Introduction
Climate change is perhaps the most threatening international crisis ever faced by the global community. While all human beings will experience its consequences, we will not all experience them equally – resource restriction, negative health outcomes resulting from exposure to pollutants and environmental destruction and the ability to recover from climate change-related disasters are often contingent on identity (Islam & Winkel, Reference Islam and Winkel2017). Because women may lack social and economic resources to adapt to climate change, bear the brunt of household tasks and make up a large percentage of the world's poor (Carlsson-Kanyama & Lindén, Reference Carlsson-Kanyama and Lindén2007; Figueiredo & Perkins, Reference Figueiredo and Perkins2013; Fonjong, Reference Fonjong2008; Neumayer & Plümper, Reference Neumayer and Plümper2007) they experience the uniquely gendered costs of climate change.
Yet, the last half-century has seen a steady increase in the number of women in governance around the world, inspiring academics to question whether women make different political decisions than their male counterparts. While women make up just a quarter of parliamentary seats globally (World Bank Open Data, 2019a, 2019b, 2019c, 2019d) and are systemically excluded from law-making and many other global power networks (MacKinnon, Reference MacKinnon1989), women have made notable impacts on policy and governance. Issues like abortion, domestic violence and human trafficking have faced greater attention as women's participation in governance have grown (Wittmer & Bouché, Reference Wittmer and Bouché2013), leading eminent political scientist Jane Mansbridge to insist that ‘descriptive representation by gender improves substantive representation outcomes for women in every polity for which we have a measure’ (Reference Mansbridge2005, p. 622). And yet, the effect of increasing women's participation in government affects not only issues deemed traditionally ‘female’ and may improve outcomes not just for women. The growing body of literature investigating women's role in climate change governance suggests that women, specifically in developed countries, favour environmentalism to a greater extent than their male counterparts at the citizen level (Arnocky & Stroink, Reference Arnocky and Stroink2010; Goldsmith, et al., Reference Goldsmith, Feygina, Jost, Alston and Whittenbury2013; Hunter et al., Reference Hunter, Hatch and Johnson2004; McCright, Reference McCright2010; Semenza et al., Reference Semenza, Ploubidis and George2011; Tranter, Reference Tranter2011) and that increases in women's participation in governance lead to positive environmental outcomes (Ergas & York, Reference Ergas and York2012; Fredriksson & Wang, Reference Fredriksson and Wang2011; Lv & Deng, Reference Lv and Deng2018; McGee et al., Reference McGee, Greiner, Christensen, Ergas and Clement2020; Norgaard & York, Reference Norgaard and York2005; Nugent & Shandra, Reference Nugent and Shandra2009; Ramstetter & Habersack, Reference Ramstetter and Habersack2019; Salahodjaev & Jarilkapova, Reference Salahodjaev and Jarilkapova2020).
I seek to contribute to the existing literature by investigating the roles of both time and state wealth in the emergence of climate change-related policy outcomes resulting from women's increased political participation. I account for time because policy outcomes or the results of policymaking are ‘often indirect, diffuse, and take time to appear’ (Hallsworth, Reference Hallsworth, Parker and Rutter2011, p. 6), which has rarely been accounted for in the women's representation and environmentalism literature. Additionally, as the literature on climate change preferences suggests a gender gap between women's and men's environmental preferences specifically in developed states, I investigate the impact of state wealth on the link between women's representation and climate change outcomes.
I argue that women's presence in parliaments may impact the ultimate outcome of renewable energy consumption, a dependent variable missing from the women's representation and climate change literature, yet crucial to climate change mitigation in practice. I hypothesize that because women representatives may seek to substantively represent women's pro-environmental preferences, they may support various policies which favour renewable energy consumption, subsequently increasing renewable energy consumption itself. For these reasons, I assert that women MPs’ substantive representation of their women constituents as well as their left-leaning and women-centric influence on party stances will lead to an aggregate effect of increased renewable energy consumption in developed countries. Because the evidence for a gender gap in climate change preferences is strongest in developed states (Arnocky & Stroink, Reference Arnocky and Stroink2010; Goldsmith et al., Reference Goldsmith, Feygina, Jost, Alston and Whittenbury2013; Hunter et al., Reference Hunter, Hatch and Johnson2004; McCright, Reference McCright2010; Semenza et al., Reference Semenza, Ploubidis and George2011; Tranter, Reference Tranter2011), effects of this representation will be most pronounced in these contexts. In addition, I put forth that these effects will take time to materialize.
To test women's influence on this climate change outcome with specific attention to both time and state development, I consider renewable energy consumption as a main dependent variable in a series of time-series cross-sectional regressions of 100 democracies (Dahlberg et al., Reference Dahlberg, Holmberg, Rothstein, Pachon and Svensson2018) from 1997 to 2017. I find positive relationships between women's representation and renewable energy consumption in both high-income and middle-income states, and while richer democracies exhibit more immediate relationships, those of less developed states take longer to materialize. These results provide a greater understanding of women parliamentarian's impact on policy outcomes, the contexts in which these outcomes emerge and the drivers of these outcomes, moving past correlational relationships found in the existing literature to demonstrate when and where women's political participation matters for climate change outcomes.
Gender and the environment: Theoretical and empirical connections
Predicting that women's participation in parliaments impacts environmental outcomes, like renewable energy policy, rests on some key foundations. First, public opinion research has shown that men and women in developed countries perceive climate change differently, with women more likely to be worried about and take action against climate change as well as to support environmental energy choices (Arnocky & Stroink, Reference Arnocky and Stroink2010; Goldsmith et al., Reference Goldsmith, Feygina, Jost, Alston and Whittenbury2013; Hunter et al., Reference Hunter, Hatch and Johnson2004; McCright, Reference McCright2010; Noblet et al., Reference Noblet, Teisl, Anderson and McCoy2015; Semenza et al., Reference Semenza, Ploubidis and George2011; Tranter, Reference Tranter2011).
