b',b'}$
is identified with the eigenspace of
$\varphi $
associated to the eigenvalue
$(-p)^{b'}$
.
We stress that in the previous statement, the terms
$E_2^{b-b',b'}$
may be zero.
Proof. The
$(a,b)$
-term in the first page of the spectral sequence is the direct sum of the cohomology groups
$H^{b}_c(U(\gamma ),\overline {{\mathbb {Q}}_{\ell }})$
for all
$\gamma \in I_{-a+1}$
. On each of these cohomology groups, the rational Frobenius
$\varphi $
acts via multiplication by
$(-p)^b$
. This action is, in particular, independant of
$\gamma $
and of a. Thus, on the b-th row of the first page of the sequence, the Frobenius acts everywhere as multiplication by
$(-p)^b$
. Starting from the second page, the differentials in the sequence connect two terms lying in different rows. Since the differentials are equivariant for the
$\varphi $
-action, they must all be zero. Thus, the sequence degenerates on the second page. By the machinery of spectral sequences, there is a filtration on
${\mathrm {H}}_c^b({\mathcal {M}}^{\mathrm {an}},\overline {{\mathbb {Q}}_{\ell }})$
whose graded factors are given by the terms
$E_2^{b-b',b'}$
of the second page. Only a finite number of these terms are non-zero, and since they all lie on different rows, the Frobenius
$\varphi $
acts via multiplication by a different scalar on each graded factor of the filtration. It follows that the filtration splits, i.e. the abutment is the direct sum of the graded pieces of the filtration, as they correspond to the eigenspaces of
$\varphi $
. Consequently, its action is semisimple.
The spectral sequence
$E_1^{a,b}$
has non-zero terms extending indefinitely in the range
$a\leq 0$
. For instance, if
$\Lambda \in \mathcal L^{(\theta _{\mathrm {max}})}$
then
$(\Lambda ,\ldots ,\Lambda ) \in I_{-a+1}$
so that
$E_1^{a,b} \not = 0$
for all
$a\leq 0$
and
$2(n-1-\theta _{\mathrm {max}})\leq b \leq 2(n-1)$
. To rectify this, we introduce the alternating Čech spectral sequence. If
$v \in E_1^{a,b}$
and
$\gamma \in I_{-a+1}$
, we denote by
$v_{\gamma } \in {\mathrm {H}}_c^{b}(U(\gamma ),\overline {{\mathbb {Q}}_{\ell }})$
the component of v in the summand of
$E_1^{a,b}$
indexed by
$\gamma $
. Besides, if
$\gamma = (\Lambda ^1,\ldots ,\Lambda ^{-a+1}) \in I_{-a+1}$
and if
$\sigma \in \mathfrak S_{-a+1}$
then we write
$\sigma (\gamma ) := (\Lambda ^{\sigma (1)},\ldots ,\Lambda ^{\sigma (-a+1)}) \in I_{-a+1}$
. For all
$a,b$
we define
In particular, if
$\gamma = (\Lambda ^1,\ldots ,\Lambda ^{-a+1})$
with
$\Lambda ^{j} = \Lambda ^{j'}$
for some
$j\not = j'$
then
$v \in E_{1,\mathrm {alt}}^{a,b} \implies v_{\gamma } = 0$
. The subspace
$E_{1,\mathrm {alt}}^{a,b} \subset E_1^{a,b}$
is stable under the action of
$J({\mathbb {Q}}_p)\times W$
, and the differential
$\varphi ^{a,b}:E_1^{a,b} \to E_1^{a+1,b}$
sends
$E_{1,\mathrm {alt}}^{a,b}$
to
$E_{1,\mathrm {alt}}^{a+1,b}$
. Thus, for all b we have a chain complex
$E_{1,\mathrm {alt}}^{\bullet ,b}$
and the following proposition is well-known, see, e.g. [31] Lemma 01FM.
Proposition 4.6. The inclusion map
$E_{1,\mathrm {alt}}^{\bullet ,b} \hookrightarrow E_{1}^{\bullet ,b}$
is a homotopy equivalence. In particular we have canonical isomorphisms
$E_{2,\mathrm {alt}}^{a,b} \simeq E_2^{a,b}$
for all
$a,b$
.
The advantage of the alternating Čech spectral sequence is that it is concentrated in a finite strip. Indeed, if
$\gamma = (\Lambda ^1,\ldots ,\Lambda ^{-a+1}) \in I_{-a+1}$
, let
$i \in \mathbb Z$
such that
$\Lambda (\gamma ) \in {\mathcal {L}}_i$
. Then all the
$\Lambda ^j$
’s belong to the set of lattices in
$\mathcal L^{(\theta _{\mathrm {max}})}_i$
containing
$\Lambda (\gamma )$
. This set is finite of cardinality
$\nu (n-\theta -\theta _{\mathrm {max}}-1,n-2\theta -1)$
where
$t(\Lambda (\gamma )) = 2\theta +1$
according to Proposition 1.16. Thus, if
$-a+1$
is big enough then all the
$\gamma $
’s in
$I_{-a+1}$
will have some repetition, so that
$E_{1,\mathrm {alt}}^{a,b} = 0$
.
Remark 4.7. The Lemma 01FM of [31] is stated in the context of Čech cohomology of an abelian presheaf
$\mathcal F$
on a topological space X. However, the proof may be adapted to Čech homology of precosheaves such as
$U \mapsto {\mathrm {H}}_c^b(U,\overline {{\mathbb {Q}}_{\ell }})$
.
For
$a = 0$
, we have
$E_{1,\mathrm {alt}}^{0,b} = E_1^{0,b}$
by definition. Let us consider the cases
$b = 2(n-1-\theta _{\mathrm {max}})$
and
$b = 2(n-1-\theta _{\mathrm {max}})+1$
. For such b, it follows from 4.4 that
${\mathrm {H}}_c^b(U_{\Lambda },\overline {{\mathbb {Q}}_{\ell }}) = 0$
if
$t(\Lambda ) < t_{\mathrm {max}}$
. If
$a \leq -1$
, we have
$-a+1 \geq 2$
so that for all
$\gamma = (\Lambda ^1,\ldots ,\Lambda ^{-a+1}) \in I_{-a+1}$
, if there exists
$j \not = j'$
such that
$\Lambda ^{j} \not = \Lambda ^{j'}$
, then
$t(\Lambda (\gamma )) < t_{\mathrm {max}}$
so that
${\mathrm {H}}_c^b(U(\gamma ),\overline {{\mathbb {Q}}_{\ell }})=0$
. It follows that
$E_{1,\mathrm {alt}}^{a,b} = 0$
for all
$a\leq -1$
and b as above. This observation, along with the previous paragraph, yields the following proposition.
Proposition 4.8. We have
$E_2^{0,2(n-1-\theta _{\mathrm {max}})} \simeq E_1^{0,2(n-1-\theta _{\mathrm {max}})}$
. If moreover
$\theta _{\mathrm {max}}\geq 1$
(i.e.
$n\geq 3$
), then we have
$E_2^{0,2(n-1-\theta _{\mathrm {max}})+1} \simeq E_1^{0,2(n-1-\theta _{\mathrm {max}})+1}$
as well.
In order to study the action of
$J({\mathbb {Q}}_p)$
, we may rewrite
$E_1^{a,b}$
conveniently in terms of compactly induced representations. To do this, let us introduce a few more notations. For
$0\leq \theta \leq \theta _{\mathrm {max}}$
and
$s\geq 1$
, we define
The subset
$I_s^{(\theta )}\subset I_s$
is stable under the action of
$J({\mathbb {Q}}_p)$
. We denote by
$N(\Lambda _{\theta })$
the set of lattices
$\Lambda \in {\mathcal {L}}_0$
of maximal orbit type containing
$\Lambda _{\theta }$
. For
$s\geq 1$
we define
Then
$K_s^{(\theta )}$
is a finite subset of
$I_s^{(\theta )}$
and it is stable under the action of
$J_{\theta }$
. If
$\gamma \in I_s^{(\theta )}$
, there exists some
$g\in J({\mathbb {Q}}_p)$
such that
$g \cdot \Lambda (\gamma ) = \Lambda _{\theta }$
since both lattices share the same orbit type. Moreover, the coset
$J_{\theta }\cdot g$
is uniquely determined, and
$g\cdot \gamma $
is an element of
$K_s^{(\theta )}$
. This mapping results in a natural bijection between the orbit sets
The bijection sends the orbit
$J\cdot \alpha $
to the orbit
$J_{\theta } \cdot (g\cdot \alpha )$
where g is chosen as above. The inverse sends an orbit
$J_{\theta }\cdot \beta $
to
$J\cdot \beta $
. We note that both orbit sets are finite. We may now rearrange the terms in the spectral sequence.
Proposition 4.9. We have an isomorphism
$$ \begin{align*} E_1^{a,b} & \simeq \bigoplus_{\theta = 0}^{\theta_{\mathrm{max}}} \bigoplus_{[\delta]\in J_{\theta}\backslash K_{-a+1}^{(\theta)}} {\mathrm{c-Ind}}_{\mathrm{Fix}(\delta)}^J\,{\mathrm{H}}_c^b(U_{\Lambda_{\theta}},\overline{{\mathbb{Q}}_{\ell}})_{|\mathrm{Fix}(\delta)}\\ & \simeq \bigoplus_{\theta = 0}^{\theta_{\mathrm{max}}} {\mathrm{c-Ind}}_{J_{\theta}}^J \, \left( {\mathrm{H}}_c^b(U_{\Lambda_{\theta}},\overline{{\mathbb{Q}}_{\ell}}) \otimes \overline{{\mathbb{Q}}_{\ell}}[K_{-a+1}^{(\theta)}]\right), \end{align*} $$
where
$\overline {{\mathbb {Q}}_{\ell }}[K_{-a+1}^{(\theta )}]$
is the permutation representation associated to the action of
$J_{\theta }$
on the finite set
$K_{-a+1}^{(\theta )}$
.
Remark 4.10. For
$\delta \in K_s^{(\theta )}$
, the group
$\mathrm {Fix}(\delta )$
consists of the elements
$g\in J({\mathbb {Q}}_p)$
such that
$g\cdot \delta = \delta $
. Any such g satisfies
$g\Lambda (\delta ) = \Lambda (\delta )$
, and since
$\Lambda (\delta ) = \Lambda _{\theta }$
we have
$\mathrm {Fix}(\delta ) \subset J_{\theta }$
. If
$\delta = (\Lambda ^1,\ldots ,\Lambda ^s)$
then
$\mathrm {Fix}(\delta )$
is the intersection of the maximal parahoric subgroups
$J_{\Lambda ^1},\ldots ,J_{\Lambda ^s}$
. We note that in general,
$\mathrm {Fix}(\delta )$
is itself not a parahoric subgroup of
$J({\mathbb {Q}}_p)$
since the lattices
$\Lambda ^1,\ldots ,\Lambda ^s$
need not form a simplex in
$\mathcal L$
, as they all share the same orbit type. If however
$\Lambda ^1 = \ldots = \Lambda ^s$
then
$\mathrm {Fix}(\delta ) = J_{\Lambda ^1}$
is a conjugate of the maximal parahoric subgroup
$J_{\theta _{\mathrm {max}}}$
.
Proof. First, by decomposing
$I_{-a+1}$
as the disjoint union of the
$I_{-a+1}^{(\theta )}$
for
$0\leq \theta \leq \theta _{\mathrm {max}}$
, we may write
$$ \begin{align*}E_1^{a,b} = \bigoplus_{\theta = 0}^{\theta_{\mathrm{max}}} \, \bigoplus_{\gamma\in I_{-a+1}^{(\theta)}} {\mathrm{H}}^b_c(U(\gamma),\overline{{\mathbb{Q}}_{\ell}}).\end{align*} $$
For each orbit
$X\in J \backslash I_{-a+1}^{(\theta )}$
, we fix a representative
$\delta _X$
which lies in
$K_{-a+1}^{(\theta )}$
. We may write
$$ \begin{align*}E_1^{a,b} = \bigoplus_{\theta = 0}^{\theta_{\mathrm{max}}} \, \bigoplus_{X\in J\backslash I_{-a+1}^{(\theta)}} \, \bigoplus_{\gamma\in X} {\mathrm{H}}^b_c(U(\gamma),\overline{{\mathbb{Q}}_{\ell}}) = \bigoplus_{\theta = 0}^{\theta_{\mathrm{max}}} \, \bigoplus_{X\in J\backslash I_{-a+1}^{(\theta)}} \, \bigoplus_{g\in J/\mathrm{Fix}(\delta_X)} g\cdot {\mathrm{H}}^b_c(U(\delta_X),\overline{{\mathbb{Q}}_{\ell}}).\end{align*} $$
The rightmost sum can be identified with a compact induction from
$\mathrm {Fix}(\delta _X)$
to
$J({\mathbb {Q}}_p)$
. Identifying the orbit sets
$J \backslash I_{-a+1}^{(\theta )} \xrightarrow {\sim } J_{\theta } \backslash K_{-a+1}^{(\theta )}$
, we have
$$ \begin{align*}E_1^{a,b} \simeq \bigoplus_{\theta = 0}^{\theta_{\mathrm{max}}} \bigoplus_{[\delta]\in J_{\theta}\backslash K_{-a+1}^{(\theta)}} {\mathrm{c-Ind}}_{\mathrm{Fix}(\delta)}^J\,{\mathrm{H}}_c^b(U_{\Lambda_{\theta}},\overline{{\mathbb{Q}}_{\ell}})_{|\mathrm{Fix}(\delta)}.\end{align*} $$
By transitivity of compact induction, we have
Since
$H_c^b(U_{\Lambda _{\theta }},\overline {{\mathbb {Q}}_{\ell }})_{|\mathrm {Fix}(\delta )}$
is the restriction of a representation of
$J_{\theta }$
to
$\mathrm {Fix}(\delta )$
, applying compact induction from
$\mathrm {Fix}(\delta )$
to
$J_{\theta }$
results in tensoring with the permutation representation of
$J_{\theta }/\mathrm {Fix}(\delta )$
. Thus
$$ \begin{align*} E_1^{a,b} & \simeq \bigoplus_{\theta = 0}^{\theta_{\mathrm{max}}} \bigoplus_{[\delta]\in J_{\theta}\backslash K_{-a+1}^{(\theta)}} {\mathrm{c-Ind}}_{J_{\theta}}^J \, \left( {\mathrm{H}}_c^b(U_{\Lambda_{\theta}},\overline{{\mathbb{Q}}_{\ell}}) \otimes \overline{{\mathbb{Q}}_{\ell}}[J_{\theta}/\mathrm{Fix}(\delta)]\right)\\ & \simeq \bigoplus_{\theta = 0}^{\theta_{\mathrm{max}}} {\mathrm{c-Ind}}_{J_{\theta}}^J \, \left( {\mathrm{H}}_c^b(U_{\Lambda_{\theta}},\overline{{\mathbb{Q}}_{\ell}}) \otimes \bigoplus_{[\delta]\in J_{\theta}\backslash K_{-a+1}^{(\theta)}} \overline{{\mathbb{Q}}_{\ell}}[J_{\theta}/\mathrm{Fix}(\delta)]\right), \end{align*} $$
where on the second line we used additivity of compact induction. Now,
$J_{\theta }/\mathrm {Fix}(\delta )$
is identified with the
$J_{\theta }$
-orbit
$J_{\theta }\cdot \delta $
of
$\delta $
in
$K_{-a+1}^{(\theta )}$
, so that
$$ \begin{align*}\bigoplus_{[\delta]\in J_{\theta}\backslash K_{-a+1}^{(\theta)}} \overline{{\mathbb{Q}}_{\ell}}[J_{\theta}/\mathrm{Fix}(\delta)] \simeq \overline{{\mathbb{Q}}_{\ell}}[ \bigsqcup_{[\delta]\in J_{\theta}\backslash K_{-a+1}^{(\theta)}} J_{\theta}\cdot\delta] \simeq \overline{{\mathbb{Q}}_{\ell}}[K_{-a+1}^{(\theta)}],\end{align*} $$
which concludes the proof.
