Background
Language production is a complex incremental process where speakers utter a part of the message while simultaneously processing additional information that needs to be incorporated into that message (Pechmann, Reference Pechmann1989). This is accomplished at rapid rates of about 150–300 words per minute (Goldman-Eisler, Reference Goldman-Eisler1968). Despite this speed of processing, our speech is not particularly error-prone. Current models of lexical access typically embrace the spreading activation principle to explain the manner in which spoken language is accomplished (Collins & Loftus, Reference Collins and Loftus1975). According to the spreading activation principle, target conceptual representations spread proportional activations to their corresponding lexical forms. Selection of the appropriate lexical form is achieved by a competitive process among the activated lexical representations; ultimately, the lexical item with the highest activation is selected. Once a lexical form is selected, its phonological forms are retrieved and corresponding articulatory routines are engaged for successful word production (e.g., Levelt, Reference Levelt1989; Levelt, Roelofs & Meyer, Reference Levelt, Roelofs and Meyer1999).
The spreading activation principle has had a crucial influence on bilingual language production models. Drawing on substantial evidence from psycholinguistic and neuroimaging studies (e.g., Abutalebi & Green, Reference Abutalebi and Green2007; Knupsky & Amrhein, Reference Knupsky and Amrhein2007; Kroll, Bobb, Misra & Guo, Reference Kroll, Bobb, Misra and Guo2008), bilingual models of lexical access propose that the spreading activation principle is simultaneously functional across both languages known to a bilingual, regardless of the intention to speak in one language alone (e.g., Costa & Caramazza, Reference Costa and Caramazza1999; Hermans, Bongaerts, De Bot & Schreuder, Reference Hermans, Bongaerts, De Bot and Schreuder1998; Kroll, Bobb & Wodniecka, Reference Kroll, Bobb and Wodniecka2006). Further, models of word production suggest that the process of lexical access is not purely discreet but rather more continuous and interactive. For example, according to the Interactive Activation Model (Dell, Schwartz, Martin, Saffran & Gagnon, Reference Dell, Schwartz, Martin, Saffran and Gagnon1997) during lexical form access, corresponding phonological forms become active (through spreading activation) and can influence the access of lexical forms through bottom-up feedback. Additionally, during the access of phonological forms, activated phonological representations can send feedback to the lexical level which can then influence which phonological forms are selected. With non-selectivity (parallel activation of alternatives in both languages) in language activation, bilingual models typically assume that lexical selection entails competition between lemmas or lexical forms (e.g., Levelt et al., Reference Levelt, Roelofs and Meyer1999). However, whether lexical selection entails competition between cross-linguistic alternatives is still debated (e.g., Costa & Caramazza, Reference Costa and Caramazza1999; Hermans et al., Reference Hermans, Bongaerts, De Bot and Schreuder1998).
Two contrasting views have been proposed to account for the mechanisms underlying lexical selection. According to the language-specific selection mechanism (e.g., Costa & Caramazza, Reference Costa and Caramazza1999), while lexical forms from both languages are simultaneously activated, competition is restricted to the lexical forms of the target language alone. In other words, a language cue effectively prompts the operative language and lexical alternatives only from that language compete for selection. On the other hand, the language non-specific selection mechanism (e.g., Hermans et al., Reference Hermans, Bongaerts, De Bot and Schreuder1998; Knupsky & Amrhein, Reference Knupsky and Amrhein2007) argues that lexical selection entails cross-language competition. The process of lexical selection then proceeds by inhibiting lexical alternatives from the non-target language (e.g., Green, Reference Green1998) and selecting lexical forms with the highest activation levels from the target language. With respect to the locus of selection, whereas some studies have demonstrated that the target language is selected at the lexical level (e.g., Hermans et al., Reference Hermans, Bongaerts, De Bot and Schreuder1998), other studies have demonstrated evidence that cross-language activity extends to the level of phonology (e.g., Hoshino & Kroll, Reference Hoshino and Kroll2007).
The picture-word interference (PWI) paradigm has been popularly employed by many bilingual production studies to test the predictions of the aforementioned lexical selection accounts. In this task, the target picture is presented along with a visual or an auditory distractor word at variable intervals with respect to the presentation of the target picture-stimulus onset asynchrony (SOA)Footnote 1. The objective of the task is for the bilingual to name the picture in one language while ignoring the distractor word that is presented in the same or the other language. Naming latency is typically measured from the time the target picture is presented to the onset of the vocal response to picture-naming. Typically, distractor words that are semantically related to the target picture name interfere with picture-naming latencies at early SOAs, and distractor words that are phonologically related to the target picture facilitate picture-naming latencies at late SOAs. The rationale behind the PWI paradigm is to investigate the nature of cross-linguistic activity by examining the extent to which distractor words affect target picture-naming by varying the time-course and the relationship between the target picture and the distractor.
In their seminal study, Hermans et al. (Reference Hermans, Bongaerts, De Bot and Schreuder1998) provided critical evidence in favour of the language non-specific selection account. Young highly-proficient Dutch–English bilinguals named target pictures in English (L2) while ignoring distractors either in English or in Dutch (L1). The distractors were semantically related to the picture, phonologically related to the picture's name in the target language, phonologically related to the picture's name in the non-target language (phono-translation distractors) or were unrelated to the picture. Additionally, the SOA between picture and distractor presentation was varied such that the distractors were either presented at −300m, −150ms, 0ms or +150ms in relation to the target. Naming latency patterns showed that semantic distractors in both English (at SOAs −300ms, −150ms and 0ms) and Dutch (at SOA −150ms) interfered with picture-naming latencies and phonologically-related distractors in both English (at all SOAs) and Dutch (at SOA +150ms) facilitated picture-naming latencies. Critically, naming latency patterns showed that both English (at SOA 0ms) and Dutch (at SOAs −300ms, −150ms and 0ms) phono-translation distractors interfered with target picture-naming latencies, suggesting that lexical selection entails cross-language competition. Moreover, the inhibitory effect was observed at a time-course similar to semantic interference effects, suggesting the presence of cross-language activity at the lemma level but not at the phonological level. Other studies, however, have provided evidence in favour of cross-language phonological activation at sub-lexical levels (e.g., Knupsky & Amrhein, Reference Knupsky and Amrhein2007).
Selectivity at the level of phonology was reassessed in a study by Knupsky and Amrhein (Reference Knupsky and Amrhein2007). English–Spanish and Spanish–English bilinguals named pictures either in English or Spanish while ignoring distractor words in either English or Spanish. Distractors were phonologically related to the target picture (e.g., direct condition – target: fish; distractor: fist) phonologically related to the target picture in the non-target language (e.g., through-translation condition – target: leg; distractor: leche (milk in Spanish)) or were completely unrelated to the target picture (e.g., unrelated condition – target: bear; distractor: peach). A phonological facilitation effect was reported for both direct and through-translation phonological distractors compared to unrelated distractors. Since both direct and through-translation distractors facilitated picture-naming, the authors argued that the phonological forms are active in both the target and non-target languages during lexical selection.
In favour of the language specific selection mechanism, Costa and Caramazza (Reference Costa and Caramazza1999) reported a cross-language identity facilitation effect in a group of English–Spanish bilinguals. The target picture (mesa, ‘table’ in English) was named faster when superimposed with ‘identical’ distractor words from either L2 (mesa) or L1 (table) compared to unrelated distractors (car/coche). The authors argued that if the lexical selection mechanism were to be language non-specific, distractors that are direct translations of the target picture name in the non-target language should interfere with picture-naming rather than facilitate it. Since a facilitation effect was instead observed, the authors argue that the non-target language does not enter into competition for selection. Of importance, the magnitude of the facilitatory effects was larger for within-language identity distractors (mesa) compared to cross-language identity distractors (table). The authors take this result as further support for the language-specific selection account and argue that activation of lexical forms of the non-target language has a smaller effect than the target language during the production of the target picture name.