This has implications for both representation and party platforms. The theoretical literature of descriptive and substantive representation discusses the mechanisms through which women, as an underrepresented group, may influence policy outcomes (Franceschet & Piscopo, Reference Franceschet and Piscopo2008; Hero & Tolbert, Reference Hero and Tolbert1996; Mansbridge, Reference Mansbridge1999; Phillips, Reference Phillips1995), while another stream of the literature shows how women's presence in party delegations affects party platforms (Greene & O'Brien, Reference Greene and O'Brien2016; Keith & Verge, Reference Keith and Verge2018; Kittilson, Reference Kittilson2011). In addition, previous research shows that women's individual-level preferences are reflected among political elites (Ergas & York, Reference Ergas and York2012; Fredriksson & Wang, Reference Fredriksson and Wang2011; Norgaard & York, Reference Norgaard and York2005; Nugent & Shandra, Reference Nugent and Shandra2009; Salahodjaev & Jarilkapova, Reference Salahodjaev and Jarilkapova2020; Ramstetter & Habersack, Reference Ramstetter and Habersack2019). Thus, I argue that increased participation of women in parliaments may increase the likelihood that women's pro-environmental views are reflected in policy and translate into policy outcomes. I discuss the stages of this causal mechanism in more detail below.
Individual-level gender gaps
In both the developed and developing world, gendered differences persist in men's and women's experiences of climate change and thus in their climate change opinions and policy preferences. With disproportionate responsibility to perform household tasks and manage resources, women are more directly impacted when resources necessary for the health and survival of the family are unavailable (Agarwal, Reference Agarwal2010). Women are more often harmed and killed in natural disasters due to a lack of financial resources and independence, insufficient social support and restrictive cultural expectations (Denton, Reference Denton2002; Figueiredo & Perkins, Reference Figueiredo and Perkins2013; Fonjong, Reference Fonjong2008; Lookabaugh, Reference Lookabaugh2017; Makina & Moyo, Reference Makina and Moyo2016; Neumayer & Plumper, Reference Neumayer and Plümper2007). Since women spend more time indoors conducting household labour and using energy than men, they face more dire health consequences of indoor air pollution in the home (Carlsson-Kanyama & Lindén, Reference Carlsson-Kanyama and Lindén2007; Soria et al., Reference Soria, Farley and Glinski2016); a Sweden-based study showed that women spend twice as much time as men on energy-intensive household tasks and that changing the availability or pricing of energy increases this already unequal workload (Carlsson-Kanyama & Lindén, Reference Carlsson-Kanyama and Lindén2007).
Gendered experiences of climate change may thus inform women's climate change opinions and policy preferences. Yet, the vast majority of the literature on the gender gap in climate change preferences comes from developed countries. Research has indicated that relative to men, American women are more knowledgeable about climate change (McCright, Reference McCright2010), and Canadian women are more worried about the potential effects of climate change (Arnocky & Stroink, Reference Arnocky and Stroink2010). Hunter et al. (Reference Hunter, Hatch and Johnson2004) show that women behave more environmentally than men, particularly in private, in higher income countries. Canadian women demonstrate a greater willingness to participate in ecological cooperation, a relationship which was mediated by gendered differences in empathy (Arnocky & Stroink, Reference Arnocky and Stroink2010). Australian women demonstrate more favourable attitudes towards environmental protection and concern for particularly global environmental issues than men (Tranter, Reference Tranter2011), and women in the United States are more willing to act against climate change because they are less likely than men to partake in system justification, or the ‘psychological tendency to maintain certainty, security, and solidarity through motivated perceptions of the status quo’ (Goldsmith et al., Reference Goldsmith, Feygina, Jost, Alston and Whittenbury2013, p. 159). In the United States, women are more likely to reduce their own energy consumption in response to the risk of climate change (Semenza et al., Reference Semenza, Ploubidis and George2011). Noblet et al. (Reference Noblet, Teisl, Anderson and McCoy2015) find in a Maine-based study that women were more likely to support eco-friendly energy policy. Climate change attitudes in high-income countries, Bush and Clayton (Reference Bush and Clayton2021) show, are a function of differential perceptions of environmental policy between women and men: men tend to prioritize their perceptions of the personal and societal costs of climate change mitigation efforts, while women are more likely to perceive its benefits.
Women in the legislative process: Mechanisms of representation and party influence
While the evidence shows that women, mostly in developed countries, have demonstrably more environmentally friendly opinions at the individual level, here I outline the ways women may affect parliamentary outcomes: first, through substantively representing women's preferences, and second, through impacting the positions of political parties.
A wide body of literature demonstrates that descriptive representation of marginalized groups, in which representatives ‘in their own backgrounds mirror some of the more frequent experiences and outward manifestations of belonging to the group’ (Mansbridge, Reference Mansbridge1999, p. 628), leads to improved quality of life of that group (Hero & Tolbert, Reference Hero and Tolbert1996). In other words, descriptive representation, in which representatives have similar characteristics to their constituents, leads to substantive representation, in which legislators better represent constituents similar to them. Increasing women's influence in male-dominated decision-making spaces could diversify deliberation in the democratic process as policymakers seek to understand ‘which policies are good for the polity as a whole, which policies are good for a representative's constituents, and when the interests of various groups within the polity and constituency conflict’ (Mansbridge, Reference Mansbridge1999, p. 634).
Substantive representation, as Anne Phillips (Reference Phillips1995) argues, relies on a ‘politics of presence’, in which a ‘necessary condition for the representation of women's interests is the presence of women in decision-making bodies’ (Campbell et al., Reference Campbell, Childs and Lovenduski2009, p. 172). When there are fewer women in male-dominated institutions, it can be difficult or impossible for women parliamentarians to ‘aggregate the diverse priorities of women citizens’ (Clayton et al., Reference Clayton, Josefsson, Mattes and Mozaffar2019, p. 92). In fact, a greater presence of women within governing bodies can offer women citizens an additional form of representation should the representative of their geographic constituency fail to represent them substantively (Boas & Smith, Reference Boas and Smith2019).
While women are a heterogeneous group without a single set of political preferences or values, increasing the number of women within governing bodies can widen the range of issues deemed politically important while revealing the often-gendered nature of these issues (Greene & O'Brien, Reference Greene and O'Brien2016). Childs and Krook (Reference Childs and Krook2006) speak to the importance of critical actors, women representatives ‘who initiate policy proposals on their own, even when women form a small minority, and embolden others to take steps to promote policies for women, regardless of the proportion of female representatives (p. 528). The more women there are in parliament, the more likely the existence of many critical actors – more women to advance their women constituents’ interests in government.
