Introduction
In the 2000s, several European countries implemented quota systems to increase female representation in Parliament. This led to various questions in the literature regarding the impact of quotas on politics. Scholars have examined whether quotas enhance female representation (Kittilson, Reference Kittilson2005), political engagement (Clayton, Reference Clayton2015) and feelings of legitimacy (Dahlerup, Reference Dahlerup2012). Additionally, the debates surrounding quotas may have raised citizen awareness of politics more broadly (Atkeson, Reference Atkeson2003). If this were the case, such public discussions could act as an ‘attention‐raising event’ (Hinojosa & Kittilson, Reference Hinojosa and Kittilson2020) that influences not only political participation but also engagement (Kittilson, Reference Kittilson2005; Kittilson & Schwindt‐Bayer, Reference Kittilson and Schwindt‐Bayer2012; Zetterberg, Reference Zetterberg and Dahlerup2012). Consequently, one possible impact of gender quotas is their potential to enhance political knowledge. Moreover, decades of research continue to show persistent gender gaps in political knowledge (Carpini & Keeter, Reference Carpini and Keeter1996; Dassonneville & McAllister, Reference Dassonneville and McAllister2018; Fraile, Reference Fraile2014; Fraile & Gomez, Reference Fraile and Gomez2017; Verba et al., Reference Verba, Burns and Schlozman1997; Wolbrecht & Campbell, Reference Wolbrecht and Campbell2007). If debates around gender quotas enhance political awareness, they may have the potential to increase knowledge, particularly among women, thereby reducing the gender gap. Accordingly, in this study, I investigate how the implementation of quotas as an institutional change affects the gender gap in political knowledge among the general public in Western European countries.
Currently, there is no established mechanism linking gender quotas and political knowledge. Below, I present and examine one potential mechanism – gender quotas as attention‐raising events. Introducing quotas could serve as an attention‐raising event that enhances women's attention and information acquisition (Atkeson, Reference Atkeson2003; Atkeson & Maestas, Reference Atkeson and Maestas2012). This increase in awareness could be driven by perceived improvements in governance quality (Barnes & Córdova, Reference Barnes and Córdova2016), increased female representation in legislatures (Coffé & Reiser, Reference Coffé and Reiser2021) and enhanced political participation and engagement (Beauregard, Reference Beauregard2018; Hinojosa et al., Reference Hinojosa, Fridkin and Kittilson2017). Consequently, increases in attention and information acquisition could incentivize women to learn more about politics, thereby reducing the gender gap in political knowledge. On the other hand, it is possible that the implementation of quotas leads to an ‘apathy’ effect, where women's level of attention remains unchanged, resulting in an unaltered gender gap in political knowledge. Of course, quotas could potentially decrease political engagement among women (Clayton, Reference Clayton2015; Kerevel & Atkeson, Reference Kerevel and Atkeson2017) and fail to bring about changes in gender stereotypes and symbolic representation (Clayton, Reference Clayton2018). In any event, it is precisely the variation in quota implementation throughout Western Europe that affords leverage to examine how their introduction affects the gender gap in political knowledge.
In this paper, I propose a new design that advances the current empirical strategies on the topic: the (quasi) exogenous shock caused by the introduction of gender quotas. The introduction of these quotas serves as an attention‐raising event, garnering significant attention in news media and often requiring extensive legislative measures for enactment.Footnote 1 Consequently, countries that have implemented gender quotas are expected to witness a reduction in the gender gap in political knowledge. Additionally, I propose a Bayesian empirical design, which is better suited than conventional frequentist techniques for handling the hierarchical data structure inherent in the analysis. This design allows for the assessment of predicted probabilities of the variables of interest based on their posterior distributions, enabling control for potential heterogeneity arising from different countries, years and survey questions within the dataset.
I leveraged data from 1992 to 2018 for 12 countries, expanding the time series cross‐sectional (TSCS) approach in Beauregard (Reference Beauregard2017).Footnote 2 Quotas were implemented for half of the sample in different years, while the rest did not. Using data from the Eurobarometer survey series, I fit a hierarchical model on the respondents' answers to knowledge questions. By employing the same set of questions across all countries in the sample, my analysis avoids potential biases that may arise from using different questionnaires for each country (Fortin‐Rittberger, Reference Fortin‐Rittberger2016). Unlike previous research that examines various forms of political engagement, such as demonstrations, boycotts and petitions (Beauregard, Reference Beauregard2017), my focus is on a specific outcome variable: political knowledge. I examined both the cross‐country and within‐country effects of implementing legislative gender quotas on the gender gap in political knowledge (Beauregard, Reference Beauregard2017). This approach builds upon previous studies that solely utilize cross‐sectional data (Kittilson & Schwindt‐Bayer, Reference Kittilson and Schwindt‐Bayer2012; Zetterberg, Reference Zetterberg2009). The results indicate that the introduction of gender quotas has a positive impact on the gender gap in political knowledge among younger individuals, while the effect becomes statistically insignificant for older citizens.
Political knowledge, socialization and gender quotas
People acquire political knowledge through various sources and information channels throughout their lives. Political discourses from elites, interactions within their social networks and representation in Parliament all contribute to individuals' political knowledge (Djupe et al., Reference Djupe, Mcclurg and Sokhey2018; Dassonneville & McAllister, Reference Dassonneville and McAllister2018; Zaller, Reference Zaller1992). In this study, political knowledge is defined as respondents' understanding of general political facts, such as the European Union member countries or the European Parliament's President (Barabas et al., Reference Barabas, Jerit, Pollock and Rainey2014; Carpini & Keeter, Reference Carpini and Keeter1996). Events, both political and non‐political, can influence the acquisition of political information. The contextual cue theory suggests that underrepresented groups, such as women, may face psychological and systemic barriers to political participation in the presence of predominantly white male governments (Hansen, Reference Hansen1997).
