INTRODUCTION
Latina/o/x support for Biden in 2020 was 8 percentage points lower than support for Clinton in 2016, the largest drop of any racial/ethnic group.Footnote 1 Given the increasing competitiveness of presidential elections, these shifts led pundits and academics to speculate about the causes and consequences of Latinos drifting from the Democratic Party. Though these electoral shifts re-ignited interest in Latino politics, the specter of GOP gains among Latinos has always been present (de la Garza and Cortina Reference de la Garza and Cortina2007).
While many Latinos identify as conservative and vote Republican, a majority of Latinos identify as Democrats. To explain this, existing theory emphasizes a threat-mobilization process, where increasing polarization and extremism on the issue of immigration, owing to growing restrictionism among Republicans, has pushed Latinos toward the Democratic Party (Barreto and Collingwood Reference Barreto and Collingwood2015; Bowler, Nicholson, and Segura Reference Bowler, Nicholson and Segura2006; Gutierrez et al. Reference Gutierrez, Ocampo, Barreto and Segura2019). This process is consistent with social identity research, which posits that threat can activate anger and mobilize groups (Mackie, Devos, and Smith Reference Mackie, Devos and Smith2000). Given this, Trump support among Latinos ought to have reached a nadir after 4 years of immigration restrictionism. Yet, Trump made gains in majority Latino areas across the nation.Footnote 2
Are these rightward shifts durable? On the one hand, our evidence shows working-class and ideologically conservative Latinos supported Trump more in 2020, mirroring mass-level increases in educational and ideological polarization (Gethin, Martínez-Toledano, and Piketty Reference Gethin, Martínez-Toledano and Piketty2022). This points to lasting shifts in partisan loyalties. On the other hand, while the Latino vote continues to be majority Democratic, historical voting patterns reveal significant ebbs and flows in Republican support.Footnote 3 Therefore, 2020 could be a “reversion to the mean,” with 2016 serving as a high watermark for Democrats.
We unpack the 2020 “Latino shift” by examining the electoral behavior of Latino subgroups. We leverage surveys to show which subgroups contributed net votes for Trump in 2020. We also decompose components of change into shifts in turnout, vote choice, and group size using the approach outlined by Grimmer, Marble, and Tanigawa-Lau (Reference Grimmer, Marble and Tanigawa-Lau2022). We find that Trump improved within subgroups already disposed to favor Republicans, indicating a more durable change in Latino voting and suggesting that “identity threat” effects may have been transient (Gutierrez et al. Reference Gutierrez, Ocampo, Barreto and Segura2019). Specifically, we find a stronger alignment between issue positions and 2020 vote choice, as Trump gained net votes among blocs defined by criminal justice and immigration attitudes, as well as Latinos who describe themselves as very conservative, Catholic, and lower socioeconomic status (SES).
These gains are attributable to rightward swings as opposed to (de)mobilization, with the notable exceptions of college-educated Latinos and partisans whose attachments remained stable. Analyzing precinct returns and voter file data, we see that places with more immigrants and lower SES also shifted rightward. Our findings empirically develop an understanding of contemporary Latino vote shifts, while also theoretically calling into question the durability of threat-mobilization.
OUR CONTRIBUTION
Evidence exists for both stability and instability in Latino voting (Appendix A.1 of the Supplementary Material provides a literature review). The potential for Republican gains among Latinos has long been recognized (de la Garza and Cortina Reference de la Garza and Cortina2007), but unrealized (Barreto and Collingwood Reference Barreto and Collingwood2015). The 2020 election is theoretically important since a shift toward Trump occurred despite the presence of several conditions that could generate Latino bloc voting (e.g., threat). Latinos are still heavily Democratic-leaning, in both party identification and vote choice (Barreto and Segura Reference Barreto and Segura2014; Corral and Leal Reference Corral and Leal2020). However, a deeper understanding of who shifted toward Trump may resolve the disconnect between recent political shifts among Latinos and the extant literature.
We seek to answer two key questions related to 2020 Latino voter behavior: First, which Latinos increased their support for Trump in 2020? Here, we draw on national surveys, precinct-level returns, and voter file data. Second, will this increase in support transfer to other Republican candidates in the future? We study the characteristics of Latinos who contributed to Trump’s gains and/or shifted their support to Trump, finding a stronger correspondence between political orientations and vote choice from 2016 to 2020, and observing general stability in 2022.
