1 Introduction
Let
$\alpha _{1}:=\alpha , \alpha _{2}, \dots , \alpha _{d}$
be the algebraic conjugates of an algebraic number
$\alpha $
of degree d over
$\mathbb {Q}$
. In the present article, we will be interested in algebraic numbers
$\alpha $
of small degree d (namely,
$d\leqslant 7$
) whose conjugates satisfy one of the equations

The main motivation to study 1 stems from the article of Dubickas and Jankauskas [Reference Dubickas and Jankauskas5] where they investigated the linear relations
$\alpha _{1}=\alpha _{2}+\alpha _{3}$
and
$\alpha _{1}+\alpha _{2}+\alpha _{3}=0$
in conjugates of an algebraic number
$\alpha $
of degree
$d\leqslant 8$
over
$\mathbb {Q}$
. They proved that solutions to those equations exist only in the case
$d = 6$
(except for the trivial solution of the second equation in cubic numbers with trace zero) and gave explicit formulas for all possible minimal polynomials of such algebraic numbers. In particular, equation
$\alpha _{1} = \alpha _{2} + \alpha _{3}$
is solvable in roots of an irreducible sextic polynomial if and only if it is an irreducible polynomial of the form

Similarly, for d in the range
$4\leqslant d\leqslant 8$
(the case
$d=3$
is trivial), equation
$\alpha _{1} + \alpha _{2} + \alpha _{3} = 0$
is solvable if and only if
$d = 6$
and the minimal polynomial of
$\alpha $
over
$\mathbb {Q}$
is an irreducible polynomial of the form

for some rational numbers
$a, b, c, e\in \mathbb {Q}$
and some square-free integer
$t\in \mathbb {Z}$
.
Let
$\alpha _1,\alpha _2,\alpha _3$
be three distinct algebraic conjugates of an algebraic number
$\alpha $
of degree
$d\leqslant 8$
. Recently, Virbalas [Reference Virbalas16] extended the research of Dubickas and Jankauskas [Reference Dubickas and Jankauskas5] by determining all possible linear relations of the form
$a\alpha _1+b\alpha _2+c\alpha _3=0$
with non-zero rational numbers
$a, b, c$
. He also obtained a complete list of transitive groups that can occur as Galois groups for the minimal polynomial of such an algebraic number
$\alpha $
. Moreover, Virbalas [Reference Virbalas15] proved that for any prime number
$p\geqslant 5$
there does not exist an irreducible polynomial
$p(x)\in \mathbb {Q}[x]$
of degree
$2p$
with three distinct roots adding up to zero.
Recently, Dubickas and Virbalas [Reference Dubickas and Virbalas7] proved that every nontrivial linear relation between algebraic conjugates has a corresponding multiplicative relation. They also gave a complete characterization of all possible linear relations between four distinct algebraic conjugates of degree 4 (see also [Reference Kitaoka10]). Moreover, Serrano Holgado [Reference Holgado8] characterized irreducible quartic polynomials (not necessarily over
$\mathbb {Q}$
) having nontrivial multiplicative relations among their roots.
Recall that a real algebraic integer
$\alpha>1$
is called a Pisot number if all of its conjugates
$\alpha _{j}$
, other than
$\alpha $
itself, satisfy
$|\alpha _{j}|<1$
. Dubickas, Hare, and Jankauskas in [Reference Dubickas, Hare and Jankauskas4] showed that there are no Pisot numbers whose conjugates satisfy the equation
$\alpha _{1}=\alpha _{2}+\alpha _{3}$
. They also proved the impossibility of