Within the representation literature, four main frameworks attempt to explain why legislators may represent constituents with whom they share descriptive similarities. First, shared experiences of individual and elite women may lead to preference convergence of these groups. Women at both the individual and elite levels navigate gendered social roles, and thus they may come to hold congruent beliefs based on these experiences (Phillips, Reference Phillips1995). Second, women in government may have a desire to represent their women constituents specifically, regardless of whether or not they share experiences or preferences. Because women have been systematically excluded from governance, women representatives may put forth the preferences of their women constituents in order to counteract historic power imbalances (Franceschet & Piscopo, Reference Franceschet and Piscopo2008). Next, the socialization framework posits that a group's rhetoric has an impact on individual-level preferences. The gendered aspects of women's lives, from being in charge of resource allocation to being socialized long-term to ‘clean up messes’ (Boas & Smith, Reference Boas and Smith2019; Stoddart & Tindall, Reference Stoddart and Tindall2011), may have a socializing effect on both women at the individual level and women at the elite level with respect to their desire to protect and support the health of the environment. Finally, women representatives may have electoral incentives to intentionally represent women to gain re-election (Lloren et al., Reference Lloren, Rosset and Wüest2015). Voters of oppressed or under-represented groups may expect to be better represented by descriptive representatives than by traditional politicians, many of whom hail from privileged social and political groups (Mansbridge, Reference Mansbridge1999, p. 628). Bailer et al. (Reference Bailer, Breunig, Giger and Wüst2018) show that representatives of under-represented backgrounds may seek to substantively represent their constituents early in their careers to ‘[bestow] credibility when they have hardly any legislative track record and few opportunities to demonstrate their expertise’ (p. 2).
It is through these mechanisms that women may be better positioned than men to represent women constituents’ preferences which, in developed countries, tend to be pro-environmental. In addition, the literature on women's effect on party politics offers another avenue through which the increased presence of women representatives in parliaments may contribute to greener outcomes like renewable energy consumption.
In most cases, representatives’ actions are dictated at least in part by their political party. Parties ‘bring together a multitude of interests within a single organization’ (Greene & O'Brien, Reference Greene and O'Brien2016, p. 435), and thus may limit individual party members’ abilities to propose or vote for policies off the party line. Yet, increasing evidence suggests that the inclusion of women within parties’ parliamentary delegations has notable effects on the policy positions of parties themselves. Greene and O'Brien (Reference Greene and O'Brien2016) show that greater representation of women in political parties not only increases the diversity of issues they address in election campaigns but also pushes parties’ manifestos to the left. Kittilson (Reference Kittilson2011) finds that women's presence in parties significantly increases parties’ emphasis on social justice and increases the existence of gender quotas in parties. Keith and Verge (Reference Keith and Verge2018) find, in addition, that the best indicator of parties’ ‘commitment to gender equality in decision-making positions is the percentage of women's representation in the national parliament’ (p. 400). Taken together, women's increased presence in political parties pushes these parties both to the left of the political spectrum as well towards women's interests.
Thus, increasing numbers of women in parliament may increase the potential for environmentalism and thus sustainable energy policy to be prioritized, as women may substantively represent women's preferences more effectively than their male counterparts and may also push parties towards both leftward-leaning politics and women's interests. Women, as minorities in parliaments all around the world, can and do impact policy indirectly in this way – by helping to shape the policy stances of their parties, in part by advocating for women's preferences. Thus, I predict that:
H1: Democracies with a greater share of women in their parliaments will have better renewable energy outcomes.
Existing literature demonstrates that nations with higher proportions of women in parliament are more likely to ratify environmental treaties (Norgaard & York, Reference Norgaard and York2005), create more protected land areas (Nugent & Shandra, Reference Nugent and Shandra2009), have lower CO2 emissions (Ergas & York, Reference Ergas and York2012), experience less deforestation and maintain more forest cover (Salahodjaev & Jarilkapova, Reference Salahodjaev and Jarilkapova2020). Women legislators in the US.’ House of Representatives favour more stringent environmental policies (Fredriksson & Wang, Reference Fredriksson and Wang2011), and countries with higher women's political empowerment see long-term reductions in CO2 emissions (Lv & Deng, Reference Lv and Deng2018). Women members of the European Parliament were significantly more likely than their male counterparts to support environmental legislation (Ramstetter & Habersack, Reference Ramstetter and Habersack2019), and while increases in GDP can often increase emissions, nations with more gender equality see a much weaker association between GDP and CO2 emissions (McGee et al., Reference McGee, Greiner, Christensen, Ergas and Clement2020). While this literature demonstrates a relationship between women's presence in parliaments and various environmental outcomes, it fails to consider two important factors that I account for in the present analysis. Below I explore, first, the impacts of time on the emergence of policy outcomes and, second, the role of state wealth on the potential relationships between women's representation and environmental outcomes.
The effect of time on the emergence of policy outcomes
Although climate change prevention and mitigation are time-sensitive, policy creation and implementation take time. Creating climate change mitigation and adaptation measures is a ‘complex and ongoing process’ (Scheraga et al., Reference Scheraga, Ebi, Furlow, Moreno and McMichael2003, p. 237), affected by individual stages of policymaking which both overlap with each other and are inextricably linked (Hallsworth et al., Reference Hallsworth, Parker and Rutter2011, p. 6). Once policies take effect, they often have long-term consequences, as future greenhouse gas emission mitigation and climate change adaptation rests on decisions made today (Scheraga et al., Reference Scheraga, Ebi, Furlow, Moreno and McMichael2003, p. 237). Policy outcomes, or the results of policymaking, do not manifest immediately and are ‘often indirect, diffuse, and take time to appear’ (Hallsworth et al., Reference Hallsworth, Parker and Rutter2011, p. 6). Some existing research suggests that environmental policymaking processes have sped up through the latter half of the twentieth century (Jordan et al., Reference Jordan, Brouwer and Noble2011), and McCormick (Reference McCormick, Laurent and Maraesceau1998) finds that, within the European Union, environmental proposals could take up to 7 years to develop, while Hayes-Renshaw and Wallace (Reference Hayes-Renshaw and Wallace1997) estimate an average time of 18 months. This suggests that accounting for time is paramount in capturing women representatives’ impact on environmental policy outcomes.