We divide our analyses into two parts. First, we conduct a decomposition of the net votes Trump gained from Latinos in 2020 relative to 2016. Second, we use a combination of precinct returns and national voter file data to conduct an ecological analysis of areas with a disproportionate “Latino shift.” Though both approaches have limitations, we consider the use of both individual-level and ecological data as necessary, given wide variation in estimates of Latino opinion across different polls.Footnote 4 To the extent that we find similar patterns across data sources, we can be more confident in our conclusions.
RESULTS
Trump Gained among Low-SES and Conservative Latinos
Grimmer, Marble, and Tanigawa-Lau (Reference Grimmer, Marble and Tanigawa-Lau2022) contend that while models focused on changes in vote choice across elections can identify shifts in candidate support, assessing how these shifts are translated into vote totals requires a different approach. A bloc’s contribution to election outcomes depends on three components—turnout, vote choice, and composition. Simply knowing if a voting bloc became more likely to vote for a candidate between elections is insufficient for knowing if that bloc produced a net increase in that candidate’s vote total. As Grimmer, Marble, and Tanigawa-Lau (Reference Grimmer, Marble and Tanigawa-Lau2022) show, one can estimate this “net votes” quantity within a given voting bloc x using the following equation:

This equation clarifies the necessary components for calculating if a candidate gained votes from a bloc over time. The first component captures the percentage point difference in vote choice between Trump and his Democratic competitor within voting bloc x, the second component is x’s turnout rate, and finally, the third component is the share of the Latino electorate in voting bloc x. (See Appendix A.2 of the Supplementary Material for further explanation of this decomposition method, and Appendix A.3 of the Supplementary Material for an explanation of the utility of this decomposition for our understanding.)
To better understand the role of different Latino voting blocs in 2020, we estimate Latino-specific survey weights using entropy balancing (Hainmueller Reference Hainmueller2012) and apply the Grimmer—Marble–Tanigawa–Lau (GMTL) decomposition to key political and demographic subgroups using data from the 2016 and 2020 Cooperative Election Study (CES). The principal advantages of the CES are the size of its Latino sample (
$ {N}_{2016} $
= 7,495;
$ {N}_{2020} $
= 6,978) and the inclusion of turnout and voter validation data. Given that we aim to make inferences about Latinos, we use entropy balancing to estimate Latino-specific weights using data from the 2016 and 2019 American Community Survey (ACS).Footnote 5 We assess if Trump observed increases in net votes from 2016 to 2020 among Latino subgroups based on age, sex, income, education, ancestry, generational status, partisanship, ideology, religion, crime policy attitudes, immigration attitudes, and social media usage. Given inconsistent survey items across CES surveys, item response theory (IRT) was used to place respondents on the same latent scale through the use of common items present in both 2016 and 2020 (see “Additional Study Details” documentation on Dataverse for question wording and scale construction details; Fraga, Velez, and West Reference Fraga, Velez and West2024).
