Introduction
Nudges have become widely employed tools within organizations. The popularity of nudges is largely attributed to their advantages: they are simple and low-cost to implement. A nudge is an intervention that alters people's behavior by changing the choice architecture in which a decision is made. Importantly, it does not forbid anything or change incentives (Thaler & Sunstein, Reference Thaler and Sunstein2021). Nudges work by altering information, changing the structure of a decision or assisting with decision-making (Münscher et al., Reference Münscher, Vetter and Scheuerle2016). They have been shown to increase healthy life choices (Lin et al., Reference Lin, Osman and Ashcroft2017), stimulate evidence-based medicine (Nagtegaal et al., Reference Nagtegaal, Tummers, Noordegraaf and Bekkers2019) and improve human–computer interaction (Caraban et al., Reference Caraban, Karapanos, Gonçalves and Campos2019).
However, nudges have also attracted criticism. Two critiques are particularly salient in the scholarly literature and in the media (Tummers, Reference Tummers2022). First, scholars have argued that nudges reduce autonomy (Hausman & Welch, Reference Hausman and Welch2010; Wilkinson, Reference Wilkinson2013). Although some studies have addressed this criticism (e.g., Wachner et al., Reference Wachner, Adriaanse and De Ridder2020, Reference Wachner, Adriaanse and De Ridder2021), the debate continues in part because scholars use varying conceptualizations of autonomy (Vugts et al., Reference Vugts, Van Den Hoven, De Vet and Verweij2020). In this paper, autonomy is understood as the extent to which employees experience agency: to what extent does a nudge allow employees to make independent decisions in their work? This approach fits the findings of Vugts et al. (Reference Vugts, Van Den Hoven, De Vet and Verweij2020), who show most scholars, albeit implicitly, understand nudge autonomy in terms of agency. Autonomy is a fundamental human need that drives motivation (Ryan & Deci, Reference Ryan and Deci2017). If nudges decrease autonomy, their presence may not be desirable. The second criticism is that nudges are ineffective in changing behavior. In defense of nudges, a recent meta-analysis conducted on more than 200 studies found that nudges are effective with small to medium effect sizes (Mertens et al., Reference Mertens, Herberz, Hahnel and Brosch2022). However, other scholars find no evidence for the effectiveness of nudges after correcting for publication bias (Maier et al., Reference Maier, Bartoš, Stanley, Shanks, Harris and Wagenmakers2022). Relatedly, as Mertens et al. (Reference Mertens, Herberz, Hahnel and Brosch2022) admit, a nudge's effectiveness often depends on the type of nudge. Finally, there is scant knowledge about why nudges are effective (Szaszi et al., Reference Szaszi, Higney, Charlton, Gelman, Ziano, Aczel and Tipton2022).
These two criticisms should urge scholars to study whether nudges are autonomy-preserving and effective as well as why, how and under what conditions they work. Autonomy and effectiveness of nudges may present a tension: effective nudges could be less autonomy-preserving and vice versa. For example, defaults are more effective than other types of nudges (Mertens et al., Reference Mertens, Herberz, Hahnel and Brosch2022), but respondents also expected default nudges to be particularly detrimental to autonomy (Wachner et al., Reference Wachner, Adriaanse and De Ridder2020, Reference Wachner, Adriaanse and De Ridder2021). However, this tension between autonomy and effectiveness is not a given. An effective nudge can also increase autonomy by helping people make the choices they want to make (De Ridder et al., Reference De Ridder, Feitsma, Van den Hoven, Kroese, Schillemans, Verweij and De Vet2020). We argue that whether nudges can preserve autonomy and be effective at the same time depends on the nudge design. Recent innovations in nudge theory, like those on nudge+, nudge vs think, boosting and self-nudges, can inform the development of nudges that are autonomy-preserving and effective (Hertwig & Grüne-Yanoff, Reference Hertwig and Grüne-Yanoff2017; Reijula & Hertwig, Reference Reijula and Hertwig2022; Banerjee & John, Reference Banerjee, John, Reich and Sunstein2023).
Building on nudge theory innovations, we developed three nudges – an opinion leader nudge, a rule-of-thumb and multiple self-nudges – that target a sticky behavior: email use. Prior research has shown that despite its promised benefits, email has become a source and symbol of stress at work (Barley et al., Reference Barley, Meyerson and Grodal2011; Brown et al., Reference Brown, Duck and Jimmieson2014). As a result, email has been associated with a host of negative outcomes, including lower work quality (Rosen et al., Reference Rosen, Simon, Gajendran, Johnson, Lee and Lin2019), increased burnout threat (Belkin et al., Reference Belkin, Becker and Conroy2020) and decreased life satisfaction (Kushlev & Dunn, Reference Kushlev and Dunn2015). Reducing email use has therefore become a topic of increasing attention among scholars and practitioners (Cecchinato et al., Reference Cecchinato, Bird and Cox2014; Bozeman & Youtie, Reference Bozeman and Youtie2020).
To what extent can nudges preserve autonomy and be effective in decreasing email use? First, in a pilot study of 435 employees, we tested whether the three nudges are perceived as autonomy-preserving and effective. Next, in a large-scale survey experiment among 4,112 healthcare employees, we measured perceived autonomy and subjective nudge effectiveness in comparison to traditional email interventions based on policy instruments like a monetary reward. Because social desirability bias can threaten the validity of a survey, we added a modified version of the Bayesian truth serum to illicit more truthful responses (Prelec, Reference Prelec2004). Finally, to test for objective nudge effectiveness, we implemented a quasi-field experiment in a large healthcare organization with an estimate of 1,189 active email users.
Overall, by showing that we can design nudges that are perceived as autonomy-preserving and effective, our paper provides much-needed nuance to the debate surrounding nudge development (Wilkinson, Reference Wilkinson2013; Wachner et al., Reference Wachner, Adriaanse and De Ridder2021; Mertens et al., Reference Mertens, Herberz, Hahnel and Brosch2022). We also contribute by showing how nudges could help reduce email use. Email communication has long posed a threat to employee productivity and well-being and existing research has failed to provide a solution (for an exception, see Giurge & Bohns, Reference Giurge and Bohns2021). Finally, our paper makes a concrete methodological contribution by showing how nudges can be tested using both perceptions and behavioral outcomes. We also include multiple insights that enrich the results, by, for example, using a Bayesian truth serum to counter social desirability bias and comparing nudges to traditional policy instruments (Prelec, Reference Prelec2004; Tummers, Reference Tummers2019).