In sum, the literature on the nature and locus of cross-language activation during bilingual lexical selection has been contradictory and inconclusive. A wide range of studies exploring lexical selection in bilinguals typically concur on non-specificity, where lexical items from both languages known to the bilingual are considered for selection and the item with the highest activation level is finally chosen for production. However, different conclusions are drawn about the manner of selection with respect to phonological form (e.g., Boukadi, Davies & Wilson, Reference Boukadi, Davies and Wilson2015; Costa & Caramazza, Reference Costa and Caramazza1999; Hermans et al., Reference Hermans, Bongaerts, De Bot and Schreuder1998; Knupsky & Amrhein, Reference Knupsky and Amrhein2007). Disagreement in the literature arises partly due to methodological differences in experiments, comparisons between bilinguals with varied ranges of L1 and L2 proficiency and the fact that most PWI studies measure within- and cross-linguistic effects across different groups of participants.
More recently, experimental findings appear to suggest that the language selection mechanism in bilinguals is highly flexible, leading to an emerging third hybrid view of the lexical selection mechanism. According to this view, the lexical selection process is marked by constant change. That is, while it largely operates as a language non-specific system, it may also function as a language-specific system under certain conditions (e.g., Boukadi et al., Reference Boukadi, Davies and Wilson2015; Kroll et al., Reference Kroll, Bobb, Misra and Guo2008). In their review, Kroll et al. (Reference Kroll, Bobb, Misra and Guo2008) suggest that the lexical-selection process is, not surprisingly, modulated by a host of factors, such as language proficiency (e.g., Kroll et al., Reference Kroll, Bobb and Wodniecka2006), language similarity (e.g., Boukadi et al., Reference Boukadi, Davies and Wilson2015) and language context (e.g., Boukadi et al., Reference Boukadi, Davies and Wilson2015; Elston-Güttler and Gunter, Reference Elston-Guttler and Gunter2008). For instance, in a group of moderately proficient Tunisian Arabic–French bilinguals, Boukadi et al. (Reference Boukadi, Davies and Wilson2015) replicated the phono-translation interference effect when the target picture was paired with a cross-language distractor. However, such an interference effect when the target was paired with a same-language distractor was absent. The authors argued that the lexical selection mechanism is dynamic in nature, modulated by language mode (Grosjean, Reference Grosjean and Nicol2001). According to the language mode hypothesis, bilingual processing can be placed on a language continuum, one end of which is a purely bilingual mode and the other end a purely monolingual mode. In the monolingual mode, lexical items from the target language receive high levels of activation while lexical items from the non-target language receive a much lower level of activation, allowing the non-target language to be easily deactivated (but, never completely) and resulting in words from the target language alone competing for selection. In the bilingual mode, lexical items from both the target and non-target languages receive equal levels of activation, resulting in words from both languages competing for selection. Based on this continuum, the selection system proceeds in a language-specific manner when bilinguals are in a monolingual mode (same-language distractors) and proceeds in a language non-specific manner when bilinguals are in a bilingual mode (cross-language distractors).
The goal of the present study was to investigate the factors that influence the manner and locus of lexical selection in bilinguals. We took a cognitive control approach to study bilingual lexical access because it has been proposed that some form of control mechanism is recruited to prevent either within-language or cross-language competition (e.g., Green, Reference Green1998). We, therefore, investigated the link between cognitive control and lexical selection in bilinguals speakers. According to the language-specific selection account, cross-language competitors do not compete for selection. The locus of control mechanism, in this case, is at the whole-language level where an entire lexicon from the contextually inappropriate language is suppressed. In contrast, since the language non-specific model assumes that lexical selection entails cross-language competition, control mechanisms are active at each level of lexical selection to resolve both within- and cross-language competition. While a comprehensive understanding of the different types of control processes involved to keep the two languages separate is elusive, there is emerging consensus that bilinguals recruit executive control, particularly inhibitory control, to achieve this (e.g., Abutalebi & Green, Reference Abutalebi and Green2007; Green, Reference Green1998).
We thus used a within-participants design in a bilingual picture-word interference task with several manipulations. The first of these manipulations involved the language context. Participants named pictures in their L2 while auditory distractor words were presented in both L1 and L2. We hypothesized that the mixed context creates a natural framework where both the target and non-target languages are simultaneously activated. Therefore, if the selection mechanism is language-specific in nature, greater within-language compared to little or no cross-language interference should be observed. Conversely, if the system is language non-specific, we expect to observe a similar magnitude of effects for both within- and cross-language distractors.
Second, we manipulated the interval between picture and auditory distractor presentation (SOA) to examine the time-course of within-language and cross-language distractor effects.
Third, we manipulated the word-status of the target pictures to compare the PWI effects associated with the production of non-cognate and cognate words. Cognates are words that share meaning and phonological forms across languages. For example, piano - shares meaning and sound in both French and English. Because cognates share phonological forms across languages (e.g., Sánchez-Casas, Garcia-Albea & Davis, 1992), accessing a cognate involves at least partially activating its translation equivalent, especially if the selection mechanism is language non-specific. This would then result in one of two outcomes. Previous picture-naming studies have shown that bilinguals are quicker at naming pictures with cognate names compared to pictures with non-cognate names (e.g., Hoshino & Kroll, Reference Hoshino and Kroll2007). This processing advantage for cognates over non-cognates has been attributed to phonological priming across the two languages. On the other hand, the absence of a cognate facilitation effect would suggest that lexical selection is language-specific at sub-lexical levels during speech production. Alternatively, if cognates are always accessed in parallel, then it may be predicted that difficulty in suppressing activation of the highly activated non-target translation equivalent may result in a reversal of the cognate advantage. Absence of a cognate advantage or reversal of a cognate advantage would then be in line with the predictions of the language-specific selection mechanism.
As a final manipulation, given that bilinguals vary in their ability to recruit domain-general inhibitory control to resolve within- and cross-language competition (e.g., Blumenfeld & Marian, Reference Blumenfeld and Marian2011; Mercier, Pivneva & Titone, Reference Pivneva, Palmer and Titone2014), we compared the bilinguals’ performance on the PWI task and on a non-verbal Simon task. We hypothesized that those individuals who exhibit enhanced inhibitory control would be better able to resolve cross-language interference.
Method
Participants
Thirty-eight healthy young adults between the ages of 18–28 (24 females; M = 21 years, SD = 2.37) were recruited from McGill University and the greater Montréal area. All participants were native speakers of French who spoke English with high proficiency based on a self-reported proficiency scale (1 = Beginner, 7 = Near native)Footnote 2 [L1 (M = 6.7, SD = 0.1); L2 (M = 6.1, SD = 1.0)]. Overall, participants across the two SOA groups were matched on self-rated assessments of first language proficiency [early SOA (M = 7.0, SD = 0.4); late SOA (M = 7.0, SD = 0.6); t(36) = 0.28, p = .77], second language proficiency [early SOA (M = 6.0, SD = 0.9); late SOA (M = 6.0, SD = 1.0); t(36) = 1.6, p = .11], daily L1 use [early SOA (M = 2.3, SD = 0.6); late SOA (M = 2.2, SD = 0.6); t(36) = 0.56, p = .57], L2 use [early SOA (M = 4, SD = 0.6); late SOA (M = 4, SD = 0.7); t(36) = 0.36, p = .71] and total number of years of education [early SOA (M = 15.2, SD = 1.8); late SOA (M = 15.2, SD = 2.4); t(36) = 0.6, p = .55]. All participants were right handed, as determined by the Edinburgh Handedness Inventory (Oldfield, Reference Oldfield1971), had normal or corrected-to-normal vision, and had no history of neurologic, psychiatric or communication disorders. All participants were remunerated for their participation. Table 1 summarizes the results from participants’ self-assessed measures on a language background questionnaire that was based on the Language Experience and Proficiency Questionnaire (LEAP-Q; Marian, Blumenfeld & Kaushanskaya, Reference Marian, Blumenfeld and Kaushanskaya2007).
Table 1. Characteristics of French-English bilinguals as a function of SOA condition.