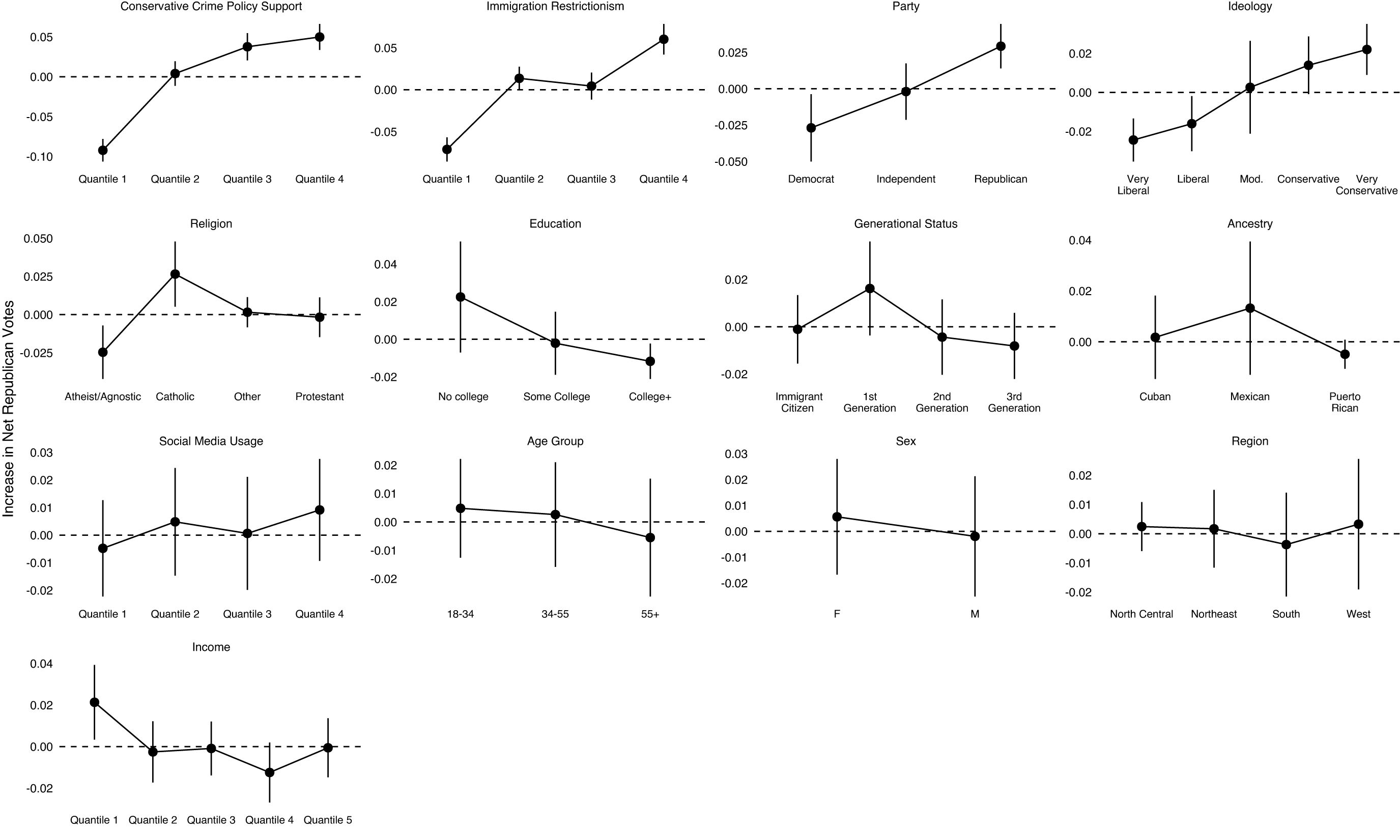
Figure 1 presents estimates of net vote Trump increases from 2016 to 2020 with bootstrapped 95% confidence intervals.Footnote 6 Positive estimates indicate shifts in relative Trump support from 2016 to 2020, whereas negative estimates indicate shifts toward Biden. Observable shifts in votes for Trump from 2016 to 2020 were mostly contained within partisan, religious, ideological, and attitudinal voting blocs, such as Catholic, restrictionist, pro-police, partisan, and ideologically conservative Latinos. That is, indicators for alignment with the Republican party most strongly predict Latino vote shifts. This suggests that shifts are sustainable and not necessarily specific to Trump or 2020. We also explicitly examine election-specific effects, such as reactions to COVID-19 and BLM protests and do not find support for these alternative explanations of Latino vote shift (see Appendices A.4 and A.5 of the Supplementary Material). Our social media analysis presented in the first panel in the third row of Figure 1 also suggests misinformation may have had muted effects on net votes.Footnote 7

Figure 1. Increase in Net Republican Votes from 2016 to 2020 among Different Latino Subgroups
Note: Positive scores indicate that Trump gained votes within a subgroup across elections. Negative scores indicate that Biden gained votes (relative to Clinton) across elections. Estimates are calculated for Latinos only.