Importantly, further time considerations must be accounted for when testing women representatives’ impact on policies and outcomes. Women representatives across the world operate in majority-male legislatures in which they may face marginalization by existing members of the legislature with an interest in preserving the status quo. This marginalization can restrict women's ability to influence the political agenda through various means, including placing women on less powerful committees, blocking them from leadership roles and failing to support their legislation (Kerevel & Atkeson, Reference Kerevel and Atkeson2013); Senk (Reference Senk2020) shows that the systematic exclusion of women from leadership positions and influential committees in governance disadvantages their bill approval rates. Not only do many women enter legislatures in which policy priorities and values have already been defined (Clayton et al., Reference Clayton, Josefsson, Mattes and Mozaffar2019) by socio-political gendered norms, but women may be incentivized to ‘adapt to [these] norms that have already coalesced around men's priorities to appear as more serious or capable politicians’ (Clayton et al., Reference Clayton, Josefsson, Mattes and Mozaffar2019, p. 77), reducing their own potential impact on policy. Although women's presence in parties influences party positions (Greene & O'Brien, Reference Greene and O'Brien2016; Keith & Verge, Reference Keith and Verge2018; Kittilson, Reference Kittilson2011) because women have fewer avenues through which to enter politics, Clayton and Zetterberg (Reference Clayton and Zetterberg2021) show that women in strong party systems ‘have less latitude to depart from the party line’ (1) and are thus constrained, to a greater extent than their male counterparts, in their ability to influence issues outside of their party's platform. Thus, women's impact on the policy will likely not materialize immediately; rather, the process may be time-intensive as they navigate these various institutional constraints.
In addition, developed states may maintain better-functioning institutions, while developing democracies often have lower governance benchmarks and ‘material, educational, structural, and organizational deficiencies that negatively affect development and governance’ (Pelicice, Reference Pelicice2019, p. 2). The lack of institutional strength can lead to bad political behaviour, including corruption, which is ‘widespread among political authorities and associated staff, leading to weak policies that provide little social benefits’ (Pelicice, Reference Pelicice2019, p. 3). Robert Barro (Reference Barro1994) argues that economic development is necessary for the function and survival of democracy and is often a prerequisite for its formation; states with low levels of economic development are much less likely to maintain institutions and structures necessary for the healthy function of democracy. Policy creation and implementation may thus take longer to influence outcomes in structurally weaker states. While gender-based discrimination and male domination of policymaking are certainly not limited to poorer democracies, weak institutional backing may mean women's influence on policy takes longer to manifest than in states with stronger institutions.
Because the process of legislating is both time-consuming and continual, and because women representatives must navigate gendered constraints in legislatures that may slow their ability to impact policy and outcomes, determining a relationship between women's involvement in governance and renewable energy policy requires accounting for the passage of time. Although I do not attempt to disentangle the time lags attributable to the general policy-making process and the impact of women's representation in this study, I predict that
H2: Increases in the share of women in parliaments will not have immediate effects but will impact future renewable energy outcomes.
The effect of state wealth on climate change perceptions
The aforementioned impact of state wealth on the gap between women's and men's climate change preferences at the individual level may be of particular importance. The vast majority of research regarding the gender gap in environmental attitudes considers developed countries; importantly, as uncovered in the most recent analysis of women's and men's environmentalism, Bush and Clayton (Reference Bush and Clayton2021) have found that the gender gap in climate change concern is moderated by state income, and that ‘the wealthier the country, the more likely women are to express concern about climate change relative to men’ (Bush & Clayton, Reference Bush and Clayton2021, p. 1).
If the gender gap in climate change attitudes increases with state wealth, it may be that the increased representation of women, and therefore their environmentally friendly preferences, has a greater impact on the environmental outcomes of high-income states. In states where women's and men's climate change preferences are similar, we have less reason to suspect that an increased representation of women's preferences would lead to vast changes in environmental policy and outcomes. Thus, I predict that:
H3: The relationship between increased women's participation in parliaments and renewable energy outcomes will be stronger in high-income countries.
In summary, I argue that women's presence in parliaments may impact the ultimate outcome of renewable energy consumption. Yet, these effects will be most pronounced in high-income states, as the evidence for a gender gap in climate change preferences is strongest in these contexts. Women representatives in these contexts may seek to substantively represent these preferences. For these reasons, I assert that women MPs will advocate for a range of policies in favour of sustainable energy consumption in the policymaking process and within their own parties creating an aggregate increased renewable energy consumption in higher income countries. In addition, I put forth that these effects will take time to materialize.
Research design: Methods and variables
In the following analysis, I consider only democracies as categorized by Hadenius and Teorell (2007 in Dahlberg et al., Reference Dahlberg, Holmberg, Rothstein, Pachon and Svensson2018, p. 87), as parliaments are the most effective in democracies. Democracies are determined by finding the mean of the Freedom House and Polity scales with a threshold between democracies and autocracies drawn at 7.5, which ‘was chosen by estimating the mean cut-off point separating democracy from autocracy in five well-known categorical measures of democracy… together with Freedom House's and Polity's own categorical thresholds for democracy’ (Dahlberg et al., Reference Dahlberg, Holmberg, Rothstein, Pachon and Svensson2018, p. 105). Data come from the 20-year period from 1997 to 2017, a selection based on data availability. Because the proportion of women in parliament theoretically does not vary between elections, I average variables for each election period. Election dates and periods were determined using the Global Elections Database (Brancati, Reference Brancati2020). Thus, panel data are organized by country-election term as the unit of analysis. The vast majority of election term durations range from 2 to 5 years. Not only does aggregating data into election periods accurately capture the variance in women in parliament, but it also helps to account for the different institutional timeframes in place in each country.
Dependent variable: Renewable energy consumption
Renewable energy consumption is a common measure used to gauge the amount of renewable energy consumed at the national level (Al-mulali et al., Reference Al-mulali, Ozturk and Adebola2016; Bolük & Mert, Reference Bolük and Mert2015; Danish et al., Reference Danish, Zhang, Wang and Wang2017). Consumption quantifies not only the amount of renewable energy that was produced and subsequently consumed by each state but also states’ consumption of renewable energy imported from elsewhere. Measuring consumption captures a state's willingness to use cleaner energy even if it lacks the capacity, resources, will, or governance structure to produce it domestically. Thus, I choose consumption, rather than production, as a dependent variable to avoid biasing the results in favour of those states which have unequal advantages in producing renewable energy. These data come from World Bank Data and are measured as a percentage of overall energy consumption (World Bank Open Data, 2019a).
Renewable energy consumption may be influenced by many factors. Wang et al. (Reference Wang, Li and Pisarenko2020) find that while increases in middle-income countries’ consumption are mostly correlated with increased research and development initiatives, renewable energy consumption in high-income countries is bolstered most by policy and environmental pressures. Due to the importance of policy in influencing renewable energy consumption, particularly in higher income states, below, I outline two such policies identified in the literature as impactful for renewable energy consumption: feed-in tariffs (FITs) and carbon taxes.