Theory
The nudge debate
In their influential book Nudge (2008), Thaler and Sunstein describe how organizations can use nudges to cope with biases in human decision-making. Rooted in behavioral economics, a nudge is an intervention that aims to influence people's behavior based on insights about the bounded rationality of people (Hansen, Reference Hansen2016). Bounded rationality refers to the notion that people are imperfect decision-makers that do not have access to all information and computational capacities that are required to evaluate the costs and benefits of potential actions. It contrasts the rational agent model prevalent in neoclassical economics, in which people are seen as rational agents that maximize their utility (Simon, Reference Simon1955). Building on the work of Simon, psychologists aimed to develop maps of bounded rationality (Tversky & Kahneman, Reference Tversky and Kahneman1974, Reference Tversky and Kahneman1981; Kahneman, Reference Kahneman2011). They analyzed the systematic errors that distinguish the actions people take from the optimal actions assumed in the rational agent model. Tversky & Kahneman (Reference Tversky and Kahneman1974) show that heuristics, though useful, can lead to predictable and systematic errors. For example, anchoring bias refers to the tendency of people to overvalue the first piece of information they receive (e.g., Nagtegaal et al., Reference Nagtegaal, Tummers, Noordegraaf and Bekkers2020). Such biases explain why people sometimes do not respond to traditional managerial instruments, like a bonus or a ban (Tummers, Reference Tummers2019). Instead, nudges aim to change the choice architecture without changing economic incentives or forbidding any options (Münscher et al., Reference Münscher, Vetter and Scheuerle2016; Thaler & Sunstein, Reference Thaler and Sunstein2021).
Despite their popularity, nudges are not without criticism, two of which are particularly salient (see e.g., Tummers, Reference Tummers2022). First, nudges are said to reduce autonomy. Indeed, some scholars argue that because nudges work via unconscious processes, they can exploit weaknesses, manipulate and reduce choice (Hausman & Welch, Reference Hausman and Welch2010; Hansen & Jespersen, Reference Hansen and Jespersen2013; Wilkinson, Reference Wilkinson2013), and as a result harm autonomy. Nudges that are not autonomy-preserving are problematic because autonomy presents one of three basic and universal psychological human needs (next to the need for relatedness and the need for competence) that drives human behavior and motivation (Ryan & Deci, Reference Ryan and Deci2017). Notably, there are also scholars who argue choice architecture is always present, regardless of whether one actively influences it (Sun stein, Reference Sunstein2016). Empirical evidence on this issue is inconclusive. Studies suggest somenudges can harm autonomy while others do not (e.g., Wachner et al., Reference Wachner, Adriaanse and De Ridder2020, Reference Wachner, Adriaanse and De Ridder2021, Michaelsen et al., Reference Michaelsen, Johansson and Hedesström2021). Similarly, research on the public acceptance of nudges also shows mixed findings (Davidai & Shafir, Reference Davidai and Shafir2020; Hagman et al., Reference Hagman, Erlansddon, Dickert, Tinghög and Västfjäll2022).
Besides the criticism on autonomy, scholars have disputed whether nudges are effective. In a recent meta-analysis, with over 200 studies, Mertens et al. (Reference Mertens, Herberz, Hahnel and Brosch2022) found that nudges are, on average, effective in changing behaviors with small to medium effect sizes. There are, however, several counterarguments to this claim. First, the authors indicate that the effectiveness of a nudge depends on the type of nudge: nudges focused on decision structure (e.g., default nudges), outperform nudges focused on decision information or decision assistance. Second, Szaszi et al. (Reference Szaszi, Higney, Charlton, Gelman, Ziano, Aczel and Tipton2022) note that context matters: whether nudges are effective varies and the conditions under which they work are barely identified. Third, Maier et al. (Reference Maier, Bartoš, Stanley, Shanks, Harris and Wagenmakers2022), in a response to Mertens et al. (Reference Mertens, Herberz, Hahnel and Brosch2022), point out that after correcting for publication bias, there is no evidence that nudges are effective. Related to this this debate, Bryan et al. (Reference Bryan, Tipton and Yeager2021) note that instead of focusing on replication in behavioral science, we need a heterogeneity revolution by analyzing which particular nudge works for what situation.
Autonomy-preserving and effective nudges
One of the reasons for the different views on autonomy and nudging depends on one's definition of autonomy, or lack thereof. Based on a systematic review, Vugts et al. (Reference Vugts, Van Den Hoven, De Vet and Verweij2020) show that the discussion surrounding nudge autonomy is clouded by different conceptualizations of autonomy. They identify three conceptualizations of autonomy (p. 108), namely freedom of choice (i.e., ‘the availability of options and the environment in which individuals have to make choices’), agency (i.e., ‘an individual's capacity to deliberate and determine what to choose’), and self-constitution (i.e., ‘someone's identity and self-chosen goals’). A nudge could simultaneously decrease one's autonomy in one conceptualization and increase one's autonomy for another (Vugts et al., Reference Vugts, Van Den Hoven, De Vet and Verweij2020). For example, by limiting one's freedom of choice you could help people reach implicit goals and improve self-constitution. Similarly, a nudge can help someone think about the right choice but also limit the range of available choices to pick from – this would promote agency but limit freedom of choice.
In this paper, we adopt the conceptualization of autonomy as agency because it presents a higher threshold for nudge autonomy than the initial definitions of nudging and libertarian paternalism (see Thaler & Sunstein, Reference Thaler and Sunstein2008). The initial understanding of autonomy in the nudge literature relied heavily on freedom of choice, but ‘apart from a context that allows choice, autonomy also requires a capacity to choose and decide’ (Vugts et al., Reference Vugts, Van Den Hoven, De Vet and Verweij2020: 116).
At first glance, autonomy and effectiveness may appear to present a tension. For a nudge to be autonomy-preserving, the assumption is that the nudge guarantees agency (Vugts et al., Reference Vugts, Van Den Hoven, De Vet and Verweij2020) – meaning that it allows someone to execute their personal judgement (Morgeson & Humphrey, Reference Morgeson and Humphrey2006; Gorgievski et al., Reference Gorgievski, Peeters, Rietzschel and Bipp2016). In contrast, an effective nudge assumes someone's personal judgement is flawed, because nudges are effective by being based upon – and making use of– biases in human decision-making (Hansen, Reference Hansen2016). While not removing any option, a nudge is effective by actively changing the choice architecture (Thaler & Sunstein, Reference Thaler and Sunstein2021) and may be considered manipulative (Wilkinson, Reference Wilkinson2013). For example, decision-structure nudges like defaults are more effective than decision information nudges like social norms (Mertens et al., Reference Mertens, Herberz, Hahnel and Brosch2022). At the same time, people also expect default nudges to lower autonomy more so than social norm nudges (Wachner et al., Reference Wachner, Adriaanse and De Ridder2020; Wachner et al., Reference Wachner, Adriaanse and De Ridder2021). In contrast, people find social norm nudges to be more autonomy-preserving, yet these are more often ineffective (Wachner et al., Reference Wachner, Adriaanse and De Ridder2021). Although in some cases the autonomy-effectiveness tension may emerge, it is not a given. In fact, scholars have developed arguments about how autonomy and effectiveness go hand in hand. For example, De Ridder et al. (Reference De Ridder, Feitsma, Van den Hoven, Kroese, Schillemans, Verweij and De Vet2020) argue an effective nudge can increase autonomy by helping people make the choices they want to make.