Patterns for demographic voting blocs were smaller, with considerable uncertainty in the estimates. Net vote increases of 2 percentage points (pp) were observed among the least educated and lowest income quartile. Those with a college degree provided Biden with a net vote increase of approximately 1pp. This is consistent with a shift in the electorate in general, and thus again indicates the rightward shift among Latinos may be sticky. We observe suggestive evidence of a shift toward Trump among first-generation Latinos (i.e., American-born children of immigrants) (p = 0.10). Shifts toward Trump according to age, sex, social media use, ancestry, or geographic region are less discernible.
In Figure 2, we display the different components of the “net votes” estimand for the voting blocs that had statistically discernible shifts (see “Additional Study Details” documentation on Dataverse for estimates). The figure displays percentage point changes from 2016 to 2020 with respect to the different components: turnout rate, Trump support, and group size. The closer the estimate of a component is to zero, the less likely it is to be an explanation for increases in net votes. Positive (negative) estimates for the turnout rate indicate that the voting bloc increased (decreased) its turnout from 2016 to 2020, positive (negative) estimates for the subgroup Republican support measure indicate that the subgroup increased (decreased) its Trump support from 2016 to 2020, and positive (negative) estimates for the composition measure indicate that a group grew (shrunk) as a share of the electorate.

Figure 2. Decomposition of Net Votes into Changes in Turnout Rate, Composition, and Vote Choice from 2016 to 2020 for Voting Blocs Demonstrating Discernible Shifts toward Trump
Note: Estimates are calculated for Latinos only.
Shifts in Trump vote choice from 2016 to 2020 help explain net vote increases among voting blocs defined by conservative crime policy attitudes, generational status, and ideology. Turnout increases from 2016 to 2020 appear to be responsible for the net vote increases for Biden among those with a college degree. In other cases, a combination of changes in turnout, Trump vote, and/or composition is responsible for the observable shifts within voting blocs. For example, those scoring at the lower end of immigration restrictionism had a higher turnout rate in 2020 than 2016 and increased their support for Biden, but became a smaller proportion of the electorate. Those scoring at the upper end of the scale became more numerous, increased turnout, and increased Trump support in 2020 over 2016. Relative increases in Trump support among first-generation Latinos can be explained by a mixture of increased turnout and increased Trump vote choice, whereas shifts among low-income voters can mostly be attributed to vote choice. Gains among Catholics can be explained by changes in turnout and vote share, whereas gains among atheists/agnostics can mostly be explained by increases in turnout.
We find changes in vote choice among low SES and conservative Latino voting blocs generated increases in net votes for Trump. This dovetails with trends among white voters seen since 2016, and suggests that this rightward 2020 shift among Latinos may stick. In contrast, mobilization among voters with stable voting patterns who were already opposed to Trump (e.g., self-identified Democrats, liberals, and college-educated voters) contributed to decreases in his vote totals. Our estimates are consistent with ideological sorting, rather than an increase in the share of conservative Latinos. While a threat-mobilization process may have driven opposition to Trump among those already predisposed (e.g., Democrats, college-educated Latinos) (Gutierrez et al. Reference Gutierrez, Ocampo, Barreto and Segura2019; Ocampo, Garcia-Rios, and Gutierrez Reference Ocampo, Garcia-Rios and Gutierrez2021; Pantoja and Segura Reference Pantoja and Segura2003), this effect did not extend to more conservative or less politically active Latinos.
Shift to Trump was Geographically Broad/Concentrated in Areas with Low-SES, Newly Activated Latinos
To further probe Latino voter shifts, we rely on official records of turnout and election results at the sub-county level. We identify the population of 2020 voters using individual-level voter file records from TargetSmart, a vendor that compiles voter registration and vote history data in each state, geocoding registrants’ addresses and using a combination of given name, surname, and geographic context to model individual race/ethnicity. We aggregate the number of voters in 2020 by voting behavior in the 2018, 2016, and 2014 elections, along with sums of the modeled probabilities of voter race/ethnicity, to the Census tract level. We reaggregate precinct-level 2016 and 2020 election results produced by the Voting and Election Science Team (2018; 2020) to the 2010 Census tract level, merging the resultant election results with the voter file-derived turnout totals.
Figure 3 indicates the increase or decrease in Trump’s two-party 2020 vote share as compared to the 2016 election at the Census-tract level. There are broad gains in Trump vote share in neighborhoods with substantial numbers of Latino voters. Here, the trend is monotonically rising from 25% Latino onward, with an 80% Latino tract seeing a roughly 15pp increase in Trump two-party vote share between 2016 and 2020. In Appendix A.7 of the Supplementary Material, we show that these gains can be observed even outside Florida and Texas.