By Proposition 1.9, we may identify
$N(\Lambda _{\theta })$
with the set
$N(n-\theta -\theta _{\mathrm {max}}-1,V_{\theta }^1)$
as defined in Section 1.4. Thus, for
$s\geq 1$
,
$K_s^{(\theta )}$
is naturally identified with
$$ \begin{align*}\overline{K}_s^{(\theta)} \simeq \left\{\overline{\delta} = (U^1,\ldots,U^s) \,\middle |\, \forall 1\leq j \leq s, U^j \in N(n-\theta-\theta_{\mathrm{max}}-1,V_{\theta}^1) \text{ and } \sum_{j=1}^s U^j = V_{\theta}^1 \right\}.\end{align*} $$
The action of
$J_{\theta }$
on
$K_s^{(\theta )}$
corresponds to the natural action of
$\mathrm {GU}(V_{\theta }^1)$
on
$\overline {K}_s^{(\theta )}$
, which factors through an action of the finite projective unitary group
$\mathrm {PU}(V_{\theta }^1) := \mathrm U(V_{\theta }^1)/\mathrm Z(\mathrm U(V_{\theta }^1)) \simeq \mathrm {GU}(V_{\theta }^1)/\mathrm Z(\mathrm {GU}(V_{\theta }^1))$
. Thus, the representation
$\overline {{\mathbb {Q}}_{\ell }}[K_{-a+1}^{(\theta )}]$
is the inflation to
$J_{\theta }$
of the representation
$\overline {{\mathbb {Q}}_{\ell }}[\overline {K}_{-a+1}^{(\theta )}]$
of the finite projective unitary group
$\mathrm {PU}(V_{\theta }^1)$
. When
$\theta = \theta _{\mathrm {max}}$
or when
$s=1$
, we trivially have the following proposition.
Proposition 4.11. For
$s\geq 1$
, we have
$\overline {{\mathbb {Q}}_{\ell }}[K_s^{(\theta _{\mathrm {max}})}] = \mathbf 1$
. For
$0\leq \theta \leq \theta _{\mathrm {max}}-1$
, we have
$\overline {{\mathbb {Q}}_{\ell }}[K_1^{(\theta )}] = 0$
.
Proof. If
$\delta = (\Lambda ^1,\ldots ,\Lambda ^s) \in K_s^{(\theta _{\mathrm {max}})}$
then
$\Lambda (\delta ) = \Lambda _{\theta _{\mathrm {max}}}$
has maximal orbit type
$t_{\mathrm {max}} = 2\theta _{\mathrm {max}}+1$
. For any
$1\leq j \leq s$
we have
$\Lambda _{\theta _{\mathrm {max}}} \subset \Lambda ^j$
, therefore
$\Lambda ^1 = \ldots = \Lambda ^s = \Lambda _{\theta _{\mathrm {max}}}$
. Thus
$K_s^{(\theta _{\mathrm {max}})}$
is a singleton and so
$\overline {{\mathbb {Q}}_{\ell }}[K_s^{(\theta _{\mathrm {max}})}]$
is trivial. Besides, if
$\theta < \theta _{\mathrm {max}}$
then
$K_1^{(\theta )}$
is clearly empty.
Recall Proposition 4.8. We obtain the following corollary.
Corollary 4.12. We have
In particular, we have
$$ \begin{align*}E_2^{0,b} \simeq \begin{cases} {\mathrm{c-Ind}}_{J_{\theta_{\mathrm{max}}}}^J \, \rho_{(2\theta_{\mathrm{max}}+1)} & \text{if } b = 2(n-1-\theta_{\mathrm{max}}),\\ {\mathrm{c-Ind}}_{J_{\theta_{\mathrm{max}}}}^J \, \rho_{(2\theta_{\mathrm{max}},1)} & \text{if } m\geq 1 \text{ and } b = 2(n-1-\theta_{\mathrm{max}})+1. \end{cases}\end{align*} $$
Remark 4.13. The representation
$\rho _{(2\theta _{\mathrm {max}}+1)} = \mathbf 1$
is the trivial representation of
$J_{\theta _{\mathrm {max}}}$
.
Let us now consider the top row of the spectral sequence, corresponding to
$b=2(n-1)$
. For
$\Lambda ' \subset \Lambda $
, recall the map
$f_{\Lambda ',\Lambda }^{2(n-1)} : {\mathrm {H}}_c^{2(n-1)}(U_{\Lambda '},\overline {{\mathbb {Q}}_{\ell }}) \to {\mathrm {H}}_c^{2(n-1)}(U_{\Lambda },\overline {{\mathbb {Q}}_{\ell }})$
. By Poincaré duality, it is the dual map of the restriction morphism
${\mathrm {H}}^{0}(U_{\Lambda },\overline {{\mathbb {Q}}_{\ell }}) \to {\mathrm {H}}^{0}(U_{\Lambda '},\overline {{\mathbb {Q}}_{\ell }})$
. Both spaces are one-dimensional by Proposition 4.2, and the restriction morphism is the identity. Thus,
$E_1^{a,2(n-1)}$
is the
$\overline {{\mathbb {Q}}_{\ell }}$
-vector space generated by
$I_{-a+1}$
, and the differential
$\varphi ^{a,2(n-1)}$
is given by
$$ \begin{align*} \gamma \in I_{-a+1} \mapsto \sum_{j=1}^{-a+1}(-1)^{j+1}\gamma_j. \end{align*} $$
Using this description, we may compute the highest cohomology group
${\mathrm {H}}_c^{2(n-1)}({\mathcal {M}}^{\mathrm {an}},\overline {{\mathbb {Q}}_{\ell }})$
explicitly.
Proposition 4.14. There is an isomorphism
and the rational Frobenius
$\varphi $
acts via multiplication by
$p^{2(n-1)}$
.
Proof. The statement on the Frobenius action is already known by Corollary 4.5. Besides, we have
${\mathrm {H}}_c^{2(n-1)}({\mathcal {M}}^{\mathrm {an}},\overline {{\mathbb {Q}}_{\ell }}) \simeq E_2^{0,2(n-1)} = \mathrm {Coker}(\varphi ^{-1,2(n-1)})$
. The differential
$\varphi ^{-1,2(n-1)}$
is described by
$$ \begin{align*} (\Lambda,\Lambda) & \mapsto 0, & & \forall \Lambda \in \mathcal L^{(\theta_{\mathrm{max}})},\\ (\Lambda,\Lambda') & \mapsto (\Lambda') - (\Lambda), & & \forall \Lambda,\Lambda' \in \mathcal L^{(\theta_{\mathrm{max}})} \text{ such that } U_{\Lambda} \cap U_{\Lambda'} \not = \emptyset. \end{align*} $$
Let
$i \in \mathbb Z$
such that
$ni$
is even, and let
$\Lambda ,\Lambda ' \in {\mathcal {L}}_i^{(\theta _{\mathrm {max}})}$
. Since the Bruhat-Tits building
$\mathrm {BT}(\widetilde {J},{\mathbb {Q}}_p) \simeq {\mathcal {L}}_i$
is connected, there exists a sequence
$\Lambda = \Lambda ^0,\ldots ,\Lambda ^{d} = \Lambda '$
of lattices in
${\mathcal {L}}_i$
such that for all
$0\leq j \leq d-1$
,
$\{\Lambda ^j,\Lambda ^{j+1}\}$
is an edge in
${\mathcal {L}}_i$
. Assume that
$d\geq 0$
is minimal satisfying this property. Since
$t(\Lambda ) = t(\Lambda ') = t_{\mathrm {max}}$
, the integer d is even and we may assume that
$t(\Lambda ^j)$
is equal to
$t_{\mathrm {max}}$
when j is even, and equal to
$1$
when j is odd. In particular, for all
$0 \leq j \leq \frac {d}{2}-1$
we have
$\Lambda ^{2j},\Lambda ^{2j+2} \in {\mathcal {L}}_i^{(\theta _{\mathrm {max}})}$
and
$U_{\Lambda ^{2j}}\cap U_{\Lambda ^{2j+2}} \not = \emptyset $
. Consider the vector
$$ \begin{align*}w := \sum_{j=0}^{\frac{d}{2}-1} (\Lambda^{2j},\Lambda^{2j+2}) \in E_1^{-1,2(n-1)}.\end{align*} $$
Then we compute
$\varphi ^{-1,2(n-1)}(w) = (\Lambda ') - (\Lambda )$
. It follows that for all
$\Lambda ,\Lambda ' \in {\mathcal {L}}_i$
, we have
$(\Lambda ) \cong (\Lambda ')$
in
$\mathrm {Coker}(\varphi ^{-1,2(n-1)})$
. Thus,
$\mathrm {Coker}(\varphi _1^{2(n-1)})$
consists of one copy of
$\overline {{\mathbb {Q}}_{\ell }}$
for each
$i\in \mathbb Z$
such that
$ni$
is even. Considering the action of
$J({\mathbb {Q}}_p)$
as well, it readily follows that
$\mathrm {Coker}(\varphi ^{-1,2(n-1)}) \simeq {\mathrm {c-Ind}}_{J^{\circ }}^J\,\mathbf 1$
.
Remark 4.15. The cohomology group
${\mathrm {H}}_c^{2(n-1)}({\mathcal {M}}^{\mathrm {an}},\overline {{\mathbb {Q}}_{\ell }})$
can also be computed in another way which does not require the spectral sequence. Indeed, we have an isomorphism
By definition, we have
where U runs over the relatively compact open subspaces of
${\mathcal {M}}^{\mathrm {an}}_0$
. Since U is smooth, Poincaré duality gives
Using the connectedness of the Bruhat-Tits building
$\mathrm {BT}(\widetilde {J},{\mathbb {Q}}_p) \simeq {\mathcal {L}}_0$
, one may prove that
${\mathcal {M}}_0^{\mathrm {an}}$
is connected. Thus we can ensure that all the U’s involved in the limit are connected as well. Therefore
${\mathrm {H}}^0(U\widehat {\otimes } \, {\mathbb {C}}_p,\overline {{\mathbb {Q}}_{\ell }}) \simeq \overline {{\mathbb {Q}}_{\ell }}$
, and all the transition maps in the direct limit are identity. It follows that
${\mathrm {H}}_c^{2(n-1)}({\mathcal {M}}^{\mathrm {an}}_0,\overline {{\mathbb {Q}}_{\ell }})$
is trivial.
4.2 Compactly induced representations and type theory
Let
$\mathrm {Rep}(J({\mathbb {Q}}_p))$
denote the category of smooth
$\overline {{\mathbb {Q}}_{\ell }}$
-representations of
$J({\mathbb {Q}}_p)$
. Let
$\chi $
be a continuous character of the centre
$\mathrm Z(J({\mathbb {Q}}_p)) \simeq {\mathbb {Q}}_{p^2}^{\times }$
and let
$V\in \mathrm {Rep}(J({\mathbb {Q}}_p))$
. We define the maximal quotient of V on which the centre acts like
$\chi $
as follows. Let us consider the set
The set
$\Omega $
is stable under arbitrary intersection, so that
$W_{\circ } := \bigcap _{W\in \Omega } W \in \Omega $
. The maximal quotient is defined by
It satisfies the following universal property.
Proposition 4.16. Let
$\chi $
be a continuous character of
$\mathrm Z(J({\mathbb {Q}}_p))$
and let
$V,V' \in \mathrm {Rep}(J({\mathbb {Q}}_p))$
. Assume that
$\mathrm Z(J({\mathbb {Q}}_p))$
acts like
$\chi $
on
$V'$
. Then any morphism
$V\to V'$
factors through
$V_{\chi }$
.
Proof. Let
$f:V\to V'$
be a morphism of
$J({\mathbb {Q}}_p)$
-representations. Since
$V/\mathrm {Ker}(f) \simeq \mathrm {Im}(f) \subset V'$
, the centre
$\mathrm Z(J({\mathbb {Q}}_p))$
acts like
$\chi $
on the quotient
$V/\mathrm {Ker}(f)$
. Therefore
$\mathrm {Ker}(f) \in \Omega $
. It follows that
$\mathrm {Ker}(f)$
contains
$W_{\circ }$
and as a consequence, f factors through
$V_{\chi }$
.
The terms
$E_1^{a,b}$
of the spectral sequence (
E
) consist of representations of the form
where
$\rho $
is the inflation to
$J_{\theta }$
of a representation of the finite group of Lie type
${\mathcal {J}}_{\theta }$
. We note that such a compactly induced representation does not contain any smooth irreducible subrepresentation of
$J({\mathbb {Q}}_p)$
. Indeed, the centre
$\mathrm Z(J({\mathbb {Q}}_p)) \simeq {\mathbb {Q}}_{p^2}^{\times }$
does not fix any finite dimensional subspace. In order to rectify this, it is customary to fix a continuous character
$\chi $
of
$\mathrm {Z}(J({\mathbb {Q}}_p))$
which agrees with the central character of
$\rho $
on
$\mathrm Z(J({\mathbb {Q}}_p))\cap J_{\theta } \simeq \mathbb Z_{p^2}^{\times }$
, and to describe the space
$({\mathrm {c-Ind}}_{J_{\theta }}^J \,\rho )_{\chi }$
instead.
Lemma 4.17. We have
$({\mathrm {c-Ind}}_{J_{\theta }}^J \,\rho )_{\chi } \simeq {\mathrm {c-Ind}}_{\mathrm Z(J({\mathbb {Q}}_p))J_{\theta }}^J \,\chi \otimes \rho $
.
Proof. By Frobenius reciprocity, the identity map on
${\mathrm {c-Ind}}_{\mathrm Z(J({\mathbb {Q}}_p))J_{\theta }}^J \,\chi \otimes \rho $
gives a morphism
$\chi \otimes \rho \rightarrow \left ({\mathrm {c-Ind}}_{\mathrm Z(J({\mathbb {Q}}_p))J_{\theta }}^J \,\chi \otimes \rho \right )_{|\mathrm Z(J({\mathbb {Q}}_p))J_{\theta }}$
of
$\mathrm Z(J({\mathbb {Q}}_p))J_{\theta }$
-representations. Restricting further to
$J_{\theta }$
, we obtain a morphism
$\rho \rightarrow \left ({\mathrm {c-Ind}}_{\mathrm Z(J({\mathbb {Q}}_p))J_{\theta }}^J \,\chi \otimes \rho \right )_{|J_{\theta }}$
. This corresponds to a morphism
${\mathrm {c-Ind}}_{J_{\theta }}^J \,\rho \rightarrow {\mathrm {c-Ind}}_{\mathrm Z(J({\mathbb {Q}}_p))J_{\theta }}^J \,\chi \otimes \rho $
of
$J({\mathbb {Q}}_p)$
-representations by Frobenius reciprocity. Since
$\mathrm Z(J({\mathbb {Q}}_p))$
acts via the character
$\chi $
on the target space, this morphism factors through a map
$({\mathrm {c-Ind}}_{J_{\theta }}^J \,\rho )_{\chi } \rightarrow {\mathrm {c-Ind}}_{\mathrm Z(J({\mathbb {Q}}_p))J_{\theta }}^J \,\chi \otimes \rho $
. In order to prove that this is an isomorphism, we build its inverse. The quotient morphism
${\mathrm {c-Ind}}_{J_{\theta }}^J \,\rho \rightarrow ({\mathrm {c-Ind}}_{J_{\theta }}^J \,\rho )_{\chi }$
corresponds, via Frobenius reciprocity, to a morphism
$\rho \rightarrow ({\mathrm {c-Ind}}_{J_{\theta }}^J \,\rho )_{\chi \,|J_{\theta }}$
of
$J_{\theta }$
-representations. Because
$\mathrm Z(J({\mathbb {Q}}_p))$
acts via the character
$\chi $
on the target space, this arrow may be extended to a morphism
$\chi \otimes \rho \rightarrow ({\mathrm {c-Ind}}_{J_{\theta }}^J \,\rho )_{\chi \, |\mathrm Z(J({\mathbb {Q}}_p))J_{\theta }}$
of
$\mathrm Z(J({\mathbb {Q}}_p))J_{\theta }$
-representations. By Frobenius reciprocity, this corresponds to a morphism
${\mathrm {c-Ind}}_{\mathrm Z(J({\mathbb {Q}}_p))J_{\theta }}^J \,\chi \otimes \rho \rightarrow ({\mathrm {c-Ind}}_{J_{\theta }}^J \,\rho )_{\chi }$
, and this is our desired inverse.