Smith and Urpelainen (Reference Smith and Urpelainen2014) demonstrate that implementing a FIT, ‘which mandates energy utilities to pay a higher price for renewable electricity to generators than for other sources of electricity’ (pp. 367–368) increases renewable energy generation. Because energy utilities must pay energy generators more for renewables, generators see more profit from renewable energy generation than from other types of energy generation and are thus incentivized to generate more energy from renewable sources than from non-renewable sources (Kalkuhl et al., Reference Kalkuhl, Edenhofer and Lessmann2012; Mendonça, Reference Mendonça2007; Mitchell et al., Reference Mitchell, Bauknecht and Connor2006; Smith & Urpelainen, Reference Smith and Urpelainen2014). FITs, ‘a price-based policy tool in the sense that a government sets a price at which [renewable energy] can be sold’ (Yamamoto, Reference Yamamoto2018, p. 4), allow ‘households and businesses to sell their [electricity generated from renewables] to an electric utility at a set price during a number of years’ (Yamamoto, Reference Yamamoto2018, p. 3). For this reason, countries like Germany and Spain's FITs were very successful, inspiring other countries, like Japan, to adopt similar FITs (Yamamoto, Reference Yamamoto2018).
Similarly, carbon taxes, which are ‘levied on the emission of a quantity of carbon dioxide’ (Hsu, Reference Hsu2012, pp. 5–6), are an oft-used policy at the state and supranational levels to make the generation of fossil fuel-based energy more expensive. Carbon taxation has often ‘been part of larger energy and excise tax reform efforts, rather than [only] focused on greenhouse gas emissions’ (Murray & Rivers, Reference Murray and Rivers2015, p. 675); yet in specific instances in which a carbon tax has been implemented independently, such as in Canada's British Columbia, it has led to reduced emissions (Murray & Rivers, Reference Murray and Rivers2015).
While the implementation of these policies may mediate the relationship between women's participation in governance and renewable energy consumption, others may impact renewable energy consumption as well. For instance, renewable energy consumption could be influenced by the preponderance of postmodern values within societies, a variable difficult or impossible to measure. The totality of influential policies is impossible to quantify and analyse in a systematic way; energy policy is layered, and outcomes are not likely to be attributable to one policy. Moreover, I argue not that women's presence in parliaments should correlate with the passage of any one policy but with the general movement of parliaments and parties towards environmental choices, which subsequently lead to more consumption of renewable energy. Focusing on renewable energy consumption circumvents the problem of identifying which policies are both the ‘most important’ in encouraging renewable energy consumption and those which are most likely to be influenced by women representatives specifically, instead of focusing on the final, aggregate effect.
Independent variable and controls
The main independent variable of interest, the percentage of women in parliament, is compiled by the Quality of Government dataset (Dahlberg et al., Reference Dahlberg, Holmberg, Rothstein, Pachon and Svensson2018) and comes from the World Bank Group's World Development Indicators (2019e). Control variables include GDP per capita (World Bank Open Data, 2019b), Climate Change Vulnerability Index (Chen et al., Reference Chen, Noble, Hellmann, Coffee, Murillo and Chawla2015), natural resource rents as a percentage of GDP (World Bank Open Data, 2019c), the level of democracy (Freedom House/Imputed Polity) (Dahlberg et al., Reference Dahlberg, Holmberg, Rothstein, Pachon and Svensson2018) and Human Development Index (Dahlberg et al., Reference Dahlberg, Holmberg, Rothstein, Pachon and Svensson2018).
I predict that GDP per capita will have a positive effect on renewable energy consumption when considered alongside the effect of the proportion of women in parliament. Additionally, there are likely to be more women in the parliaments of richer countries, and empirical literature suggests that some lower income states are not yet on a path to renewable energy (Romano et al., Reference Romano, Scandurra, Carfora and Pansini2016).
Including the Notre Dame Adaptation Initiative's Vulnerability Index, which indexes the ‘propensity or predisposition of human societies to be negatively impacted by climate hazards’ by assessing the exposure, sensitivity, and adaptive capacity of ‘six life supporting sectors: food, water, health, ecosystem services, human habitat, and infrastructure’ (Chen et al., Reference Chen, Noble, Hellmann, Coffee, Murillo and Chawla2015, p. 3) is predicted to drive up renewable energy usage, as states that are the most likely to face harm from climate change may find it in their interests to mitigate climate change before it occurs.
Accounting for natural resource rents, which in this case include ‘oil rents, natural gas rents, coal rents (hard and soft), mineral rents, and forest rents’ (World Bank Open Data, 2019c) accounts for the potentially lower renewable energy consumption by states that benefit significantly from the extraction of resources. Relatedly, some states with high resource rents (particularly oil) are also rich in unused renewable energy sources (Atalay et al., Reference Atalay, Biermann and Kalfagianni2016), indicating that the incentives to use unrenewable resources may outweigh the burden of the clean energy transition for some states, even when renewable resources are abundant.
Both the Human Development Index and level of democracy measures are controlled for, in accordance with similar analyses, for their potential to impact both women's role in society, and thus governance, as well as electricity access in general (Ergas & York, Reference Ergas and York2012; Lv & Deng, Reference Lv and Deng2018; McGee et al., Reference McGee, Greiner, Christensen, Ergas and Clement2020; Nugent & Shandra, Reference Nugent and Shandra2009; Salahodjaev & Jarilkapova, Reference Salahodjaev and Jarilkapova2020). They are obtained from the Quality of Government dataset (Dahlberg et al., Reference Dahlberg, Holmberg, Rothstein, Pachon and Svensson2018). The Human Development Index as measured by the United Nations Development Program provides an alternate development measure to GDP by emphasizing ‘that people and their capabilities should be the ultimate criteria for assessing the development of a country, not economic growth alone’ (Dalhberg et al., Reference Dahlberg, Holmberg, Rothstein, Pachon and Svensson2018, p. 133). The level of democracy (Freedom House/Imputed Polity) measure is a scaled variable and ranges from 0, least democratic, to 10, most democratic. Because only democracies, as characterized by Hadenius and Teorell (2007) are included in this analysis, this variable controls only for the level of democracy within states that already qualify broadly as democracies. The score is formulated by transforming both Freedom House and Polity's scores to a 0–10 scale and averaging them. Combining the two measures is demonstrated by Hadenius and Teorell (2007 in Dahlberg et al., Reference Dahlberg, Holmberg, Rothstein, Pachon and Svensson2018) to be more valid and reliable than each measure individually (Dahlberg et al., Reference Dahlberg, Holmberg, Rothstein, Pachon and Svensson2018, 77).
