Highlights
-
• 205 young English-as-a-foreign-language learners from rural China were studied.
-
• Participants were tested for their English proficiency, personality, and creativity.
-
• L2 proficiency was positively linked to all creativity components.
-
• Openness and Extraversion were positively linked to certain creativity components.
-
• L2 proficiency, Openness, and Extraversion contributed to creativity jointly.
1. Introduction
Creativity, the ability to produce original and valuable work, is recognized as one of the 21st Century’s essential “4C” skills: creativity, communication, critical thinking, and collaboration (Erdoğan, Reference Erdoğan2019; Lubart et al., Reference Lubart, Zenasni and Barbot2013). Individuals, organizations, and societies require creativity for self-improvement and self-development (Lubart et al., Reference Lubart, Zenasni and Barbot2013). It is a desired educational goal for schools to cultivate and increase students’ creativity when helping them acquire knowledge (Jónsdóttir, Reference Jónsdóttir2017). Researchers have advocated that creativity should be integrated into teaching and learning (Jónsdóttir, Reference Jónsdóttir2017). It is also noted that creativity can be enhanced through second or foreign language (L2) learning (Erdoğan, Reference Erdoğan2019; Ghonsooly & Showqi, Reference Ghonsooly and Showqi2012; Landry, Reference Landry1973, Reference Landry1974a). We propose two potential pathways through which L2 learning may influence creativity. First, acquiring a new language enriches an individual’s conceptual knowledge through exposure to diverse linguistic and cultural norms and values, which can stimulate creative thinking (Koch et al., Reference Koch, Kersten and Greve2024; van Dijk et al., Reference van Dijk, Kroesbergen, Blom and Leseman2019). Second, drawing on the cognitive advantage hypothesis of bilingualism (Bialystok & Craik, Reference Bialystok and Craik2022), foreign language (FL) learning, much like bilingual experiences, involves frequent alternation between languages and rests heavily on executive functions such as attention control and inhibition. This process may extend cognitive capacities, including creativity (Kharkhurin et al., Reference Kharkhurin, Koncha and Charkhabi2023a; Landry, Reference Landry1973, Reference Landry1974a).
Nevertheless, there is limited empirical evidence regarding the specific contribution of FL learning to creativity in instructed FL contexts. This stands in sharp contrast to the growing body of research highlighting the bilingual advantages in creativity observed in immigration or second language contexts, where the L2 is predominantly used in daily social interactions rather than being confined to teacher-student interactions in the classroom (e.g., Hommel et al., Reference Hommel, Colzato, Fischer and Christoffels2011; Kharkhurin, Reference Kharkhurin2008; Kharkhurin et al., Reference Kharkhurin, Koncha and Charkhabi2023a; Lee & Kim, Reference Lee and Kim2011). There is even less attention to whether individual differences in personality traits would differentiate the presumed benefits of FL learning in creativity. To this end, the current study aims to examine how FL proficiency and personality traits can contribute to creativity among young adolescent English-as-a-foreign-language (EFL) learners from rural China, an underrepresented group with a low socioeconomic status whose cognitive capacity, linguistic skills, and personality are still developing (Garton & Copland, Reference Garton and Copland2018; Hackman & Farah, Reference Hackman and Farah2009).
2. Creativity, divergent thinking, and convergent thinking
Creativity refers to the ability to generate novel alternative solutions to a problem or answers to a question and seek one correct and valuable solution or answer (Kharkhurin et al., Reference Kharkhurin, Koncha and Charkhabi2023a). In that sense, creativity involves initiating multiple cycles of divergent and convergent thinking (Barbot et al., Reference Barbot, Besançon and Lubart2016; Lubart et al., Reference Lubart, Besançon and Barbot2011). Creative thought, product, or behaviour must be both novel and valuable (Feist, Reference Feist1998; van Dijk et al., Reference van Dijk, Kroesbergen, Blom and Leseman2019).
Introduced by Guilford (Reference Guilford1950), divergent thinking has long been viewed as a defining component of creativity and equated with creativity in many prior studies (Baer, Reference Baer1993; Brown, Reference Brown, Glover, Ronning and Reynolds1989; Dowd, Reference Dowd, Glover, Ronning and Reynolds1989). Correspondingly, divergent thinking tests (e.g., Remote Associates Test, Mednick & Mednick, Reference Mednick and Mednick1967; Torrence Test of Creative Thinking, Torrance, Reference Torrance1966) have dominated testing tools for measures of creativity (Runco, Reference Runco, Kaufman and Sternberg2010; Runco & Acar, Reference Runco and Acar2012). These measures address the four main characteristics of divergent thinking defined by Guilford (Reference Guilford1967, Reference Guilford1973): Fluency (the capacity to produce many ideas, possible answers, or solutions to a problem), originality (the ability to go beyond commonly accepted ideas and generate infrequent or rare ideas in comparison to either an individual’s previous responses or those of most other people), flexibility (the ability to go beyond tradition or habits and consider a list of alternative or unusual forms, uses, solutions or approaches), and elaboration (the ability to think through the details of an idea or solution and carry them out).
A conceptual change has arisen in creativity research since the late 2000s. Increasingly, researchers refrain from perceiving creativity as identical to divergent thinking and question the validity of measuring creativity with divergent thinking tests (Kharkhurin, Reference Kharkhurin2008). Going beyond the restrictions of Guilford’s (Reference Guilford1950) view of creativity as divergent thinking, convergent thinking has been argued as a closely related fundamental component of creativity (Barbot et al., Reference Barbot, Besançon and Lubart2011, Reference Barbot, Besançon and Lubart2016; Hommel et al., Reference Hommel, Colzato, Fischer and Christoffels2011; Kharkhurin, Reference Kharkhurin2008; Reference Kharkhurin2009; Kharkhurin et al., Reference Kharkhurin, Koncha and Charkhabi2023a; Reference Kharkhurin, Koncha and Charkhabi2023b; Lubart et al., Reference Lubart, Besançon and Barbot2011; van Dijk et al., Reference van Dijk, Kroesbergen, Blom and Leseman2019). Already in the 1980s, Barron and Harrington (Reference Barron and Harrington1981) pointed out that “divergent thinking in fact goes hand in glove with convergent thinking in every thought process that results in a new idea” (p. 443). That is, divergent thinking and convergent thinking are inseparable from each other in creative performance, and creative work rests on both types of thinking being original and useful/effective (Runco & Jaeger, Reference Runco and Jaeger2012). Indeed, divergent thinking is an unconscious automatic cognitive process that requires little attentional control (Kharkhurin, Reference Kharkhurin2009; Kharkhurin et al., Reference Kharkhurin, Koncha and Charkhabi2023b). It involves defocused attention and associative thought in a broad search for information and the rapid generation of multiple novel ideas and possible solutions to tackle a problem (Kharkhurin & Li, Reference Kharkhurin and Li2015). The ideas or solutions radiating from the central concept during divergent thinking are subsequently evaluated in convergent thinking, which is responsible for narrowing all possible alternatives, forms, ideas, and approaches down to a single, optimal one and reaching a firm solution by combining, integrating, or synthesizing elements in new ways (Barbot et al., Reference Barbot, Besançon and Lubart2011; Lubart et al., Reference Lubart, Besançon and Barbot2011). In all, divergent thinking is more unconscious, tentative, and exploratory, while convergent thinking is more attention-demanding and integrative (Dowd, Reference Dowd, Glover, Ronning and Reynolds1989).