In Figure 1, we consider four scenarios for the ability of nudges to preserve autonomy and be effective. These scenarios are theoretical extremes and do not suggest that it is a yes/no question. First, when a nudge is effective but not autonomy-preserving, it is unavoidable and may well be a nudge that appears manipulative in the sense that it does not offer ‘an escape clause’ (Wilkinson, Reference Wilkinson2013: 354). Second, when a nudge is neither autonomy-preserving nor effective, it can decrease autonomy, while failing to do what it intended to do. Other unintended consequences may include when a nudge backfires or triggers reactance (Osman, Reference Osman2020). Third, when a nudge is not effective but preserves autonomy, the nudge is meaningless and might be met with indifference (Wachner et al., Reference Wachner, Adriaanse and De Ridder2021). Finally, nudges could preserve autonomy and be effective (De Ridder et al., Reference De Ridder, Feitsma, Van den Hoven, Kroese, Schillemans, Verweij and De Vet2020).

Figure 1. Four scenarios for autonomy and effectiveness of nudges.
It is likely that the specific design of nudges impacts their autonomy and effectiveness. As such, when designing nudges, scholars should make use of theoretical concepts that are expected to increase nudges’ ability to preserve autonomy and be effective. Below, we discuss nudge vs think, boosting and self-nudges (Sunstein, Reference Sunstein2016; Hertwig & Grüne-Yanoff, Reference Hertwig and Grüne-Yanoff2017; Reijula & Hertwig, Reference Reijula and Hertwig2022).
First, scholars have discussed how nudging relates to thinking. Sunstein (Reference Sunstein2016) distinguishes System 1 (based on fast, intuitive thinking) and System 2 (using slow deliberation) nudges (based on Kahneman, Reference Kahneman2011). People seem to prefer System 2 nudges (Sunstein, Reference Sunstein2016). Furthermore, Lin et al. (Reference Lin, Osman and Ashcroft2017) argue that nudges that promote reevaluation are more effective. Therefore, nudges that rely on conscious (System 2) decision-making, for example through employing information, may combine autonomy and effectiveness, more so than nudges that rely on unconscious (system 1) processes, for example by changing defaults. Additional arguments about how nudging can include deliberation have been developed by John et al. (Reference John, Smith and Stoker2009) who discuss how ‘nudge’ and ‘think’ as behavioral change strategies may influence each other. Herein, a deliberative nudge refers to the combination of both (John et al., Reference John, Martin and Mikołajczak2022). In a similar vein, nudge+ refers to a Banerjee (Banerjee & John, Reference Banerjee and John2021, Reference Banerjee, John, Reich and Sunstein2023).
Second, scholars have advocated to use boosting as a behavioral intervention (Hertwig & Grüne-Yanoff, Reference Hertwig and Grüne-Yanoff2017; Hertwig, Reference Hertwig2017). A boost aims to enhance someone's decision-making by providing skills, knowledge or tools. Those advocating for boosting go even further than System 2 nudges by arguing that bounded rationality is malleable, and interventions should teach the decision-maker to change their behavior. An example of a boost is improving statistical reasoning with a brief training (Bradt, Reference Bradt2022). Like the distinction between System 1 and System 2 nudges, in practice, the distinction between boosts and nudges may be harder to uphold and interventions may carry characteristics from both nudging and boosting (Van Roekel et al., Reference Van Roekel, Reinhard and Grimmelikhuijsen2022d). Yet, we can leverage this conceptual overlap by developing nudges that use insights from boosting. For example, to introduce a decision tree to guide, decision-making is a type of boost (Hertwig & Grüne-Yanoff, Reference Hertwig and Grüne-Yanoff2017). A rule-of-thumb, which is a type of nudge, is effectively a simpler version of a decision tree (Münscher et al., Reference Münscher, Vetter and Scheuerle2016).
Finally, scholars have been studying involvement of people in designing choice architecture. Involving employees in the process may make nudges more autonomy-preserving and effective. When it comes to development, this means being transparent and involving the target group in the trajectory of analyzing behavior and designing the nudges to get their support (Bruns et al., Reference Bruns, Kantorowicz-Reznichenko, Klement, Jonsson and Rahali2018; Tummers, Reference Tummers2019). Employees could also be involved in the execution, an insight derived from the concept of self-nudging. Self-nudging suggests people can use nudges to self-regulate: ‘nudger’ and ‘nudgee’ become the same person. Self-nudges require awareness of how one's environment affects one's behavior as well as knowledge of a nudge that can modify this relationship (Reijula & Hertwig, Reference Reijula and Hertwig2022: 123). In that sense, self-nudges can be regarded as a type of boost and may present a type of behavioral intervention that is both autonomy-preserving and effective (Reijula & Hertwig, Reference Reijula and Hertwig2022).
The role of nudges in reducing email use
We study nudges in the context of email use. Email has become a primary means of communication at work, because, in theory, it allows employees to decide when and where to work (Rosen et al., Reference Rosen, Simon, Gajendran, Johnson, Lee and Lin2019). However, email communication has become a unique job demand and source of stress at work because it facilitates non-stop sharing or requesting of input (Barley et al., Reference Barley, Meyerson and Grodal2011). As such, many employees today feel compelled to read and respond to email in real-time, contributing to the development of workplace norms around continuous connectivity and instant responsiveness (Brown et al., Reference Brown, Duck and Jimmieson2014; Giurge & Bohns, Reference Giurge and Bohns2021).