Material
Target stimuli included fifty-six black-and-white line drawings of easily recognizable nouns that were selected from the International Picture-naming ProjectFootnote 3 (IPNP; Szekely, Jacobsen, D'Amico, Devescovi, Andonova, Herron, Lu, Pechmann, Pleh, Wicha, Federmeier, Gerdjikova, Gutierrez, Hung, Hsu, Iyer, Kohnert, Mehotcheva, Orozco Figueroa, Tzeng, Tzeng, Arevalo, Vargha, Butler, Buffington & Bates, 2004) to be named in English (L2). Of the fifty-six line drawings, we anticipated that thirty-two could be correctly named by words in English that had no French cognate translation equivalents and twenty-four could be correctly named by words in English that had French cognate translation equivalents (see footnote 3 for why only a limited number of target words were included in the study). Each target image was paired with an auditory distractor word. While the distractors exhibited four different relations to the non-cognate target image (semantic, phonologic, phonologically-related to the translation equivalent of the target name and an unrelated control), the cognate targets were paired with only threeFootnote 4 types of distractor words (semantic, phonologic and an unrelated distractor). In addition, distractor words paired with the target images were either within-language (English, L2) or cross-language distractors (French, L1). Tables 2a and 2b provide examples of the different target-distractor relations for non-cognate and cognate words respectively.
Table 2a. Examples of distractor types in relation to the non-cognate target picture “Butterfly (Papillon)”.