We recall Theorem 2 (supp) from [Reference Bushnell8] describing certain compactly induced representations. In this paragraph only, let G be any p-adic group, and let L be an open subgroup of G which contains the centre
$\mathrm Z(G)$
and which is compact modulo
$\mathrm {Z}(G)$
.
Theorem 4.18. Let
$(\sigma ,V)$
be an irreducible smooth representation of L. There is a canonical decomposition
where
$V_0$
is the sum of all supercuspidal subrepresentations of
${\mathrm {c-Ind}}_{L}^{G} \, \sigma $
, and where
$V_{\infty }$
contains no non-zero admissible subrepresentation. Moreover,
$V_0$
is a finite sum of irreducible supercuspidal subrepresentations of G.
The spaces
$V_0$
or
$V_{\infty }$
could be zero. Note also that since G is p-adic, any irreducible representation is admissible. So in particular,
$V_{\infty }$
does not contain any irreducible subrepresentation. However, it may have many irreducible quotients and subquotients. Thus, the space
$V_{\infty }$
is in general not G-semisimple. Hence, the structure of the compactly induced representation
${\mathrm {c-Ind}}_{L}^{G} \, \sigma $
heavily depends on the supercuspidal supports of its irreducible subquotients.
We go back to our previous notations. Let
$0\leq \theta \leq \theta _{\mathrm {max}}$
, let
$\rho $
be a smooth irreducible representation of
$J_{\theta }$
and let
$\chi $
be a character of
$\mathrm {Z}(J({\mathbb {Q}}_p))$
agreeing with the central character of
$\rho $
on
$\mathrm {Z}(J({\mathbb {Q}}_p)) \cap J_{\theta }$
. Since the group
$\mathrm {Z}(J({\mathbb {Q}}_p))J_{\theta }$
contains the centre and is compact modulo the centre, we have a canonical decomposition
In order to describe the spaces
$V_{\rho ,\chi ,0}$
and
$V_{\rho ,\chi ,\infty }$
, we determine the supercuspidal supports of the irreducible subquotients of
${\mathrm {c-Ind}}_{J_{\theta }}^{J}\, \rho $
through type theory, with the assumption that
$\rho $
is inflated from
${\mathcal {J}}_{\theta }$
. For our purpose, it will be enough to analyze only the case
$\theta = \theta _{\mathrm {max}}$
. In this case,
$\dim V_{\theta _{\mathrm {max}}}^1$
is equal to
$0$
or
$1$
so that
$\mathrm {GU}(V^1_{\theta _{\mathrm {max}}}) = \{1\}$
or
$\mathbb F_{p^2}^{\times }$
has no proper parabolic subgroup. In particular, if
$\rho $
is a cuspidal representation of
$\mathrm {GU}(V^0_{\theta _{\mathrm {max}}})$
, then its inflation to the reductive quotient
is also cuspidal.
In the following paragraphs, we recall a few general facts from type theory. For more details, we refer to [Reference Bushnell and Kutzko10] and [Reference Morris24]. Let G be the group of F-rational points of a reductive connected group
$\mathbf G$
over a p-adic field F. A parabolic subgroup P (resp. Levi complement L) of G is defined as the group of F-rational points of an F-rational parabolic subgroup
$\mathbf P \subset \mathbf G$
(resp. an F-rational Levi complement
$\mathbf L \subset \mathbf G$
). Every parabolic subgroup P admits a Levi decomposition
$P = LU$
where U is the unipotent radical of P. We denote by
$X^{\mathrm {un}}(G)$
the set of unramified characters of G, i.e. the continuous characters of G which are trivial on
$G^{\circ } := \bigcap _{\psi } \mathrm {Ker} |\psi |_F$
where
$\psi $
runs over all the F-rational algebraic characters of G and
$|\,\cdot \,|_F$
is the normalized valuation on F. We consider pairs
$(L,\tau )$
where L is a Levi complement of G and
$\tau $
is a supercuspidal representation of L. Two pairs
$(L,\tau )$
and
$(L',\tau ')$
are said to be inertially equivalent if for some
$g\in G$
and
$\chi \in X^{\mathrm {un}}(G)$
we have
$L' = L^g$
and
$\tau ' \simeq \tau ^g \otimes \chi $
where
$\tau ^g$
is the representation of
$L^g$
defined by
$\tau ^g(l) := \tau (g^{-1}lg)$
. This is an equivalence relation, and we denote by
$[L,\tau ]_G$
or
$[L,\tau ]$
the inertial equivalence class of
$(L,\tau )$
in G. The set of all inertial equivalence classes is denoted
$\mathrm {IC}(G)$
. If P is a parabolic subgroup of G, we write
$\iota _P^G$
for the normalized parabolic induction functor. Any smooth irreducible representation
$\pi $
of G is isomorphic to a subquotient of some parabolically induced representation
$\iota _P^G(\tau )$
, where
$P = LU$
for some Levi complement L and
$\tau $
is a supercuspidal representation of L. We denote by
$\ell (\pi ) \in \mathrm {IC}(G)$
the inertial equivalence class
$[L,\tau ]$
. This is uniquely determined by
$\pi $
and it is called the inertial support of
$\pi $
.
Let
$\mathfrak s \in \mathrm {IC}(G)$
. We denote by
$\mathrm {Rep}^{\mathfrak s}(G)$
the full subcategory of
$\mathrm {Rep}(G)$
whose objects are the smooth representations of G all of whose irreducible subquotients have inertial support
$\mathfrak s$
. This definition corresponds to the one given in [Reference Bernstein and Bernstein4] Proposition-Définition 2.8. If
$\mathfrak S \subset \mathrm {IC}(G)$
, we write
$\mathrm {Rep}^{\mathfrak S}(G)$
for the direct product of the categories
$\mathrm {Rep}^{\mathfrak s}(G)$
where
$\mathfrak s$
runs over
$\mathfrak S$
. The following statement is Proposition 2.10 of loc. cit.
Theorem 4.19. The category
$\mathrm {Rep}(G)$
decomposes as the direct product of the subcategories
$\mathrm {Rep}^{\mathfrak s}(G)$
where
$\mathfrak s$
runs over
$\mathrm {IC}(G)$
. Moreover, if
$\mathfrak S \subset \mathrm {IC}(G)$
then the category
$\mathrm {Rep}^{\mathfrak S}(G)$
is stable under direct sums and subquotients.
Type theory was then introduced in [Reference Bushnell and Kutzko10] in order to describe the categories
$\mathrm {Rep}^{\mathfrak s}(G)$
which are called the Bernstein blocks. Let
$\mathfrak S$
be a subset of
$\mathrm {IC}(G)$
. A
$\mathfrak S$
-type in G is a pair
$(K,\rho )$
where K is an open compact subgroup of G and
$\rho $
is a smooth irreducible representation of K, such that for every smooth irreducible representation
$\pi $
of G we have
When
$\mathfrak S$
is a singleton
$\{\mathfrak s\}$
, we call it an
$\mathfrak s$
-type instead.
Remark 4.20. By Frobenius reciprocity, the condition that
$\pi _{|K}$
contains
$\rho $
is equivalent to
$\pi $
being isomorphic to an irreducible quotient of
${\mathrm {c-Ind}}_K^G\,\rho $
. In fact, we can say a little bit more. Let K be an open compact subgroup of G and let
$\rho $
be an irreducible smooth representation of K. Let
$\mathrm {Rep}_{\rho }(G)$
denote the full subcategory of
$\mathrm {Rep}(G)$
whose objects are those representations which are generated by their
$\rho $
-isotypic component. If
$(K,\rho )$
is an
$\mathfrak S$
-type, then [Reference Bushnell and Kutzko10] Theorem 4.3 establishes the equality of categories
$\mathrm {Rep}_{\rho }(G) = \mathrm {Rep}^{\mathfrak S}(G)$
. By definition of compact induction, the representation
${\mathrm {c-Ind}}_K^G\, \rho $
is generated by its
$\rho $
-isotypic vectors. Therefore any irreducible subquotient of
${\mathrm {c-Ind}}_K^G\,\rho $
has inertial support in
$\mathfrak S$
.
An important class of types are those of depth zero, and they are the only ones we shall encounter. First, we recall the following result. If K is a parahoric subgroup of G, we denote by
$\mathcal K$
its maximal reductive quotient. It is a finite group of Lie type over the residue field of F. The following statement is [Reference Morris24] Proposition 4.1
Proposition 4.21. Let K be a maximal parahoric subgroup of G and let
$\rho $
be an irreducible cuspidal representation of
$\mathcal K$
, seen as a representation of K by inflation. Let
$\pi $
be an irreducible smooth representation of G and assume that
$\pi _{|K}$
contains
$\rho $
. Then
$\pi $
is supercuspidal and there exists an irreducible smooth representation
$\tilde {\rho }$
of the normalizer
$\mathrm N_G(K)$
such that
$\tilde {\rho }_{|K}$
contains
$\rho $
and
$\pi \simeq {\mathrm {c-Ind}}_{N_G(K)}^G \tilde {\rho }$
.
Such representations
$\pi $
are called depth-0 supercuspidal representations of G. More generally, a smooth irreducible representation
$\pi $
of G is said to be of depth-0 if it contains a non-zero vector that is fixed by the pro-unipotent radical of some parahoric subgroup of G. A depth-0 type in G is a pair
$(K,\rho )$
where K is a parahoric subgroup of G and
$\rho $
is an irreducible cuspidal representation of
$\mathcal K$
, inflated to K. The name is justified by [Reference Morris24] Theorem 4.8.
Theorem 4.22. Let
$(K,\rho )$
be a depth-0 type. Then there exists a (unique) finite set
$\mathfrak S \subset \mathrm {IC}(G)$
such that
$(K,\rho )$
is an
$\mathfrak S$
-type of G.
Let K be a parahoric subgroup of G. Using the Bruhat-Tits building of G, one may canonically associate a Levi complement L of G such that
$K_L := L \cap K$
is a maximal parahoric subgroup of L, whose maximal reductive quotient
$\mathcal K_L$
is naturally identified with
$\mathcal K$
. This is precisely described in [Reference Morris24] paragraph 2.1. Moreover, we have
$L = G$
if and only if K is a maximal parahoric subgroup of G. Now, let
$(K,\rho )$
be a depth-0 type of G and denote by
$\mathfrak S$
the finite subset of
$\mathrm {IC}(G)$
such that it is an
$\mathfrak S$
-type of G. Since
$\rho $
is a cuspidal representation of
$\mathcal K \simeq \mathcal K_L$
, we may inflate it to
$K_L$
. Then, the pair
$(K_L,\rho )$
is a depth-0 type of L. We say that
$(K,\rho )$
is a G
-cover of
$(K_L,\rho )$
. By the previous theorem, there is a finite set
$\mathfrak S_L \subset \mathrm {IC}(L)$
such that
$(K_L,\rho )$
is an
$\mathfrak S_L$
-type of L. Then the proof of Theorem 4.8 in [Reference Morris24] shows that we have the relation
In this set, M is some Levi complement of L, therefore it may also be seen as a Levi complement in G. Thus, an inertial equivalence class
$[M,\tau ]_L$
in L gives rise to a class
$[M,\tau ]_G$
in G. Since
$K_L$
is maximal in L, in virtue of the proposition above any element of
$\mathfrak S_L$
has the form
$[L,\pi ]_L$
for some supercuspidal representation
$\pi $
of L. In particular, every smooth irreducible representation of G containing the type
$(K,\rho )$
has a conjugate of L as cuspidal support. We deduce the following corollary.
Corollary 4.23. Let
$(K,\rho )$
be a depth-0 type in G and assume that K is not a maximal parahoric subgroup. Then no smooth irreducible representation
$\pi $
of G containing the type
$(K,\rho )$
is supercuspidal.
Thus, up to replacing G with a Levi complement, the study of any depth-0 type
$(K,\rho )$
can be reduced to the case where K is a maximal parahoric subgroup. Let us assume that it is the case, and let
$\mathfrak S$
be the associated finite subset of
$\mathrm {IC}(G)$
. While
$\mathfrak S$
is in general not a singleton, it becomes one once we modify the pair
$(K,\rho )$
a little bit according to [Reference Morris24] Theorem Variant 4.7. Let
$\widehat {K}$
be the maximal open compact subgroup of
$\mathrm N_G(K)$
. We have
$K \subset \widehat {K}$
but in general this inclusion may be strict. Let
$\tilde {\rho }$
be a smooth irreducible representation of
$\mathrm N_G(K)$
such that
$\tilde {\rho }_{|K}$
contains
$\rho $
. Let
$\widehat {\rho }$
be any irreducible component of the restriction
$\tilde {\rho }_{|\widehat {K}}$
. Eventually, let
$\pi := {\mathrm {c-Ind}}_{\mathrm N_G(K)}^G \, \tilde {\rho }$
be the associated depth-0 supercuspidal representation of G.
Theorem 4.24. The pair
$(\widehat {K},\widehat {\rho })$
is a
$[G,\pi ]$
-type.