Certain events, known as attention‐raising events, can have a strong impact on awareness and attention (Hinojosa & Kittilson, Reference Hinojosa and Kittilson2020). Catastrophic events, for instance, can significantly influence information acquisition (Atkeson & Maestas, Reference Atkeson and Maestas2012). Additionally, political interest, although generally stable over time, can be affected by specific events that increase salience. Notably, increasing political salience through greater female representation has been shown to reduce the gender gap in political knowledge among newly eligible voters (Dassonneville & McAllister, Reference Dassonneville and McAllister2018). Moreover, attention to political facts can enhance political knowledge. Television news consumption, for instance, has been found to reduce the knowledge gender gap (Kwak, Reference Kwak1999). Similarly, knowledge of the actual levels of descriptive representation, particularly when they are increasing over time, can positively impact political knowledge (Coffé & Reiser, Reference Coffé and Reiser2021; Hinojosa et al., Reference Hinojosa, Fridkin and Kittilson2017). However, it is worth noting that an increase in attention and descriptive representation may not always have a positive effect on political knowledge. Field experiments conducted in Lesotho suggest that affirmative action measures aimed at increasing descriptive representation among women have either no effect or a negative effect on women's political engagement, failing to reduce gender biases (Clayton, Reference Clayton2015, Reference Clayton2018).
There are significant genderFootnote 3 differences in political knowledge levels, with women generally having lower levels of political knowledge compared to men (Carpini & Keeter, Reference Carpini and Keeter1996; Dassonneville and McAllister, Reference Dassonneville and McAllister2018; Wolbrecht & Campbell, Reference Wolbrecht and Campbell2007). These differences persist over time and can be attributed to socialization effects, which are particularly influential (Carpini & Keeter, Reference Carpini and Keeter1996; Fraile, Reference Fraile2014; Fraile and Gomez, Reference Fraile and Gomez2017; Jennings, Reference Jennings1996; Verba et al., Reference Verba, Burns and Schlozman1997). It is worth noting that the measurement of political knowledge questions may exhibit gender bias. The wording of survey questions designed to assess political knowledge tends to focus more on topics that are of greater interest to men than women. This potential bias in question formulation could contribute to the observed gender gap in political knowledge rather than a genuine disparity in knowledge levels (Barabas et al., Reference Barabas, Jerit, Pollock and Rainey2014; Fortin‐Rittberger, Reference Fortin‐Rittberger2020; Kraft & Dolan, Reference Kraft and Dolan2023; Mondak & Anderson, Reference Mondak and Anderson2004; Pietryka & MacIntosh, Reference Pietryka and MacIntosh2013).
There are several potential reasons for the gender differences in political knowledge. Women may face higher costs in acquiring political information, have less motivation to seek political knowledge and exhibit different patterns of knowledge acquisition due to variations in political interest compared to men (Dolan & Hansen, Reference Dolan and Hansen2020). Women generally display lower levels of political interest and awareness compared to men, as evident in their lower political engagement and information acquisition (Verba et al., Reference Verba, Burns and Schlozman1997). This gender difference in political knowledge is partially attributed to disparities in education between genders. Additionally, it is influenced by gendered patterns of information acquisition, particularly through mass media channels, such as newspapers (McLeod et al., Reference McLeod, Scheufele and Moy1999). However, the presence of female candidates in politics has a positive effect on reducing the gender disparity in information acquisition. In states with competitive female candidates, women's political engagement increases (Atkeson, Reference Atkeson2003). The representation of women in Congress, state governments and the Senate also leads to increased political knowledge among women in the American context (Fridkin & Kenney, Reference Fridkin and Kenney2014; Wolak, Reference Wolak2020). Additionally, women exhibit higher levels of knowledge when asked questions specifically about women in politics (Dolan & Hansen, Reference Dolan and Hansen2020). Furthermore, the economic circumstances of women's families play a role in explaining the increase in political awareness among young women (Verba et al., Reference Verba, Burns and Schlozman1997).
The socialization process plays a crucial role in shaping information acquisition not only during youth but also throughout one's lifetime (Atkeson, Reference Atkeson2003; Verba et al., Reference Verba, Burns and Schlozman1997). Political attitudes are often formed during adolescence and tend to remain relatively stable over time (Hooghe, Reference Hooghe2004; Jennings, Reference Jennings1996). When young women are exposed to female role models, particularly viable candidates, it significantly enhances their political engagement (D. E. Campbell & Wolbrecht, Reference Campbell and Wolbrecht2006, Reference Campbell and Wolbrecht2020; Wolbrecht & Campbell, Reference Wolbrecht and Campbell2017). Furthermore, the gender gap in political knowledge is either negligible or minimal among young women and men, but it tends to widen substantially with age (Fraile, Reference Fraile2014; Ferrín et al., Reference Ferrín, Fraile and García‐Albacete2019; Pereira et al., Reference Pereira, Fraile and Rubal2015), highlighting the influential role of socialization in information acquisition. Cohort effects on socialization can be explained by the collective experiences of young individuals during their initial participatory elections, which shape their political awareness and opinions (Smets & Neundorf, Reference Smets and Neundorf2014). Evidence from Dassonneville and McAllister (Reference Dassonneville and McAllister2018) supports the political socialization theory, showing that the role model effect significantly influences information acquisition patterns, particularly for young women. Another example of socialization effects is observed in the developmental theory of turnout, where the primary determinants of young voters' behaviour are their parents' political orientation and socioeconomic resources (Plutzer, Reference Plutzer2002). Recent research indicates that political socialization is gendered from an early age. The ‘gendered political socialization’ framework demonstrates that children develop the perception of politics as a male‐dominated domain at a young age, and these gendered perceptions, which hinder girls' aspirations, tend to persist throughout their lives (Bos et al., Reference Bos, Greenlee, Holman, Oxley and Lay2022).