Phono-translation distractors are words that share similar word-onsets to the target's translation. For example, pantalon and pancake share the same word-onset with papillon – translation of the target ‘butterfly’.
Table 2b. Examples of distractor types in relation to the cognate target picture “Sandwich”.

Semantically related distractors were selected by choosing context words that elicited the name of the target picture during free association, as indexed using the University of South Florida free association norms database (Nelson, McEvoy & Schreiber, Reference Nelson, McEvoy and Schreiber1998) for the English distractors and norms collected by Ferrand and Alario (Reference Ferrand and Alario1998) for the French distractors. Care was taken that the semantically related distractor words were not phonologically related to the target name. We ensured that the initial phoneme(s) of the phonologically related distractor overlapped the initial phoneme(s) of the target name (cluster and following vowel in case of words that began with a cluster) and were not associatively related with the target name. Finally, unrelated distractor words were chosen such that they stood in no obvious semantic or phonologic relationship to the target name.
The distractor words that shared a relation with the target were chosen as carefully as possible to match on concreteness and phonological overlap. Additionally, five McGill University students who did not participate in the study judged the semantic and phonological relatedness of the target-distractor word pairs and also judged the ‘cognateness’ of the words before the words were included in the stimulus set. The distractor words that accompanied target pictures in each condition were tried to be matched, as much as possible, on syllable countsFootnote 5 from the spoken word corpus of the CELEX database for English distractors using WordGen, a tool for word selection (Duyck, Desmet, Verbeke & Brysbaert, Reference Duyck, Desmet, Verbeke and Brysbaert2004) and LEXIQUE database for French distractors (New, Pallier, Ferrand & Matos, 2001). Additionally, non-cognate and cognate target words were matched on frequency counts and syllable counts from the spoken word corpus of the CELEX database (Duyck et al., Reference Duyck, Desmet, Verbeke and Brysbaert2004). While no significant differences were found in frequency measures between non-cognates (M = 12.6, SD = 18.6) and cognates (M = 21.13, SD = 49.79); t(54) = 0.8, p = .3, a significant difference was found in syllable counts between non-cognate targets (M = 1.41, SD = 0.67) and cognate targets (M = 2.25, SD = 0.79); t(54) = 4.32, p < .001.
In an effort to refine the methodology, apart from the target items, we added thirty-two black-and-white line drawings paired with unrelated distractors that served as filler items for the non-cognate blocks and twenty-four black-and-white line drawings paired with unrelated distractors served as fillers for the cognate experimental blocks. While the inclusion of filler items is a standard across bilingual language processing and production studies, we noted that this was missing across many picture-word interference studies. Six additional line drawings were selected as practice items and were paired with unrelated auditory distractor words.
Using a Zoom H1 audio recorder, the auditory stimuli were digitally recorded in a sound-treated room by a female simultaneous bilingual speaker of French and English to ensure that no noticeable accents in Canadian English and Québéc French would be detected.
Design
Participants were randomly assigned to an SOA condition (four levels: −300ms, −150ms, 0ms, 150ms) to restrain the number of target picture repetitions to four due to the small number of possible targets that were, of necessity, included in the study. Separate lists were created for non-cognate and cognate word types. List presentation was blocked by word-type and was counterbalanced across participants. Within each word-type, targets and fillers were split into two lists such that if the target/filler image was accompanied by English distractors in list one, the same target/filler image was accompanied by French distractors in list two. Each list was further divided into four blocks. The target/filler image appeared only once in each block, each time accompanied with a different distractor. Lists were created such that each target/filler picture was paired with distractor words from each language equally and equally in each of the target-distractor conditions. All items were presented in a pseudorandom fashion such that there was a minimum of 15 trials between two presentations of the same picture in subsequent blocks. Critical and filler items were interleaved and list and block presentations were counterbalanced across participants.
Procedure
Participants were tested individually in a quiet room. The experiment consisted of three parts. First, prior to the actual experiment, the target and filler images were presented offline and the English and French names associated with the pictures were established. Participants were provided with the intended name of the picture (based on the IPNP; Szekely et al., Reference Szekely, Jacobsen, D'Amico, Devescovi, Andonova, Herron, Lu, Pechmann, Pleh, Wicha, Federmeier, Gerdjikova, Gutierrez, Hung, Hsu, Iyer, Kohnert, Mehotcheva, Orozco Figueroa, Tzeng, Tzeng, Arevalo, Vargha, Butler, Buffington and Bates2004) if they responded with a synonym because the target names were matched to their phonologic and semantic associations. Second, participants were given both oral and written instructions about the experiment along with practice trials. Participants were instructed to name the image on the screen in English (L2) as quickly and as accurately as possible while ignoring auditory distractor words that were presented through headphones. If they could not remember the name, they were instructed to remain silent until the next picture appeared on the screen. At this point, they were also made aware of the sensitivity of the apparatus/voice keyFootnote 6. In the third part of the study, experimental pictures were presented in the centre of the computer screen with a display size of 4.17 inches * 4.17 inches. Within- and cross-language auditory distractors were presented via circumaural headphones because they are comfortable to wear compared to earphones and have excellent sound quality. Each trial began with a fixation cross for 500ms followed by a picture, which remained on the screen for a maximum of 2000ms. The onset of the auditory distractor words either preceded the picture onset (SOA = −300ms, −150ms) and will be referred to as the early SOA condition, or coincided with/followed the picture onset (SOA = 0ms, +150ms) and will be referred to as the late SOA condition (see Schriefers et al., Reference Schriefers, Meyer and Levelt1990). The picture remained on the screen until the participant's naming response triggered the voice key or for 2000ms if there was no response. A pause of 1000ms was inserted before the next fixation cross marking the beginning of the next trial. All participants were tested on a Dell laptop and stimulus delivery was controlled by Presentation® software (Version 0.70, www.neurobs.com). All pictures presented were named in English. Each trial lasted for about 4 seconds. Naming latencies were measured from the onset of the picture to the vocal response, operated by a voice-activated timing mechanism set up via Presentation.
Groups based on the time-course of PWI effects
Following a seminal study by Schriefers, Meyer and Levelt (Reference Schriefers, Meyer and Levelt1990), several subsequent studies have demonstrated that semantic information is accessed earlier in the time course of lexical access for production (at SOA −150ms) and that information from phonology is retrieved at a later stage (at SOA 0ms and 150ms). In order to increase statistical power, we collapsed participants from SOAs −300ms and −150ms to represent the “Early SOA” condition and collapsed participants from SOAs 0ms and 150ms to represent the “Late SOA” condition. The experimental design included SOA condition (early vs. late) as a between-subjects factor and distractor type (Semantic, Phonologic, Phono-translation & Unrelated) and distractor language (English and French) as within-subject factors. As noted elsewhere, SOA was included as a between subjects factor to limit the number of repetitions of a target/filler picture to four.
Individual difference measures
Following the picture-word interference task, participants completed an executive control measure, which included the non-verbal Simon Task. The Simon task assesses the ability to suppress irrelevant information and attend to relevant information. In this task, participants were instructed to watch flashing squares that appeared on the computer screen. The stimuli (blue and red squares) were presented either to the right or left side of the computer screen, making position information a part of the visual stimulus display, although the position of the squares was not relevant to the response selection. Each trial began with a fixation cross at the centre of the screen. The fixation cross remained on the screen for 800ms followed by a blank screen for 250ms. The blank screen was then replaced by a red or a blue square either to the right or left side of the screen for 1000ms. Participants were instructed to press different response keys depending on the colour of the square. For example, the left response key was associated with a blue square and the right response key was associated with a red square. In the congruent condition, the stimulus appeared on the same side as the appropriate response key (e.g., red square on the right and the response required is pressing the right key) and in the incongruent condition, the stimulus appeared on the opposite side (e.g., red square appears on the left side of the screen and the response required is pressing the right key). Figure 1 shows an example of displays for the non-verbal Simon task.