Based on this holistic divergent-convergent view of creativity, Lubart et al. (Reference Lubart, Besançon and Barbot2011) developed the Evaluation of Potential Creativity (EPoC). EPoC addresses both the divergent-exploratory mode of thinking and the convergent-integrative mode of thinking in verbal and non-verbal (graphic) domains as indicators of creativity. EPoC has been applied and validated among children and adolescents (Barbot et al., 2011; Lubart et al., Reference Lubart, Besançon and Barbot2011). Based on the same conceptual framework, the current study considered both divergent and convergent thinking as indicators of creativity and used EPoC to measure participants’ creative potential (see the subsequent section on Instruments for more details).
3. Bilingualism and creativity
A plethora of empirical studies have examined the cognitive advantage hypothesis of bilingualism, providing positive results (e.g., Bialystok, 2016; Bialystok et al., 2010; Bialystok & DePape, 2009; Poarch & Bialystok, 2015) as well as null results (e.g., Duñabeitia et al., Reference Duñabeitia, Hernández, Antón, Macizo, Estévez, Fuentes and Carreiras2014; Morton & Harper, Reference Morton and Harper2007; Paap & Greenberg, Reference Paap and Greenberg2013). Meta-analyses show a small but significant effect size of around 0.20 (Grundy, Reference Grundy2020; Grundy & Timmer, Reference Grundy and Timmer2017; van den Noort et al., Reference van den Noort, Struys, Bosch, Jaswetz, Perriard, Yeo, Barisch, Vermeire, Lee and Lim2019). Within the framework of the bilingual advantages in cognition, creativity, a crucial component of general cognitive function, is assumed to be enhanced by engaging in more than one language (Kharkhurin, Reference Kharkhurin, Altarriba and Heredia2018; Kharkhurin et al., Reference Kharkhurin, Koncha and Charkhabi2023b). The enhancement of creativity could be attributed to the general cognitive benefits of bilingualism and enriched conceptual knowledge (van Dijk et al., Reference van Dijk, Kroesbergen, Blom and Leseman2019). Firstly, bilingualism would extend executive functions, further enhancing creativity (Kharkhurin et al., Reference Kharkhurin, Koncha and Charkhabi2023b; van Dijk et al., Reference van Dijk, Kroesbergen, Blom and Leseman2019). Indeed, bilinguals are confronted with between-language competition (Marian & Spivey, Reference Marian and Spivey2003) and need to focus on choosing and using the correct information in one language and inhibit interference from the other. Such bilingual experiences are highly cognitively demanding and thus facilitate executive functioning (van Dijk et al., Reference van Dijk, Kroesbergen, Blom and Leseman2019), whose core components are attention control (switching attention to goal-relevant information), inhibition (inhibiting irrelevant or interfering information), and cognitive flexibility (including creative thinking) (Diamond, Reference Diamond2013). Attention control is assumed to be required for convergent thinking (Kharkhurin et al., Reference Kharkhurin, Koncha and Charkhabi2023b), and inhibition is beneficial for both divergent thinking and convergent thinking because it helps people stay focused on producing an original idea or product (van Dijk et al., Reference van Dijk, Kroesbergen, Blom and Leseman2019). For example, Benedek et al. (Reference Benedek, Franz, Heene and Neubauer2012) found that inhibition promoted the fluency of ideas. Secondly, managing and monitoring more than one language enriches bilinguals’ conceptual knowledge, further enhancing creativity (Kharkhurin, Reference Kharkhurin2008; van Dijk et al., Reference van Dijk, Kroesbergen, Blom and Leseman2019). Bilingual experiences often involve engagement in multiple linguistic and cultural environments full of different norms, values, concepts, and knowledge, contributing to enriched associative networks and conceptual spreading activation. Original and novel ideas are more likely to arise from such extended associative networks and spreading conceptual activation (van Dijk et al., Reference van Dijk, Kroesbergen, Blom and Leseman2019).
Despite the close theoretical association between bilingualism and creativity (typically described and measured as divergent thinking), empirical studies generally show significant effects on specific components of creativity. For example, Kharkhurin (Reference Kharkhurin2008) found that three bilingual factors (i.e., language proficiency, age of L2 acquisition, and exposure to new cultural environment) of Russian-English bilingual immigrants (age range: 16–39) predicted innovative capacity (originality) but not generative capacity (fluency, elaboration, and flexibility) of divergent thinking (measured with the Abbreviated Torrence Test of Creative Thinking, Goff & Torrance, Reference Goff and Torrance2002). Similar findings were obtained among Farsi-English bilingual immigrants in the US (age range: 19–28) (Kharkhurin, Reference Kharkhurin2009). In another study, Kharkhurin et al. (Reference Kharkhurin, Koncha and Charkhabi2023a) found that two language-related factors (i.e., the number of languages and overall language proficiency) predicted originality but not fluency or flexibility in divergent thinking (assessed by a modified version of Guilford’s Unusual Uses Test) among Russian and Kazakhstan bi−/multi-linguals (age range: 17–66). Lee and Kim (Reference Lee and Kim2011) found that two bilingual indicators (self-ratings of language proficiency and scores in the Word Association Test; Lambert, Reference Lambert1956) were generally not related to components of divergent thinking (i.e., elaboration, fluency, or originality, measured with the Torrence Test of Creative Thinking-Figural, Torrance, Reference Torrance1998) among Korean-English bilingual students in the US (age range: 7–18).