Because of these norms, email communication has been associated with a host of negative consequences both at work and outside of work. For example, email undermines work quality because it fragments employees’ attention (Jackson et al., Reference Jackson, Dawson and Wilson2003). Email communication has also been associated with greater burnout and lower life satisfaction in part because it prohibits employees to disconnect from work and engage in non-work activities such as leisure that are beneficial for well-being (Kushlev & Dunn, Reference Kushlev and Dunn2015; Belkin et al., Reference Belkin, Becker and Conroy2020).
Ironically, although many studies tend to use email to distribute nudges (DellaVigna & Linos, Reference Dellavigna and Linos2022), nudges have rarely been used to directly alter email use. Rather, most studies that aim to alter email use are focused on changing the person rather than the environment. For example, Dabbish & Kraut (Reference Dabbish and Kraut2006) found that several individual email management tactics (e.g., having less email folders) were associated with lower email overload. Relatedly, Gupta et al. (Reference Gupta, Sharda and Greve2011) found that limiting the moments when one checks their email decreased stress, which in turn predicted greater well-being. In terms of nudges, we only found one paper that employed nudges to increase awareness of phishing (Vitek & Syed Shah, Reference Vitek and Syed Shah2019), which arguably focuses more on changing how employees interact with the content of emails than with email use. However, outside the academic literature, many nudge-like software is available, like reminders when an email is written poorly or a simple cognitive test to assess whether the user is fit to send emails at certain times (Balebako et al., Reference Balebako, Leon, Almuhimedi, Kelley, Mugan, Acquisti and Sadeh-Koniecpol2011). In line with this evidence, we expect that nudges can be used not only to inform people about how to improve and engage with email content but also how to address email use altogether (Cecchinato et al., Reference Cecchinato, Bird and Cox2014; Bozeman & Youtie, Reference Bozeman and Youtie2020). Hence, our main hypothesisFootnote 1 is:
H1: Nudges will be both autonomy-preserving and effective in decreasing email use.
Methods
We study the autonomy-preservation and effectiveness of nudges in the context of email use among healthcare workers, which is a group of employees that are particularly prone to burnout and high email use (Reith, Reference Reith2018; Van Roekel et al., Reference Van Roekel, van der Fels, Bakker and Tummers2020). Table 1 presents an overview of our studies. After the pre-study to develop the nudges and the pilot to test the nudges, the empirical studies (the survey experiment and the quasi-field experiment) allow to evaluate our main hypothesis. The main empirical studies underwent ethical review were preregistered (Van Roekel et al., Reference Van Roekel, Giurge, Schott and Tummers2022a, Reference Van Roekel, Giurge, Schott and Tummers2022b, Reference Van Roekel, Giurge, Schott and Tummers2022c; see also Supplementary Appendix G) and present open data (more information below).
Table 1. Overview of studies

Pre-study: developing nudges
In a pre-study, we developed the nudges and interviewed 11 employees in the organization where we would later conduct our quasi-field experiment (5 HR advisors, 1 program manager, 1 team manager, 1 nurse, 1 occupational physician, 1 occupational health nurse and 1 IT employee). Supplementary Appendix A contains the semi-structured interview guide. We used the interviews to develop three nudges: an opinion leader nudge, a rule-of-thumb and multiple self-nudges. An opinion leader nudge is a message that describes the behavior of a person of influence, assuming it will convince receivers to follow the social reference point (Valente & Pumpuang, Reference Valente and Pumpuang2007; Münscher et al., Reference Münscher, Vetter and Scheuerle2016). A rule-of-thumb is an easy-to-follow guideline that works well in most situations and decreases the effort of a decision (Münscher et al., Reference Münscher, Vetter and Scheuerle2016; Hertwig & Grüne-Yanoff, Reference Hertwig and Grüne-Yanoff2017). Self-nudges are nudges redesigned to be used by employees to nudge themselves. They help boost self-control (Hertwig & Grüne-Yanoff, Reference Hertwig and Grüne-Yanoff2017). Supplementary Appendix B presents the nudges that we developed to decrease email use in detail.
Pilot: testing nudges
After developing the nudges, we piloted them in an online Prolific panel (N = 435). We used the panel to assess the perceived autonomy and subjective nudge effectiveness from the perspective of the general working population (DellaVigna et al., Reference DellaVigna, Pope and Vivalt2019). For the measurement of subjective nudge effectiveness, we asked the panel to predict the feasibility, appropriateness, meaningfulness, and effectiveness of the nudges in their organization (following the FAME-approach for evidence-based practice, Jordan et al., Reference Jordan, Lockwood, Munn and Aromataris2019). Supplementary Appendix C presents all survey measures used in this paper and Supplementary Appendix D describes the methods and results of the pilot in detail.
All nudges were assessed as autonomy-preserving. Respondents indicated that on average they ‘somewhat agree’ to ‘agree’ with the nudges being autonomy-preserving: the means are all above 5 on a 1–7 scale. The results also indicate respondents thought the nudges would be ‘somewhat effective’. Scores were highest for appropriateness (4.55–5.28 on a 7-point scale) and lowest for effectiveness (3.97–4.35). The only score just below the midpoint (<4) was for the effectiveness of the rule-of-thumb (3.97), indicating that this nudge was perceived as least effective.
Study 1: Survey experiment
The goal of Study 1 was to test perceived autonomy and subjective nudge effectiveness in a large-scale survey experiment among healthcare employees in the Netherlands (N = 4,112). Employees assessed the nudges individually and combined. To compare these nudges with alternative organizational interventions, we also asked employees to assess traditional policy instruments (i.e., an email access limit to limit emailing to only 2 h per day, a monetary reward for emailing less than before or public praise for emailing less than your colleagues). Supplementary Appendix E details the specific text of the traditional interventions.
The large-scale survey experiment was part of a longitudinal survey for which ethical approval was granted (Faculty's Ethical Review Committee of the Faculty of Law, Economics and Governance, Utrecht University; no. 2019-004). Respondents provided informed consent, including allowing for the publication of anonymized data. The main data for this study is available at https://osf.io/6n2g4/?view_only = 895be1c46d384867b52e22ff30892ba8.
Participants
We collected data between 18 May and 20 June 2022 via a Qualtrics survey. Respondents were required to use email in their job, list-wise deletion was applied.
The mean age of the respondents was 51.94 (SD = 9.65, Min. = 20, Max. = 74, 3 missing). Regarding gender, 3,506 were female (85.3%), 587 were male (14.3%) and 19 respondents indicated X or that they would rather not say (0.4%). Respondents worked in all healthcare sectors: 1,515 (36.8%) in hospitals, 1,059 (25.8%) in nursing or home care, 653 (15.9%) in mental healthcare, 620 (15.1%) in disabled care and 265 (6.4%) in other healthcare. A total of 2.116 (51.5%) respondents worked 29 or more hours a week, 1.914 (46.5%) of respondents worked 16–28 h a week, 69 respondents (1.7%) worked 15 h or less, and 13 respondents (0.3%) reported to have a zero-hours contract.