Figure 1. An example of displays for the non-verbal Simon task.
All participants were given a practice session before the actual experimental trials. The experimental trials included 40 congruent and 40 incongruent trials presented in a randomized order. Due to the conflict between the stimulus location and response key, response times are longer for incongruent trials over congruent trials. This difference between response times for incongruent and congruent trials is the Simon effect. The magnitude of the Simon effect reflects the ability to inhibit a dominant but inaccurate response and is widely considered as a non-linguistic inhibitory control measure.
Results
Proficiency Measures
Prior to the main data analysis, data from the language background questionnaire were analyzed to ensure that mean proficiency scores did not differ significantly across the early and late SOA groups; this would ensure that the observed differences on the Simon task and the PWI task across early and late SOA groups were in fact due to experimental manipulations and not confounded by differences in language proficiency (see Table 1).
Inhibitory control measures: Results from the Simon task
Responses were coded for accuracy and all trials with incorrect responses were excluded from analysis. Additionally, we computed the mean correct response time for the congruent and incongruent trials, excluding outliers based on Grubbs’ test (Grubbs, Reference Grubbs1950). Accuracy and reaction time scores for the Simon task are reported in Table 3. We conducted several t-tests comparing accuracy and reaction time scores for congruent and incongruent conditions within and across the two SOA groups. There was no significant difference in accuracy scores for congruent trials between early SOA (M = 92.2, SD = 7.5) and late SOA (M = 93.9, SD = 4.4); t(36) = 0.8, p > .05. No significant differences were observed in accuracy scores for incongruent trials between early SOA (M = 83.3, SD = 12.5) and late SOA (M = 86.5, SD = 9.4); t(36) = 0.9, p > .05. Similarly, there was no significant difference in response times on congruent trials between early SOA (M = 388, SD = 42) and late SOA (M = 402, SD = 49.4); t(36) = 0.8, p > .05. Further, no significant differences were observed in response times on incongruent trials between early SOA (M = 422, SD = 47.3) and late SOA (M = 423, SD = 41.9); t(36) = 0.06, p > .05. However, as expected, we found that responses on congruent trials were significantly more accurate than responses on incongruent trials for participants in both early [Congruent trials: [(M = 92.2, SD = 7.5); Incongruent trials: (M = 83.3, SD = 12.5); t(18) = 3.29, p < .05] and late SOA groups [(Congruent trials: (M = 93.9, SD = 4.4); Incongruent trials: (M = 86.5, SD = 9.4); t(18) = 3.9, p < .05)]. Additionally, responses on congruent trials were significantly faster than responses on incongruent trials for participants in both early [Congruent trials: (M = 388, SD = 42; Incongruent trials: (M = 422, SD = 47.3); t(18) = 6.41, p < .05] and late SOA group [Congruent trials: (M = 402, SD = 49.4; Incongruent trials: (M = 423, SD = 41.9); t(18) = 3.51, p < .05].
Table 3. Accuracy and RT to congruent and incongruent trials on the Simon task as a function of SOA groups.

Picture-word interference task
Responses were coded for accuracy and all trials with errors were eliminated from the analysis. Errors were classified as true errors (mouth-clicks, incorrect responses, null responses beyond 2000ms or any hesitations before production) and technical errors (problems caused by the high sensitivity of the software which skips pictures due to heavy breathing or coughing causing mis-triggered trials). In addition, we used Grubbs’ test (Grubbs, Reference Grubbs1950) to exclude outliers from the analysis. In all, of the 9.9% of total errors, 5.6% were true errors, 4.0% were technical errors and 0.3% were outliers. The remaining 90.1% reflected accuracy scores. Tables 4a and 4b summarize the accuracy percentages and reaction time scores of all naming responses for non-cognates and cognates respectively.
Table 4a. Mean accuracy (%) and reaction time (ms) and difference scores for non-cognate targets on the PWI task as a function of distractor type and distractor language.

Note. F = French; E = English; D = Unrelated RT – Related RT
Table 4b. Mean accuracy (%) and reaction time (ms) and difference scores for cognate targets on the PWI task as a function of distractor type and distractor language.

Note. F = French; E = English; D = Unrelated RT – Related RT
Data analysis using linear mixed effects models
To investigate the effects of distractor type, distractor language, word-type (non-cognates vs. cognates) and individual differences in executive functions on picture-naming in L2, we computed a series of linear mixed effects models (Baayen, Davidson & Bates, Reference Baayen, Davidson and Bates2008) using lme4 (Bates, Reference Bates2005; Bates & Sarkar, Reference Bates and Sarkar2005) within R (R Development Core Team, 2013) by SOA groupFootnote 7 and word-typeFootnote 8. Our dependent variable was reaction time for picture-naming (measured from the onset of the picture presentation to the beginning of the naming response measured by a voice key); independent variables were distractor type (a categorical variable with three or four levels: semantic, phonologic, [phono-translation] and unrelated), distractor language (a categorical variable with two levels: English and French) and Simon cost score (a continuous scaled variable). All models were run with maximal random slope structure. In the case of non-converging models, we simplified the random slope structure until the model converged (Barr, Levy, Scheepers & Tily, Reference Barr, Levy, Scheepers and Tily2013). All variables were coded according to the deviation coding system (0.5, −0.5). For distractor type, the reference variable was the unrelated distractor and for the distractor language, the reference variable was L1 (French). A convention of t > 1.96 was used to report significant effects.
To control for the possible effects of individual differences in L2 proficiency on lexical access for word production, we ran a mixed effects model with L2 proficiency as a fixed factor (continuous scaled variable) and scrutinized for any main effects of L2 proficiency and its interaction with other independent variables such as distractor type, distractor language and Simon cost. L2 proficiency did not have any effects on picture-naming latencies for either non-cognate or cognate target words. No significant main effects or interactions were observed.
Analysis 1: Non-cognates
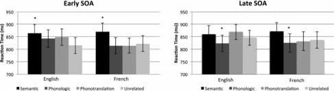
Figure 2 displays non-cognate picture-naming latencies in the presence of English and French distractor words by SOA group.