One factor that impacts attention differently for women and men, thus acting as an attention‐raising event, is the increased visibility of women in the political arena. It is important to note that attention‐raising effects vary across different age groups. One effective method to enhance the visibility of women candidates is through the implementation of gender quotas, which not only promote descriptive representation but also amplify the visibility of women. The introduction of legislative quotas typically attracts significant media coverage, with newspapers and news channels extensively reporting on the process.Footnote 4 Additionally, research suggests that the population possesses knowledge about electoral rules (Karp, Reference Karp2006), and the media plays a significant role in shaping their level of knowledge and information (Banducci & Karp, Reference Banducci and Karp2003). Therefore, when electoral rules undergo changes, such as the introduction of quotas, people become informed about these changes as part of their overall understanding of the rules. Quotas are electoral rules designed to increase the representation of minority groups in government bodies, based on factors such as regional, gender, ethnic, linguistic or religious cleavages. In this analysis, the focus is specifically on legislative gender quotas. According to the International IDEA project,Footnote 5 there are three primary types of gender quotas: (1) reserved seats (constitutional and/or legislative), (2) legal candidate quotas (constitutional and/or legislative) and (3) political party quotas (voluntary).
Gender quotas serve as attention‐raising events that have an impact on symbolic representation. Symbolic representation encompasses how the presence of legislators shapes the beliefs and attitudes held by both elites and the general public (Dahlerup, Reference Dahlerup2012; Pitkin, Reference Pitkin1967). The implementation of quota policies can influence symbolic representation by enhancing citizens' perceptions of fairness and legitimacy within the political system. Additionally, quotas contribute to empowering women, promoting democratic legitimacy, and fostering equality (Clayton et al., Reference Clayton, O'Brien and Piscopo2019; Dahlerup, Reference Dahlerup2012; Hinojosa and Kittilson, Reference Hinojosa and Kittilson2020; Stauffer, Reference Stauffer2021), thus stimulating their political engagement (Beauregard, Reference Beauregard2017; Clayton, Reference Clayton2015; Kittilson & Schwindt‐Bayer, Reference Kittilson and Schwindt‐Bayer2012; Wolbrecht & Campbell, Reference Wolbrecht and Campbell2007). Moreover, gender quotas play a role in increasing symbolic representation (Meier, Reference Meier and Dahlerup2012b), particularly by influencing political interest and attitudes towards the legislature and political parties (Zetterberg, Reference Zetterberg and Dahlerup2012). Furthermore, symbolic representation is closely linked to political knowledge. A more equitable political landscape fosters higher levels of political engagement and interest among women, thereby reducing the gender gap in knowledge (Espírito‐Santo & Verge, Reference Espírito‐Santo and Verge2017; Lombardo & Meier, Reference Lombardo and Meier2019; Meier & Verge, Reference Meier and Verge2017; Verge et al., Reference Verge, Wiesehomeier and Espírito‐Santo2020). Lastly, it is important to note that attitudes are more susceptible to change during younger ages. Consequently, the impact of increased visibility will be more pronounced among younger individuals, particularly young women. Notably, the exposure to female political leaders is significant as it positively influences the future political aspirations of adolescent girls (D. E. Campbell & Wolbrecht, Reference Campbell and Wolbrecht2006; Wolbrecht & Campbell, Reference Wolbrecht and Campbell2007). Moreover, it is not solely the presence of female leaders that holds importance but also their performance in the political arena (Arvate et al., Reference Arvate, Firpo and Pieri2021).
Expectations
Here, I examine the impact of an institutional change on the gender gap in political knowledge. I propose that this institutional change, specifically the implementation of gender quotas, will act as an attention‐raising effect, leading to increased political participation (Beauregard, Reference Beauregard2017; Hinojosa & Kittilson, Reference Hinojosa and Kittilson2020) and, importantly for this study, higher levels of political knowledge. I define an attention‐raising event as any event that increases the level of attention that citizens pay to politics and its relative salience, thus affecting how much people know about politics. Such an increase in awareness can be due to a variety of factors, such as perceived improvement in quality (Barnes & Córdova, Reference Barnes and Córdova2016), enhanced political engagement (Beauregard, Reference Beauregard2018) and, crucial to this study, institutional change.Footnote 6 This attention‐raising effect is expected to have a more pronounced impact on women (Dolan & Hansen, Reference Dolan and Hansen2020; Wolak, Reference Wolak2020), thereby reducing the gender gap in knowledge.Footnote 7 Additionally, the attention‐raising effect is anticipated to be stronger among younger women due to the heightened influence of political socialization during adolescence (Dassonneville & McAllister, Reference Dassonneville and McAllister2018).
Individuals acquire political information based on their motivation to stay informed and their existing level of awareness. This is significant because knowledge levels and information acquisition play a crucial role in shaping voting behaviours. Studies have consistently found gender disparities in political knowledge, with women generally exhibiting lower levels of knowledge compared to men (Preece, Reference Preece2016; Atkeson & Rapoport, Reference Atkeson and Rapoport2003; Verba et al., Reference Verba, Burns and Schlozman1997). Therefore, if there are changes in intrinsic motivation or awareness levels, we can expect corresponding changes in information levels, either for both genders or more prominently for one gender over the other.Footnote 8 Notably, specific events can significantly impact awareness, such as catastrophic events (Atkeson & Maestas, Reference Atkeson and Maestas2012) or, in a broader sense, attention‐raising events. One example of such an awareness‐raising event is the implementation of gender quotas.