The conclusion does not depend on the choice of
$\widehat {\rho }$
as an irreducible component of
$\tilde {\rho }_{|\widehat {K}}$
. Any one of them affords a type for the same singleton
$\mathfrak s = [G,\pi ]$
. Let us now consider a parahoric subgroup K along with an irreducible representation
$\rho $
of its maximal reductive quotient
$\mathcal K = K/K^+$
, where
$K^+$
is the pro-unipotent radical of K. Assume that
$\rho $
is not cuspidal. Thus, there exists a proper parabolic subgroup
$\mathcal P \subset \mathcal K$
with Levi complement
$\mathcal L$
, and a cuspidal irreducible representation
$\tau $
of
$\mathcal L$
, such that
$\rho $
is an irreducible component of the Harish-Chandra induction
$\iota _{\mathcal P}^{\mathcal K}\,\tau $
. The preimage of
$\mathcal P$
via the quotient map
$K \twoheadrightarrow \mathcal K$
is a parahoric subgroup
$K' \subsetneq K$
, whose maximal reductive quotient
$\mathcal K' := K'/K^{\prime +}$
is naturally identified with
$\mathcal L$
. We have
$K^+ \subset K^{\prime +} \subset K'$
and the intermediate quotient
$K^{\prime +}/K^+$
is identified with the unipotent radical
$\mathcal N$
of
$\mathcal P \simeq K'/K^+$
. Consider
$\rho $
as an irreducible representation of K inflated from
$\mathcal K$
. The invariants
$\rho ^{K^{\prime +}}$
form a representation of
$K'$
which coincides with the inflation of the Harish-Chandra restriction of
$\rho $
(as a representation of
$\mathcal K$
) to
$\mathcal L$
. Thus,
$\rho ^{K^{\prime +}}$
contains the inflation of
$\tau $
to a representation of
$K'$
. In other words, we have a
$K'$
-equivariant map
By Frobenius reciprocity, it gives a map
which is surjective by irreducibility of
$\rho $
. Applying the functor
${\mathrm {c-Ind}}_K^G: \mathrm {Rep}(K) \to \mathrm {Rep}(G)$
, which is exact, and using transitivity of compact induction, we deduce the existence of a natural surjection
Now,
$(K',\tau )$
is a depth-0 type in G. Let
$\mathfrak S \subset \mathrm {IC}(G)$
be the subset such that
$(K',\tau )$
is an
$\mathfrak S$
-type, and let L be the (proper) Levi complement of G associated to
$K'$
as in the previous paragraph. By Remark ??, it follows that any irreducible subquotient of
${\mathrm {c-Ind}}_K^G\, \rho $
has inertial support in
$\mathfrak S$
. Since all elements of
$\mathfrak S$
are of the form
$[L,\pi ]$
for some supercuspidal representation
$\pi $
of L, we reach the following conclusion.
Proposition 4.25. Let K be a parahoric subgroup of G and let
$\rho $
be a non cuspidal irreducible representation of its maximal reductive quotient
$\mathcal K$
. Then no irreducible subquotient of
${\mathrm {c-Ind}}_K^G\,\rho $
is supercuspidal.
We go back to the context of the unitary similitude group
$J({\mathbb {Q}}_p)$
. We may now determine the inertial support of any irreducible subquotient of a representation of the form
${\mathrm {c-Ind}}_{J_{\theta _{\mathrm {max}}}}^J \, \rho $
with
$\rho $
inflated from a unipotent representation of
$\mathrm {GU}(V_{\theta _{\mathrm {max}}}^0)$
. In particular, all the terms
$E_1^{0,b}$
are of this form according to Corollary 4.12. More precisely, let
$\lambda $
be a partition of
$2\theta _{\mathrm {max}}+1$
and let
$\Delta _t$
be its
$2$
-core (see Section 2). Thus
$2\theta _{\mathrm {max}}+1 = \frac {t(t+1)}{2} + 2e$
for some
$e\geq 0$
. The integer
$\frac {t(t+1)}{2}$
is odd, so it can be written as
$2f+1$
for some
$f\geq 0$
, and we have
$\theta _{\mathrm {max}} = f+e$
. Recall the basis of
$\mathbf V$
that we fixed in Section 1.1. The images of the vectors
$e_{\pm i}$
for
$1 \leq i \leq \theta _{\mathrm {max}}$
and of
$e_0^{\mathrm {an}}$
in
$V_{\theta _{\mathrm {max}}}^0 = \Lambda _{\theta _{\mathrm {max}}} / p\Lambda _{\theta _{\mathrm {max}}}$
define a basis of
$V_{\theta _{\mathrm {max}}}^0$
, allowing us to identify
$\mathrm {GU}(V_{\theta _{\mathrm {max}}}^0)$
with the matrix group
$\mathrm {GU}_{2\theta _{\mathrm {max}}+1}(\mathbb F_p)$
. The cuspidal support of
$\rho _{\lambda }$
is
$(L_t,\rho _t)$
according to Section 2. Let
$P_t$
be the standard parabolic subgroup with Levi complement
$L_t$
. By direct computation, one may check that the preimage of
$P_t$
in
$J_{\theta _{\mathrm {max}}}$
is the parahoric subgroup
$J_{f,\ldots ,\theta _{\mathrm {max}}} := J_f \cap J_{f+1} \cap \ldots \cap J_{\theta _{\mathrm {max}}}$
. Let
$L_f$
be the Levi complement of
$J({\mathbb {Q}}_p)$
that is associated to the parahoric subgroup
$J_{f,\ldots ,\theta _{\mathrm {max}}}$
. Let
$\mathbf V^f$
be the subspace of
$\mathbf V$
generated by
$\mathbf V^{\mathrm {an}}$
and by the vectors
$e_{\pm 1},\ldots , e_{\pm f}$
. It is equipped with the restriction of the hermitian form of
$\mathbf V$
. Then
$L_f \simeq \mathrm {G}(\mathrm {U}(\mathbf V^f)\times \mathrm {U}_1({\mathbb {Q}}_{p})^{e})$
.
The group
$L_f\cap J_{f,\ldots ,\theta _{\mathrm {max}}}$
is a maximal parahoric subgroup of
$L_f$
, and
$\rho _t$
can be inflated to it. In particular, the pair
$(L_f\cap J_{f,\ldots ,\theta _{\mathrm {max}}},\rho _t)$
is a level-0 type in
$L_f$
. Since we work with unitary groups over an unramified quadratic extension,
$L_f\cap J_{f,\ldots ,\theta _{\mathrm {max}}}$
is also a maximal compact subgroup of
$L_f$
. In particular,
$(L_f\cap J_{f,\ldots ,\theta _{\mathrm {max}}},\rho _t)$
is a type for a singleton of the form
$[L_f,\tau _f]_{L_f}$
. Then
$\tau _f$
has the form
where
$\widetilde {\rho _t}$
is some smooth irreducible representation of
$\mathrm N_{L_f}(L_f\cap J_{f,\ldots ,\theta _{\mathrm {max}}})$
containing
$\rho _t$
upon restriction. It follows that if we inflate
$\rho _t$
to
$J_{f,\ldots ,\theta _{\mathrm {max}}}$
then
$(J_{f,\ldots ,\theta _{\mathrm {max}}},\rho _t)$
is a
$[L_f,\tau _f]$
-type in
$J({\mathbb {Q}}_p)$
. Moreover the compactly induced representation
${\mathrm {c-Ind}}_{J_{\theta _{\mathrm {max}}}}^{J} \, \rho _{\lambda }$
is a quotient of
${\mathrm {c-Ind}}_{J_{f,\ldots ,\theta _{\mathrm {max}}}}^{J}\, \rho _t$
. In particular, we reach the following conclusion.
Proposition 4.26. Let
$\lambda $
be a partition of
$2\theta _{\mathrm {max}}+1$
with
$2$
-core
$\Delta _t$
. Write
$\frac {t(t+1)}{2} = 2f+1$
for some
$f\geq 0$
. Any irreducible subquotient of
${\mathrm {c-Ind}}_{J_{\theta _{\mathrm {max}}}}^{J}\,\rho _{\lambda }$
has inertial support
$[L_f,\tau _f]$
.
In particular, if
$f < \theta _{\mathrm {max}}$
then none of these irreducible subquotients are supercuspidal.
Let us keep the notations of the previous paragraph. Since unipotent representations of finite groups of Lie type have trivial central characters, if
$\chi $
is an unramified character of
$\mathrm Z(J({\mathbb {Q}}_p))$
then
$\chi _{\mathrm Z(J({\mathbb {Q}}_p)) \cap J_{\theta _{\mathrm {max}}}}$
coincides with the central character of
$\rho _{\lambda }$
inflated to
$J_{\theta _{\mathrm {max}}}$
. As in Theorem 4.18, we have
If
$f < \theta _{\mathrm {max}}$
, then no irreducible supercuspidal representation can occur. Thus
$V_{\rho _{\lambda },\chi ,0} = 0$
.
On the other hand, assume now that
$f = \theta _{\mathrm {max}}$
so that
$L_f = J$
and
$\rho _{\lambda }$
is equal to the cuspidal representation
$\rho _{\Delta _{\theta _{\mathrm {max}}}}$
. As seen in Proposition 1.14, we have
$\mathrm N_J(J_{\theta _{\mathrm {max}}}) = \mathrm Z(J({\mathbb {Q}}_p))J_{\theta _{\mathrm {max}}}$
unless
$n=2$
(thus
$\theta _{\mathrm {max}}=0$
) in which case
$J_0 = J^{\circ }$
and
$\mathrm Z(J({\mathbb {Q}}_p))J_0$
is of index
$2$
in
$\mathrm N_J(J_0) = J$
. A representative of the non-trivial coset is given by
$g_0$
as defined in Section 1.1. If
$n\not = 2$
, define
Then
$\tau _{\theta _{\mathrm {max}},\chi }$
is an irreducible supercuspidal representation of
$J({\mathbb {Q}}_p)$
, and we have
Thus
$V_{\rho _{\lambda },\chi ,\infty } = 0$
and
$V_{\rho _{\lambda },\chi \infty } = \tau _{\theta _{\mathrm {max}},\chi }$
in this case.
When
$n = 2$
,
$\rho _{\lambda } = \rho _{\Delta _0} = \mathbf 1$
is the trivial representation of
$J_0 = J^{\circ }$
. Let
$\chi _0:J\rightarrow \overline {{\mathbb {Q}}_{\ell }}^{\times }$
be the unique non-trivial character of
$J({\mathbb {Q}}_p)$
which is trivial on
$\mathrm Z(J({\mathbb {Q}}_p))J_0$
. Then
$\left ({\mathrm {c-Ind}}_{J_0}^J\,\mathbf 1\right )_{\chi }$
is the sum of an unramified character
$\tau _{0,\chi }$
of
$J({\mathbb {Q}}_p)$
whose central character is
$\chi $
, and of the character
$\chi _0\tau _{0,\chi }$
. Both characters are supercuspidal, and they are the only unramified characters of
$J({\mathbb {Q}}_p)$
with central character
$\chi $
.
According to Proposition 4.4 and Corollary 4.12, the terms
$E_1^{0,b}$
are a sum of representations of the form
with
$\lambda $
a partition of
$2\theta _{\mathrm {max}}+1$
having
$2$
-core
$\Delta _0$
if b is even, and
$\Delta _1$
if b is odd. Moreover, we have
In particular, summing up the discussion of the previous paragraph, we have reached the following statement.
Proposition 4.27. Let
$\chi $
be an unramified character of
$\mathrm Z(J({\mathbb {Q}}_p))$
.
-
– Assume that
$n\geq 3$
. The representation
$(E_2^{0,2(n-1-\theta _{\mathrm {max}})})_{\chi }$
contains no non-zero admissible subrepresentation, and it is not
$J({\mathbb {Q}}_p)$
-semisimple. Moreover, any irreducible subquotient has inertial support
$[L_0,\tau _0]$
. If
$n\geq 5$
, then the same statement holds for
$(E_2^{0,2(n-1-\theta _{\mathrm {max}})+1})_{\chi }$
with the inertial support being
$[L_1,\tau _1]$
. -
– For
$n = 1,2,3,4$
, let
$b = 0,2,3,5$
, respectively. Then
$\theta _{\mathrm {max}} = 0$
when
$1,2$
and
$\theta _{\mathrm {max}}=1$
when
$n = 3,4$
. Let
$\chi $
be an unramified character of
$\mathrm {Z}(J({\mathbb {Q}}_p))$
. The representation
$\tau _{\theta _{\mathrm {max}},\chi }$
is irreducible supercuspidal, and we have
$$ \begin{align*}(E_2^{0,b})_{\chi} \simeq \begin{cases} \tau_{\theta_{\mathrm{max}},\chi} & \text{if } n = 1,3,4,\\ \tau_{\theta_{\mathrm{max}},\chi}\oplus\chi_0\tau_{\theta_{\mathrm{max}},\chi} & \text{if } n=2. \end{cases}\end{align*} $$
In particular, we deduce the following important corollary.
Corollary 4.28. Let
$\chi $
be an unramified character of
$\mathrm Z(J({\mathbb {Q}}_p))$
. If
$n\geq 3$
then
${\mathrm {H}}_c^{2(n-1-\theta _{\mathrm {max}})}({\mathcal {M}}^{\mathrm {an}},\overline {{\mathbb {Q}}_{\ell }})_{\chi }$
is not
$J({\mathbb {Q}}_p)$
-admissible. If
$n\geq 5$
then the same holds for
${\mathrm {H}}_c^{2(n-1-\theta _{\mathrm {max}})+1}({\mathcal {M}}^{\mathrm {an}},\overline {{\mathbb {Q}}_{\ell }})_{\chi }$
.
4.3 The case
$n=3,4$
Let us focus on the case
$\theta _{\mathrm {max}}=1$
, that is
$n=3$
or
$4$
. Recall that
$N(\Lambda _0)$
denotes the set of lattices
$\Lambda \in {\mathcal {L}}_0$
with type
$t(\Lambda ) = t_{\mathrm {max}} = 3$
containing
$\Lambda _0$
. It has cardinality
$\nu (1,2) = p+1$
when
$n=3$
and
$\nu (2,3) = p^3+1$
when
$n=4$
. In particular, we may locate the non zero terms
$E_{1,\mathrm {alt}}^{a,b}$
of the alternating Čech spectral sequence as follows.
$$ \begin{align*}E_{1,\mathrm{alt}}^{a,b} \not = 0 \iff \begin{cases} (a,b) \in \{(0,2);(0,3);(-k,4) \,|\, 0\leq k \leq p\} & \text{if } n = 3, \\ (a,b) \in \{(0,4);(0,5);(-k,6) \,|\, 0\leq k \leq p^3\} & \text{if } n = 4. \end{cases}\end{align*} $$
In Figure 1, we draw the shape of the first page
$E_{1,\mathrm {alt}}$
for
$n=3$
. The case of
$n=4$
is similar, except that two more
$0$
rows should be added at the bottom. To alleviate the notations, we write
$\varphi _{-a}$
for the differential
$\varphi ^{a,2(n-1)}$
.

Figure 1 The first page
$E_{1,\mathrm {alt}}$
of the alternating Čech spectral sequence when
$n=3$
.
Let
$i\in \mathbb Z$
such that
$ni$
is even. For
$\Lambda ,\Lambda ' \in {\mathcal {L}}_i$
, we define the distance
$d(\Lambda ,\Lambda ')$
as the smallest integer
$d\geq 0$
such that there exists a sequence
$\Lambda = \Lambda ^0,\ldots ,\Lambda ^{d} = \Lambda '$
of lattices of
${\mathcal {L}}_i$
with
$\{\Lambda ^j,\Lambda ^{j+1}\}$
being an edge for all
$0 \leq j \leq d-1$
. This definition makes sense for any n. When
$\theta _{\mathrm {max}}=1$
, any lattice
$\Lambda \in {\mathcal {L}}_i$
has type
$1$
or
$3$
, and two lattices forming an edge can not have the same type. Therefore, the value of
$t(\Lambda ^j)$
alternates between
$1$
and
$3$
. In particular, if
$t(\Lambda ) = t(\Lambda ')$
then
$d(\Lambda ,\Lambda ')$
is even. According to [Reference Vollaard32] Proposition 3.7, the simplicial complex
${\mathcal {L}}_i$
is in fact a tree. We will use this to prove the following proposition.
Proposition 4.29. Assume that
$n=3$
or
$4$
. We have
$E_2^{-1,2(n-1)} = 0$
.