Figure 3. Census Tract-Level Trump 2020 Two-Party Vote Share Minus Trump 2016 Vote Share as a Function of Percent Latino Voters
Note: Blue line represents a loess smoother. Red dashed line indicates 0 change in Trump two-party vote between 2016 and 2020.
Which factors predict increased Trump vote share in the voter file data? Table 1 presents estimates from a weighted linear regression on the Census-tract level election and turnout data.Footnote 8 The dependent variable is the 2020 Trump share of the two-party vote, and % Latino is the modeled share of tract voters in 2020 who were Latino. Model 1 indicates a linear decrease in Trump support as the share of Latino voters increases. That is, at baseline, Democrats perform better than Republicans in heavily Latino areas. However, once we control for Trump’s vote share in 2016 at the tract level (Model 2), the relationship reverses and the percent of voters who are Latino in a Census tract positively predicts Trump gains in 2020. Model 3 adds a voter file-derived variable related to previous voting history: the percent of Latino voters in the tract who could have voted prior to the 2020 election,Footnote 9 but have no recorded vote history before Trump’s re-election campaign. After controlling for 2016 Trump vote share, and the overall percent Latino voter in the tract, the percent of Latinos who were first-time voters in 2020 significantly predicts an increase in Trump vote share. In conjunction with Figure A.5 in the Supplementary Material, this implies a newly activated group of Latino voters produced some of Trump’s raw gains.
Table 1. Census Tract-Level Regressions Predicting Trump 2020 Two-Party Vote Share

Note: Unit of observation is the 2020 Census tract. Estimates derived using a weighted least-squares model. * p < 0.05, ** p < 0.01, *** p < 0.001.
Leveraging the Census tract-level aggregated data, Models 4–6 of Table 1 add estimates from the Census American Community Survey 2016–2020 5-Year data. These additional variables proxy for individual-level attributes discussed in the net-votes analysis. In line with the GMTL decomposition, median household income for Latino-led households in the tract is associated with a significant decrease in Trump support. Similarly, as percent Latino non-college increases, Trump’s vote share also increases. Both of these corroborate the story that lower-SES Latinos were a source of increased 2020 Trump support, even after accounting for his performance in the same Census tracts in 2016.
Model 5 of Table 1 attempts to capture generational dynamics. Recall that in the GMTL decomposition, there was a large, though imprecisely estimated, boost in Trump support among individuals who indicated that they were the children of immigrants. The Census Bureau does not ask about generational status directly. Instead, we use three variables in an attempt to establish how personal proximity to the immigration experience predicts an increase in Trump support: percent immigrant, which uses the total Latino population in the tract as the denominator; percent of Latino immigrants who are naturalized, an interaction between these variables that should expose the independent effect of the Latino immigrant voting-eligible population; and the percent of native-born Latinos who report that they speak English less than “very well.” This final measure speaks to the size of the less “acculturated” U.S. or Puerto Rican-born Latino population within a Census Tract.
The results again provide evidence of shifting loyalties among Latinos proximate to the immigrant experience. In places with more immigrants and a larger share of potential immigrant voters (the interaction term), Trump support 2016–2020 increased significantly, implying that immigrants were a source of Trump gains. Yet, the independent effects of the Latino immigrant population, Latino immigrant naturalization rate, and the percent of the native-born population that is limited English proficient tell a different story. Places with many noncitizen Latino immigrants did not see an increase in Trump support in 2020. Tracts with a high naturalization rate, but few Latino immigrants overall, saw relatively lower levels of Trump support in 2020 compared to 2016. A larger share of U.S or Puerto Rican-born Latinos who exhibit limited English proficiency predicts an increase in Trump support. Model 6 demonstrates that these heterogeneous estimates persist after controlling for education and income. These results offer tentative evidence that, all else equal, places with a less acculturated and lower-SES Latino population were disproportionately likely to shift toward Trump in 2020. We thus confirm some of the demographic correlates of increased Latino support found in the GMTL decomposition.