Compared to divergent thinking, very few bilingualism studies have included convergent thinking as a component of creativity. One exception is the study by Hommel et al. (Reference Hommel, Colzato, Fischer and Christoffels2011). The study reveals that language proficiency was positively linked to convergent thinking, negatively related to the fluency of divergent thinking, and not significantly associated with flexibility, originality, and elaboration of divergent thinking among young adult bilinguals in Germany and the Netherlands.
4. Foreign language learning and creativity
As reviewed, the evidence for the bilingual advantage in creativity accumulates in contexts where bilinguals experience L2 in everyday social interactions (Kharkhurin, Reference Kharkhurin2008; Reference Kharkhurin2009; Lee & Kim, Reference Lee and Kim2011). Very few studies have investigated the effect of FL learning on creativity in a context, such as a non-immigration curriculum-based FL context, where experience with L2 is restricted to teacher/student–student interactions in formal instruction within the classroom (Ghonsooly & Showqi, Reference Ghonsooly and Showqi2012). Although such FL contexts are inherently different from the bilingual contexts mentioned earlier (immigration contexts in particular), it is reasonable to argue that learning an FL would enhance learner creativity and explain such benefits by drawing on the mechanism underlying the bilingual advantage in creativity (i.e., extended executive function and enriched conceptual knowledge, see previous review, van Dijk et al., Reference van Dijk, Kroesbergen, Blom and Leseman2019). Firstly, as explained by Landry (Reference Landry1973, Reference Landry1974a, Reference Landry1974b), learning a FL involves frequent bilingual experiences such as alternating between one’s L1 and L2, and inhibiting the interference from L1 to stay focused on L2, and thus would have a long-term positive effect on an individual’s cognitive flexibility (e.g., less rigid or inclined to restrict to one form/approach) and creative functioning (described as divergent thinking). Secondly, learning an FL involves learning different norms, values, beliefs, ideas, concepts, and knowledge in an unfamiliar linguistic and cultural environment. An individual’s conceptual knowledge is enriched in the FL exploration, which extends one’s associative networks and conceptual spreading activation and thus facilitates his or her creative thinking (van Dijk et al., Reference van Dijk, Kroesbergen, Blom and Leseman2019). In addition, as suggested, as a result of experiencing a FL full of novelty and variations, learners develop a set to go beyond accepted norms, embrace different approaches and alternatives, seek new experiences, and generate novel and original ideas (Landry, Reference Landry1973, Reference Landry1974a, Reference Landry1974b), which is linked to creative thinking.
As stated, the literature on the effects of FL learning on creativity is scarce. In four relevant studies, Landry (Reference Landry1973, Reference Landry1974a, Reference Landry1974b) and Ghonsooly and Showqi (Reference Ghonsooly and Showqi2012) found that FL learners outperformed their monolingual counterparts in the divergent thinking test (Torrance Test of divergent thinking). Fewer studies have examined the exact role of FL proficiency in developing creativity, considering both divergent and convergent thinking, not to mention whether individual differences in personality traits would differentiate its role. To this end, the current study aims to examine the joint contribution of L2 proficiency and personality traits (Big Five) to creativity (measured as both divergent thinking and convergent thinking).
5. Personality traits and creativity
There is a number of studies examining how creativity (largely described as divergent thinking) is predicted by personality traits, especially the Big Five traits (i.e., Openness to Experience, Extraversion, Conscientiousness, Agreeableness, and Neuroticism; Costa & McCrae, Reference Costa, McCrae, Boyle, Matthews and Saklofske2008) (e.g., Furnham & Bachtiar, Reference Furnham and Bachtiar2008; Hornberg & Reiter-Palmon, Reference Hornberg, Reiter-Palmon, Feist, Reiter-Palmon and Kaufman2017; Prabhu et al., Reference Prabhu, Sutton and Sauser2008). Openness to Experience, a fundamental personality trait denoting recognition and appreciation of unusual ideas, new experiences, and nonconformity, has been consistently reported as the most crucial personality correlate of divergent thinking (Chamorro-Premuzic & Reichenbacher, Reference Chamorro-Premuzic and Reichenbacher2008; Feist, Reference Feist1998; Furnham, Reference Furnham1999). Conceptually, a high level of Openness would facilitate generating new ideas and seeking alternative solutions in divergent thinking production (Kharkhurin et al., Reference Kharkhurin, Koncha and Charkhabi2023a; Lubart et al., Reference Lubart, Zenasni and Barbot2013). Divergent thinking has been positively related to Extraversion, a personality trait typically associated with qualities including sociability, activity, assertiveness, outgoingness, talkativeness, and excitement seeking, in many studies (e.g., Chamorro-Premuzic & Reichenbacher, Reference Chamorro-Premuzic and Reichenbacher2008; King et al., 1996). However, Eysenck (Reference Eysenck, Saklofske and Zeidner1995) also argued that Introversion, the opposite of Extraversion, was positively linked to creativity.
In contrast, the majority of studies have reported non-significant associations between divergent thinking and the other three Big Five personality traits, namely Neuroticism (an emotional disposition to experience negative affect including anxiety, anger, depression, and self-doubt), Conscientiousness (the personality trait of being responsible, careful or diligent), and Agreeableness (quality of being kind, friendly, cooperative, compassionate, and pleasant to others) (e.g., Batey et al., Reference Batey, Furnham and Safiullina2010; Chamorro-Premuzic & Reichenbacher, Reference Chamorro-Premuzic and Reichenbacher2008; Furnham & Bachtiar, Reference Furnham and Bachtiar2008; Hornberg & Reiter-Palmon, Reference Hornberg, Reiter-Palmon, Feist, Reiter-Palmon and Kaufman2017).
As mentioned above, very few studies have considered convergent thinking as a proxy of creativity, examining its links with the five core personality traits. However, convergent thinking involves the cognitive resources of mental flexibility and selective combination and the conative resources of tolerance of ambiguity. Conceptually, convergent thinking can be linked to personality traits, especially Openness to Experience.