For now,
$n \geq 3$
is still any integer. By Proposition 4.6, we may use the alternating Čech spectral sequence to show that
$E_2^{-1,2(n-1)} = \mathrm {Ker}(\varphi _1)/\mathrm {Im}(\varphi _2)$
vanishes. The term
$E_1^{a,2(n-1)}$
is the
$\overline {{\mathbb {Q}}_{\ell }}$
-vector space generated by the set
$I_{-a+1}$
, and
$E_{1,\mathrm {alt}}^{a,2(n-1)}$
is the subspace consisting of all the vectors
$v = \sum _{\gamma \in I_{-a+1}} \lambda _{\gamma }\gamma $
such that for all
$\sigma \in \mathfrak S_{-a+1}$
we have
$\lambda _{\sigma (\gamma )} = \mathrm {sgn}(\sigma )\lambda _{\gamma }$
. Here the
$\lambda _{\gamma }$
’s are scalars which are almost all zero. To prove the proposition, let us look at the differential
$\varphi _2$
. It acts on the basis vectors in the following way.
$$ \begin{align*} \left. \begin{array}{c} (\Lambda,\Lambda,\Lambda)\\ (\Lambda,\Lambda,\Lambda')\\ (\Lambda',\Lambda,\Lambda) \end{array} \right\} & \mapsto (\Lambda,\Lambda), & &\!\!\!\!\!\!\! \forall \Lambda,\Lambda' \in \mathcal L^{(1)} \text{ such that } U_{\Lambda} \cap U_{\Lambda'} \not = \emptyset,\\ (\Lambda,\Lambda',\Lambda) & \mapsto (\Lambda',\Lambda) - (\Lambda,\Lambda) + (\Lambda,\Lambda'), & &\!\!\!\!\!\!\! \forall \Lambda,\Lambda' \in \mathcal L^{(1)} \text{ such that } U_{\Lambda} \cap U_{\Lambda'} \not = \emptyset, \\ (\Lambda,\Lambda',\Lambda") & \mapsto (\Lambda',\Lambda") - (\Lambda,\Lambda") + (\Lambda,\Lambda'), & & \!\!\!\!\!\!\!\forall \Lambda,\Lambda',\Lambda" \in \mathcal L^{(1)} \text{ such that } U_{\Lambda} \cap U_{\Lambda'} \cap U_{\Lambda"} \not = \emptyset. \end{align*} $$
We note that for a collection of lattices
$\Lambda ^1,\ldots ,\Lambda ^s \in {\mathcal {L}}_i^{(1)}$
, the condition
$U_{\Lambda ^1} \cap \ldots \cap U_{\Lambda ^s} \not = \emptyset $
is equivalent to
$d(\Lambda ^j,\Lambda ^{j'}) = 2$
for all
$1\leq j \not = j' \leq s$
. Towards a contradiction, we assume that
$\mathrm {Im}(\varphi _2) \subsetneq \mathrm {Ker}(\varphi _1)$
. Let
$v \in \mathrm {Ker}(\varphi _1) \setminus \mathrm {Im}(\varphi _2)$
. Since
$v \in E^{-1,2(n-1)}_{1,\mathrm {alt}}$
, it decomposes in the form
$$ \begin{align*}v = \sum_{j=1}^{r} \lambda_{j} (\gamma_j - \tau(\gamma_j)),\end{align*} $$
where
$r\geq 1$
, the
$\gamma _j$
’s are of the form
$(\Lambda ,\Lambda ')$
with
$d(\Lambda ,\Lambda ') = 2$
, the scalars
$\lambda _j$
’s are non zero and
$\tau \in \mathfrak S_2$
is the transposition. We may assume that r is minimal among all the vectors in the complement
$\mathrm {Ker}(\varphi _1) \setminus \mathrm {Im}(\varphi _2)$
. In particular, there exists a single
$i\in \mathbb Z$
such that
$ni$
is even, and for all
$1\leq j \leq r$
the lattices in
$\gamma _j$
belong to
${\mathcal {L}}_i^{(1)}$
. We may further assume
$i=0$
without loss of generality. We say that an element
$\gamma \in I_2$
occurs in v if
$\gamma = \gamma _j$
or
$\tau (\gamma _j)$
for some
$1\leq j \leq r$
. Similarly, we say that a lattice
$\Lambda \in \mathcal L^{(1)}_0$
occurs in v if it is a constituent of some
$\gamma _j$
.
Lemma 4.30. Let
$\gamma = (\Lambda ,\Lambda ') \in I_2$
be an element occuring in v. Then there exists
$\Lambda " \in \mathcal L^{(1)}_0$
such that
$(\Lambda ,\Lambda ") \in I_2$
occurs in v and
$d(\Lambda ',\Lambda ") = 4$
.
Proof. Let us write
$(\Lambda ,\Lambda ^j) \in I_2, 1\leq j \leq s$
for the various elements occurring in v whose first component is
$\Lambda $
. Up to reordering the
$\gamma _j$
’s and swapping them with
$\tau (\gamma _j)$
if necessary, we may assume that
$(\Lambda ,\Lambda ^j) = \gamma _j$
for all
$1\leq j \leq s$
, and that
$\Lambda ^1 = \Lambda '$
. The coordinate of
$\varphi _1(v)$
along the basis vector
$(\Lambda ) \in I_1$
is equal to
$-2\sum _{j=1}^{s} \lambda _j$
. Since
$\varphi _1(v) = 0$
, this sum is zero. Since
$\lambda _1 \not = 0$
by hypothesis, we have in particular
$s\geq 2$
. For all
$2\leq j \leq s$
, we have
$2\leq d(\Lambda ',\Lambda ^j) \leq 4$
by the triangular inequality. Towards a contradiction, assume that
$d(\Lambda ',\Lambda ^j) = 2$
for all
$2\leq j \leq s$
. In particular,
$\delta _j := (\Lambda ^j,\Lambda ,\Lambda ') \in I_3$
for all
$2\leq j \leq s$
. Consider the vector
$$ \begin{align*}w := \frac{1}{3}\sum_{j=2}^s \sum_{\sigma \in \mathfrak S_6} \mathrm{sgn}(\sigma)\lambda_j\sigma(\delta_j) \in E_{1,\mathrm{alt}}^{-2,2(n-1)}.\end{align*} $$
Then we compute
$$ \begin{align*} \varphi_2(w) & = -\lambda_1((\Lambda,\Lambda') - (\Lambda',\Lambda)) - \sum_{j=2}^s \lambda_j((\Lambda,\Lambda^j) - (\Lambda^j,\Lambda)) + \sum_{j=2}^s \lambda_j((\Lambda',\Lambda^j) - (\Lambda^j,\Lambda'))\\ & = - \sum_{j=1}^s \lambda_j(\gamma_j - \tau(\gamma_j)) + \sum_{j=2}^s \lambda_j((\Lambda',\Lambda^j) - (\Lambda^j,\Lambda')). \end{align*} $$
In particular, we get
$$ \begin{align*}v + \varphi_2(w) = \sum_{j=2}^{s} \lambda_j((\Lambda^j,\Lambda') - (\Lambda',\Lambda^j)) + \sum_{j=s+1}^r \lambda_j(\gamma_j-\tau(\gamma_j)) \in \mathrm{Ker}(\varphi_1) \setminus \mathrm{Im}(\varphi_2),\end{align*} $$
which contradicts the minimality of r.
From now on, let us assume that
$n= 3$
or
$4$
, so that
${\mathcal {L}}_0$
is a tree. To conclude the proof of the proposition, let us pick
$\Lambda = \Lambda ^0 \in \mathcal L^{(1)}_0$
which occurs in v, say in a pair
$(\Lambda ,\Lambda ') \in I_2$
. Write
$\Lambda ^1 := \Lambda '$
. By induction, we build a sequence
$(\Lambda ^k)_{k\geq 0}$
of lattices in
$\mathcal L^{(1)}_0$
such that for all k, the pair
$(\Lambda ^{k},\Lambda ^{k+1})$
occurs in v and we have
$d(\Lambda ^0,\Lambda ^{k}) = 2k$
. It follows that the
$\Lambda ^k$
’s are pairwise distinct, and it leads to a contradiction since only a finite number of such lattices can occur in v.
Let us assume that
$\Lambda ^0,\ldots ,\Lambda ^k$
are already built for some
$k\geq 1$
. Since
$(\Lambda ^{k-1},\Lambda ^k)$
occurs in v, so does
$(\Lambda ^k, \Lambda ^{k-1})$
. By the Lemma applied to latter pair, there exists
$\Lambda ^{k+1} \in {\mathcal {L}}_0^{(1)}$
such that the pair
$(\Lambda ^{k},\Lambda ^{k+1}) \in I_2$
occurs in v and
$d(\Lambda ^{k-1},\Lambda ^{k+1}) = 4$
. By the triangular inequality, we have
$$ \begin{align*} d(\Lambda^0,\Lambda^{k+1}) & \leq d(\Lambda^0,\Lambda^{k}) + d(\Lambda^{k},\Lambda^{k+1}) = 2k+2 = 2(k+1),\\ d(\Lambda^0,\Lambda^{k+1}) & \geq |d(\Lambda^0,\Lambda^k) - d(\Lambda^k,\Lambda^{k+1})| = 2(k-1). \end{align*} $$
Thus
$d(\Lambda ^0,\Lambda ^{k+1}) = 2(k-1),2k$
or
$2(k+1)$
. We prove that it must be equal to the latter.
Assume that
$d(\Lambda ^0,\Lambda ^{k+1}) = 2(k-1)$
. There exists a path
$\Lambda ^0 = L^0,\ldots , L^{2(k-1)} = \Lambda ^{k+1}$
. We obtain a cycle

Since
${\mathcal {L}}_0$
is a tree, this cycle must be trivial, i.e. the lower and upper paths, which are of the same length, are the same. In particular, we have
$\Lambda ^{k-1} = \Lambda ^{k+1}$
, which is absurd since
$d(\Lambda ^{k-1},\Lambda ^{k+1}) = 4$
.
Assume that
$d(\Lambda ^0,\Lambda ^{k+1}) = 2k$
. There exists a path
$\Lambda ^0 = L_0,\ldots , L^{2k} = \Lambda ^{k+1}$
. We obtain a cycle

Since
${\mathcal {L}}_0$
is a tree, this cycle must be trivial, i.e. the lower and upper paths, which are of the same length, are the same. In particular, we have
$\Lambda ^{k} = \Lambda ^{k+1}$
, which is absurd since
$d(\Lambda ^k,\Lambda ^{k+1}) = 2$
.
Thus, we have
$d(\Lambda ^0,\Lambda ^{k+1}) = 2(k+1)$
so that
$\Lambda ^{k+1}$
meets all the requirements. It concludes the proof of Proposition 4.29.
In particular, we obtain the following statement.
Theorem 4.31. Assume that
$n=3$
or
$4$
. We have
with the rational Frobenius
$\tau $
acting like multiplication by
$-p^{2(n-1)-1}$
.
5 The cohomology of the supersingular locus of the Shimura variety for
$n = 3, 4$
5.1 The Hochschild-Serre spectral sequence induced by p-adic uniformization
In this section,
$n \geq 1$
is still any integer. We recover the notations of Section 3. Let
$\xi : \mathbb G \rightarrow W_{\xi }$
be a finite-dimensional irreducible algebraic
$\overline {{\mathbb {Q}}_{\ell }}$
-representation of
$\mathbb G$
. Such representations have been classified in [Reference Harris and Taylor16] Chapter III.2. We think of
$\mathbb V_{\overline {{\mathbb {Q}}_{\ell }}} := \mathbb V \otimes \overline {{\mathbb {Q}}_{\ell }}$
as a representation of
$\mathbb G$
, whose dual is denoted by
$\mathbb V_0$
. Using the alternating form
$\langle \cdot ,\cdot \rangle $
, we have an isomorphism
$\mathbb V_0 \simeq \mathbb V_{\overline {{\mathbb {Q}}_{\ell }}} \otimes c^{-1}$
, where c is the multiplier character of G. Then,
$W_{\xi }$
can be described as follows.
Proposition 5.1. There exists unique integers
$t(\xi ), m(\xi ) \geq 0$
and an idempotent
$\epsilon (\xi ) \in \mathrm {End}(\mathbb V_0^{\otimes m(\xi )})$
such that
The weight
$w(\xi )$
is defined by
To any
$\xi $
as above, we can associate a local system
${\mathcal {L}}_{\xi }$
which is defined on the tower
$(\mathrm {S}_{K^p})_{K^p}$
of Shimura varieties. We denote by
$\overline {{\mathcal {L}}_{\xi }}$
its restriction to the special fiber
$\overline {\mathrm S}_{K^p}$
. Let
$A_{K^p}$
be the universal abelian scheme over
$\mathrm {S}_{K^p}$
. We write
$\pi _{K^p}^m : A_{K^p}^m \to \mathrm {S}_{K^p}$
for the structure morphism of the m-fold product of
$A_{K^p}$
with itself over
$\mathrm {S}_{K^p}$
. If
$m=0$
it is just the identity on
$\mathrm {S}_{K^p}$
. According to [Reference Harris and Taylor16] Chapter III.2, we have an isomorphism
where
$\epsilon _{m(\xi )}$
is some idempotent. In particular, if
$\xi $
is the trivial representation of
$\mathbb G$
then
${\mathcal {L}}_{\xi } = \overline {{\mathbb {Q}}_{\ell }}$
.
We fix an irreducible algebraic representation
$\xi : \mathbb G \rightarrow W_{\xi }$
as above. We associate the space
${\mathcal {A}}_{\xi }$
of automorphic forms of I of type
$\xi $
at infinity. Explicitly, it is given by
$$ \begin{align*}{\mathcal{A}}_{\xi} = \left\{f: I(\mathbb A_{f})\rightarrow W_{\xi} \, \middle| \, \begin{array}{l@{}} f \text{ is } I(\mathbb A_{f}) \text{-smooth by right translations} \\ \text{and } \forall \gamma \in I({\mathbb{Q}}), f(\gamma\,\cdot) = \xi(\gamma)f(\cdot) \end{array}\right\}.\end{align*} $$
Notation. Let
$\mathrm {Sh}_{K_0K^p}^{\mathrm {an}} := (\mathrm S_{K^p} \otimes _{\mathbb Z_{p^2}} {\mathbb {Q}}_{p^2})^{\mathrm {an}}$
denote the analytification of the generic fiber of
$\mathrm S_{K^p}$
, on which the analytified local system
${\mathcal {L}}_{\xi }^{\mathrm {an}}$
is defined. Let
$(\widehat {\mathrm S}_{K^p})^{\mathrm {ss},\mathrm {an}} \subset \mathrm {Sh}_{K_0K^p}^{\mathrm {an}}$
denote the analytical tube of the supersingular locus, or in other words the generic fiber of the formal scheme
$(\widehat {\mathrm S}_{K^p})^{\mathrm {ss}}$
. We write
$\mathrm {H}^{\bullet }((\widehat {\mathrm S}_{K^p})^{\mathrm {ss},\mathrm {an}},{\mathcal {L}}_{\xi }^{\mathrm {an}})$
for the cohomology of
$(\widehat {\mathrm S}_{K^p})^{\mathrm {ss},\mathrm {an}} \otimes {\mathbb {C}}_p$
with coefficients in
${\mathcal {L}}_{\xi }^{\mathrm {an}}$
.
In [Reference Fargues14] Théorème 4.5.12, Fargues builds a spectral sequence associated to the p-adic uniformization theorem in order to compute the cohomology of
$(\widehat {\mathrm S}_{K^p})^{\mathrm {ss},\mathrm {an}}$
.