Importantly, country fixed effects capture renewable energy potential at the country level. This is especially vital, as some states may be better equipped to produce renewable energy and subsequently consume it. Controlling for this will ensure the validity of comparisons between states with high and low renewable capacity. Time fixed effects additionally capture the temporal trends shared by all countries, such as overall decreases in the cost of renewable technology over time, as well as trends towards postmaterialist values which may increase both women's representation and renewable energy consumption.
While the ideological position of parties, and the strength of each party, could very well impact renewable energy consumption, the proportion of women in government also impacts the ideological position of these parties (Greene & O'Brien, Reference Greene and O'Brien2016; Keith & Verge, Reference Keith and Verge2018; Kittilson, Reference Kittilson2011) and thus controlling for these party dynamics could introduce posttreatment bias, which ‘occurs when researchers control for covariates that are potentially affected by the treatment’ (Senk, Reference Senk2020, p. 5). If party positions vary according to their gender makeup, holding such party positions constant removes this variation, and thus removes the indirect effect of women's representation on renewable energy consumption. As my theoretical argument maintains that women's effect on renewable energy consumption is indirect – in other words, not by virtue of the fact that women are women, but through mechanisms of representation and party politics – controlling for party position may bias the estimates of the relationship I seek to measure in the first place. Nevertheless, the online Appendix I includes the main models with an indexed control of the strength of all parties’ left-right ideological positions.
Model specification
To test whether women's participation in parliaments influences renewable energy consumption, I estimate a two-way fixed effects panel regression. The fixed-effects model is used to avoid inconsistency of a pooling model when the individual error component is correlated with the regressors, which was the case with the data used here. Thus, the model, which takes the form yit = βΤxit+γi +δt+ εit, where a country is the individual component i, election term is the time component t, yit is the dependent variable, xit are time-varying independent variables, γi is the country-fixed effect, δt is the time fixed effect, εit is the error term, and βΤ is a vector. With both time and country fixed effects, the model treatsγi ‘as a further set of… parameters to be estimated’ (Croissant & Millo, Reference Croissant and Millo2008, p. 3). This allows consistent estimates for β (Croissant & Millo, Reference Croissant and Millo2008, p. 3).
To account for the delayed effect that arises after women in parliament are elected and participate in the policy process and to measure H2, most of the panel data models in this analysis regress a measure of renewable energy consumption, the dependent variable, on a lagged measure of women in parliament, the main independent variable. This modelling may uncover if variation in the proportion of women in parliament in previous election cycles correlates with future renewable energy consumption in a systematic way.
Descriptive statistics
Figures 1 and 2 show the distribution of the two main variables of this analysis, renewable energy consumption and the proportion of women in parliament.

Figure 1. Distribution of renewable energy consumption and distribution of renewable energy consumption by Country Income Group.
Source: Author's own compilation.

Figure 2. Distribution of share of women in parliaments and distribution of the share of women in parliaments by Country Income Group.
Source: Author's own compilation.
The distribution of total renewable energy consumption across countries is heavily right-skewed, with most renewable energy consumption falling below 25 per cent as a percentage of total energy consumption. Yet, breaking down this distribution by World Bank income group categorizations (World Bank Open Data, 2019d) reveals the notable differences in renewable energy consumption across income levels. A great majority of the states with the highest renewable energy consumption are low-income democracies; the average renewable energy consumption of states classified as low-income is over 75 per cent of total energy consumption, while high-income states on average consume less than 20 per cent renewable energy. This is likely due to poor energy access experienced by many low-income states; over 580 million people in Africa and 430 million people in Asia lack electricity access (Sambodo & Novandra, Reference Sambodo and Novandra2019) and thus may use small-scale and local energy sources, like solar-powered cookers and lanterns (Soria et al., Reference Soria, Farley and Glinski2016).
Low-income states within the sample like Zambia, Mali, and Sierra Leone, all have renewable energy consumption rates above 80 per cent of total energy consumption, while Benin demonstrates the lowest renewable energy consumption of all low-income states, at 60 per cent renewable energy consumption. This is still over 40 percentage points more renewable energy consumption than the average of high-income states, at 17.64 per cent.
Thus, expectedly, high-income states consume far less renewable energy as a percentage of their total energy consumption. Iceland consumes the most at just over 62 per cent renewables, with Liechtenstein, Norway, Uruguay, and Sweden consuming between 40 per cent and 58 per cent renewable energy as a percentage of total energy.
The overall distribution of women in parliament is also right-skewed, with most parliaments falling at less than 20 per cent of women's participation. Low-income states have significantly fewer women in their parliaments than do high, upper middle and lower middle-income states. On average, high-income states have just over 20 per cent of women in their parliaments while low-income states demonstrate levels below 10 per cent on average. Sweden's parliament ranks number one, with an almost 44 per cent women makeup. Finland, Norway, Denmark, the Netherlands and South Africa follow with rates between 35 per cent and 38 per cent. On the other extreme, Palau and Micronesia have no women in their parliaments.
Denmark saw a 25 per cent increase in renewable energy consumption, the greatest increase during the sample period, while its level of women's representation increased by nearly 5 per cent in this timeframe. Iceland saw an increase in renewables of 22.15 per cent, accompanied by an increase in women parliamentarians by 22.2 per cent. Lithuania's 17.34 per cent increase in renewables was accompanied by a 3.8 per cent increase in women in parliament, while Uruguay's 20.35 per cent increase in renewables was met with a 9.1 per cent increase in women's representation.
Figure 3 shows the variation in renewable energy consumption in all countries across the sample period, demonstrating a slight increase in renewable energy consumption over time.

Figure 3. Heterogeneity of renewable energy consumption over time. [Colour figure can be viewed at wileyonlinelibrary.com]
Source: Author's own compilation.
In contrast, Figure 4 shows that the percentage of women in parliament has increased steadily over time across all states in the sample.

Figure 4. Heterogeneity of the proportion of women in parliament over time. [Colour figure can be viewed at wileyonlinelibrary.com]
Source: Author's own compilation.