6. Gaps and the current study
The current study is motivated by the following gaps identified from the literature. Firstly, while there is accumulating evidence on the effects of bilingualism on creativity in immigration or second language contexts, little research explores the impact of FL learning on creativity in non-immigration contexts (e.g., Ghonsooly & Showqi, Reference Ghonsooly and Showqi2012). Secondly, prior studies have examined the effects of language proficiency (as a bilingual factor) or personality on creativity separately (e.g., L2 proficiency: Kharkhurin, Reference Kharkhurin2008; Kharkhurin et al., Reference Kharkhurin, Koncha and Charkhabi2023a; Personality: Batey et al., Reference Batey, Furnham and Safiullina2010; Chamorro-Premuzic & Reichenbacher, Reference Chamorro-Premuzic and Reichenbacher2008; Hornberg & Reiter-Palmon, Reference Hornberg, Reiter-Palmon, Feist, Reiter-Palmon and Kaufman2017). Nevertheless, little research has further explored their combined effects in a single study. Thirdly, prior studies have predominantly used subjective self-ratings to measure overall language proficiency (e.g., Kharkhurin, Reference Kharkhurin2008; Kharkhurin et al., Reference Kharkhurin, Koncha and Charkhabi2023a; Koch et al., Reference Koch, Kersten and Greve2024; Lee & Kim, Reference Lee and Kim2011). Fourthly, despite the recent recognition of convergent thinking as a crucial component of creativity, divergent thinking has been used as the sole indicator of creativity in the majority of studies (e.g., Ghonsooly & Showqi, Reference Ghonsooly and Showqi2012; Kharkhurin, Reference Kharkhurin2008; Kharkhurin et al., Reference Kharkhurin, Koncha and Charkhabi2023a; Lee & Kim, Reference Lee and Kim2011). Lastly, many studies focus on small samples of university students from urban areas, with limited research on young adolescents, particularly in rural contexts (van Dijk et al., Reference van Dijk, Kroesbergen, Blom and Leseman2019). This neglects the potential links between age, socioeconomic status, and cognitive capacity (Garton & Copland, Reference Garton and Copland2018; Hackman & Farah, Reference Hackman and Farah2009; Li & Li, Reference Li and Li2024).
Collectively, echoing Eysenck’s (Reference Eysenck, Saklofske and Zeidner1995) notion that creativity is a joint product of cognitive/ability variables (e.g., intelligence, knowledge, and technical skills) and non-cognitive factors (such as personality variables), the current study aims to examine the unique and joint contributions of FL proficiency and Big Five personality traits to the creativity of young adolescent EFL learners from rural China. Correspondingly, the following research questions (RQs) guided the current study:
-
1. To what extent is L2 proficiency (measured with an international English proficiency test) associated with creativity (divergent thinking and convergent thinking in verbal and graphic domains)?
-
2. To what extent are the Big Five traits associated with creativity?
-
3. How are L2 proficiency and Big Five traits combined to predict creativity?
For RQ1, we hypothesize that L2 proficiency would be positively related to creativity based on relevant literature (e.g., Ghonsooly & Showqi, Reference Ghonsooly and Showqi2012; Kharkhurin, Reference Kharkhurin2008; Kharkhurin et al., Reference Kharkhurin, Koncha and Charkhabi2023a; Lee & Kim, Reference Lee and Kim2011);
For RQ2, we hypothesize that the Big Five traits would be related to creativity without signifying the directions based on the mixed results in the literature (Chamorro-Premuzic & Reichenbacher, Reference Chamorro-Premuzic and Reichenbacher2008; Feist, Reference Feist1998);
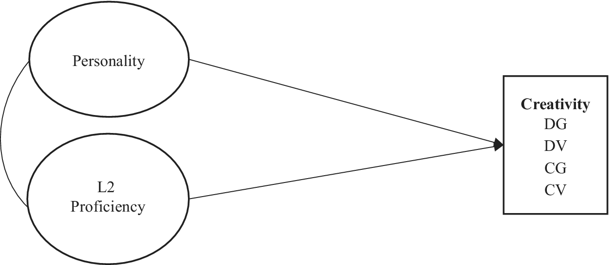
For RQ3, we propose three competing models (Figures 1–3) without a presumption based on relevant literature (Dewaele & Botes, Reference Dewaele and Botes2020; Kharkhurin, Reference Kharkhurin, Altarriba and Heredia2018; Kharkhurin et al., Reference Kharkhurin, Koncha and Charkhabi2023b). In the direct model, personality and L2 proficiency are expected to directly co-predict creativity components. In Mediation Model 1, L2 proficiency would predict creativity components both directly and indirectly by predicting personality first. In Mediation Model 2, personality would predict creativity components both directly and indirectly, with L2 proficiency mediating their relationships.

Figure 1. Direct Model. Note: DG = Divergent-exploratory Graphic, DV= Divergent-exploratory Verbal, CG = Convergent-integrative Graphic, CV=Convergent-integrative Verbal (hereinafter).

Figure 2. Mediation Model 1.

Figure 3. Mediation Model 2.
7. Methodology
7.1. Participants and the local context
Participants in the present study were 205 eighth-graders, 113 (55.12%) males and 92 (44.88%) females, from a boarding school located in a rural area of southeastern China. Their average age was 13.22 (SD = .72), with a range from 12 to 17 years old. Chinese (Mandarin and local dialect) was their L1, and English was their only L2. They started learning English in the third year at the primary educational level. They all had no experience of travelling to or staying in English-speaking countries. They were all from the Han ethnic group, the largest ethnic group in China. At the time of data collection, formal instruction in English consisted of six to nine 40-minute sessions per week at the research site.
The participants completed an international English proficiency test, a questionnaire survey assessing personality traits, and a creativity test. Their scores in the English proficiency test (see the section on Instruments for more details) indicated that their English proficiency was at a relatively low level, roughly corresponding to the levels of A1-A2 within the Common European Framework of Reference for Languages.
7.2. Instruments
7.2.1. Creativity
The Evaluation of Potential Creativity (EPoC), developed and validated among children and adolescents (Lubart et al., Reference Lubart, Besançon and Barbot2011), was used to measure our young adolescent participants’ creative potential. Following the multidimensional perspective on creativity, EPoC was designed to measure two thinking processes (divergent-exploratory and convergent-integrative) in two fields of expression (verbal and graphic), namely four “thinking process-domain units”: (1) divergent-exploratory thinking in the graphic domain (DG), (2) divergent-exploratory thinking in the verbal domain (DV), (3) convergent-integrative thinking in the graphic domain (CG), and (4) convergent integrative thinking in the verbal domain (CV) (Barbot et al., Reference Barbot, Besançon and Lubart2016).