Theorem 5.2. There is a W-equivariant spectral sequence
These spectral sequences are compatible as the open compact subgroup
$K^p$
varies in
$\mathbb G(\mathbb A_f^p)$
.
The W-action on
$F_2^{a,b}(K^p)$
is inherited from the cohomology group
${\mathrm {H}}_c^{2(n-1)-b}({\mathcal {M}}^{\mathrm {an}}, \overline {{\mathbb {Q}}_{\ell }})(n-1)$
. By the compatibility with variation of the level
$K^p$
, we may take the limit and obtain a
$\mathbb G(\mathbb A_f^p) \times W$
-equivariant spectral sequence
$F_2^{a,b} := \varinjlim _{K^p} F_2^{a,b}(K^p)$
. Since
$\theta _{\mathrm {max}}$
is the semisimple rank of
$J({\mathbb {Q}}_p)$
, the terms
$F_2^{a,b}(K^p)$
are zero for
$a> \theta _{\mathrm {max}}$
according to [Reference Fargues14] Lemme 4.4.12. Therefore, the non-zero terms
$F_2^{a,b}$
are located in the finite strip delimited by
$0 \leq a \leq \theta _{\mathrm {max}}$
and
$0 \leq b \leq 2(n-1)$
. Let us look at the abutment of the sequence. Since
$\mathrm S_{K^p}$
is smooth, Berkovich’s comparison theorem, cf [Reference Berkovich3] Corollary 3.6, gives an isomorphism
Since
$\overline {\mathrm S}_{K^p}^{\mathrm {ss}}$
has dimension
$\theta _{\mathrm {max}}$
, the cohomology
${\mathrm {H}}^{\bullet }((\widehat {\mathrm S}_{K^p})^{\mathrm {ss},\mathrm {an}}, {\mathcal {L}}_{\xi }^{\mathrm {an}})$
is concentrated in degrees
$0$
to
$2\theta _{\mathrm {max}}$
.
Let
$\mathcal A(I)$
denote the set of all automorphic representations of I counted with multiplicities. We write
for the dual of
$\xi $
. We also define
According to [Reference Fargues14] Section 4.6, we have an identification
$$ \begin{align*}{\mathcal{A}}_{\xi}^{K_p} \simeq \bigoplus_{\Pi\in{\mathcal{A}}_{\xi}(I)} \Pi_p \otimes (\Pi^p)^{K_p}.\end{align*} $$
It yields, for every a and b, an isomorphism
$$ \begin{align*}F_2^{a,b}(K^p) \simeq \bigoplus_{\Pi\in{\mathcal{A}}_{\xi}(I)} \mathrm{Ext}_{J}^a \left ({\mathrm{H}}_c^{2(n-1)-b}({\mathcal{M}}^{\mathrm{an}}, \overline{{\mathbb{Q}}_{\ell}})(n-1), \Pi_p\right) \otimes (\Pi^p)^{K_p}.\end{align*} $$
Taking the limit over
$K^p$
, we deduce that
$$ \begin{align*}F_2^{a,b} \simeq \bigoplus_{\Pi\in{\mathcal{A}}_{\xi}(I)} \mathrm{Ext}_{J}^a \left ({\mathrm{H}}_c^{2(n-1)-b}({\mathcal{M}}^{\mathrm{an}}, \overline{{\mathbb{Q}}_{\ell}})(n-1), \Pi_p\right) \otimes \Pi^p.\end{align*} $$
The spectral sequence defined by the terms
$F_2^{a,b}$
computes
${\mathrm {H}}^{a+b}((\widehat {\mathrm S})^{\mathrm {ss},\mathrm {an}}, {\mathcal {L}}_{\xi }^{\mathrm {an}}) := \varinjlim _{K^p} {\mathrm {H}}^{a+b}((\widehat {\mathrm S}_{K^p})^{\mathrm {ss},\mathrm {an}}, {\mathcal {L}}_{\xi }^{\mathrm {an}})$
. It is isomorphic to
$\mathrm {H}^{a+b}(\overline {\mathrm S}^{\mathrm {ss}} \otimes \, \mathbb F, \overline {{\mathcal {L}}_{\xi }}) := \varinjlim _{K^p} \mathrm {H}^{a+b}(\overline {\mathrm S}_{K^p}^{\mathrm {ss}} \otimes \, \mathbb F, \overline {{\mathcal {L}}_{\xi }})$
.
Recall from Corollary 4.5 that we have a decomposition
$$ \begin{align*}{\mathrm{H}}_c^b({\mathcal{M}}^{\mathrm{an}},\overline{{\mathbb{Q}}_{\ell}}) \simeq \bigoplus_{b \leq b' \leq 2(n-1)} E_2^{b-b',b'},\end{align*} $$
and
$E_2^{b-b',b'}$
corresponds to the eigenspace of
$\tau $
associated to the eigenvalue
$(-p)^{b'}$
. Accordingly, we have a decomposition
$$ \begin{align*}F_2^{a,b} \simeq \bigoplus_{\substack{2(n-1)-b\, \leq \\ b' \leq \, 2(n-1)}} \, \bigoplus_{\Pi\in{\mathcal{A}}_{\xi}(I)} \mathrm{Ext}_{J}^a \left (E_2^{2(n-1)-b-b',b'}(n-1), \Pi_p\right) \otimes \Pi^p.\end{align*} $$
For
$\Pi \in {\mathcal {A}}_{\xi }(I)$
, we denote by
$\omega _{\Pi }$
the central character. We define
Let
$\iota $
be any isomorphism
$\overline {{\mathbb {Q}}_{\ell }} \simeq \mathbb C$
, and write
$|\cdot |_{\iota } := |\iota (\cdot )|$
. The centre of
$I({\mathbb {Q}})$
is identified with
$\mathbb E^{\times }$
, and the element
$p^{-1}\cdot \mathrm {id} \in \mathrm {Z}(J({\mathbb {Q}}_p))$
is the image of
$p^{-1} \in \mathbb E^{\times } \simeq \mathrm {Z}(I({\mathbb {Q}})) \hookrightarrow \mathrm Z(J({\mathbb {Q}}_p))$
. We have
$\omega _{\Pi }(p^{-1}) = 1$
. Moreover, for any finite place
$q \not = p$
, the element
$p^{-1}$
lies inside the maximal compact subgroup of
$\mathrm Z(I({\mathbb {Q}}_q))$
, so
$|\omega _{\Pi _q}(p^{-1})|_{\iota } = 1$
. Besides
, so we have
The last equality comes from the isomorphism
$W_{\xi } \simeq c^{t(\xi )}\otimes \epsilon (\xi )(\mathbb V_0^{\otimes m(\xi )})$
, see Proposition 5.1. In particular
$|\delta _{\Pi _p}|_{\iota } = 1$
for any isomorphism
$\iota $
.
Proposition 5.3. The W-action on
$\mathrm {Ext}^a_{J} (E_2^{2(n-1)-b-b',b'}(n-1), \Pi _p)$
is trivial on the inertia I, and the Frobenius element
$\mathrm {Frob}$
acts like multiplication by
$(-1)^{-b'}\delta _{\Pi _p}p^{-b'+2(n-1)+w(\xi )}$
.
Proof. Let us write
$X := E_2^{2(n-1)-b-b',b'}(n-1)$
. By convention, the action of
$\mathrm {Frob}$
on a space
$\mathrm {Ext}^a_{J}(X,\Pi _p)$
is induced by functoriality of
$\mathrm {Ext}$
applied to
$\mathrm {Frob}^{-1}:X\rightarrow X$
. Let us consider a projective resolution of X in the category of smooth representations of
$J({\mathbb {Q}}_p)$
Since
$\mathrm {Frob}^{-1}$
commutes with the action of
$J({\mathbb {Q}}_p)$
, we can choose a lift
$\mathcal F = (\mathcal F_i)_{i\geq 0}$
of
$\mathrm {Frob}^{-1}$
to a morphism of chain complexes.

After applying
${\mathrm {Hom}}_J(\cdot ,\Pi _p)$
and forgetting about the first term, we obtain a morphism
$\mathcal F^{*}$
of chain complexes.

Here
$\mathcal F_i^{*}f(v) := f(\mathcal F_i(v))$
. It induces morphisms on the cohomology
which do not depend on the choice of the lift
$\mathcal F$
. Recall that
$\mathrm {Frob}$
is the composition of
$\varphi $
and
$p\cdot \mathrm {id} \in J({\mathbb {Q}}_p)$
. Since
$\varphi $
is multiplication by the scalar
$(-1)^{b'}p^{b'-2(n-1)}$
on X, we may choose the lift
$\mathcal F_i := (-1)^{b'}p^{-b'+2(n-1)} (p^{-1}\cdot \mathrm {id})$
for all i.
Consider an element of
$\mathrm {Ext}^i_{J}(X,\Pi _p)$
represented by a morphism
$f:P_i\to \Pi _p$
. For any
$v\in P_i$
we have
$$ \begin{align*}\mathcal F_i^{*}f(v)& = f(\mathcal F_i(v)) = (-1)^{-b'}p^{-b'+2(n-1)}f((p^{-1}\cdot\mathrm{id})\cdot v)\\& = (-1)^{-b'}p^{-b'+2(n-1)}\omega_{\Pi_p}(p^{-1}\cdot\mathrm{id})f(v).\end{align*} $$
It follows that
$\mathrm {Frob}$
acts on
$\mathrm {Ext}^i_{J}(X,\Pi _p)$
via multiplication by the scalar
$(-1)^{-b'}\delta _{\Pi _p} p^{-b'+2(n-1)+w(\xi )}$
.
In general, the Hochschild-Serre spectral sequence has many differentials between non-zero terms. However, focusing on the diagonal defined by
$a+b=0$
, it is possible to compute
$\mathrm {H}^{0}(\overline {\mathrm S}^{\mathrm {ss}} \otimes \, \mathbb F, \overline {{\mathcal {L}}_{\xi }})$
. Recall that
$X^{\mathrm {un}}(J)$
denotes the set of unramified characters of
$J({\mathbb {Q}}_p)$
, i.e. the characters which are trivial on
$J^{\circ }$
. If
$x \in \overline {{\mathbb {Q}}_{\ell }}^{\times }$
is any non-zero scalar, we denote by
$\overline {{\mathbb {Q}}_{\ell }}[x]$
the one-dimensional representation of W where the inertia I acts trivially and
$\mathrm {Frob}$
acts like multiplication by x.
Proposition 5.4. We have an isomorphism of
$\mathbb G(\mathbb A_f^p)\times W$
-representations
$$ \begin{align*}\mathrm{H}^{0}(\overline{\mathrm S}^{\mathrm{ss}} \otimes \, \mathbb F, \overline{{\mathcal{L}}_{\xi}}) \simeq \bigoplus_{\substack{\Pi\in{\mathcal{A}}_{\xi}(I) \\ \Pi_p \in X^{\mathrm{un}}(J)}} \Pi^p \otimes \overline{{\mathbb{Q}}_{\ell}}[\delta_{\Pi_p}p^{w(\xi)}].\end{align*} $$
Proof. The only non-zero term
$F_2^{a,b}$
on the diagonal
$a+b=0$
is
$F_2^{0,0}$
. Since there is no non-zero arrow pointing at nor coming from this term, it is untouched in all the successive pages of the sequence. Therefore we have an isomorphism
Using Proposition 4.14, we also have isomorphisms
$$ \begin{align*} F_2^{0,0} & \simeq \bigoplus_{\Pi\in{\mathcal{A}}_{\xi}(I)} {\mathrm{Hom}}_{J} \left ({\mathrm{H}}_c^{2(n-1)}({\mathcal{M}}^{\mathrm{an}}, \overline{{\mathbb{Q}}_{\ell}})(n-1), \Pi_p\right) \otimes \Pi^p \\ & \simeq \bigoplus_{\Pi\in{\mathcal{A}}_{\xi}(I)} {\mathrm{Hom}}_{J} \left (({\mathrm{c-Ind}}_{J^{\circ}}^J \, \mathbf 1)(n-1), \Pi_p\right) \otimes \Pi^p \\ & \simeq \bigoplus_{\Pi\in{\mathcal{A}}_{\xi}(I)} {\mathrm{Hom}}_{J^{\circ}} \left (\mathbf 1(n-1), \Pi_p{}_{|J^{\circ}}\right) \otimes \Pi^p. \end{align*} $$
Thus, only the automorphic representations
$\Pi \in {\mathcal {A}}_{\xi }(I)$
with
$\Pi _p^{J^{\circ }} \not = 0$
contribute to the sum. Consider such a
$\Pi $
. The irreducible representation
$\Pi _p$
is generated by a
$J^{\circ }$
-invariant vector. Since
$J^{\circ }$
is normal in
$J({\mathbb {Q}}_p)$
, the whole representation
$\Pi _p$
is trivial on
$J^{\circ }$
. Thus, it is an irreducible representation of
$J/J^{\circ } \simeq \mathbb Z$
. Therefore, it is an unramified character. Moreover the W-representation
$V^0_{\Pi } := {\mathrm {Hom}}_{J^{\circ }} \left (\mathbf 1(n-1), \Pi _p\right )$
is one-dimensional and the Frobenius action was described in Proposition 5.3.
5.2 The case
$n = 3,4$
In this section, we assume that
$\theta _{\mathrm {max}}=1$
, i.e.
$n=3$
or
$4$
. Let
$\xi $
be an irreducible finite dimensional algebraic representation of
$\mathbb G$
. The semisimple rank of
$J({\mathbb {Q}}_p)$
is
$1$
, therefore the terms
$F_2^{a,b}$
are zero for
$a>1$
. In particular, the spectral sequence already degenerates on the second page. Since it computes the cohomology of the supersingular locus
$\overline {\mathrm S}^{\mathrm {ss}}$
which is one-dimensional, we also have
$F_2^{0,b} = 0$
for
$b\geq 3$
, and
$F_2^{1,b} = 0$
for
$b\geq 2$
. In Figure 2, we draw the second page
$F_2$
and we write between brackets the complex modulus of the possible eigenvalues of
$\mathrm {Frob}$
on each term under any isomorphism
$\iota :\overline {{\mathbb {Q}}_{\ell }} \simeq \mathbb C$
, as computed in Proposition 5.3.
Remark 5.5. The fact that no eigenvalue of complex modulus
$p^{w(\xi )}$
appears in
$F_2^{0,1}$
nor in
$F_2^{1,1}$
follows from Proposition 4.29, where we proved that
$E_2^{-1,2(n-1)} = 0$
.

Figure 2 The second page
$F_2$
with the complex modulus of possible eigenvalues of
$\mathrm {Frob}$
on each term.
Proposition 5.6. We have
$F_2^{1,1} = 0$
and the eigenspaces of
$\mathrm {Frob}$
on
$F_2^{0,2}$
attached to any eigenvalue of complex modulus
$p^{w(\xi )}$
are zero.
Proof. By the machinery of spectral sequences, there is a
$\mathbb G(\mathbb A_f^p)\times W$
-subspace of
${\mathrm {H}}^2(\overline {\mathrm S}^{\mathrm {ss}} \otimes \, \mathbb F, \overline {{\mathcal {L}}_{\xi }})$
isomorphic to
$F_2^{1,1}$
, and the quotient by this subspace is isomorphic to
$F_2^{0,2}$
. We prove that all eigenvalues of
$\mathrm {Frob}$
on
${\mathrm {H}}^2(\overline {\mathrm S}^{\mathrm {ss}} \otimes \, \mathbb F, \overline {{\mathcal {L}}_{\xi }})$
have complex modulus
$p^{w(\xi )+2}$
. The proposition then readily follows.