Procedure and measures
All survey measures mentioned below are included in Supplementary Appendix C. Respondents first passed an eligibility check (respondents had to use email at their job). We assessed two measures of email use (email volume and email time) with open questions adapted from Sumecki et al. (Reference Sumecki, Chipulu and Ojiako2011). We assessed email overload with a seven-item scale (α = 0.80) adapted from Dabbish & Kraut (Reference Dabbish and Kraut2006), ranging from ‘strongly disagree’ (1) to ‘strongly agree’ (7). Next, respondents were exposed to one of the seven interventions randomly: one of the three nudges, the combination of all nudges or one of the three traditional email interventions (translated in Dutch). Supplementary Appendix F shows that randomization was successful across gender, age, healthcare sector and amount of working hours. The instruction accompanying the intervention read: ‘Imagine the organization you work for sends you the following message about using email in your organization. Please read the message carefully’.
After the conditions, respondents were asked to evaluate the subjective nudge effectiveness. We used self-admission rates for our main analysis and added an adapted version of the Bayesian truth serum to increase the credibility of the given answers (Prelec, Reference Prelec2004; John et al., Reference John, Loewenstein and Prelec2012 Weaver & Prelec, Reference Weaver and Prelec2013; Frank et al., Reference Frank, Cebrian, Pickard and Rahwan2017; Van de Schoot et al., Reference Van de Schoot, Winter, Griffioen, Grimmelikhuijsen, Arts, Veen and Tummers2021 Schoenegger, Reference Schoenegger2023). Supplementary Appendix C elaborates on the serum.
Next, like the pilot study, we assessed perceived autonomy with three items (α = 0.93) on a 7-point Likert scale (Decision-Making Autonomy; WDQ; Morgeson & Humphrey, Reference Morgeson and Humphrey2006; translation adapted from Gorgievski et al., Reference Gorgievski, Peeters, Rietzschel and Bipp2016). We also measured work engagement with three items (α = 0.80) on a 5-point Likert scale ranging from ‘Never’ (1) to ‘Always (daily)’ (5) (Schaufeli et al., Reference Schaufeli, Shimazu, Hakanen, Salanova and De Witte2019). All items/questions were translated in Dutch. In the survey, items within each measure were randomized. At the end of the survey, respondents provided background characteristics. We used one-way analysis of variance for our main analysis. Significance levels were set at p = 0.05. We report exact p-levels.
Study 2: Quasi-field experiment
In Study 2, we tested the nudges sequentially in a quasi-field experiment in a large Dutch healthcare organization. This quasi-experiment had a One-Group Pre-test-Post-test Design with multiple sequential treatments and post-tests (Shadish et al., Reference Shadish, Cook and Campbell2002).
The prefix ‘quasi’ is appropriate because the experiment did not include a control group (Shadish et al., Reference Shadish, Cook and Campbell2002). Within the organization, there were technical limitations so interventions could not be randomly distributed to a selection of employees (i.e., there was no option to randomly send text messages to employees or randomly show intranet messages to a selection of employees) nor could any treatment group be separated from a control group when measuring email use. Moreover, any alternative treatment distributions that were considered (e.g., physical posters) would risk spill-over effects within the organization. The main disadvantage of a design without a control group is that differences in email use between pre- and post-intervention periods may be caused by elements or events unrelated to the treatment. Nevertheless, there are two main reasons why quasi-experiments are valuable designs to assess causality in instances where randomized designs are not possible or desirable (Shadish et al., Reference Shadish, Cook and Campbell2002; Grant & Wall, Reference Grant and Wall2009). First, a quasi-experiment like this one should be seen as a method of action research, an opportunity for collaboration between researchers and practitioners to jointly improve, in this case, the use of email within the organization (Grant & Wall, Reference Grant and Wall2009). Second, our study still provides an estimate of the nudge effectiveness and we have taken several measures to improve reliability, including only measuring full workdays (excluding weekends and single holidays), planning the experiment in a period where few natural fluctuations were expected (there were no long holidays right before, during or after the experiment and no major events happened) and tracking email use for 8 weeks. Such measures make the effects of external events (like history or maturation) less likely (Shadish et al., Reference Shadish, Cook and Campbell2002).
We tested a total of four interventions (the three nudges and their combination), added a post-test after each intervention, an additional post-test before the combination of nudges, and two additional post-tests at the end of the experiment. Email use was measured weekly for eight consecutive weeks. Consequently, our design was the following, whereby On refers to the nth test and Xn to the nth treatment:
In this study, we measured email use only, and not perceived autonomy, for two reasons. First, the added value of the field experiment was to test the effectiveness of the nudges on real behavior, while the survey experiment establishes perceptions of effectiveness and autonomy. A measure of autonomy in the field experiment would, again, be a perception. Second, the organization in which the quasi-field experiment was conducted, did not allow for large-scale surveying of employees, making it impossible to collect employees’ perceptions about autonomy. A drawback of this approach is that autonomy may be perceived differently in the field compared to the survey study. While we cannot rule this out, it would only be a problem if nudges are considered less autonomy-preserving in real-life settings compared to hypothetical settings. However, a recent study showed that when people expect a nudge to diminish their autonomy in a hypothetical setting, they do not report any differences in autonomy for that same nudge in a real-life setting (Wachner et al., Reference Wachner, Adriaanse and De Ridder2021). Hence, whereas there is mixed evidence on the autonomy of nudges in hypothetical settings (e.g., Michaelsen et al., Reference Michaelsen, Johansson and Hedesström2021), nudges can likely be considered autonomy-preserving in real-life settings if the same nudges are considered autonomy-preserving in a hypothetical setting.
This study received ethical approval (Faculty's Ethical Review Committee of the Faculty of Law, Economics and Governance, Utrecht University; no. 2022-001). Data were collected via the Microsoft Office 365 portal of the organization. The organization signed a formal agreement to share and enable publication of anonymized data. The main data for this study is available at https://osf.io/6n2g4/?view_only = 895be1c46d384867b52e22ff30892ba8.
Participants
The quasi-field experiment was conducted at a large healthcare organization in the Netherlands. The organization has 22 locations in one city, employs around 2,300 employees (not including volunteers) and delivers care to more than 6,500 elderly clients.