Figure 2. Naming latencies for non-cognate target pictures paired with English and French distractors for early and late SOA groups.
Analysis of naming latencies revealed a classic semantic interference effect at early SOAs. Targets were named slower in the presence of semantically-related distractors compared to unrelated distractors (b = 54.28, SE = 19.11, t = 2.84), regardless of the distractor language. Additionally, a significant three-way interaction (b = 59.54, SE = 28.28, t = 2.10) among distractor type (for phonological distractors), distractor language and Simon cost scores was observed at early SOAs. To investigate the source of this interaction, we split the model by Simon cost scoresFootnote 9, computing separate models for individuals with superior inhibitory control and inferior inhibitory control. Interestingly, picture-naming latencies varied as a function of distractor type and distractor language for individuals with low cognitive control alone, resulting in a significant two-way interaction between distractor type and distractor language (b = 79.94, SE = 34.06, t = 2.35). As shown in Table 4a, target pictures paired with English phonologically-related distractors (M = 843) took longer to be named than French phonologically-related distractors (M = 814), English unrelated distractors (M = 815) and French unrelated distractors (M = 822). The latter two did not emerge as significantly different. This two-way interaction is shown in Figure 3. No interactions reached significance for individuals with superior inhibitory control (b = 32.13, SE = 33.89, t = 0.95).

Figure 3. Graphical representation of partial effects from the model fit for the interaction between Simon cost scores and phonologically-related distractor for non-cognate targets. Target naming latencies in the presence of English phonologically-related distractors increased as inhibitory control decreased.
Analysis of naming latencies revealed a classic phonological facilitation effect at late SOAs, where target pictures were named faster when paired with phonologically-related distractors compared to unrelated distractors (b = −38.17, SE = 18.14, t = −2.10), regardless of the language of the distractor.
Finally, no significant differences were observed in naming latencies in the presence of phono-translation distractors at early or late SOAs. Table 5a displays the results from the linear mixed effects models for non-cognates at both early and late SOAs and Table 5b displays the linear mixed effects results for the two-way interaction between phonologically-related distractors and Simon cost scores from a follow-up model.
Table 5a. Linear mixed effects models by SOA groups for picture naming times to non-cognate pictures.

Note. 1Baseline = Unrelated; 2Baseline = L1 (French)
Table 5b. Follow-up linear mixed effects models by cognitive control groups (low vs. high) for picture naming latencies to non-cognate targets in the presence of English phonologically-related distractors at early SOA.

Note. 1Baseline = Unrelated; 2Baseline = L1 (French)
Analysis 2: Cognates
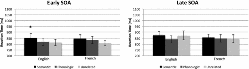
Figure 4 displays cognate picture-naming latencies in the presence of English and French distractors words by SOA group.

Figure 4. Naming latencies for cognate target pictures paired with English and French distractors for early and late SOA groups.
Results demonstrated replication of the classic semantic interference effect at early SOAs for cognate target pictures. Naming latencies were longer when target pictures were paired with semantically-related distractors compared to unrelated distractors (b = 44.05, SE = 16.42, t = 2.68), regardless of the distractor language. Interestingly, this main effect was superseded by a two-way interaction with Simon cost scores. As shown in Figure 5, bilinguals demonstrated greater interference from semantically-related distractors as inhibitory control decreased (b = 34.55, SE = 16.39, t = 2.11).

Figure 5. Graphical representation of the two-way interaction between semantically related distractors and Simon cost at early SOA for cognate picture naming. As inhibitory control decreases, semantic interference increases.
Additionally, an emerging trend towards a phonological facilitation effect at late SOAs (b = −26.80, SE = 16.73, t = −1.60) was observed. However, this trend did not reach significance. Interestingly, a significant three-way interaction (b = 77.89, SE = 32.25, t = 2.42) among distractor type (for semantic distractors), distractor language and Simon cost scores was observed at late SOAs. To examine the source of this interaction, we split the model by Simon cost scores. Results demonstrated that within-language semantically-related distractors facilitated cognate picture-naming compared to unrelated distractors at late SOAs for superior inhibitors alone (b = −83.53, SE = 40.31, t = −2.07; Figure 6).

Figure 6. Graphical representation of the two-way interaction between distractor type and distractor language as a function of inhibitory control groups at late SOA for cognate picture naming. English semantically-related distractors facilitate picture naming only in the superior inhibitory control group.
Tables 6a and 6b display the results from the linear mixed effects models for non-cognates at both early and late SOAs and the linear mixed effects results for the two-way interaction between semantically-related distractors and Simon cost scores from a follow-up model respectively.
Table 6a. Linear mixed effects models by SOA groups for picture naming times to cognate pictures.

Note. 1Baseline = Unrelated; 2Baseline = L1 (French)
Table 6b. Follow-up linear mixed effects models by cognitive control groups (low vs. high) for picture naming latencies to cognate targets in the presence of English semantically-related distractors at late SOA.

Note. 1Baseline = Unrelated; 2Baseline = L1 (French)
Analysis 3: The cognate-effect
To evaluate whether the cognate targets were named faster than non-cognate targets, the phono-translation distractor condition was removed from the analysis and separate mixed effects models were created for each SOA group with word-type (cognate vs. non-cognate) as one of the fixed factors, along with distractor type and distractor language. The dependent variable was naming latency. Our results did not reveal a cognate facilitation effect for early SOA (b = 0.36, SE = 15.29, t = 0.02) and late SOA (b = 11.94, SE = 13.54, t = 0.8) groups. That is, picture-naming latencies for non-cognate and cognate targets did not differ significantly across both SOA groups. Interestingly, results from the linear mixed effects model revealed a two-way interaction between the word-type and Simon cost scores at both early and late SOAs. Surprisingly, the interactions were observed in opposite directions. First, a significant two-way interaction between Simon cost scores and word-type (b = 29.36, SE = 7.39, t = 3.96) at early SOAs was observed, indicating that as inhibitory control decreased, picture-naming latencies for cognates became slower. Second, a significant two-way interaction between word-type and Simon cost scores at late SOAs was observed, indicating that cognates were named faster than non-cognates as inhibitory control decreased (b = −18.47, SE = 7.58, t = −2.43).
Analysis 4: Repetition effects
Since pictures were presented multiple times (four times for non-cognate targets and three times for cognate targets, each time with a different distractor word), we were interested in investigating whether repetition of target picture affected the magnitude of semantic interference, phonologic facilitation or phono-translation effects. Several additional mixed effects models with picture repetition blocks as a factor for non-cognate and cognate lists and for both early and late SOA groups were constructed. Of interest, any interaction effects between picture repetition, distractor type and distractor language was explored. An interaction would indicate that the results from our study were confounded by picture repetition. Results demonstrated that the interactions between picture repetition and semantic, phono-translation or phonologic distractors at both early and late SOAs for both non-cognate (see Table 7a for t-values) and cognate target (see Table 7b for t-values) lists were not significant, suggesting that picture repetition did not influence the findings.
Table 7a. Linear mixed effects models by SOA groups showing non-significant interactions between picture repetition and distractor types for picture naming times to non-cognate pictures.