We need the Ekedahl-Oort stratification on the supersingular locus of the Shimura variety. Let
$K^p \subset G(\mathbb A_f^p)$
be small enough. In [Reference Vollaard and Wedhorn33] Sections 3.3 and 6.3, the authors define the Ekedahl-Oort stratification on
${\mathcal {M}}_{\mathrm {red}}$
and on
$\overline {\mathrm {S}}_{K^p}^{\mathrm {ss}}$
, respectively, and they are compatible via the p-adic uniformization isomorphism. For
$n=3$
or
$4$
, the stratification on the supersingular locus takes the following form
The stratum
$\overline {\mathrm {S}}_{K^p}^{\mathrm {ss}}[1]$
is closed and zero dimensional, whereas the other stratum
$\overline {\mathrm {S}}_{K^p}^{\mathrm {ss}}[3]$
is open, dense and one dimensional. In particular, we have a Frobenius equivariant isomorphism between the cohomology groups of highest degree
According the [Reference Vollaard and Wedhorn33] Section 5.3, the closed Bruhat-Tits strata
${\mathcal {M}}_{\Lambda }$
and
$\overline {\mathrm {S}}_{K^p,\Lambda ,k}$
also admit an Ekedahl-Oort stratification of a similar form, and we have a decomposition
$$ \begin{align*}\overline{\mathrm{S}}_{K^p}^{\mathrm{ss}}[3] = \bigsqcup_{\substack{1 \leq k \leq s \\ [\Lambda] \in \Gamma_k\backslash \mathcal L^{(1)}}} \overline{\mathrm{S}}_{K^p,\Lambda,k}[3],\end{align*} $$
into a finite disjoint union of open and closed subvarieties (we used the notations of Section 3). As a consequence, we have the following Frobenius equivariant isomorphisms
$$ \begin{align*}\mathrm{H}^{2}_c(\overline{\mathrm{S}}_{K^p}[3] \otimes \, \mathbb F, \overline{{\mathcal{L}}_{\xi}}) \simeq \bigoplus_{\substack{1 \leq k \leq s \\ [\Lambda] \in \Gamma_k\backslash \mathcal L^{(1)}}} \mathrm{H}^{2}_c(\overline{\mathrm{S}}_{K^p,\Lambda,k}[3] \otimes \, \mathbb F, \overline{{\mathcal{L}}_{\xi}}) \simeq \bigoplus_{\substack{1 \leq k \leq s \\ [\Lambda] \in \Gamma_k\backslash \mathcal L^{(1)}}} \mathrm{H}^{2}(\overline{\mathrm{S}}_{K^p,\Lambda,k} \otimes \, \mathbb F, \overline{{\mathcal{L}}_{\xi}})\end{align*} $$
where the last isomorphism follows from the stratification on the closed Bruhat-Tits strata
$\overline {\mathrm {S}}_{K^p,\Lambda ,k}$
. Now, recall that the local system
${\mathcal {L}}_{\xi }$
is given by
It implies that
$\overline {{\mathcal {L}}_{\xi }}$
is pure of weight
$w(\xi )$
. Since the variety
$\overline {\mathrm {S}}_{K^p,\Lambda ,k}$
is smooth and projective, it follows that all the eigenvalues of
$\mathrm {Frob}$
on the cohomology group
$\mathrm {H}^{2}(\overline {\mathrm {S}}_{K^p,\Lambda ,k} \otimes \, \mathbb F, \overline {{\mathcal {L}}_{\xi }})$
have complex modulus
$p^{w(\xi )+2}$
under any isomorphism
$\iota :\overline {{\mathbb {Q}}_{\ell }} \simeq \mathbb C$
. The result follows by taking the limit over
$K^p$
.
In this paragraph, let us compute the term
$$ \begin{align*} F_2^{1,0} & \simeq \bigoplus_{\Pi\in{\mathcal{A}}_{\xi}(I)} \mathrm{Ext}^1_{J} \left ({\mathrm{H}}_c^{2(n-1)}({\mathcal{M}}^{\mathrm{an}},\overline{{\mathbb{Q}}_{\ell}})(n-1), \Pi_p\right) \otimes \Pi^p \\ & \simeq \bigoplus_{\Pi\in{\mathcal{A}}_{\xi}(I)} \mathrm{Ext}^1_{J} \left ({\mathrm{c-Ind}}_{J^{\circ}}^J\,\mathbf 1(n-1), \Pi_p\right) \otimes \Pi^p. \end{align*} $$
Let
$\mathrm {St}_J$
denote the Steinberg representation of
$J({\mathbb {Q}}_p)$
.
Proposition 5.7. Let
$\pi $
be an irreducible smooth representation of
$J({\mathbb {Q}}_p)$
. Then
$$ \begin{align*}\mathrm{Ext}_{J}^1({\mathrm{c-Ind}}_{J^{\circ}}^J\,\mathbf 1,\pi) = \begin{cases} \overline{{\mathbb{Q}}_{\ell}} & \text{if } \exists \chi \in X^{\mathrm{un}}(J), \pi \simeq \chi\cdot\mathrm{St}_J,\\ 0 & \text{otherwise.} \end{cases}\end{align*} $$
In order to prove this proposition, we need a few general facts about restriction of smooth representations to normal subgroups. Let G be a locally profinite group and let H be a closed normal subgroup. If
$(\sigma ,W)$
is a representation of H, for
$g\in G$
we define the representation
$(\sigma ^g,W)$
by
$\sigma ^{g}:h\mapsto \sigma (g^{-1}hg)$
. The representation
$\sigma $
is irreducible if and only if
$\sigma ^g$
is for any (or for all)
$g\in G$
.
Lemma 5.8. Assume that
$\mathrm Z(G)H$
has finite index in G.
-
(1) Let
$\pi $
be a smooth irreducible admissible representation of G. There exists a smooth irreducible representation
$\sigma $
of H, an integer
$r\geq 1$
and
$g_1,\ldots ,g_r \in G$
such that
$$ \begin{align*}\pi_{|H} \simeq \sigma^{g_1} \oplus \ldots \oplus \sigma^{g_r}.\end{align*} $$
Moreover
$r\leq [\mathrm Z(G)H:G]$
, and for any
$g\in G$
there exists some
$1 \leq i \leq r$
such that
$\sigma ^g \simeq \sigma ^{g_i}$
. -
(2) Assume furthermore that
$G/H$
is abelian. Let
$\pi _1$
and
$\pi _2$
be two smooth admissible irreducible representations of G. The three following statements are equivalent.-
–
$(\pi _1)_{|H} \simeq (\pi _2)_{|H}$
. -
– There exists a smooth character
$\chi $
of G which is trivial on H such that
$\pi _2 \simeq \chi \cdot \pi _1$
. -
–
${\mathrm {Hom}}_H(\pi _1,\pi _2) \not = 0$
.
-
-
(3) Assume that
$G/H$
is abelian and that
$[\mathrm Z(G)H:G] = 2$
. Let
$g_0 \in G \setminus \mathrm Z(G)H$
and let
$\pi $
be a smooth admissible irreducible representation of G. If there exists an irreducible representation
$\sigma $
of H such that
$\pi _{|H} \simeq \sigma \oplus \sigma ^{g_0}$
, then
$\sigma \not \simeq \sigma ^{g_0}$
.
Proof. For (1) and (2), we refer to [Reference Renard29] VI.3.2 Proposition. The result there is stated in the context of a p-adic group G with normal subgroup
$H = {}^0G$
such that
$G/{}^0G \simeq \mathbb Z^d$
for some
$d\geq 0$
, but the same arguments work as verbatim in the generality of the lemma. Admissibility of the representations involved is assumed only in order to apply Schur’s lemma, ensuring for instance the existence of central characters of smooth irreducible representations. In particular, if
$G/K$
is at most countable for any open compact subgroup K of G, then it is not necessary to assume admissibility.
Let us prove (3). Assume towards a contradiction that
$\pi _{|H} \simeq \sigma \oplus \sigma ^{g_0}$
and that
$\sigma \simeq \sigma ^{g_0}$
. We build a smooth admissible irreducible representation
$\Pi $
of G such that
$\Pi _{|H} = \sigma $
, which results in a contradiction in regard to (2) since
${\mathrm {Hom}}_H(\Pi ,\pi ) \not = 0$
but
$\Pi _{|H} \not \simeq \pi _{|H}$
. Let
$\chi $
be the central character of
$\pi $
. Then
$\chi _{|\mathrm Z(G) \cap H}$
coincides with the central character of
$\sigma $
. Let W denote the underlying vector space of
$\sigma $
. By hypothesis, there exists a linear automorphism
$f:W\rightarrow W$
such that for every
$h \in H$
and
$w\in W$
,
Let us write
$g_0^2 = z_0h_0$
for some
$z_0 \in \mathrm Z(G)$
and
$h_0 \in H$
. We define
$\varphi := f^2\circ \sigma (h_0)^{-1}$
. Then for all
$h\in H$
and
$w\in W$
, we have
$$ \begin{align*} \varphi(\sigma(h)\cdot w) = f^2(\sigma(h_0^{-1}h)\cdot w) & = f^2(\sigma(h_0^{-1}hh_0)\sigma(h_0^{-1})\cdot w) \\ & = f^2(\sigma(g_0^{-2}hg_0^2)\sigma(h_0^{-1})\cdot w)\\ & = \sigma(h) \circ f^2(\sigma(h_0)^{-1}\cdot w) \\ & = \sigma(h) \circ \varphi(w). \end{align*} $$
Thus
$\varphi :\sigma \xrightarrow {\sim } \sigma $
. By Schur’s lemma we have
$\varphi = \lambda \cdot \mathrm {id}$
for some
$\lambda \in \overline {{\mathbb {Q}}_{\ell }}$
. Up to replacing f by
$(\chi (z_0)\lambda ^{-1})^{1/2}f$
, we may assume that
$\varphi = \chi (z_0)\cdot \mathrm {id}$
, i.e.
$f^2 = \chi (z_0)\sigma (h_0)$
.
We build a G-representation
$\Pi $
on W which extends
$\sigma $
. Let
$g \in G$
and define
$$ \begin{align*}\Pi(g) = \begin{cases} \chi(z)\sigma(h) & \text{if } g = zh \in Z(G)H,\\ \chi(z) f\circ \sigma(h) & \text{if } g = g_0zh \in g_0Z(G)H. \end{cases}\end{align*} $$
Then one may check that
$\Pi $
is a well defined group morphism
$G \rightarrow \mathrm {GL}(W)$
. The fact that it is smooth irreducible and admissible follows from
$\Pi _{|H} \simeq \sigma $
by construction, and it concludes the proof.
We may now move on to the proof of Proposition 5.7.
Proof. First, let us compute
$\mathrm {Ext}_{J^{\circ }}^1(\mathbf 1,\sigma )$
for any irreducible representation
$\sigma $
of
$J^{\circ }$
with trivial central character. Let
$J^1 = \mathrm U(\mathbf V)$
denote the unitary group of
$\mathbf V$
(recall that
$J = \mathrm {GU}(\mathbf V)$
is the group of unitary similitudes). Then
$J^1({\mathbb {Q}}_p)$
is a normal subgroup both of
$J^{\circ }$
and of
$J({\mathbb {Q}}_p)$
. Moreover,
$J^{\circ }/J^1({\mathbb {Q}}_p)$
is isomorphic to the image of the multiplier
$c_{|J^{\circ }}:J^{\circ } \rightarrow \mathbb Z_p^{\times }$
, in particular it is compact and abelian. Thus, we have
Since
$\sigma $
has trivial central character, the
$J^{\circ }$
-action on
$\mathrm {Ext}_{J^1}^1(\mathbf 1,\sigma _{|J^1({\mathbb {Q}}_p)})$
is actually trivial on
$\mathrm Z(J^{\circ })J^1({\mathbb {Q}}_p)$
. Since
${\mathbb {Q}}_{p^2}/{\mathbb {Q}}_p$
is unramified, we actually have
$\mathrm Z(J^{\circ })J^1({\mathbb {Q}}_p) = J^{\circ }$
. Hence,
$J^{\circ }$
acts trivially on
$\mathrm {Ext}_{J^1}^1(\mathbf 1,\sigma _{|J^1({\mathbb {Q}}_p)})$
.
Since
$J^1$
is an algebraic group, we may use Theorem 2 of [Reference Nori and Prasad27], a generalization of a duality theorem of Schneider and Stühler, to finish the computation. Namely, we have
where D denotes the Aubert-Zelevinsky involution in
$J^1({\mathbb {Q}}_p)$
. We note that
$D(\mathbf 1) = \mathrm {St}_{J^1}$
is the Steinberg representation of
$J^1({\mathbb {Q}}_p)$
. Let
$\mathrm {St}_{J^{\circ }}$
denote the representation of
$J^{\circ } = \mathrm Z(J^{\circ })J^1({\mathbb {Q}}_p)$
obtained by letting the centre act trivially on
$\mathrm {St}_{J^1}$
. We have proved that for any irreducible representation
$\sigma $
of
$J^{\circ }$
with trivial central character, we have
$$ \begin{align*}\mathrm{Ext}_{J^{\circ}}^1(\mathbf 1,\sigma) \simeq {\mathrm{Hom}}_{J^1}(\sigma_{|J^1({\mathbb{Q}}_p)},\mathrm{St}_{J^1})^{\vee} \simeq \begin{cases} \overline{{\mathbb{Q}}_{\ell}} & \text{if } \sigma \simeq \mathrm{St}_{J^{\circ}}, \\ 0 & \text{else}. \end{cases}\end{align*} $$
Now, let
$\pi $
be an irreducible representation of
$J({\mathbb {Q}}_p)$
. By Frobenius reciprocity we have
By functoriality of
$\mathrm {Ext}$
, we have
$\mathrm {Ext}_{J^{\circ }}^1(\mathbf 1,\pi _{|J^{\circ }}) = 0$
if the central character of
$\pi $
is not unramified. Thus, let us now assume that the central character is unramified. By the above,
$\mathrm {Ext}_{J}^1({\mathrm {c-Ind}}_{J^{\circ }}^J\,\mathbf 1,\pi )$
is non zero if and only if
$\pi _{|J^{\circ }}$
contains
$\mathrm {St}_{J^{\circ }}$
. Besides, as will be proved in Lemma 5.9, we have
$(\mathrm {St}_J)_{|J^{\circ }} = \mathrm {St}_{J^{\circ }}$
. Thus, Lemma 5.8 (2) implies that
$\pi _{|J^{\circ }}$
contains
$\mathrm {St}_{J^{\circ }}$
if and only if
$\pi \simeq \chi \cdot \mathrm {St}_J$
for some unramified character
$\chi \in X^{\mathrm {un}}(J)$
. Since
$\mathrm {Ext}_{J}^1({\mathrm {c-Ind}}_{J^{\circ }}^J\,\mathbf 1,\chi \cdot \mathrm {St}_J) \simeq \overline {{\mathbb {Q}}_{\ell }}$
, we are done.
Lemma 5.9. We have
$(\mathrm {St}_{J})_{|J^{\circ }} \simeq \mathrm {St}_{J^{\circ }}$
.
Proof. Since the Steinberg representation
$\mathrm {St}_J$
has trivial central character, it is enough to prove that
$(\mathrm {St}_{J})_{|J^1({\mathbb {Q}}_p)} \simeq \mathrm {St}_{J^1}$
. The Steinberg representation
$\mathrm {St}_J$
(resp.