Nudges
The nudges were identical to those in Study 1, but with a few minor changes for a better fit with the context. For the opinion leader nudge, rather than ‘your HR manager’, the name of the HR manager was included to increase the ecological validity of the nudge. Third, for the rule-of-thumb, the suggested ‘within a day’ communication option was a Teams message as this was the preferred mode of communication. The rule-of-thumb also included a brief note that any communication about clients should be done with a secure messaging tool.
Procedure
We measured email use (amount of sent emails) during eight consecutive weeks. All employees were subjected to the three nudges, distributed a week apart and starting in the second week. The nudges were distributed on three subsequent Mondays (28 March, 4 April and 11 April 2022) around 11:30 AM CEST to 3,038 work phones. The time was purposefully chosen because most employees experience a drop in daily workload after the morning duties. The SMS messages read ‘Do you also want an emptier mailbox? Click here for a message/the second message/the last tips about emailing within [organization]’ [Link]. Regards, [organization] Two weeks later (25 April, at 11:30 AM CEST), we posted the combination of all the nudges on the intranet of the organization.
To measure objective nudge effectiveness, the key dependent variable is the number of emails sent within the organization using administrative data available via Microsoft Office 365. In our main analysis, we excluded weekends and holidays as on these days, employees would email much less. We used linear mixed models to assess statistical significance, comparing each week to the week before in separate tests (Krueger & Tian, Reference Krueger and Tian2004) and using the Benjamin–Hochberg false discovery rate control to correct for multiple tests (Glickman et al., Reference Glickman, Rao and Schultz2014). False discovery rate control is a less conservative alternative to the Bonferroni correction. It involves (a) sorting p-values in ascending order, (b) calculating the corrected p threshold per test by dividing the test number (e.g., 1 for test 1) by the total amount of tests (7 in this case) and multiplying this by the maximum false discovery rate (set at 0.05) and (c) declaring those tests with p-values lower than the corrected p threshold significant.
Results
Results Study 1: Survey experiment
Table 2 presents the correlations. One notable finding is that the score for perceived autonomy and all non-compliance estimates have significant negative correlations. This indicates perceived autonomy and subjective nudge effectiveness are positively correlated.
Table 2. Correlations (N = 4,112)

*p < 0.05, **p < 0.001 (two-tailed).
Notes: Correlations are Pearson except for those with email volume and email time, these are Spearman as for these variables the data indicated outliers. Variables 6–8 measure subjective nudge effectiveness. Note the self-admission rate is coded as a dummy (0: would comply, 1: would not comply). Supplementary Appendix C provides more information on the measurement on the self-admission rates, prevalence estimates and admission estimates.
Figure 2 presents the means and 95% confidence intervals for perceived autonomy for each intervention.

Figure 2. Nudges are seen as more autonomy-preserving than the midpoint (>4), and more autonomy-preserving than traditional interventions. Note: Perceived autonomy scores show 95% confidence intervals.
A one-way analysis of variance showed that the effects on perceived autonomy differed significantly, F(6, 1,823.18) = 135.51, p < 0.001 (ω2 = 0.17)Footnote 2. Post hoc analyses indicated that all traditional interventions scored significantly lower (p < 0.001) on perceived autonomy than any intervention with nudges. Besides, the email access limit scored significantly lower (p < 0.001) than the monetary reward and public praise. One significant difference between the nudges was found, the difference between all nudges and the rule-of-thumb is significant (p = 0.028). In sum, the results confirm our hypothesis that nudges are autonomy-preserving (scoring 4.46–4.7 on a 7-point scale), more so than traditional interventions (scoring 2.84–3.77).
Figure 3 presents the self-admission rates and the Bayesian Truth Serum results (recoded to self-admission rates of compliance to indicate how many respondents indicated they would send less emails) as a corrected conservative estimate of true compliance.

Figure 3. Nudges are perceived as more effective than the traditional interventions, but less than 50% of employees would comply with any intervention. Note: Self-admission rates show 95% confidence intervals.
We conducted a one-way analysis of variance for the self-admission rates. This analysis showed that effects differed significantly, F(6, 1,822.54) = 26.33, p < 0.001 (ω2 = 0.036)Footnote 3. Post hoc analyses indicated that all traditional interventions had significantly lower compliance than any nudge (p < 0.001), except for the rule-of-thumb. The rule-of-thumb had significantly higher compliance than the email access limit (p = 0.017) and public praise (p = 0.005), but not the monetary reward (p = 0.465). Besides, the rule-of-thumb had significantly lower compliance than the opinion leader nudge (p = 0.007) and all nudges (p < 0.001). Finally, the self-nudges had significantly lower compliance than the combination of all nudges (p = 0.042). The Bayesian truth serum indicates roughly the same, but more conservative, distribution, with a notable exception for the already insignificant difference between the monetary reward and the rule-of-thumb.
The results are in line with our main hypothesis. For a notable group of employees (30–46%), the nudges would be effective in reducing email use. The nudges are more effective in reducing email use than an email access limit, monetary reward or public praise (the latter scored 21–25% compliance) (except the difference between the rule-of-thumb and the monetary reward is non-significant).
Results Study 2: quasi-field experiment
The first nudge was viewed 220 times, the second nudge 106 times and the third nudge 75 times. The combination of all nudges received 142 views in the first week (25 April–1 May) and 43 views in the second week (2 May–8 May), 185 views in total. This indicates many of the 3,038 recipients did not click on the link in the SMS. However, calculating a response rate on that total is misleading, as this does not equal the number of employees who use email. To estimate a more realistic response rate, we extracted email data on an individual level from the organization for the first week of the study (28 March–3 April). We first checked how many email IDs were in use that week (N = 2,618) and introduced the eligibility criterium of having sent at least one email that week, resulting in a total N of 1,189 active email users. This suggests that the estimated response rates for the first nudge was 18.50%, for the second nudge 8.92%, for the third nudge 6.30% and for the combination of all three nudges 15.56%.
During the 8-week intervention period, a total of 236,785 emails were sent within the organization (excluding weekends and holidays). This is an average of 6,400 per day with a standard deviation of 1,125.
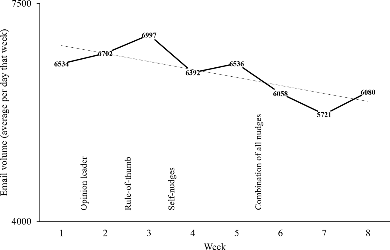
Figure 4 presents the average amount of email per day that was sent in the organization during each week of the intervention period, excluding holidays (Monday in week 5, Wednesday in week 6 and Thursday in week 7Footnote 4) and weekends. We fit a linear trendline to indicate that, in general, email use decreased during the 8-week period (y = −128.03x + 6953.6; R 2 = 0.593). Between the first and last week of the quasi-experiment, average email use decreased by 6.95%. The biggest difference recorded was between week 3 and week 7 (−18.24%). Specifically, average email use decreased only during the week in which the self-nudges were distributed, and in the two weeks following the combination of all nudges.