CONCLUSION
The Republican gains we describe in our paper align with two key processes shaping American politics: ideological sorting and educational polarization. Unlike the general population, these mechanisms have been notably delayed among Latino voters. Though we can only speculate on the source, one plausible reason may be the diminished salience of immigration. Immigration has receded in national importance, with fewer voters, including Latinos, describing it as crucial issue (Sanchez Reference Sanchez2021). Even after 2020, economic issues have become more pressing for Latino voters than immigration.Footnote 10 Second, while 55% of Latinos viewed Trump as hostile to Latinos in 2016, this number dropped to 29% in 2020 (Sanchez Reference Sanchez2021). Decreased immigration salience and reduced perceptions of hostility may be responsible for recent defections.
Given the nature of the subgroups who have shifted most, the evidence suggests a more durable shift toward the Republican party that has less to do with specific campaign messaging or threat. Gains were not found solely among national origin groups or in states where messaging would be expected to have a large impact. We examine election-specific factors such as COVID-19, social media consumption, and BLM protests, and fail to find evidence that these events induced distinctive 2020 GOP shifts. Instead, a segment of the Latino electorate that is in line with Republicans’ conservative policy agenda supported Trump in 2020 and are unlikely to transfer support to Democrats going forward.
In Appendix A.8 of the Supplementary Material, our data point to a relative consistency in net vote patterns between 2020 and 2022, offering a glimpse into potential trends for the 2024 election. The 2022 analysis also serves to test whether such movements are short-lived and Trump-specific or part of a more enduring realignment. More research is necessary on the reach of these trends into down-ballot races. Still, our findings dovetail with recent literature that also discounts short-term factors, such as the COVID-19 pandemic or threat during the Trump administration, as primary drivers for this shift among Latino voters toward the Republican party (Hopkins, Kaiser, and Pérez Reference Hopkins, Kaiser and Efrén O.2023). This lends credence to the notion that the rightward shift is more structural and likely to persist.
Beyond implications for future trends, our results advance understanding of Latino political behavior in two ways. First, by focusing on net votes, we are able to isolate specific changes in Latino voting patterns. This approach offers a valuable method for examining the scope conditions of the threat-mobilization hypothesis, which has historically been studied by focusing on turnout (White Reference White2016) or partisanship (Bowler, Nicholson, and Segura Reference Bowler, Nicholson and Segura2006) in isolation. Our second contribution is documenting an influential set of Latino voters who could vote for restrictionist candidates despite being the population of eligible voters most impacted by increased immigration enforcement and punitive policies: working-class Latinos and those closer to the immigration experience. Given the polarized nature of immigration, future research in Latino politics could examine how and when immigrant identities are politically consequential.
Though the future of Latino politics is uncertain, the 2020 election is an opportunity to reflect on the complicated nature of identity-based political behavior. Throughout different eras of U.S. immigration, ethnic voting blocs have formed and dissolved, owing to both changes in the material conditions of group members and shifts in elite behavior (Wolfinger Reference Wolfinger1965). Assuming a trajectory that favors one political party runs the risk of embracing a “demographic determinism” that does not neatly align with minority voting patterns. This hinders political responsiveness insofar as groups’ political attachments are seen as fixed.
SUPPLEMENTARY MATERIAL
The supplementary material for this article can be found at https://doi.org/10.1017/S0003055424000406.
DATA AVAILABILITY STATEMENT
Research documentation and data that support the findings of this study are openly available at the American Political Science Review Dataverse: https://doi.org/10.7910/DVN/4MOTFS.
ACKNOWLEDGMENTS
We thank participants at the UCLA American Politics and Race, Ethnicity, and Politics Workshop, NYU American Politics Workshop, the University of Michigan Interdisciplinary Race, Ethnicity, and Politics Workshop, and the University of Chicago Center for Effective Government American Politics Conference for their helpful comments. Author names are in alphabetical order. All errors are our responsibility.
FUNDING STATEMENT
This research was funded by the researchers’ own research funds with no external funding.
CONFLICT OF INTEREST
The authors declare no ethical issues or conflicts of interest in this research.
ETHICAL STANDARDS
The authors affirm this research did not involve human participants.
Comments
No Comments have been published for this article.