$\mathrm {St}_{J^1}$
) can be characterized as the unique irreducible representation
$\rho $
of
$J({\mathbb {Q}}_p)$
(resp. of
$J^1({\mathbb {Q}}_p)$
) such that
$\mathrm {Ext}^2_{J}(\mathbf 1,\rho ) \not = 0$
(resp.
$\mathrm {Ext}^1_{J^1}(\mathbf 1,\rho ) \not = 0$
). The gap between the degrees of the
$\mathrm {Ext}$
groups for
$J({\mathbb {Q}}_p)$
and for
$J^1({\mathbb {Q}}_p)$
is explained by the non-compactness of the centre of
$J({\mathbb {Q}}_p)$
. By [Reference Nori and Prasad27] Proposition 3.4 we have
where the
$\mathrm {Ext}$
groups on the right-hand side are taken in the category of smooth representations of
$J({\mathbb {Q}}_p)$
on which the centre acts trivially. Equivalently, this is the category of smooth representations of
$J({\mathbb {Q}}_p)/\mathrm Z(J({\mathbb {Q}}_p))$
. Consider the normal subgroup
$\mathrm Z(J({\mathbb {Q}}_p))J^1({\mathbb {Q}}_p)/\mathrm Z(J({\mathbb {Q}}_p)) \simeq J^1({\mathbb {Q}}_p)/\mathrm Z(J({\mathbb {Q}}_p))\cap J^1({\mathbb {Q}}_p) = J^1({\mathbb {Q}}_p) / \mathrm Z(J^1({\mathbb {Q}}_p))$
. The quotient group is isomorphic to
$J({\mathbb {Q}}_p)/\mathrm Z(J({\mathbb {Q}}_p))J^1({\mathbb {Q}}_p)$
, which is trivial if n is odd and
$\mathbb Z/2\mathbb Z$
is n is even. Thus, we have
$$ \begin{align*} \mathrm{Ext}_{J,\mathbf 1}^{\bullet}(\mathbf 1,\mathrm{St}_J) & \simeq \mathrm{Ext}_{J/\mathrm Z(J)}^{\bullet}(\mathbf 1,\mathrm{St}_J) \\ & \simeq \mathrm{Ext}_{J^1/\mathrm Z(J^1)}^{\bullet}(\mathbf 1,(\mathrm{St}_J)_{|J^1({\mathbb{Q}}_p)})^{J({\mathbb{Q}}_p)/\mathrm Z(J({\mathbb{Q}}_p))J^1({\mathbb{Q}}_p)} \\ & \simeq \mathrm{Ext}_{J^1,\mathbf 1}^{\bullet}(\mathbf 1,(\mathrm{St}_J)_{|J^1({\mathbb{Q}}_p)})^{J({\mathbb{Q}}_p)/\mathrm Z(J({\mathbb{Q}}_p))J^1({\mathbb{Q}}_p)} \\ & \simeq \mathrm{Ext}_{J^1}^{\bullet}(\mathbf 1,(\mathrm{St}_J)_{|J^1({\mathbb{Q}}_p)})^{J({\mathbb{Q}}_p)/\mathrm Z(J({\mathbb{Q}}_p))J^1({\mathbb{Q}}_p)}, \end{align*} $$
the last line following from the same Proposition 3.4 as above, but applied to
$J^1({\mathbb {Q}}_p)$
. In [Reference Fargues14] Lemme 4.4.12, it is explained that
$\mathrm {Ext}^i_{J^1}(\pi _1,\pi _2)$
vanishes for any smooth representations
$\pi _1,\pi _2$
of
$J^1({\mathbb {Q}}_p)$
as soon as i is greater than the semisimple rank of
$J({\mathbb {Q}}_p)$
, that is
$1$
in our case. Hence,
$\mathrm {Ext}^2_{J,\mathbf 1}(\mathbf 1,\mathrm {St}_J) = 0$
and we have
In particular, the right-hand side is non zero, which proves that
$(\mathrm {St}_J)_{|J^1({\mathbb {Q}}_p)}$
contains
$\mathrm {St}_{J^1}$
. It remains to justify that
$(\mathrm {St}_J)_{|J^1({\mathbb {Q}}_p)}$
is irreducible. If n is odd so that
$\mathrm Z(J({\mathbb {Q}}_p))J^1({\mathbb {Q}}_p) = J({\mathbb {Q}}_p)$
, it is automatic. If n is even, in virtue of point (3) of Lemma 5.8, it remains to justify that for any
$g\in J({\mathbb {Q}}_p)$
we have
$\mathrm {St}_{J^1}^g \simeq \mathrm {St}_{J^1}$
. This follows from the following computation
We may now compute the cohomology of the supersingular locus. Recall the supercuspidal representation
$\tau _1$
of the Levi complement
$M_1 \subset J({\mathbb {Q}}_p)$
that we defined in Section 4.2. When
$n=3$
or
$4$
, we actually have
$M_1 = J({\mathbb {Q}}_p)$
and
is a supercuspidal representation of
$J({\mathbb {Q}}_p)$
, where
${\mathrm {N}}_J(J_1) = \mathrm {Z}(J({\mathbb {Q}}_p))J_1$
(see Proposition 1.14) and
$\widetilde {\rho _{\Delta _2}}$
is the inflation of
$\rho _{\Delta _2}$
to
${\mathrm {N}}_J(J_1)$
.
Theorem 5.10. Assume that
$n=3$
or
$4$
. There are
$\mathbb G(\mathbb A_f^p) \times W$
-equivariant isomorphisms
$$ \begin{align*} \mathrm{H}^{0}(\overline{\mathrm S}^{\mathrm{ss}} \otimes \, \mathbb F, \overline{{\mathcal{L}}_{\xi}}) & \simeq \bigoplus_{\substack{\Pi\in{\mathcal{A}}_{\xi}(I) \\ \Pi_p \in X^{\mathrm{un}}(J)}} \Pi^p \otimes \overline{{\mathbb{Q}}_{\ell}}[\delta_{\Pi_p}p^{w(\xi)}], \\ \mathrm{H}^{1}(\overline{\mathrm S}^{\mathrm{ss}} \otimes \, \mathbb F, \overline{{\mathcal{L}}_{\xi}}) & \simeq \bigoplus_{\substack{\Pi\in{\mathcal{A}}_{\xi}(I) \\ \exists \chi \in X^{\mathrm{un}}(J),\\ \Pi_p = \chi\cdot\mathrm{St}_J}} \Pi^p \otimes \overline{{\mathbb{Q}}_{\ell}}[\delta_{\Pi_p}p^{w(\xi)}] \oplus \bigoplus_{\substack{\Pi\in{\mathcal{A}}_{\xi}(I) \\ \exists \chi \in X^{\mathrm{un}}(J),\\ \Pi_p = \chi\cdot\tau_1}} \Pi^p \otimes \overline{{\mathbb{Q}}_{\ell}}[-\delta_{\Pi_p}p^{w(\xi)+1}],\\ \mathrm{H}^{2}(\overline{\mathrm S}^{\mathrm{ss}} \otimes \, \mathbb F, \overline{{\mathcal{L}}_{\xi}}) & \simeq \bigoplus_{\substack{\Pi\in{\mathcal{A}}_{\xi}(I) \\ \Pi_p^{J_1}\not = 0}} \Pi^p \otimes \overline{{\mathbb{Q}}_{\ell}}[\delta_{\Pi_p}p^{w(\xi)+2}]. \end{align*} $$
Proof. The statement regarding
$\mathrm {H}^{0}(\overline {\mathrm S}^{\mathrm {ss}} \otimes \, \mathbb F, \overline {{\mathcal {L}}_{\xi }})$
was already proved in Proposition 5.4. Let us prove the statement regarding
$\mathrm {H}^{2}(\overline {\mathrm S}^{\mathrm {ss}} \otimes \, \mathbb F, \overline {{\mathcal {L}}_{\xi }})$
first. By Proposition 5.6, we have
$$ \begin{align*}\mathrm{H}^{2}(\overline{\mathrm S}^{\mathrm{ss}} \otimes \, \mathbb F, \overline{{\mathcal{L}}_{\xi}}) \simeq F_2^{0,2} \simeq \bigoplus_{\Pi\in{\mathcal{A}}_{\xi}(I)} {\mathrm{Hom}}_{J} \left (E_2^{0,2(n-2)}(n-1), \Pi_p\right) \otimes \Pi^p.\end{align*} $$
The term
$E_2^{0,2(n-2)}$
is isomorphic to
${\mathrm {c-Ind}}_{J_1}^{J}\,\mathbf 1$
. Therefore, by Frobenius reciprocity we have
Hence, only the automorphic representations
$\Pi \in {\mathcal {A}}_{\xi }(I)$
with
$\Pi _p^{J_1} \not = 0$
contribute to
$F_2^{0,2}$
. Such a representation
$\Pi _p$
is said to be
$J_1$
-spherical. Since
$J_1$
is a special maximal compact subgroup of
$J({\mathbb {Q}}_p)$
, according to [Reference Mınguez and Ngô23] 2.1, we have
$\dim (\pi ^{J_1}) = 1$
for every smooth irreducible
$J_1$
-spherical representation
$\pi $
of
$J({\mathbb {Q}}_p)$
. The result follows using Proposition 5.3 to describe the eigenvalues of
$\mathrm {Frob}$
.
We now prove the statement regarding
$\mathrm {H}^{1}(\overline {\mathrm S}^{\mathrm {ss}} \otimes \, \mathbb F, \overline {{\mathcal {L}}_{\xi }})$
. By the Hochschild-Serre spectral sequence, there exists a
$G(\mathbb A_f^p)\times W$
-subspace
$V'$
of this cohomology group such that
We have
$$ \begin{align*} F_2^{1,0} & \simeq \bigoplus_{\Pi\in{\mathcal{A}}_{\xi}(I)} \mathrm{Ext}^1_{J} \left ({\mathrm{H}}_c^{2(n-1)}({\mathcal{M}}^{\mathrm{an}},\overline{{\mathbb{Q}}_{\ell}})(n-1), \Pi_p\right) \otimes \Pi^p \\ & \simeq \bigoplus_{\Pi\in{\mathcal{A}}_{\xi}(I)} \mathrm{Ext}^1_{J} \left ({\mathrm{c-Ind}}_{J^{\circ}}^J\,\mathbf 1(n-1), \Pi_p\right) \otimes \Pi^p\\ & \simeq \bigoplus_{\substack{\Pi\in{\mathcal{A}}_{\xi}(I) \\ \exists \chi \in X^{\mathrm{un}}(J),\\ \Pi_p = \chi\cdot\mathrm{St}_J}} \Pi^p \otimes \overline{{\mathbb{Q}}_{\ell}}[\delta_{\Pi_p}p^{w(\xi)}], \end{align*} $$
according to Proposition 5.7, and with the eigenvalues of
$\mathrm {Frob}$
being given by Proposition 5.3. On the other hand, we have
$$ \begin{align*}F_2^{0,1} \simeq \bigoplus_{\Pi\in{\mathcal{A}}_{\xi}(I)} {\mathrm{Hom}}_{J} \left (E_2^{0,2(n-1)-1}(n-1), \Pi_p\right) \otimes \Pi^p.\end{align*} $$
By Proposition 5.3,
$\mathrm {Frob}$
acts on a summand of
$F_2^{0,1}$
by the scalar
$-\delta _{\Pi _p}p^{w(\xi )+1}$
. Since
$\mathrm {Frob}_{|V'}$
has no eigenvalue of complex modulus
$p^{w(\xi )+1}$
, the quotient actually splits so that
$F_2^{0,1}$
is naturally a subspace of
$\mathrm {H}^{1}(\overline {\mathrm S}^{\mathrm {ss}} \otimes \, \mathbb F, \overline {{\mathcal {L}}_{\xi }})$
. It remains to compute it. We have
Hence, we have an isomorphism
$$ \begin{align*} F_2^{0,1} & \simeq \bigoplus_{\Pi\in{\mathcal{A}}_{\xi}(I)} {\mathrm{Hom}}_{J} \left ({\mathrm{c-Ind}}_{J_1}^{J}\,\rho_{\Delta_2}(n-1), \Pi_p\right) \otimes \Pi^p\\ & \simeq \bigoplus_{\Pi\in{\mathcal{A}}_{\xi}(I)} {\mathrm{Hom}}_{J_1} \left (\rho_{\Delta_2}(n-1), \Pi_p{}_{|J_1}\right) \otimes \Pi^p. \end{align*} $$
It follows that only the automorphic representations
$\Pi \in {\mathcal {A}}_{\xi }(I)$
whose p-component
$\Pi _p$
contains the supercuspidal representation
$\rho _{\Delta _2}$
when restricted to
$J_1$
, contribute to the sum. According to Proposition 4.21, such
$\Pi _p$
are precisely those of the form
$\chi \cdot \tau _1$
for some
$\chi \in X^{\mathrm {un}}(J)$
. By the Mackey formula we have
$$ \begin{align*} {\mathrm{Hom}}_{J} \left ({\mathrm{c-Ind}}_{J_1}^{J}\,\rho_{\Delta_2}, \chi\cdot\tau_1\right)& \simeq {\mathrm{Hom}}_{J_1} \left (\rho_{\Delta_2}, \tau_1{}_{|J_1}\right)\\ & \simeq {\mathrm{Hom}}_{J_1} \left (\rho_{\Delta_2}, ({\mathrm{c-Ind}}_{{\mathrm{N}}_J(J_1)}^{J} \, \widetilde{\rho_{\Delta_2}})_{|J_1}\right) \\ & \simeq \bigoplus_{h\in J_1 \backslash J({\mathbb{Q}}_p) / {\mathrm{N}}_J(J_1)} {\mathrm{Hom}}_{J_1\cap {}^h{\mathrm{N}}_J(J_1)}(\rho_{\Delta_2},{}^h\widetilde{\rho_{\Delta_2}}), \end{align*} $$
where in the last formula we omitted to write the restrictions to
$J_1\cap {}^h{\mathrm {N}}_J(J_1)$
. We used the fact that
$\chi _{|J_1}$
is trivial. Since
$\widetilde {\rho _{\Delta _2}}$
is just the inflation of
$\rho _{\Delta _2}$
from
$J_1$
to
${\mathrm {N}}_J(J_1) = \mathrm {Z}(J({\mathbb {Q}}_p))J_1$
, we have a bijection
Now,
${\mathrm {N}}_J(J_1)$
contains the centre, is compact modulo the centre, and
$\tau _1 = {\mathrm {c-Ind}}_{{\mathrm {N}}_J(J_1)}^{J}\, \widetilde {\rho _{\Delta _2}}$
is supercuspidal. It follows that an element
$h\in J({\mathbb {Q}}_p)$
intertwines
$\widetilde {\rho _{\Delta _2}}$
if and only if
$h\in {\mathrm {N}}_J(J_1)$
(see, for instance, [Reference Bushnell and Henniart9] 11.4 Theorem along with Remarks 1 and 2). Therefore, only the trivial double coset contributes to the sum and we have
To sum up, we have
$$ \begin{align*}F_2^{0,1} \simeq \bigoplus_{\substack{\Pi\in{\mathcal{A}}_{\xi}(I) \\ \exists \chi \in X^{\mathrm{un}}(J),\\ \Pi_p = \chi\cdot\tau_1}} \Pi^p \otimes \overline{{\mathbb{Q}}_{\ell}}[-\delta_{\Pi_p}p^{w(\xi)+1}].\end{align*} $$
This concludes the proof.
Competing interests
The author declares none.
Data availability statement
Data availability is not applicable to this article as no new data were created or analysed in this study.