EPoC consists of eight subtests (see Table 1). (1a–b) In the divergent-exploratory thinking tasks for the graphic domain, test recipients are provided with a graphic stimulus (a. abstract shapes/drawings or b. concrete objects) and required to invent as many drawings as possible starting from the stimulus within 10 minutes. (2a–b) In the divergent-exploratory thinking tasks for the verbal domain, test-takers are provided with a verbal stimulus (a. a story beginning or b. a story ending) and required to generate as many (a) story endings or (b) story beginnings as possible starting from the provided stimulus within 10 minutes. In contrast, (3a–b) the convergent-integrative thinking tasks in the graphic domain, participants are provided with graphic stimuli (a. eight abstract shapes or b. eight familiar concrete objects) and required to compose a complete, interesting, and original drawing by using at least four out of the eight stimuli within 15 minutes. Similarly, (4a–b) in the convergent-integrative thinking tasks in the verbal domain, participants are provided with a verbal stimulus (a. a story title or b. story characters) and required to compose a complete and original story starting from the provided stimulus within 10 minutes. The eight subtests include two parallel forms: Form A and Form B. That is, stimulus/li for the eight subtests in Form A and Form B are different items selected from conceptually similar domains (e.g., banana and carrot, stone and brick).
Table 1. EPoC description

Note: Excerpted from Lubart et al. (Reference Lubart, Besançon and Barbot2011)
EPoC has multiple versions in English, French, German, Turkish, and Arabic, showing good validity and reliability (Barbot et al., Reference Barbot, Besançon and Lubart2016; Lubart et al., Reference Lubart, Besançon and Barbot2011). It was translated into Chinese in the current study, given that our participants’ English proficiency was relatively low. The translated version was further assessed by three cognitive psychologists and three English teachers from the research sites. The Chinese version of EPoC was also piloted among six students from the research site before the main study. Notably, we made some minor modifications to the EPoC. For example, the English names in the original test (e.g., Dominique and Claude) were replaced by Chinese names (e.g., Chao Wang and Hua Li) to reduce potential cognitive barriers to our participants in composition.
Following the EPoC Handbook (Lubart et al., Reference Lubart, Besançon and Barbot2011), the pencil-and-paper test was administered in two 45-minute sessions of Fine Arts (with 5–10 minutes of session break) at a one-week interval. Our participants completed (1a) -(2a) -(3a) -(4a) in Session 1 and (1b) -(2b) -(3b) -(4b) in Session 2. The Chinese version of EPoC showed acceptable reliability in the current study (see Table 2).
Table 2. Reliability and validity (N = 205)

Note: Openness = Openness to Experience, DG = Divergent-exploratory Graphic, DV = Divergent-exploratory Verbal, CG = Convergent-integrative Graphic, CV = Convergent-integrative Verbal (hereinafter).
7.2.2. L2 proficiency
A practice version of the Cambridge A2 Key for Schools English Test (https://www.cambridgeenglish.org/exams-and-tests/key-for-schools/) was used to assess the participants’ English proficiency. The test is designed specifically for young school-age children. It encompasses four components measuring different language skills: listening, reading, writing, and speaking. The original section on speaking was eliminated in our study because it was declined as it was not part of the curriculum at the research site. The test was completed in two consecutive English sessions with a break, lasting for 90 minutes in total. The test showed satisfactory construct validity and reliability in the current study (see Table 2).
7.2.3. Big Five personality traits
We used the Chinese Big Five Personality Inventory (Wang et al., Reference Wang, Dai and Yao2011) to measure our participants’ core personality traits. It consists of 40 items, with eight items measuring each of the five dimensions: (1) Openness to Experience, (2) Conscientiousness, (3) Extraversion, (4) Agreeableness, and (5) Neuroticism, respectively. The scale was developed and validated among Chinese university students based on the Neo Personality Inventory-Revised (Costa & McCrae, Reference Costa, McCrae, Boyle, Matthews and Saklofske2008). In the current study, confirmatory factor analysis results showed that the original five-factor model was a poor fit for the current data (χ2/df (p) = 2907.435/780, RMSEA = .07 < .08, CFI = .67 < .90, TLI = .64 < .90, SRMR = .10 > .08). Modifications were made with reference to the modification indices as well as factor loadings. Resultantly, 21 items were maintained in the inventory, showing sound construct validity as well as acceptable reliability (see Table 2).
7.3. Data analysis
Following the guidelines and rating rubrics of the EPoC Handbook (Lubart et al., Reference Lubart, Besançon and Barbot2011), participants’ compositions in the eight subtests were scored and inter-coded by three MA students of applied linguistics after systematic training. (1) For compositions in the divergent-exploratory tests in the graphic domain, (inter)coding mainly involved the calculation of novel and valid drawings starting from the provided graphic stimulus. (2) For compositions in the divergent-exploratory tests in the verbal domain, (inter)coding is mainly concerned with the calculation of novel and valid stories invented starting from the provided verbal stimulus. (3) The graphic compositions in the convergent-integrative tests were (inter)coded in terms of their originality and validity on a 1–7-point scale: “1” = “Very poor, complete absence of ideas” … “4” = “Presence of an idea integrating several elements in a slightly original way”… “7” = “a very original idea which includes all the elements in an innovating way.” (4) The verbal compositions in the convergent-integrative tests were (inter)coded in terms of their originality and validity on a 1–7-point scale: “1” = “Minimal story (generally only one sentence which gathers the elements of the provided title)” … “4” = “The produced story is rather traditional but one sees a good idea emerging.” However, this idea is not detailed or rich” … “7” = “Original story, fully integrating the task constraints (title or characters) with many details.” The inter-rating reliability (intraclass correlation coefficient) was acceptable across subtests, .77 (CG), .84 (CV), .85 (DG), and .73 (DV) (>.70), respectively (Koo & Li, Reference Koo and Li2000). The average scores of two independent raters in the four “thinking process-domain units” (DG, DV, CG, and CV) were used as four indices in subsequent statistical analyses.
Students’ essays in the Cambridge A2 Key for Schools English Test were assessed by six English teachers from the research site. Before the formal assessment, they received a sequence of training: (1) understanding the rating rubrics (i.e., the Cambridge Writing Assessment Subscales), (2) example essay ratings, (3) practice rating tasks, and (4) group discussion (see more details about training in Li, Li, & Lu, Reference Li, Wei and Lu2024). Ten percent of the essays (205*10% ≈ 21) were selected at random and assessed by two raters (inter-rater reliability = .90).
7.4. Statistical analysis
7.4.1. Preliminary analysis
We first digitalized the data for creativity and L2 proficiency, followed by (1) validity tests (confirmatory factor analysis with Mplus 8.3), (2) reliability tests (Cronbach’s alpha), and (3) normality tests (Skewness: [−2, +2]; Kurtosis: [−7, +7]) (West et al., Reference West, Finch, Curran and Hoyle1995). We then performed descriptive analyses to obtain the means and ranges of the variables of interest.
7.4.2. Main analysis
To answer RQ1-RQ2, we conducted Pearson correlation analyses with SPSS 19.0 to examine how L2 proficiency and Big Five personality traits were linked to the four creativity components (DG, DV, CG, and CV) independently.