To further ground the proposed attention‐raising event argument, I present two detailed examples: Portugal and Belgium. In Portugal, the first precondition for implementing a gender quota law was the 1997 revision of the Portuguese Constitution, which was brought by parties and Members of Parliament. Following the constitutional reform, the first gender quota bill was proposed in 1998 but was swiftly rejected. Between 1998 and 2006, multiple further attempts were rejected. In 2006, a new bill was proposed, and the first draft was passed in Parliament. However, the president then vetoed it; the draft went back to Parliament, which amended it. It eventually was passed and became the 2006 Parity Law. When the law was first vetoed, there was a lot of media attention surrounding it. NGOs, who did not have a seat at the table during the proceedings of drafting the law, were particularly vocal and sent various protest statements to the media.Footnote 9 Portugal is also an example of a top‐down process for adopting gender quotas:
[I]t is likely that transnational actors, along with some influential women within parties, are the (f)actors that matter the most for convincing party leaders – the most visible face of all proposals – to be more proactive in gender equality issues. The revision of the constitution was also crucial. (Espírito‐Santo, Reference Espírito‐Santo, Lépinard and Rubio‐Marín2018, p. 232)
The second detailed example is Belgium. Here, the process of adopting gender quotas in 1994 was less contentious than the process in Portugal since the country already had different forms of minority quotas. However, the proposed bill was scrutinized by the Council of State, which garnered media attention. The 1994 law only proposed a 33 per cent requirement, and the law went through further changes, which led to a much stronger quota proposition, requiring 50 per cent of women on lists. At the time of the 2002 quota law proposal, there was strong interest and attention from supranational bodies, such as the EU and UN. This, associated with the intense parliamentary debate during the law adoption, garnered even more media attention (Meier, Reference Meier2012a). Similarly to Portugal, the adoption of the gender quota law in Belgium was also a top‐down process:
The first legislated candidate quotas in 1994 were based on a compromise negotiated by the party presidents of the coalition partners at the time since no compromise could be reached within the government attempting to prepare the bill. Such a partitocratic initiative was no longer necessary for the 2002 successor law. Still, the debates in Parliament were among the most intense of any parliamentary debates on gender quotas. (Meier, Reference Meier, Lépinard and Rubio‐Marín2018, pp. 56–57)
Gender quotas have a profound impact on the symbolic representation of women, serving as a catalyst to raise awareness about ongoing struggles for gender equality and signify efforts to bridge the inequality gap. The implementation of quotas brings greater visibility to women in the political sphere, potentially fostering a sense of empowerment, equality and motivation to engage in politics (Dahlerup, Reference Dahlerup2012). Consequently, the institutional change brought about by the introduction of quotas is expected to amplify political knowledge acquisition among women. As they feel more included and motivated, their desire to expand their understanding will grow. As a result, this process will contribute to narrowing the gender gap in political knowledge. Hence, I hypothesize that:
-
Hypothesis 1 Countries that introduce gender quotas will see a reduction in the gender gap in political knowledge.
Additionally, the process of political socialization significantly influences political participation as well as political knowledge. Political socialization is particularly influential during adolescence, with attitudes and beliefs formed during this period tending to persist into adulthood (Hooghe, Reference Hooghe2004; Jennings, Reference Jennings1996; Bos et al., Reference Bos, Greenlee, Holman, Oxley and Lay2022). Furthermore, exposure to female role models has been found to enhance political engagement among young women (Wolbrecht & Campbell, Reference Wolbrecht and Campbell2007; Wolak, Reference Wolak2020) and facilitate their acquisition of political information (Dassonneville & McAllister, Reference Dassonneville and McAllister2018), thereby contributing to an increase in their political knowledge levels (Ferrín et al., Reference Ferrín, Fraile and García‐Albacete2019; Fraile, Reference Fraile2014; Pereira et al., Reference Pereira, Fraile and Rubal2015).
Hence, I propose that the introduction of gender quotas as an attention‐raising event will have a pronounced positive effect on the political knowledge levels of young women, while also exerting a positive effect (albeit with diminishing strength) on older women. As a result, this will contribute to a reduction in the gender gap among younger individuals at the time of quota implementation while having a comparatively lesser impact on older cohorts. Therefore, I hypothesize that
-
Hypothesis 2 The positive effect of the introduction of quotas on political knowledge levels will be strongest for women who were younger when the institutional change happened, thereby reducing the gender gap for younger people.
Data
I evaluated these hypotheses using survey data from 12 European countries between 1992 and 2018. To capture variations across individual respondents, time periods, and countries, I constructed a TSCS dataset. This dataset enables me to investigate the effects of the introduction of legislative gender quotas both across countries and within individual countries (Beauregard, Reference Beauregard2017). The subsequent sections provide further details on the selection of cases, the dependent variable, the main independent variables and the control variables.
Case selection
I analysed the hypotheses using Eurobarometer data from 12 European countries: Belgium, Denmark, France, Germany, Greece, Ireland, Italy, Luxembourg, the Netherlands, Portugal, the United Kingdom, and Spain. The analysis covers the time period from 1992 to 2018. These 12 countries were chosen because they are the only ones for which consistent knowledge data are available in the Eurobarometer throughout the entire analysis period.Footnote 10 Therefore, the sample I selected provides the most extensive and comprehensive dataset for investigating the impact of quota introduction on political knowledge.Footnote 11
Dependent variable
The dependent variable in this study is whether the respondent correctly answered the political knowledge question included in the Eurobarometer survey.Footnote 12 In this context, political knowledge refers to a respondent's familiarity with general political facts, such as the countries that are part of the European Union and the President of the European Parliament (Barabas et al., Reference Barabas, Jerit, Pollock and Rainey2014; Carpini & Keeter, Reference Carpini and Keeter1996). I obtained the political knowledge data utilized in this study from the Eurobarometer Survey Series, a bi‐annual public opinion survey conducted in all European Union member states (European Commission, Brussels, 1993). In addition to the regular waves, the Eurobarometer also includes two special waves each year, focusing on various topics. The survey questions remain consistent across countries and are translated into each country's respective language by experts (e.g., Italian in Italy, French in France). The sample consists of 1000 respondents for each country and wave, with the exception of smaller countries like Luxembourg.