Note: Interactions are in italics.
1 Baseline = Unrelated; 2Baseline = L1 (French); 3Baseline = Repetition 0 (first time presentation of targets)
Table 7b. Linear mixed effects models by SOA groups showing non-significant interactions between picture repetition and distractor types for picture naming times to cognate pictures.

Note: Interactions are in italics.
1 Baseline = Unrelated; 2Baseline = L1 (French); 3Baseline = Repetition 0 (first time presentation of targets)
Discussion
The present study compared highly proficient French–English bilingual young adults on a cross-modal PWI task and the Simon task, with two main goals in mind: (a) to determine the nature and locus of cross-language activity during lexical selection, and (b) to examine whether differences in word status (non-cognates vs. cognates) and individual differences in inhibitory control modulated the process of lexical selection. Results from the current study are in keeping with the view that presents the bilingual lexical selection mechanism as a dynamic process, regulated by word-status and individual differences in inhibitory control. We will first discuss the results from the non-cognate analysis, followed by results from the cognate analysis in the light of recent models of bilingual lexical access.
Summary of findings from non-cognate picture-naming
In line with previous findings, results from the present study replicated the two classic picture-word interference effects in highly proficient French–English bilinguals. Semantic interference, regardless of the distractor language, was observed at early SOAs. According to the inhibitory control model (e.g., Green Reference Green1998) and the hypothesis that language selection is non-specific (e.g., Hermanns et al. Reference Hermans, Bongaerts, De Bot and Schreuder1998), we can expect delays in response initiation to picture-naming when there is higher cross-language activation in the presence of semantically related distractors compared to unrelated distractors. In the present context, symmetrical within- and cross-language semantic interference suggest that lexical alternatives from both languages compete for selection with the target word in L2, even in highly proficient bilinguals (but, see Costa & Caramazza (Reference Costa and Caramazza1999) for an alternate explanation of similar results). A classic phonologic facilitation effect, regardless of the distractor language, was observed at late SOAs. In line with the monolingual literature (e.g., Starreveld, Reference Starreveld2000; Starreveld & La Heij, Reference Starreveld and La Heij1996), this result suggests that both within- and cross-language phonologically-related distractors influence bilingual lexical selection. Phonologically-related distractors activate not only their word form representations but also those of the target, increasing the activation levels of the target and thereby speeding naming latencies.
Taken as crucial evidence in favour of the language-non-specific mechanism is the phono-translation interference effect, where naming latencies are slower when the target is paired with a distractor that shares a similar phonological onset with the translation of the picture's name (e.g., Boukadi et al., Reference Boukadi, Davies and Wilson2015; Hermans et al., Reference Hermans, Bongaerts, De Bot and Schreuder1998). There was no phono-translation interference effect for the bilinguals tested in this study. Compared to previous studies, the current study yielded different results, which we ascribe to two overall methodological differences. First, the inconsistent results may be explained by differences in language proficiency levels: high L2 proficiency levels in our group of participants compared to moderate L2 proficiency levels in previous studies (e.g., Boukadi et al., Reference Boukadi, Davies and Wilson2015). Following this assumption, we propose, given the high level of L2 proficiency, the competition induced by within- and cross-language phono-translation distractors was not strong enough to interfere with picture-naming compared to compared to individuals with lower L2 proficiency levels observed in previous studies. In keeping with the dynamic model of lexical selection, these findings suggest that greater L2 proficiency among bilinguals results in less cross-language activation during lexical selection. That is, more proficient bilinguals are better able to overcome competition exerted by irrelevant stimuli compared to less proficient bilinguals, in keeping with earlier work with high L2 proficiency bilinguals (e.g., Kroll et al., Reference Kroll, Bobb and Wodniecka2006). Another important factor to consider while interpreting the difference in results is the probable effects of language use and experience on bilingual lexical selection. Past bilingual language processing and production studies have demonstrated that L2 use and experience influence L1 production and vice versa (e.g., Branzi, Martin, Abutalebi & Costa, Reference Branzi, Martin, Abutalebi and Costa2014). Therefore, whether the absence of a phono-translation effect in our group of bilinguals is related to daily L1 and L2 use remains to be determined and certainly warrants further investigation. Third, we ascribe the differences in results obtained to the absence of filler trials in previous picture-word interference studies. The fact that earlier studies only had related trials may have caused the participants to consciously think of the distractor-target relationship, causing a delay in picture-naming when targets were accompanied by phono-translation distractors. Introducing filler trials where pictures were paired with unrelated distractors in our study may have reduced the magnitude of such effects.
Interestingly, we observed a novel within-language phonological interference effect at early SOAs. Only one study recently reported such interference effects at a 0ms SOA. Hoshino and Thierry (Reference Hoshino and Thierry2011) showed within-language phonological interference in a PWI experiment with Spanish–English bilinguals. An early phonological interference effect was reported when L2 non-cognate targets were accompanied by L2 phonological distractors. The authors attributed this unexpected phonological interference to repetition of the response set where picture names were also used as distractors to limit lexical variation in distractor and target items. However, there was no such repetition in our study. We suggest that the interference caused by within-language phonological distractors was probably due to competition from members of a lexical cohort that shared similar phonological representations. Activation of lexical items that share phonological features with the distractor (via a feedback mechanism) compete with the target picture name (Dell, Reference Dell1986; Dell & O'Seaghdha, Reference Dell and O'Seaghdha1992). These results then, in line with the interactive activation model (Dell et al., Reference Dell, Schwartz, Martin, Saffran and Gagnon1997), suggest that the phonological information exerts a bottom-up influence on lemma selection at least for same-language distractors. These results are in keeping with the inhibitory control model (Green, Reference Green1998), where difficulty in inhibiting top-down activation from contextually inappropriate cohorts, although from the same language, may interfere with the lemma selection process. Interestingly, this early within-language phonological interference effect was also modulated by individual differences in inhibitory control. While individuals with superior inhibitory control successfully controlled competition from contextually inappropriate lexical candidates, individuals with decreased cognitive control (inhibitory control) showed difficulty suppressing highly activated competitors during lemma selection.