Results
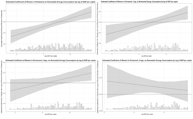
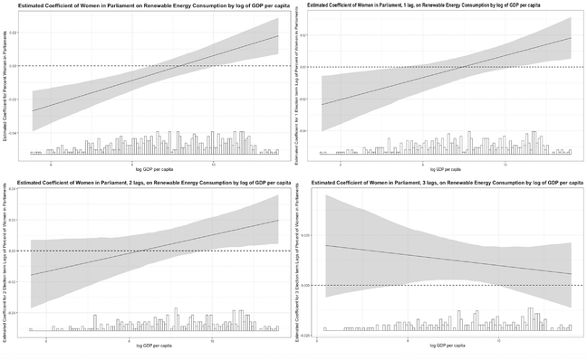
The regression results of the main variables and interactions are presented in Table 1. In Figure 5, I plot the marginal effects of the proportion of women in parliament when interacted with a logged value of GDP per capita, which ranges from Madagascar's 5.51 ($247), at the poorest, to Liechtenstein's 12.05 ($171,056), at the wealthiest. Because of the non-normal distribution of renewable energy consumption, I use a logged value of this variable in all of the following models. This requires coefficients to be interpreted substantively as exp(β), since exponentiation is the inverse of a logarithmic function. Significant relationships exist where estimated coefficients and their confidence intervals do not contain zero.Footnote 1

Figure 5. Plotted marginal effects of women in parliament on renewable energy consumption by GDP per capita at all lag structures.
Source: Author's own compilation.
Table 1. Time-series cross-sectional analysis of renewable energy consumption with country and year fixed effects and interaction of women in parliament and GDP per capita

Abbreviations: df, degree of freedom; HDI, human development index.
Significance levels
* p < 0.1;
** p < 0.05;
*** p < 0.01.
Source: Author's own compilation.
The plotted marginal effects of the proportion of women in parliament on renewable energy consumption show the significance of the relationship as moderated by GDP per capita, the distribution of which can be found in each plot. Higher income countries demonstrate significant and positive relationships when women's participation in parliaments is lagged from zero to two election terms. In states with a logged GDP per capita of between 10 and 12 ($22,540 in Slovenia to $171,056 in Liechtenstein, with a mean of $45,395), such as Australia, Belgium and the United States, the relationship between the proportion of women in parliament and the renewable energy consumption is indeed positive and significant. With a 5 per cent increase in women in parliament, a 5.08 per cent concurrent increase and a 5.12 per cent increase in renewable energy consumption after one and two election termsFootnote 2 a significant relationship is expected in Liechtenstein, the richest of democracies. Positive significance remains after three election term lagsFootnote 3 where logged GDP is equal to about 8 to 10 ($2985 in Colombia and the Marshall Islands and $21,959 in Greece), indicating significance more in middle-income countries like Ecuador, Botswana and Hungary. Conversely, the marginal effect of women's participation in parliament is significant and negative, when lagged from zero to one election terms, in lower income countries with a logged GDP per capita of about 8 or less (less than about $3000 GDP per capita), like Bulgaria, Ghana and the Philippines.
While countries with lower incomes indicate negative or non-significant relationships, results of these time-series cross-sectional regressions also indicate that, in line with prior research and with H3, women's involvement in governance does contribute to a greener policy outcome with respect to renewable energy consumption in richer states. Although H2 predicted that effects would not materialize immediately, I also find an immediate effect in higher income states. Yet, in line with H2, positive and significant effects remain after both one and two election terms in these states, while more middle-income states’ relationships take longer to materialize and appear after three election terms. Thus, the results here lend support to the idea that women representatives in higher income states may substantively represent women's environmental preferences.Footnote 4
Immediate positive effects may suggest spuriousness, yet it is important to note that time units are measured in election terms, periods that could last 5 years. Thus, immediate relationships indicate that the number of women in parliament in a potentially 5-year period influences renewables within that period. As FITs, for example, increase renewable consumption very successfully (Medonca, Reference Mendonça2007, p. 13), subsequent effects on renewable energy consumption could very well manifest within a timeframe of 5 years or less.
While little research investigates the timeline of environmental policy creation to final outcomes, some evidence suggests that these processes have sped up through the latter half of the twentieth century (Jordan et al., Reference Jordan, Brouwer and Noble2011). McCormick (Reference McCormick, Laurent and Maraesceau1998) asserts that, within the European Union, developing environmental proposals could take up to 7 years, while Hayes-Renshaw and Wallace (Reference Hayes-Renshaw and Wallace1997) estimate an average time of 18 months. Because election terms last from 2 to 5 years, these estimates appear in line with the timeline of findings here; yet, in cases of longer election terms, the period from the election of women to the ultimate policy outcome could be between 10 and 15 years. So, future research should attempt to measure the difference in the timelines of policy outcomes resulting from policies spearheaded by women, compared to those spearheaded by men, to more closely measure whether institutional gender-based constraints impact policy outcomes. It should also attempt to more specifically map the timeline of the policy output-outcome process.
The role of institutional strength
Results of time-series cross-sectional regressions indicate, in line with prior research, that women's involvement in governance does contribute to a greener policy outcome with respect to renewable energy consumption: while my original prediction that the relationship would be strongest in high-income states plays out, the analysis here indicates that the increased involvement of women in democracies at mid-levels of economic development is also significant for renewable energy consumption. Yet, the relationship materializes more quickly in higher income states. Thus, the question of whether women make a difference in renewable energy consumption at various levels of economic development is accompanied by a question of when they make a difference at these various levels of economic development.
The timeline differential between high- and mid-level incomes, as well as a lack of positive significance in lowest income states, may be explained by high-income democracies’ ability to maintain functioning and effective institutions while developing democracies often have lower governance benchmarks and ‘material, educational, structural and organizational deficiencies that negatively affect development and governance’ (Pelicice, Reference Pelicice2019, p. 2). As an initial test of whether the quality of democratic institutions explains the more immediate effect on women's representation in higher income countries, I interact the proportion of women in parliament with a measure of the quality of democracy (Freedom House/Imputed Polity). Online Appendix Table 3 and online Appendix Figure 1 broadly mirror the patterns in Figure 5. Yet, further research on the influence of governmental institutions on women's ability to impact policy outcomes is required to reach more concrete conclusions.
Connecting the dots: Investigating FITs and women's representation
Anecdotal evidence demonstrates women's involvement in climate change and environmental policy. U.S. Representative Debbie Dingell's introduction of the Clean Energy and Sustainability Accelerator (US Congress, 2021) is one such example of a female representative specifically initiating a policy with implications for renewable energy consumption. While a large-scale qualitative analysis of other similar policies proposed by women representatives should be undertaken in the future, to further investigate the relationship between women's representation and renewable energy consumption, I include in the online Appendix an additional set of regressions with a focus on a policy that may increase renewable energy consumption: FITs.