in conjugates of a Pisot number of degree
$d>4$
, by showing that there is a unique Pisot number, namely,
$\alpha = (1+\sqrt {3+2\sqrt {5}})/2$
whose conjugates satisfy 2. This particular number
$\alpha $
was first found in [Reference Dubickas and Smyth6].
Throughout this article, the term algebraic number means algebraic number over the field of rational numbers
$\mathbb {Q}$
. Similarly, the term irreducible polynomial means irreducible over
$\mathbb {Q}$
. Let
$\alpha _1=\alpha , \alpha _2, \dotsc , \alpha _d$
be the algebraic conjugates of an algebraic number
$\alpha $
of degree d. Then
$tr(\alpha ):=\alpha _1+\alpha _2+\dotsb +\alpha _d$
is called the trace (or the absolute trace) of
$\alpha $
. In the present article, we restrict ourselves to the degrees in the range
$4\leqslant d\leqslant 7$
. The case
$d=8$
is more complicated and will be treated in the future. We will not assume that
$\alpha $
is a Pisot number in the equations 1. For the first two equations in 1, we have the following result.
Theorem 1 Let
$\alpha $
be an algebraic number of degree d, where
$d\in \{4,5,6,7\}$
.
-
(i) Some four distinct algebraic conjugates of
$\alpha $ satisfy the relation
$$\begin{align*}\alpha_{1}+\alpha_{2}+\alpha_{3}+\alpha_{4}=0 \end{align*}$$
$d=4$ and
$tr(\alpha )=0$ or
$d=6$ and the minimal polynomial of
$\alpha $ is an irreducible polynomial of the form
$$\begin{align*}x^{6}+ax^{4}+bx^{2}+ c \in\mathbb{Q}[x]. \end{align*}$$
-
(ii) No four distinct conjugates of
$\alpha $ satisfy the relation
$$\begin{align*}\alpha_{1}+\alpha_{2}+\alpha_{3}=\alpha_{4}. \end{align*}$$
The following theorem treats algebraic numbers
$\alpha $
of degree
$d\in \{4,5,6,7\}$
with some four distinct algebraic conjugates satisfying the relation