The Eurobarometer has administered political knowledge questionnaires almost every year since 1992, except for the years 1995, 1997, 2000 and 2001. Given the standardized nature of the questions across countries and the Eurobarometer's affiliation with the European Commission, the questions primarily pertain to topics related to Europe. This consistency enables the analysis of the impact of gender quotas on gender gaps in political knowledge over time and across countries.Footnote 13 Existing literature has acknowledged the scarcity of datasets featuring consistent questions asked in the same format over time for studying determinants of political knowledge. This study addresses and responds to this issue using TSCS data (Fortin‐Rittberger, Reference Fortin‐Rittberger2016). It is worth noting that the political knowledge batteries included in the Eurobarometer exhibited considerable variation in the number of questions and topics until 2010. However, starting in 2010, one wave (i.e., one of the two bi‐annual waves) consistently covers the same number of questions and addresses the same issues. On average, each wave contains four questions.Footnote 14
Key independent variables
The key independent variables in the analysis include the gender and age of the respondents as well as the presence of legislative gender quotas in each country and year. Among the 12 countries examined, six had implemented legislative gender quotas during the analysed period. Belgium introduced quotas in 1994 and implemented them in 1999, France introduced and implemented them in 2000, Greece in 2012, Portugal in 2006, Spain in 2007 and Ireland in 2012 (for the Lower Chamber).Footnote 15 Italy, on the other hand, instituted legislative quotas in 2017 and implemented them from 2018 onwards, after the last Eurobarometer wave included in the dataset. Consequently, Italy is not considered in the cases involving quotas.Footnote 16 Data on gender quotas were sourced from the Gender Quota Database (International IDEA, 2018), which offers a comprehensive overview of each country in the dataset as well as the Inter‐Parliamentary Union (Inter‐Parliamentary Union, 2016).
Controls
My dataset incorporates a set of control variables to account for additional factors. At the individual level, I included the number of years of full‐time education as a control variable. This variable captures the potential positive impact of increased education on an individual's political knowledge. At the country‐year level, I incorporated the gross domestic product (GDP) growth of each country. Controlling for GDP is crucial as it may influence political knowledge. For instance, higher GDP levels could indicate greater financial resources allocated to education, potentially enhancing political knowledge. For a comprehensive overview of the variables utilized in the models, please refer to the online Appendix, which includes a table summarizing the descriptive statistics.
Methods
In the empirical analysis, I employed a regression framework to examine the effects of age, gender and legislative gender quotas on respondents' political knowledge levels. Although introducing quotas can be regarded as a quasi‐exogenous shock, it is not strictly exogenous due to potential selection biases in countries adopting quotas. To address this, I utilized a regression balancing model, with fixed effects accounting for unobservable variations that may influence the selection into treatment. The empirical analysis presented here represents the most rigorous approach within the available data and case selection constraints.
The unit of analysis is at the respondent‐question level so that each observation is based on whether respondent n answers the question q correctly, and the data are nested within the year and country levels. I modelled the relationship using a Bayesian hierarchical regression framework to account for this nested nature. I fit a partial pooling model since I expected the effects to be similar across countries and years. This approach utilizes information regarding the variance between groups to generate more precise estimates for units within each group (Gelman & Hill, Reference Gelman and Hill2006). Hierarchical models extend linear models' flexibility by allowing intercepts and slopes to vary by group (Gelman & Hill, Reference Gelman and Hill2006). Employing a Bayesian framework offers two key advantages in this analysis. Firstly, it provides high flexibility, enabling the inclusion of extensive information without imposing excessive structure on the model. Secondly, it facilitates improved prediction accuracy compared to equivalent models fitted within a frequentist framework.
I employed a logistic regression model since the dependent variable in this study is dichotomous. I modelled the probability that respondent i in country j in year t answers to a knowledge question q correctly as follows:
$$\begin{eqnarray} Pr(Correct_{qi} = 1) &=& logit^{-1}(\alpha _{j}^{cons} + \alpha _{t}^{cons} + \alpha _{q}^{cons} + \alpha _{qj}^{cons}\nonumber \\ &&+\, \alpha _{qj}^{female}*female + {\bf X}_{it}\beta + {\bf Y}_{jt}\gamma) \end{eqnarray}$$where
$\alpha _{j}$ represents an intercept that varies around countries,
$\alpha _{t}$ an intercept that varies between years,
$\alpha _{q}$ an intercept that varies by question,
$\alpha _{qj}$ an intercept that varies across questions and countries and
$\alpha _{qj}^{female}$ a random intercept for gender that varies across questions and countries.
${\bf X}_{it}$ represents a matrix of individual‐level covariates that vary across years, excluding the constant,
${\bf Y}_{jt}$ represents a matrix of country‐level covariates that vary across years and
$\beta$ and
$\gamma$ represent vectors of non‐varying coefficients. Particularly,
$$\begin{eqnarray} {\bf X}_{it}\beta &=& \beta _{1jt}female_{it} + \beta _{2}age_{it} + \beta _{3}female_{it}*quota_{it}\nonumber \\ && +\,\beta _{4}female_{it}*age_{it} + \beta _{5}age_{it}*quota_{it} + \beta _{6}female_{it}*age_{it}*quota_{it}\nonumber \\ && + \,\beta _{7}education_{it} \end{eqnarray}$$and,
The main coefficients of interest in this study include the gender dummy variable, the quota dummy variable, the respondent's age and their interaction terms. They vary across groups by country, year, question type and question type in different countries. The model allows for heterogeneity across groups. Moreover, I included random slopes in my models so that the effect of gender can vary by question, country or both (Gelman & Hill, Reference Gelman and Hill2006). To estimate the model above, I used Hamiltonian Monte Carlo algorithms to generate samples from posterior distributions of the parameters of interest. I fit the model using Stan (Bates et al., Reference Bates, Mächler, Bolker and Walker2015; Goodrich et al., Reference Goodrich, Gabry, Ali and Brilleman2020; Stan Development Team, 2020). I used ‘weakly informative’ priors to stabilize the computation and provide moderate regularizationFootnote 17 (Goodrich et al., Reference Goodrich, Gabry, Ali and Brilleman2020).