Figure 4. Email use decreases after the self-nudges and the combination of all nudges.
To test for statistical significance, we used seven linear mixed models to compare each week to the week before, using the variable describing the week as a repeated measure fixed factor, and the unstructured repeated covariance type. Table 3 presents the results of the separate linear mixed models and presents the corrected results using the Benjamin–Hochberg false discovery rate control to correct for multiple tests (Glickman et al., Reference Glickman, Rao and Schultz2014).
Table 3. Linear mixed models and false discovery rate control

Notes: In case any of the values of any day was missing (due to holidays), this day was removed from analysis in both weeks of a particular test. M, Monday; Tu, Tuesday; W, Wednesday; Th, Thursday; F, Friday. FDR p refers to the corrected p threshold calculated with false discovery rate control.
a Indicates p-values very close to significance.
The results indicate that evidence for our hypothesis in the quasi-field experiment is mixed: email use did not decrease after presenting the opinion leader nudge or the rule-of-thumb, but it did decrease after presenting the self-nudges and the combination of all nudges. Statistical tests indicate a significant decrease (p < 0.05) after the combination of nudges, but this result is not significant after controlling for multiple tests. Across two months, however, the linear trendline indicates email use did generally decrease.
Discussion
Main findings
Our analysis of the survey experiment and quasi-field experiment yields three main findings. First, the nudges we developed were perceived as autonomy-preserving, and significantly more so than traditional interventions (email access limit, monetary reward and public praise). Second, our nudges were perceived as significantly more effective than the traditional interventions (except for the rule-of-thumb vs the monetary reward), but in general less than 50% of employees would comply with any intervention. We observe combining multiple nudges increased employees’ perceptions of autonomy and effectiveness. We also found a positive correlation between perceived autonomy and subjective nudge effectiveness. Third, further evidence for the objective effectiveness of the nudges is presented in the quasi-field experiment. Email use in the healthcare organization decreased generally during the 8 weeks of our quasi-field experiment. Specific decreases were observed after the self-nudges and the combination of all nudges, albeit, after controlling for multiple tests, these effects did not reach conventional statistical significance levels.
Implications
The findings contribute to three major scholarly debates: nudge design, email use and interventions in the field.
Our paper contributes to the nudge literature by bringing nuance to the debates about the ability of nudges (1) to preserve autonomy (Hausman & Welch, Reference Hausman and Welch2010; Hansen & Jespersen, Reference Hansen and Jespersen2013), (2) to be effective in changing behavior, (Mertens et al., Reference Mertens, Herberz, Hahnel and Brosch2022; Szaszi et al., Reference Szaszi, Higney, Charlton, Gelman, Ziano, Aczel and Tipton2022; Maier et al., Reference Maier, Bartoš, Stanley, Shanks, Harris and Wagenmakers2022) and (3) whether these two criticisms inherently present tensions (Wachner et al., Reference Wachner, Adriaanse and De Ridder2020; Wachner et al., Reference Wachner, Adriaanse and De Ridder2021; Mertens et al., Reference Mertens, Herberz, Hahnel and Brosch2022). We developed four scenarios for the autonomy and effectiveness of nudges. Using innovations in nudge design like self-nudges, we show that multiple types of nudges can be perceived as autonomy-preserving and effective in a survey setting. Another interesting finding is that combining nudges appears fruitful – suggesting that the sum may be perceived to be more than its parts. However, results are less pronounced in the field setting compared to the survey. There may be a variety of reasons, including that in the survey respondent's undivided attention is on a nudge, whereas in the field setting, employees may receive more messages simultaneously and choose not to engage (this is visible in the number of views the nudges received). Yet, ironically, the fact that a large share of employees chose not to engage does support the notion that nudges are autonomy-preserving even, and perhaps particularly, in field settings (Wachner et al., Reference Wachner, Adriaanse and De Ridder2021). These results further emphasize the importance of the heterogeneity revolution (Bryan et al., Reference Bryan, Tipton and Yeager2021): rather than making statements of nudges in general, each nudge could have different consequences, different mechanisms and different effects depending on context.
Second, we contribute to the literature on email use by showing that nudges, and especially bundles of nudges, may help to reduce email use, which presents a serious threat to employee well-being (Brown et al., Reference Brown, Duck and Jimmieson2014; Reinke & Chamorro-Premuzic, Reference Reinke and Chamorro-Premuzic2014). We find nudges do have potential: employees are quite positive about them when it comes to autonomy and effectiveness, more so than policy instruments that are more commonly studied in the literature and used in organizations (Aguinis et al., Reference Aguinis, Joo and Gottfredson2013; Handgraaf et al., Reference Handgraaf, De Jeude and Appelt2013; Tummers, Reference Tummers2019).
Third, our paper contributes methodologically, specifically on testing (behavioral) interventions. We introduced and redeveloped multiple ways in which nudges can be evaluated, prior to their implementation. In our pilot study, we assessed respondents’ granular opinion on the nudges by distinguishing between feasibility, appropriateness, meaningfulness and effectiveness (Jordan et al., Reference Jordan, Lockwood, Munn and Aromataris2019). In our survey experiment, we used a modified version of the Bayesian truth serum to counter social desirability bias (Prelec, Reference Prelec2004; John et al., Reference John, Loewenstein and Prelec2012). The results show that respondents are likely to overestimate their own compliance. At the same time, the truth serum tends to be conservative (John et al., Reference John, Loewenstein and Prelec2012), meaning that the true value is likely to lie in between. This redeveloped serum could be a useful tool for scholars to evaluate nudges or other interventions to illicit more truthful responses. Finally, the comparative evaluation of nudges with traditional interventions has shed light on where nudges are positioned in the realm of policy and managerial interventions in general.