Taken together, the above findings paint a paradoxical picture. The presence of cross-language semantic interference effects suggests that the non-target language competes during lexical selection. However, an interference effect caused only by within-language phonological distractors at early latencies implies that phonological information from the target language influences picture-naming during the lemma selection process and cross-language distractors may have no effect. To further explore the extent to which cross-language information is activated, we investigated picture-naming latencies of cognate targets in the presence of within- and cross-language distractor words.
Summary of findings from cognate picture-naming
Somewhat comparable to the results from non-cognate picture-naming, results for cognate target naming in the presence of within-and cross-language distractors demonstrated a semantic interference effect, regardless of the language of the distractor, at early SOAs. Interestingly, only individuals with inferior inhibitory control demonstrated this interference effect. Greater inhibitory control among bilinguals led to less cross-language interference during early stages of lexical selection. The extent of the interference demonstrated by the two inhibitory control groups (superior vs. inferior) has important implications for models of bilingual lexical access. Our findings are compatible with the hybrid model that assumes bilingual lexical selection is contingent on certain conditions and factors. In this case, our results demonstrate that lexical selection is modulated by individual differences in executive control. It has been suggested that cognate targets are easier to access as a consequence of shared activation from both languages known to the bilingual, leading to easier retrieval of the target (e.g., Siyambalapitaya, Chenery & Copland, Reference Siyambalapitiya, Chenery and Copland2009). Consistent with the language-specific selection model, results obtained from the current study can be explained such that superior inhibitors are successfully able to apply inhibitory control at the whole language level to ward off competition from other highly activated but irrelevant cross-language alternatives. However, as inhibitory control decreases, and as specified by the language non-specific selection mechanism, it is increasingly more difficult to suppress highly activated cross-language alternatives, leading to increased picture-naming latencies.
Another unexpected result observed in cognate picture-naming was that semantically-related within-language distractors facilitated picture-naming for cognate words in the late SOA group for individuals with superior inhibitory control. Previous PWI research has unambiguously shown a semantic-interference effect at early SOAs (e.g., Boukadi et al., Reference Boukadi, Davies and Wilson2015; Costa & Caramazza, Reference Costa and Caramazza1999; Hermans et al., Reference Hermans, Bongaerts, De Bot and Schreuder1998). However, most PWI studies have explored the process of lexical access with non-cognates as target stimuli. While this surprising semantic facilitation effect at the post-lexical stage (late SOAs) warrants further examination, we suggest that perhaps this is the result of a phonological priming effect where feedback from activated phonological forms facilitated the recognition of the target word at a stage where the target lemma was already selected.
Comparisons of non-cognate and cognate picture-naming
The cognate status of a word was manipulated in the current study to investigate cross-language activity during lexical selection at the phonological level. Presence of a cognate facilitation effect – reduced picture-naming latencies for cognate targets compared to non-cognate targets – would suggest that the non-target name is phonologically encoded (e.g., Kroll & Stewart, Reference Kroll and Stewart1994). Inconsistent with some previous studies, our results failed to demonstrate a cognate facilitation effect, which we attribute to high L2 proficiency levels. When a bilingual speaker's proficiency across the two languages is varied, the large proportion of activation received by the target's translation in the dominant language aids in cognate picture-naming, especially in the weaker, non-dominant language. Given that our group of bilinguals was highly proficient in both French and English, naming latencies were probably independent of whether or not the target to be named was a cognate. Additionally, past bilingual word production studies have shown that L1 and L2 use influence lexical retrieval even in highly proficient bilinguals (e.g., Branzi et al., Reference Branzi, Martin, Abutalebi and Costa2014) and this may very well be the case in our group of bilinguals. However, how language use may influence lexical selection in French–English bilinguals is a premise that merits further investigation in the future.
Interestingly, we observed that naming latencies varied as a function of the cognate status of the word for individuals with low inhibitory control alone, albeit in two opposite directions. At early SOAs, inferior inhibitors took longer to name cognates than non-cognates. As explained elsewhere, one possibility is that individuals with low cognitive control were less able to apply the top-down inhibition to stop the non-target language from interfering with picture-naming. Because non-cognates receive activation only from one language, it was easier to inhibit these activations. At late SOAs, however, a cognate facilitation effect was observed. Assuming the spreading activation principle, the cognate facilitation effect arises during later stages of lexical processing because lexical alternatives in the non-target language additionally activate their phonological properties and spread activation to affect lexical processing at the phonological level once the lexical node has already been chosen at an earlier stage. However, since non-cognates receive activations from only one language, the activation levels are lower, resulting in relatively slower response times at later stages of lexical processing. These results suggest that lexical access is language non-specific and entails competition at the level of phonology. In contrast, greater executive control did not modulate cognate facilitation. At this point, the lack of a cognate facilitation effect is puzzling. We propose that the lack of a cognate effect does not suggest that bilingual lexical selection does not entail competition at sub-lexical levels. Rather, what is apparent from the results is that superior inhibitors possess the cognitive capacity to selectively inhibit activation from irrelevant cohorts in the more demanding non-cognate picture-naming task, just as successfully as in the less demanding cognate picture-naming task.
In conclusion, the present study offers new insights into the process of bilingual language production. The results from the current study suggest that the lexical selection mechanism is modulated by a range of factors including, but not limited to, language proficiency, word-status and individual differences in inhibitory control, similar to recent suggestions based on spoken language comprehension studies (e.g., Pivneva, Palmer & Titone, Reference Pivneva, Palmer and Titone2014). These results fit within the framework of models that prescribe a central role for inhibitory control during lexical access and further have important implications for models of bilingual language processing and production, supporting modifications that incorporate factors such as differences in domain-general executive control, to better reflect the mechanisms that allow successful language processing and production in bilinguals.
 
 

