To answer RQ3, those significant correlates of creativity components were subjected to subsequent structural equation modelling (SEM) to test the three competing models. Specifically, Model 1 was a direct model where L2 proficiency and Big Five personality traits co-predicted four creativity components directly. Model 2 and Model 3 were both mediation models. In Model 2, L2 proficiency was the independent variable, while Big Five personality traits were the mediating variables. In contrast, in Model 3, Big Five personality traits were the independent variables, while L2 proficiency was the mediating variable.
Compared to traditional regression analysis based on mean scores, SEM is more sophisticated (Koch et al., Reference Koch, Kersten and Greve2024) and has the advantage of reducing measurement errors and making more accurate estimations because it can measure latent variables simultaneously (Hair et al., Reference Hair, Black, Babin, Anderson and Tatham2010). In SEM, we followed the goodness of model fit indices and criteria below: comparative fit index (CFI ≥ .90), Tucker-Lewis index (TLI ≥ .90), root mean square error of approximation (RMSEA ≤ .08), and standardized root mean square residual (SRMR ≤ .08) (Kline, Reference Kline2010).
8. Results
8.1. Preliminary results
Table 2 displays the construct validity and reliability of the instruments used in the current study. The Cambridge A2 Key for Schools English Test and the Chinese Big Five Personality Inventory showed excellent construct validity and acceptable reliability (α > .70, k ≥ 3). For the EPoC, we assessed the reliability of a factor/subtest with only two rating items (k = 2) by calculating the inter-item correlation (.20 < r < .40; Briggs & Cheek, Reference Briggs and Cheek1986; Pallant, Reference Pallant2020). EPoC subtests showed acceptable reliability, excluding CG (r = .18 < .20).
Table 3 presents the results of descriptive statistics and the normality test. Our participants’ English proficiency was relatively low (M = 50.50 out of 85 points on the test). They reported moderate levels of Big Five (3.20 < Ms < 3.90 out of 5 points). They generally performed better in DV (M = 9.61) and CG (M = 8.97) than DG (M = 7.05) and CV (M = 6.90), all with a maximum score of 14 points. The results also show that all the variables were normally distributed, enabling subsequent parametric analyses.
Table 3. Descriptive results and normality (N = 205)

8.2. The correlations between L2 proficiency, personality traits, and four creativity components
Table 4 shows the correlations between the variables under discussion. The four creativity components were found to be significantly positively related to L2 proficiency, with small effect sizes (.14 < rs < .22, .002 < p s < .033). Regarding the Big Five personality traits, only Openness to Experience and Extraversion were found to be significant personality correlates of creativity. The other three personality traits (Conscientiousness, Agreeableness, and Neuroticism) were not related to any creativity components. Specifically, Openness to Experience was positively associated with DG (r = .17, p = .028), DV (r = .16, p = .023), and CV (r = .25, p = .001), but not CG. Extraversion was positively related to DG (r = .16, p = .033) and CV (r = .22, p = .017), but not DV or CG.
Table 4. Correlations between L2 proficiency, personality, and creativity components (N = 205)

Note:
** p < .01
* p < .05
8.3. The joint predictive effects of L2 proficiency and personality on creativity
SEM yielded the same model fit results for the three competing models: Direct Model (Figure 4), Mediation Model 1 (Figure 5, see supplementary materials), and Mediation Model 2 (Figure 6, see supplementary materials). They were all supported: χ2/df (p) = 92.106/60, RMSEA = .06 < .08, CFI = .95 > .90, TLI = .93 > .90, SRMR = .07 < .08. A closer look at the path coefficient in each model showed that the direct model was the best.

Figure 4. Direct model. Note: dg = Divergent-exploratory Graphic, dv= Divergent-exploratory Verbal, cg = Convergent-integrative Graphic, cv = Convergent-integrative Verbal. Only significant paths are presented in the figure.
As shown in Figure 4, the significant results in the direct model are as follows: (1) L2 proficiency predicted DG with a small effect size: β = .180, p = .027, 95% CI: [.014, .245]; (2) L2 proficiency predicted DV with a small effect size: β = .180, p = .031, 95% CI: [.041, .325]; (3) L2 proficiency predicted CG positively with a small effect size: β = .193, p = .020, 95% CI: [.048, .295]; (4) Extraversion predicted DV negatively, with a medium effect size: β = −.428, p = .021, 95% CI: [−3.427, −.518]; (5) L2 proficiency was positively correlated with Openness to Experience and Extraversion, both with small effect sizes: r = .209, p = .030, 95% CI: [.052, .687]; r = .179, p = .039, 95% CI: [.067, .802]; and (6) Openness to Experience and Extraversion were positively correlated with each other with a large effect size: r = .714, p = .000, 95% CI: [.189, .466]. Thus, the direct model was supported well. That is, L2 proficiency, Openness to Experience, and Extraversion were correlated with each other, co-predicting DG, DV, and CG directly.
Moving to the first mediation model (see Figure 5 in Supplementary Materials), significant direct results are as follows: (1) L2 proficiency predicted DG positively with a small effect size: β = .180, p = .027, 95% CI: [.034, .245]; (2) L2 proficiency predicted DV with a small effect size: β = .180, p = .030, 95% CI: [.041, .325]; (3) L2 proficiency predicted CG positively with a small effect size: β = .193, p = .020, 95% CI: [.047, .295]; (4) L2 proficiency predicted Openness to Experience positively with a small effect size: β = .209, p = .030, 95% CI: [.008, .084]; 5) L2 proficiency predicted Extraversion positively with a small effect size: β = .180; p = .179, 95% CI: [.006, .072]. Indirect (mediating) effects were all insignificant: (1) From L2 proficiency to DG: β = .001, p = .975; (2) From L2 proficiency to DV: β = −.012, p = .782; (3) From L2 proficiency to CG: β = −.009, p = .715; and 4) From L2 proficiency to CV: β = .059, p = .150. In a nutshell, the proposed mediation model was not supported. That is, L2 proficiency predicted DG, DV, CG, and CV only directly, without being mediated by Openness to Experience or Extraversion.