Results
Table A1 in the online Appendix presents the results of the Bayesian model. For the fixed effects, it shows the median of the posterior distribution for each variable and its credible interval. For the random effects, it presents the standard deviation for the intercepts.Footnote 18 The findings indicate that being a woman has a negative impact on the likelihood of answering correctly, while the effect of quotas on political knowledge is not statistically significant. However, when examining the interaction of quotas with gender and age, both separately and combined, the results reveal significant effects. This supports the hypothesized conditional effects of quotas on gender and socialization. Specifically, the interaction between having quotas in place for women respondents and the interaction between quotas and different age groups positively influence the likelihood of correctly answering knowledge questions. On the other hand, the interaction of age and gender, as well as the triple interaction of age, gender and quotas, negatively impact the likelihood of answering correctly. These results demonstrate that introducing gender quotas has a non‐zero and meaningful effect on reducing the gender gap in political knowledge.Footnote 19
Figure 1 depicts the predicted probabilities of correctly answering political knowledge questions for men and women, comparing scenarios with and without legislative quotas. The predictions were generated by holding education and year at their median values and GDP per capita at its mean. The model includes fixed effects and random effects for gender at the country‐question level. The presented results represent the average predicted probabilities across all countries to ensure a smoother and more coherent graphical representation of the posterior distribution. The figure illustrates that, compared to women, men have a higher predicted probability of answering political knowledge questions correctly, irrespective of the presence or absence of legislative quotas. Additionally, the effect of quotas on men's probability of providing a correct answer appears to be minimal. The predicted probability slightly increases when a quota is in place, but the difference is negligible. In contrast, the impact of quotas on women is slightly more pronounced. For women, the predicted probabilities rise from approximately 45 per cent in systems without quotas to 50 per cent in systems with quotas.

Figure 1. Predicted probabilities of answering correctly.
Figure 2 displays the predicted probabilities of correctly answering political knowledge questions for different age groups, comparing scenarios with and without gender quotas for both men (black) and women (grey). Similar to Figure 1, the predictions were generated by holding education and year at their median values, and GDP per capita at its mean. The model includes fixed effects and random effects for gender at the country‐question level. Compared to women, men consistently exhibit a higher predicted probability of answering knowledge questions correctly across all age groups and in systems with and without gender quotas. Notably, the predicted probabilities are closer between men and women in systems with quotas compared to systems without quotas. Moreover, the extent of proximity in predicted probabilities varies across age groups. Respondents between 15 and 31 years old exhibit the smallest difference in predicted probabilities. At the same time, the gap between men and women widens as age increases, with the largest disparity observed among respondents between 83 and 99 years old. Such a differential result highlights that women drive the positive results. If men were the drivers of results, then the gender gap would not reduce since men's predicted probability of answering correctly is the same in countries with and without quotas. The group that closes the gender gap in the analysis is young women aged 15–31. Further, the relationship between the predicted probability of answering correctly goes back to having the same gap between women and men in older cohorts, where women's predicted probability stops improving. The results align with past research, which shows that young women (and not men) are more responsive to role models and socialization effects (Dassonneville & McAllister, Reference Dassonneville and McAllister2018; Wolbrecht & Campbell, Reference Wolbrecht and Campbell2007; Wolak, Reference Wolak2020). Hence, the results depicted in Figures 1 and 2 provide support for both Hypotheses 1 and 2.

Figure 2. Predicted probabilities of answering correctly.
Since I have samples from the posterior distribution for each parameter in the model, I can also calculate quantities of interest that are functions of the parameters themselves. The most relevant quantity of interest is the per cent change in the knowledge gender gap between countries with and without quotas. The per cent change is calculated as the ratio of the difference in the predicted probabilities of answering questions correctly between genders and systems with and without quotas (q and nq, respectively) and the difference in predicted probabilities of answering questions correctly between genders in systems without quotas. Particularly,
where the gender gap is calculated as
Figure 3 illustrates the per cent change in the political gender gap for each age group in the analysis. The per cent change is negative, indicating that the introduction of quotas leads to a reduction in the gender gap. As expected, this reduction is most pronounced for individuals aged between 15 and 31, with a decrease of over 30 per cent. The per cent change in the gender gap is smaller for individuals between 32 and 48 and 49 and 65 years, although it remains substantial compared to the youngest respondents. In contrast, the gender gap remains relatively stable for older respondents aged 65 years and above. These findings suggest that gender quotas serve as an attention‐raising event, particularly for younger women and have a positive and significant impact on political knowledge. These results provide further support for Hypotheses 1 and 2.

Figure 3. Per cent change by age group.
Time trends analysis
In my first robustness analysis, I examine whether the effects observed in the main analysis diminish over time. It is possible that the significant effects identified after the implementation of quotas are not enduring but rather that political knowledge levels decline in the years following the introduction of quotas. To investigate temporal trends, I conduct the same analysis as described earlier, including an additional interaction term with a variable that measures the years elapsed since the intervention for countries that implemented quotas. The results are presented in Table A2 in the online Appendix. Figure 4 plots the predicted probabilities of answering political knowledge questions correctly for men and women within the age group of interest (15–31) at the year of adoption (t) and for the subsequent 6 years post‐adoption.

Figure 4. Predicted probabilities of answering correctly – time trends for age group 15–31.
Consistent with the main analysis findings, the predicted probabilities of answering knowledge questions correctly are higher for countries that implemented quotas. Over the 7‐year period post‐intervention, the predicted probabilities remain higher for quota adopters compared to non‐adopters. Specifically focusing on the age group of interest, the introduction of gender quotas leads to an increase in predicted probabilities for both men and women, with a more pronounced effect for young women. In the post‐intervention years, the predicted probabilities decrease for both genders in both the quota and non‐quota groups. However, it is worth noting that even at time
$t+6$, the predicted probabilities for both genders in the quota group are still higher than those for both genders at time t in non‐quota countries. Additionally, the predicted probabilities for women in quota countries are much closer to those for men, a pattern that remains consistent throughout the post‐intervention years.