This research also has practical implications for managers and public policy. For managers, our research strengthens the argument that managers could turn to nudges as a valid and low-cost alternative to traditional policy instruments. Our findings suggest that unlike traditional policy instruments that might undermine employee autonomy (such as limiting email access), nudges can be autonomy-preserving and effective and can be used for concrete organizational challenges like email use. Our study also has implications for public policy. First, maintaining employee well-being in healthcare is an urgent public policy challenge in countries across the world (e.g., Rotenstein et al., Reference Rotenstein, Torre, Ramos, Rosales, Guille, Sen and Mata2018). Well-being among healthcare employee has been increasingly put under pressure through, among others, the COVID-19 crisis (Spoorthy et al., Reference Spoorthy, Pratapa and Mahant2020) and the aging workforce (Van Dalen et al., Reference Van Dalen, Henkens and Schippers2010). We have developed nudges to reduce a prevalent stressor in healthcare employees’ jobs: email use. Studies have shown that email use can have very negative consequences for employees during and outside of work (Jackson et al., Reference Jackson, Dawson and Wilson2003; Kushlev & Dunn, Reference Kushlev and Dunn2015; Belkin et al., Reference Belkin, Becker and Conroy2020; Giurge & Bohns, Reference Giurge and Bohns2021). While it is unlikely that nudges will solve everything, we show how nudges can be part of efforts to contribute to improve the well-being of healthcare employee. Second, autonomy and effectiveness are critical issues in public policy. Scholars and practitioners have extensively debated whether nudges are a suitable policy instrument, including whether they are autonomy-preserving and effective (e.g., De Ridder et al., Reference De Ridder, Feitsma, Van den Hoven, Kroese, Schillemans, Verweij and De Vet2020; Tummers, Reference Tummers2022). Although our results may be context-dependent (e.g., Andersson & Almqvist, Reference Andersson and Almqvist2022; discussed below), our study suggests nudges can be autonomy-preserving and effective.
Limitations
We want to highlight several conceptual and methodological limitations. First, all nudges shared similarities: they were text-based, infographics, and sent via SMS or intranet. This allows for better comparison between the nudges because we minimize confounding variables. However, they do not fully represent the spectrum of what nudges can be (Thaler & Sunstein, Reference Thaler and Sunstein2021). We can therefore only draw conclusions from the nudges we tested. Compare, for example, the study by Andersson & Almqvist (Reference Andersson and Almqvist2022), who find that the Swedish public prefers information and subsidies – both traditional policy instruments – above nudges. Following the logic of the heterogeneity revolution, future research should assess to what extent other types of nudges are able to preserve autonomy and be effective in other contexts (Bryan et al., Reference Bryan, Tipton and Yeager2021). Future research may also explore whether similar nudges, or bundles of nudges, could also be of help with different organizational challenges that affect well-being, like limiting work hours and maintaining a work-life balance (Pak et al., Reference Pak, Kramer, Lee and Kim2022). Finally, while we have compared nudges to traditional policy instruments across multiple studies, future research can explore potential causal mechanisms that explain why certain nudges have varying effects on autonomy and effectiveness. For example, in our survey experiment, the opinion leader nudge scored highest on individual effectiveness. It is possible that this nudge is more effective because it uses role modeling behaviors and fosters reciprocity between leaders and followers (e.g., Decuypere & Schaufeli, Reference Decuypere and Schaufeli2020).
Second, in this study, we conceptualized autonomy as the extent to whether nudges guarantee agency. However, Vugts et al. (Reference Vugts, Van Den Hoven, De Vet and Verweij2020) argue that nudges may also influence freedom of choice and self-constitution, which are the other two conceptualizations of autonomy. The question of whether a nudge is strengthening or empowering autonomy depends not only on the nudge itself, but also on the conceptualization of autonomy one focuses on (Vugts et al., Reference Vugts, Van Den Hoven, De Vet and Verweij2020). More research is needed to better understand how nudges shape autonomy.
Third, our study presents both survey and quasi-field experimental evidence. The survey experiment does not measure actual behavior but intent. While intentions match behavior to some extent (e.g., Armitage & Conner, Reference Armitage and Conner2001; Hassan & Wright, Reference Hassan and Wright2020), a field experiment would introduce many aspects that a survey experiment lacks (Fishbein & Ajzen, Reference Fishbein and Ajzen2010). The most important limitations of the quasi-experiment we used are the lack of a control group and randomized treatment allocation. Therefore, results may be biased by confounding variables (Shadish et al., Reference Shadish, Cook and Campbell2002; Grant & Wall, Reference Grant and Wall2009). Although we have taken several measures to deal with this, the effects of external events or elements unrelated to the treatment cannot be ruled out. Together with the limited amount of evidence in the quasi-field experiment, this constitutes a serious limitation. Also, the experimental period of 8 weeks is a considerable amount of time and a common timeline for work interventions (see Grant et al., Reference Grant, Berg and Cable2014). Yet this does not warrant any claims about the true long-term effects of the nudges. In general, while some nudges, like defaults (e.g., Venema et al., Reference Venema, Kroese and De Ridder2018), can cause long-term effects, the long-term effects of nudges are insufficiently researched (Marchiori et al., Reference Marchiori, Adriaanse and De Ridder2017). Regarding the response rate, only a minority of employees viewed the nudges. Still, while future research could address these limitations by designing randomized controlled trials (Gerber & Green, Reference Gerber and Green2012), our quasi-experimental approach does have benefits by testing nudges in the field and measuring effects on actual email use. We concur with Grant & Wall (Reference Grant and Wall2009), who argue a quasi-experiment can be a method of action research, providing an opportunity for collaboration between researchers and practitioners to jointly tackle organizational challenges.
Conclusion
This paper provides a nuanced perspective toward one of the most applied and debated behavioral interventions: nudges. Our theoretical approach and empirical substantiation indicate that nudges can be designed to be both autonomy-preserving and effective. Going forward, scholars and practitioners can leverage these insights to maximize the potential of what nudges can do.
Supplementary material
To view supplementary material for this article, please visit https://doi.org/10.1017/bpp.2023.18.
Acknowledgements
The authors wish to thank the editor and anonymous reviewers for their helpful feedback. We thank Ulrike Weske and Jeroen Swanen for their supervision in the field experiment, Karen Leclercq, Roy Vosters, Iris Habraken and Maddie Houtstra for their cooperation in the field experiment, Enno Wigger and Jost Sieweke for their advice on the analyses and Arnold Bakker for his mentorship in developing this study. Earlier versions of this article were presented at the annual conferences of the International Research Society for Public Management (IRSPM) in 2022 and 2023. We thank the participants for their helpful comments and suggestions. This research was funded by IZZ, a healthcare employee collective in the Netherlands. Additionally, L.T. acknowledges funding from NWO Grant 016.VIDI.185.017. Except for the cooperation with IZZ on collecting the data, the funders had no role in the research.