Moving to the second mediation model (see Figure 6 in Supplementary Materials), significant direct results are as follows: (1) L2 proficiency predicted DG positively with a small effect size: β = .180, p = .027, 95% CI: [.034, .245]; (2) L2 proficiency predicted DV with a small effect size: β = .180, p = .031, 95% CI: [.041, .325]; (3) L2 proficiency predicted CG positively with a small effect size: β = .193, p = .020, 95% CI: [.047, .295]; (4) Extraversion predicted DV with a small effect size: β = −.428; p = .179, 95% CI: [.006, .072]. In contrast, there were no noticeable indirect (mediating) effects in the model: βs = 0, ps = .000. Therefore, the results do not support the proposed mediation model. That is, L2 proficiency did not mediate the relationship between Openness to Experience and Extraversion and the four creativity components.
9. Discussion
The current study aims to explore the separate and joint contributions of L2 proficiency and Big Five personality traits to four creativity components (divergent and convergent thinking in verbal and graphic domains). The results are discussed in the subsequent sections.
9.1. L2 proficiency and creativity
We found that L2 proficiency was positively related to all creativity components (divergent and convergent thinking in verbal and non-verbal/graphic domains), with small effect sizes. The consistent positive correlations revealed in the current FL learning context extend the partial bilingual benefits in divergent thinking in the immigration or second language contexts (Kharkhurin, Reference Kharkhurin2008; Reference Kharkhurin2009; Kharkhurin et al., Reference Kharkhurin, Koncha and Charkhabi2023a). The positive correlations also differ from the non-significant effects on divergent thinking in the study by Lee and Kim (Reference Lee and Kim2011). The differences could be attributed to the diversity in the measures for creativity (see the section on literature review), the assessment of L2 proficiency (an international English proficiency test in the current study versus self-ratings in the literature), and the participants (young adolescent EFL learners from under-developed areas of China in the current study versus adult bilingual or second language users in western countries).
The consistent positive correlations provide empirical support for the cognitive benefits of FL learning in enhancing divergent and convergent thinking. These benefits could be attributed to extended executive function (Diamond, Reference Diamond2013; Kharkhurin et al., Reference Kharkhurin, Koncha and Charkhabi2023a), enriched conceptual knowledge (van Dijk et al., Reference van Dijk, Kroesbergen, Blom and Leseman2019), and the strengthened tendency to embrace novelty and variations (Landry, Reference Landry1973, Reference Landry1974a, Reference Landry1974b). To be more specific, firstly, creativity, an essential cognitive component (e.g., cognitive flexibility) in executive functioning, would be facilitated as a result of long-term bilingual experiences (e.g., frequently alternating between L1 and L2 and inhibiting the interfering effect of L1). Secondly, creativity would be facilitated due to broadened associative networks and conceptual spreading activation enabled in the exploration of unfamiliar linguistic and cultural environments full of heterogeneous norms, values, approaches, ideas, and knowledge (van Dijk et al., Reference van Dijk, Kroesbergen, Blom and Leseman2019). Lastly, successful learning of an FL requires the awareness and recognition of the differences and variations, and learners have to develop a set to embrace and generate novelty (Landry, Reference Landry1973, Reference Landry1974a, Reference Landry1974b), which is linked to creative thinking (e.g., cognitive flexibility and selective combination).
In addition, the findings suggest that learning a FL is beneficial for divergent and convergent thinking not only in the verbal domains but also in the non-verbal domains. Clearly, FL learning involves both a language-specific learning process and a general learning process (Landry, Reference Landry1973, Reference Landry1974a, Reference Landry1974b). Thus, FL learning may enhance thinking skills in verbal and non-verbal domains simultaneously.
9.2. Big Five personality traits and creativity
We found variations in the associations between Big Five personality traits and four creativity components. Generally, our findings are in line with the personality-divergent thinking links in the literature: only Openness to Experience and Extraversion were positively related to divergent thinking (components) (e.g., Chamorro-Premuzic & Reichenbacher, Reference Chamorro-Premuzic and Reichenbacher2008; Furnham, Reference Furnham1999; King et al., 1996), while the other three Big Five traits (Conscientiousness, Agreeableness, and Neuroticism) were not related to any divergent thinking components (e.g., Batey et al., Reference Batey, Furnham and Safiullina2010; Chamorro-Premuzic & Reichenbacher, Reference Chamorro-Premuzic and Reichenbacher2008; Furnham & Bachtiar, Reference Furnham and Bachtiar2008). In addition, the current study went beyond divergent thinking to include convergent thinking as another proxy of creativity. As for the personality correlates of convergent thinking, the findings were similar to the case for divergent thinking. That is, only Openness to Experience and Extraversion were related to convergent thinking (components), while the other three traits were not associated with any convergent thinking components.
As for divergent thinking, its associations with Openness to Experience in both verbal and non-verbal domains are not surprising and can be attributed to their conceptual similarity in seeking novelty and alternatives (Kharkhurin et al., Reference Kharkhurin, Koncha and Charkhabi2023a; Lubart et al., Reference Lubart, Zenasni and Barbot2013). As noted, Openness has even been interpreted as a proxy for creativity in prior studies (Chamorro-Premuzic & Reichenbacher, Reference Chamorro-Premuzic and Reichenbacher2008).
Moving to Extraversion, it was related to the divergent-exploratory mode of thinking in the graphic domain but not in the verbal domain. As claimed, extroverts, who are more open-minded than their introverted counterparts, have an intrinsic advantage in divergent thinking tasks (Chamorro-Premuzic & Reichenbacher, Reference Chamorro-Premuzic and Reichenbacher2008). The positive link between Extraversion and divergent-exploratory mode of thinking in the graphic domain could be further explained by their conceptual similarity in the conative tendency of a broad search and an active exploration of novel information, ideas, or experiences (e.g., Dowd, Reference Dowd, Glover, Ronning and Reynolds1989; Kharkhurin & Li, Reference Kharkhurin and Li2015). As for the surprising non-significant correlation between Extraversion and divergent thinking in the verbal domain, the underlying reasons may be complex and require further exploration for interpretation. Nevertheless, the variations in the graphic and verbal domains point out the potential domain-specificity of creativity (Kharkhurin et al., Reference Kharkhurin, Koncha and Charkhabi2023a; Plucker & Beghetto, Reference Plucker, Beghetto, Sternberg, Grigorenko and Singer2004).
As for convergent thinking, Openness to Experience and Extraversion were its personality correlates in the verbal domain but not in the graphic domain. This suggests that an open or extroverted individual may have an intrinsic advantage in synthesizing and combining verbal but not graphic information in a creative (novel and useful) way. Similar to divergent thinking, as stated earlier, convergent thinking, another proxy of creativity, also showed its domain-specificity (Kharkhurin et al., Reference Kharkhurin, Koncha and Charkhabi2023a; Plucker & Beghetto, Reference Plucker, Beghetto, Sternberg, Grigorenko and Singer2004).