Figure 5 illustrates the per cent change in the knowledge gender gap between countries with and without gender quotas for different age groups, focusing on the year of intervention (t) and the 6 years post‐intervention (
$t+6$). Consistent with the main analysis findings, the per cent change is negative, indicating a reduction in the gender gap. The negative effect is statistically significant for individuals aged 15–48, with the largest reduction observed for the age group of 15–31. In contrast, the gender gap remains stable for older individuals aged 49 and above. Of particular interest is the trend observed among young respondents. The per cent change becomes more negative in the years following the intervention, indicating a continued reduction in the gender gap over time. At the year of intervention, the per cent change is approximately 30 per cent, which increases to around 35 per cent 6 years post‐intervention. These results reject the hypothesis that the effects found in the main analysis decay over time and suggest a sustained and even more pronounced impact of gender quotas on reducing the gender gap in political knowledge.

Figure 5. Per cent change by age group–time trends.
Percentage of women in Parliament analysis
In my second robustness analysis, I investigate whether the effects observed in the main analysis could be attributed to the percentage of women in Parliament. If this were the case, then the number of women in Parliament would act as a confounding effect on my proposed mechanism between quotas and political knowledge, which would diminish the validity of the direct results found in the main analysis. If I do not find any significant effects of the number of women in Parliament on the knowledge gender gap, I will be reassured that the main mechanism I proposed is actually at play here and that my main results are robust.
Throughout the period considered in this study, the representation of women in Parliament has consistently increased in all countries under analysis, regardless of the presence or absence of quotas (see Figure A3 in the online Appendix). It is important to acknowledge that the introduction of quotas does not always lead to a significant increase in the number of women in Parliament. Nevertheless, even a marginal increase can serve as an attention‐raising event. While my main hypotheses do not negate the significance of this factor, I argue that quotas act as a more potent attention‐raising event, exerting a distinct influence on the political knowledge of younger women beyond what a potential increase in women's representation in Parliament may achieve. Furthermore, increasing female representation in Parliament tends to be gradual, resulting in a potentially weaker attention‐raising effect, if any. By exploring the role of women's parliamentary representation in relation to the observed effects, this analysis adds nuance to the understanding of the mechanisms at play. It underscores the unique impact of quotas as a driving force for enhancing the political knowledge of younger women, surpassing the potential effects of gradual changes in women's representation over time.
To examine the impact of the relative share of women in Parliament on the gender gap in political knowledge, I conduct a parallel analysis to the one described earlier, replacing quotas with the percentage of women in Parliament in the interactions. The results are presented in Table A3 in the online Appendix. The findings indicate that being a woman has a negative effect on the likelihood of answering political knowledge questions correctly. In contrast, the percentage of women in Parliament has a positive effect. However, when exploring the interactions between the percentage of women in Parliament with gender and age, both independently and jointly, the results show only marginal significance for some of the interactions. Specifically, the interaction between the percentage of women in Parliament and women respondents, as well as the interaction between women in Parliament and different age groups, positively influence the likelihood of correctly answering knowledge questions. Conversely, the interaction between age and gender has a negative effect on the likelihood of answering correctly. The triple interaction of age, gender and quotas has a minimal and marginally positive impact on the likelihood of answering correctly. These findings suggest that the percentage of women in Parliament has a negligible and marginally significant effect on reducing the gender gap in political knowledge. While it exerts a modest influence in certain interactions, its overall impact is limited. This result reassures me that the number of women in Parliament is not a confounding effect on the relationship between gender quotas and political knowledge, and the main mechanism I propose in the paper is actually at play here.
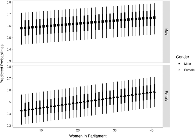
Figure 6 displays the predicted probabilities of correctly answering political knowledge questions for women and men at different levels of women in Parliament. The predictions were generated by keeping education and year at their median values and GDP per capita at its mean. Consistently, men have higher predicted probabilities of answering correctly compared to women across all levels of women in Parliament. For men, the predicted probabilities begin around 55 per cent when the percentage of women in Parliament is approximately 5 per cent and increase to around 65 per cent when the percentage reaches 40 per cent. Intriguingly, for women, the predicted probabilities are lower when there are fewer women in Parliament but increase at a much steeper rate as the percentage of women in Parliament rises. The predicted probabilities start around 45 per cent when the percentage of women in Parliament is approximately 5 per cent and escalate to around 60 per cent when the percentage reaches 40 per cent.

Figure 6. Predicted probabilities of answering correctly by gender.
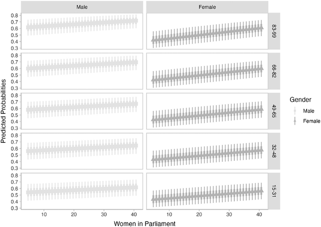
Figure 7 presents the predicted probabilities of correctly answering political knowledge questions at different levels of women in Parliament for men (light blue) and women (dark blue), divided by age groups. The trends observed are consistent across gender and age groups: the predicted probabilities are lower when there are fewer women in Parliament, and they increase steadily as the percentage of women in Parliament rises. Women consistently exhibit lower predicted probabilities compared to men, and the trends remain parallel between genders across most age groups. However, there is an interesting exception: women between the ages of 83 and 99. In this age group, women's predicted probabilities display a steeper increase compared to men, deviating from the parallel trend observed in other age groups. This finding contradicts both my hypotheses and the results obtained in the main analysis, where the effects were observed for women between the ages of 15 and 31.

Figure 7. Predicted probabilities of answering correctly by age and gender.