While I assert that women's impact on renewable energy consumption is an aggregation of their impact in parliaments and parties, the results of these models, while insignificant to the 0.005 level, demonstrate a similar direction to the above models. This offers preliminary evidence for the systematic involvement of women in the passage of environmental legislation. The full models and plotted marginal effects can be found in the online Appendix Table 8 and Figure 5.
Conclusion
While much of the academic attention paid to the effects of increased women's representation in governments has focused on ‘women's issues’ like abortion, paid maternal leave and human trafficking (Ennser-Jedenastik, Reference Ennser-Jedenastik2017; McBride, Reference McBride2001; Wittmer & Bouche, Reference Wittmer and Bouché2013), the impact of women's increased participation in governance encompasses a much broader range of issues. While existing literature has suggested a relationship between women's parliamentary participation and environmental outcomes, this study sheds new light on the important contextualities of this relationship. I find that increases in women's parliamentary participation lead to increases in renewable energy consumption, that this relationship is moderated by state wealth, and that it takes time to appear. While richer countries show positive and significant effects of women's increased presence in parliaments on renewable energy consumption, middle-income countries’ significant and positive relationships take longer to materialize. Overall, these results contribute to the growing literature on the impact of women's political participation on environmentalism and give new attention to the role of both state development and time in this relationship.
The implications for these findings are manifold and widely pertinent to today's environmental politics. The first implications are political and impact all actors, from individual voters to governments themselves. They suggest that electing more women to office in higher income democracies could speed the process of decarbonization, notwithstanding the implicit and additional benefits to gender equality. Environmentally minded voters, activists and interest groups should thus seriously consider the way their representatives’ gender may impact environmentalism and take seriously the role of gender equality in their governments.
Additional implications are direct: high-income states consume far more energy and emit far more CO2 per capita than do lower income countries (Ritchie et al., Reference Ritchie, Roser and Rosado2020). Thus, when considering global environmental outcomes, increasing high-income states’ consumption of renewables is of real importance in achieving the goals set out by the Paris Climate Agreement (Ritchie et al., Reference Ritchie, Roser and Rosado2020). Because many countries aim for net zero emissions by 2050 (Bazilian & Gielen, Reference Bazilian and Gielen2020), finding fast and effective means to lower emissions is essential to meet goals as well as to substantively avoid excessive climate change. The results here suggest that increasing women's political power could accelerate higher income states’ ascension to these goals.
Yet, lower income states maintain high future-emissions potential, particularly as they continue to develop. Thus, future research must uncover the unique and potentially powerful role that women representatives may play in environmental policymaking in lower income states, and the institutional, cultural, and political barriers they face in contributing to impactful environmental policy.
Further research could take this analysis in another direction by investigating women's impact on particular policies, with special attention to whether women representatives are more prone to affect certain policies over others. The role of women in various other government positions – such as cabinet members, heads of state, party leaders and the like – could also be investigated to determine which roles offer women the most power in affecting environmental outcomes. Investigating the effects of other institutional factors, like corruption, on women's ability to influence outcomes would offer additional contextual insight into the relationship between women's representation and environmental outcomes.
Revisiting these relationships once more time has passed, and thus more data are available, could help explore the relationship to an even greater extent. With these additional data, analyses could attempt to uncover differentials in the emergence of policy outcomes, investigating whether it takes women longer to change policy outcomes compared to their male counterparts. Finally, further research could investigate why, and under what circumstances, women representatives fail to make a difference in environmental policy, especially when states with lower levels of economic development, and thus potentially weaker political institutions, do take concrete steps to include more women in governance by instituting quotas and other equalizing initiatives. This could help uncover if the way women enter office matters for their effectiveness in influencing environmental policy.
Lastly, and beyond the scope of this research, additional work to uncover the role of government and party ideology on renewable energy policy will be of paramount importance, and such investigations should consider women's roles in shaping party platforms and agendas.
Acknowledgements
I am incredibly grateful for the feedback and guidance provided by Stefanie Reher and Patrick Bayer during the writing of this paper. I am also indebted to Becki Scola and Lisa Baglione for their constant mentorship and engaged feedback.
Online Appendix
Additional supporting information may be found in the Online Appendix section at the end of the article:
Appendix Table 1: models of all democracies with control variable results.
Appendix Table 2: Interactions of the proportion of women in parliament with democracy score, followed by the marginal effects of women in parliament on renewable energy consumption.
Appendix Figure 1: Plotted marginal effects of women in parliament on renewable energy consumption by Democracy Score at all lag structures.
Appendix Table 3: Robustness test of the interactions of the proportion of women in parliament with HDI, followed by the marginal effects of women in parliament on renewable energy consumption.
Appendix Figure 2: Plotted marginal effects of the participation of women in parliaments by HDI.
Appendix Table 4: Robustness tests including a measure of government's left-right ideological position with country and year fixed effects and control variables.
Appendix Table 5: Robustness tests including a measure of government's left-right ideological position with an interaction of the proportion of women in parliament and GDP per capita, with country and year fixed effects and control variables.
Appendix Figure 3: Plotted marginal effects of women in parliament on renewable energy consumption by GDP per capita at all lag structures.
Appendix Table 6: Robustness tests including a measure of government's left-right ideological position with an interaction of the proportion of women in parliament and democracy score, with country and year fixed effects and control variables.
Appendix Figure 4: Plotted marginal effects of women in parliament on renewable energy consumption by democracy score at all lag structures.
Appendix Table 7: Robustness tests of Appendix Table 1, in which observations before election term 3 are discounted and models are rerun.
Appendix Table 8: Robustness tests of Appendix Table 2, in which observations before election term 3 are discounted and models are rerun.
Appendix Table 9: Time-series cross-sectional analysis of FITs with country and year fixed effects and an interaction of women in parliament and GDP per capita.
Appendix Figure 5: Plotted marginal effects of women in parliament on FITs by GDP per capita at all lag structures.
Appendix Table 10: Time-series cross-sectional analysis of renewable energy consumption with country and year fixed effects and an interaction of women in cabinets and GDP per capita.
Appendix Figure 6: Plotted marginal effects of women in cabinets on renewable energy consumption by GDP per capita at all lag structures
Supplementary material