In contrast, the other three big five traits (Conscientiousness, Agreeableness, and Neuroticism) were not significantly related to any divergent or convergent thinking components, echoing prior findings (e.g., Chamorro-Premuzic & Reichenbacher, Reference Chamorro-Premuzic and Reichenbacher2008). This indicates that a conscientious, agreeable, or neurotic individual has neither an advantage nor a disadvantage in generating novel ideas or synthesizing information.
9.3. The joint contributions of L2 proficiency and Big Five personality traits to creativity
We also explored how L2 proficiency contributed to creativity in combination with personality traits (i.e., the significant correlates identified earlier in correlation analyses, including Openness to Experience and Extraversion). The direct model was well supported in the current study, while the other two competing mediation models were rejected. Figure 4 shows that L2 proficiency, Openness to Experience, and Extraversion were correlated with each other and co-predicted three creativity components (divergent thinking in verbal and non-verbal domains and convergent thinking in the graphic domain) directly. Specifically, combined in the model, L2 proficiency positively predicts divergent thinking in verbal and non-verbal domains and convergent thinking in the graphic domain, with small effect sizes. Surprisingly, Extraversion, a positive correlation of some creativity components in previous correlation analyses, negatively predicted divergent thinking in the verbal domain with a medium effect size in the model. Interestingly, Openness to Experience, the most consistent personality correlate (Chamorro-Premuzic & Reichenbacher, Reference Chamorro-Premuzic and Reichenbacher2008; Feist, Reference Feist1998; Furnham, Reference Furnham1999), lost its predictive effects on all creativity components when combined with L2 proficiency and Extraversion.
The model shows that L2 proficiency and personality traits (Openness to Experience and Extraversion) were intertwined with each other and modified their original unique links with creativity. Despite the complexities involved, the model primarily supports Eysenck’s (Reference Eysenck, Saklofske and Zeidner1995) notion that creativity is a joint product of cognitive/ability variables (e.g., intelligence, knowledge, and technical skills) and non-cognitive factors (e.g., personality variables). More specifically, the model suggests that a highly proficient English learner in the current FL context generally had an advantage in divergent thinking in verbal and graphic domains and convergent thinking in the graphic domain. Such an advantage among proficient learners was subject to individual differences in Extraversion, and extroverted proficient English learners were generally less likely to have such an advantage in comparison to their introverted counterparts.
10. Implications, limitations, and future directions
Our results provide FL teachers with valuable insights that they can apply in student motivation intervention and task assignment. Regarding motivation intervention, drawing on the L2 proficiency-creativity links revealed in the current study and the expectancy value theory (Wigfield & Eccles, Reference Wigfield and Eccles2000), FL teachers could implement utility value intervention to boost students’ FL learning motivation. To be specific, FL teachers can highlight to their students that FL learning not only helps students acquire linguistic and cultural knowledge but also potentially enhances their creativity, which is one of the 4C skills of the 21st century required for individuals, organizations, and society (Erdoğan, Reference Erdoğan2019; Lubart et al., Reference Lubart, Zenasni and Barbot2013). The appreciation of the role of FL in enhancing creativity would enhance the perception of FL utility, which further helps to boost student interest and willingness to engage in FL learning activities. With respect to task assignment, inspired by the personality-creativity links revealed in the current study, FL teachers should pay attention to individual differences in students’ personality traits when assigning specific tasks. For example, an L2 task that requires more divergent/convergent thinking skills could be assigned to those who are more open because they may have an intrinsic advantage in these thinking skills (Chamorro-Premuzic & Reichenbacher, Reference Chamorro-Premuzic and Reichenbacher2008).
The current study has some limitations. Firstly, although we used relatively sophisticated statistical analyses, that is, SEM, to reveal the combined predictive effects of L2 proficiency and personality traits on creativity, the results are still cross-sectional in nature. Future studies could use longitudinal designs with corresponding statistical analyses, such as cross-lagged panel modelling and growth mixture modelling, to examine the potential causal or/and reciprocal relationships between FL learning factors (e.g., FL proficiency) and creativity. A possible direction could be longitudinal investigations of the cognitive development of creativity, taking into consideration different learner-internal factors (e.g., cognitive and non-cognitive individual difference factors) and environmental factors (e.g., socioeconomic status). Secondly, the results in the current study were obtained from a group of young adolescent EFL learners from rural China. They may not be generalizable to other FL contexts, considering that age and socioeconomic status are potentially linked to the development of cognitive capacity, linguistic skills, and personality (Garton & Copland, Reference Garton and Copland2018; Hackman & Farah, Reference Hackman and Farah2009; Li & Li, Reference Li and Li2024). It is thus suggested that the L2 proficiency/personality-creativity links found in the current study be cross-validated in diverse FL contexts in future research.
11. Conclusions
The study examined how L2 proficiency and Big Five personality traits contribute to creativity (described as both divergent and convergent thinking) of an underrepresented group of young adolescent EFL learners from rural China. The results empirically support the claim that creativity can be enhanced through FL learning (Ghonsooly & Showqi, Reference Ghonsooly and Showqi2012; Kharkhurin et al., Reference Kharkhurin, Koncha and Charkhabi2023b; Landry, Reference Landry1973, Reference Landry1974a). In addition, we found that individual differences in personality traits differentiated such an enhancement effect on creativity. In all, the findings provide modest support for the claim that creativity is a joint product of an individual’s cognitive/ability (i.e., language skills) and non-cognitive factors (i.e., personality) (Eysenck, Reference Eysenck, Saklofske and Zeidner1995; Kashirskaya et al., Reference Kashirskaya, Belova and Kharkhurin2024; Kharkhurin et al., Reference Kharkhurin, Koncha and Charkhabi2023b). Future research should take a more holistic approach to creativity, taking into account a greater variety of non-cognitive factors, such as affective factors (e.g., emotion), conative factors (e.g., motivation), and personality factors (e.g., emotional intelligence) (Kharkhurin et al., Reference Kharkhurin, Koncha and Charkhabi2023a; Koch et al., Reference Koch, Kersten and Greve2024; Lubart et al., Reference Lubart, Zenasni and Barbot2013) and going beyond learner-internal factors to include environmental factors (e.g., socioeconomic status). A general research direction could be to examine how a person and environment are connected and interact with each other to impact creativity (development). Such investigations are warranted as they potentially reveal the mechanism underlying the development of creativity.
Supplementary material
To view supplementary material for this article, please visit http://doi.org/10.1017/S1366728924000476.