Conclusion
Overall, the findings provide support for the hypothesis that attention‐raising events have a positive impact on political knowledge, particularly among women aged 15–31. Figure 1 illustrates that the percentage change is centred around 30 per cent for respondents between the ages of 15 and 32. As respondents' age increases, the effect diminishes, reaching zero for individuals aged 66 and older. The introduction of gender quotas reduces the gender gap in political knowledge, particularly among younger individuals. These results align with the influence of socialization on political knowledge (Dassonneville and McAllister, Reference Dassonneville and McAllister2018; Hooghe, Reference Hooghe2004; Jennings, Reference Jennings1996; Wolbrecht & Campbell, Reference Wolbrecht and Campbell2007). Additionally, the findings support the notion that gender quotas serve as attention‐raising events (Hinojosa & Kittilson, Reference Hinojosa and Kittilson2020), impacting political participation, engagement, interest and trust (Hinojosa & Kittilson, Reference Hinojosa and Kittilson2020; Kittilson, Reference Kittilson2005; Kittilson & Schwindt‐Bayer, Reference Kittilson and Schwindt‐Bayer2012; Zetterberg, Reference Zetterberg and Dahlerup2012).
Additionally, the results speak to the literature on the effects of institutional design on public opinion and, specifically, the policy feedback literature. Policy feedback is defined as the process through which existing policies feed back into the political system, which then shape subsequent policy changes. Policies and policy changes affect not only elites' attitudes but also the mass public political opinion and participation (A. L. Campbell, Reference Campbell2012). The paper's contribution fits within such literature and, specifically, the literature investigating the dynamic element of public attitudes, such as political knowledge, changing in response to policy changes, conditional on such information reaching the citizens (Page & Shapiro, Reference Page and Shapiro2010; Zaller, Reference Zaller1992). Regarding gender quotas and political knowledge, the public was aware of the institutional change. Further, as the socialization literature highlights, attitudes are more malleable during adolescence (D. E. Campbell & Wolbrecht, Reference Campbell and Wolbrecht2006, Reference Campbell and Wolbrecht2020; Wolbrecht & Campbell, Reference Wolbrecht and Campbell2017). Hence, while public opinion is usually a sticky subject, there are specific cases and conditions where it changes after institutional changes.
Furthermore, the results from the time trends analysis demonstrate that the effects of quota implementation on the gender gap in political knowledge do not diminish over time. Consequently, the findings substantiate the hypotheses: countries that adopt quotas experience a reduction in the gender gap in political knowledge (H1), with the most substantial reduction observed among younger women (H2).
This study emphasizes that institutional changes, such as the introduction of gender quotas, can have wide‐ranging effects beyond their intended purpose. Specifically, gender quotas serve as attention‐raising events for women, leading to increased political knowledge and information. This effect is particularly pronounced among young women who are being socialized during the implementation of quotas. Furthermore, the impact of increased political knowledge extends beyond the initial period of institutional change, with significant effects persisting in subsequent years. Further research should employ a longitudinal study to understand further the long‐term duration effects of quota implementation on political knowledge.
Finally, it is important to recognize that gender quotas have a significant impact on various aspects of the political landscape, including political knowledge, participation, engagement, voting behaviour and trust (Kittilson, Reference Kittilson2005; Kittilson & Schwindt‐Bayer, Reference Kittilson and Schwindt‐Bayer2012; Zetterberg, Reference Zetterberg and Dahlerup2012). Understanding what explains the political knowledge gender gap is important: ‘Women's level of political knowledge and opinion should not be overlooked because these are the foundational tools women need for autonomous participation rather than simply mobilized participation’ (Bleck & Michelitch, Reference Bleck and Michelitch2018, p. 300). Furthermore, it is important to note that the gender gap in political knowledge is not static over the course of individuals' lifetimes; rather, it is influenced by their levels of socialization. The results of this study demonstrate that the introduction of quotas has a particularly pronounced effect on younger women, indicating that institutional changes have a robust impact on public opinion and participation. In the past, other relevant institutional changes targeted to women's inclusion, such as the right to vote and the right to employment, have acted as attention‐raising events for women and thus increased their level of political knowledge, participation, and engagement. Overall, this research sheds light on the broader implications of institutional changes, emphasizing the need to consider their effects on political knowledge and socialization.
Acknowledgements
I would like to thank Hilde Coffè, Amanda Driscoll, Christopher Li, Kelly Matush, Diana Z. O'Brien, Paola Profeta, Christopher Reenock, Carlisle Rainey, Ana Catalano Weeks and seminar participants at the AXA Research Lab on Gender Equality (Bocconi University) and the University of Bath and two anonymous reviewers for their helpful comments on this draft. An earlier draft of this paper was presented at the 2021 meeting of the American Political Science Association. This research did not receive any specific grant from funding agencies in the public, commercial, or not‐for‐profit sectors.
Data availability statement
Replication data can be accessed on Harvard Dataverse at https://doi.org/10.7910/DVN/PSL1GQ
Online Appendix
Additional supporting information may be found in the Online Appendix section at the end of the article:
Table A1: Descriptive Statistics
Table A2: Bayesian Hierarchical Models Results (quota*gender*age interaction)
Table A3: Bayesian Hierarchical Models Results (quota*gender*age interaction)
Figure A1: Predicted Probabilities of Answering Correctly ‐ Time Trends
Figure A2: Predicted Probabilities of Answering Correctly ‐ Time Trends by Age Groups
Table A4: Bayesian Hierarchical Models Results (quota*gender*age interaction)
Figure A3: Percentage of Women in Parliament by Country
Figure A4: Predicted Probabilities of Answering Correctly
Figure A5: Predicted Probabilities of Answering Correctly
Figure A6: Predicted Probabilities of Answering Correctly
Figure A7: Percent Change by Age Group
Table A5: Bayesian Hierarchical Models Results: Diff‐in‐Diff Analysis
Figure A8: Gender Gap Trends
Figure A9: Parallel Trend Plots by Country
Data S1