Note that for any
$r\in \mathbb {Q}$
, replacing
$\alpha $
with
$\alpha -r$
does not affect the relation (3). By setting
$r=tr(\alpha )/d$
, we obtain an algebraic number
$\alpha -tr(\alpha )/d$
whose trace equals zero. Therefore, without loss of generality, we assume that
$\alpha $
has zero trace.
Theorem 2 Let
$\alpha $
be an algebraic number of degree
$d\in \{4,5,6,7\}$
and
$tr(\alpha )=0$
. Denote by
$p(x)$
the minimal polynomial of
$\alpha $
. Suppose that some four distinct algebraic conjugates of
$\alpha $
satisfy the relation (3). Then either
$d=4$
or
$d=6$
. Moreover, the following statements are true:
-
(i) If
$d=4$ , then
$p(x)$ is an irreducible polynomial of the form
$$\begin{align*}p(x) = x^{4}+ax^{2}+b \end{align*}$$
$a, b\in \mathbb {Q}$ . Conversely, for any such irreducible polynomial
$p(x)$ , the four distinct roots of
$p(x)$ satisfy the relation (3).
-
(ii) Suppose that
$d=6$ and the sum
$\alpha _{1}+\alpha _{2}$ in (3) is a rational number. Then
$p(x)$ is an irreducible polynomial of the form
$$\begin{align*}p(x)=x^{6}+ax^{4}+bx^{2}+ c \end{align*}$$
$a, b, c\in \mathbb {Q}$ . Conversely, for any such irreducible polynomial
$p(x)$ , some four distinct roots of
$p(x)$ satisfy the relation (3).
-
(iii) Suppose that
$d=6$ and the sum
$\alpha _{1}+\alpha _{2}$ in (3) is not a rational number (i.e.,
$\alpha _{1}+\alpha _{2}\in \mathbb {C}\setminus \mathbb {Q}$ ). Then
$p(x)$ is an irreducible polynomial of the form
$$ \begin{align*} p(x) &= x^{6} + (2 b - 3 a) x^{4} + 2 c x^{3} + (3 a^{2} + b^{2}) x^{2} + 2c(3 a + b) x\\ &\phantom{=}\,\,- a^{3} - 2 a^{2} b - a b^{2} + c^{2} \end{align*} $$
$a, b, c\in \mathbb {Q}$ . Conversely, for any such irreducible polynomial
$p(x)$ , some four distinct roots of
$p(x)$ satisfy the relation (3).
The following theorem gives an alternative description of sextic algebraic numbers
$\alpha $
that satisfy the relation (3) with
$\alpha _{1}+\alpha _{2}\notin \mathbb {Q}$
. We will derive this result from Proposition 11 (see Section 2).
Theorem 3 Let
$\alpha $
be an algebraic number of degree 6. Some four distinct algebraic conjugates of
$\alpha $
satisfy the relation
$\alpha _{1}+\alpha _{2}=\alpha _{3}+\alpha _{4}=:\beta \notin \mathbb {Q}$
if and only if
$\alpha $
equals the sum of a quadratic and a cubic algebraic number.
Let
$\alpha $
be an algebraic number of degree d and let G be the Galois group of the normal closure of
$\mathbb {Q}(\alpha )$
over
$\mathbb {Q}$
. Note that this normal closure is also the splitting field of the minimal polynomial of
$\alpha $
over
$\mathbb {Q}$
, and therefore G is the Galois group of this polynomial. The group G is determined (in a unique way) by its action on
$\mathcal {S}=\{\alpha _{1}, \alpha _{2},\dots , \alpha _{d}\}$
: it corresponds to some transitive subgroup of the full symmetric group
$S_{d}$
. Next, we will consider possible groups G, related to the algebraic numbers
$\alpha $
in Theorems 1 and 2.
If
$d=4$
and the linear relation in Theorem 1 is satisfied, then G is isomorphic to one of five transitive subgroups of the symmetric group
$S_{4}$
, namely,
$V_{4}$
(Klein 4-group),
$C_{4}$
(a cyclic group of order 4),
$D_{4}$
(a dihedral group of order 8),
$A_{4}$
(the alternating group), or
$S_{4}$
itself. There are no more transitive subgroups of
$S_{4}$
(see, e.g., [Reference Dixon and Mortimer2, Chapter 3] or [Reference Rotman12]).
If
$d=6$
and some four distinct conjugates of
$\alpha $
satisfy the relation in
$(i)$
of Theorem 1, then we need to look at the transitive subgroups of
$S_{6}$
. Awtrey and Jakes in [Reference Awtrey and Jakes1] investigated the Galois groups of even sextic polynomials
$x^{6} + ax^{4} + bx^{2} + c$
with coefficients from a field of characteristic
$\neq 2$
. In this particular case, there are eight possibilities for the Galois group G:

where
$S_{4}^{+}$
and
$S_{4}^{-}$
are certain transitive subgroups of
$S_{6}$
of order
$24$
. Note that, in total, there are 16 transitive subgroups of
$S_{6}$
(see, e.g., [Reference Dixon and Mortimer2, Chapter 3]). Awtrey and Jakes in [Reference Awtrey and Jakes1] also provided one-parameter families of even sextic polynomials (for values of
$t\in \mathbb {Q}$
that result in irreducible polynomials) with specified Galois group over
$\mathbb {Q}$
(see Table 1).
Table 1 One-parameter families of even sextic polynomials
$p(x)$
with corresponding Galois groups G.

If
$d=4$
and the linear relation in (3) is satisfied, then G is one of three transitive subgroups of the symmetric group
$S_{4}$
:
$V_{4}, C_{4}$
, or
$D_{4}$
. This result is due to Kappe and Warren (see [Reference Kappe and Warren9, Theorem 3]). Again, Awtrey and Jakes in [Reference Awtrey and Jakes1] provided one-parameter families of even quartic polynomials (except for values of
$t\in \mathbb {Q}$
that result in reducible polynomials) with specified Galois group over
$\mathbb {Q}$
(see Table 2).
Table 2 One-parameter families of even quartic polynomials
$p(x)$
with corresponding Galois groups G.

If
$d=6$
and some four distinct conjugates of
$\alpha $
satisfy
$\alpha _{1}+\alpha _{2}=\alpha _{3}+\alpha _{4}\in \mathbb {Q}$
, then the Galois group is, again, one of the already mentioned eight transitive subgroups in 4.
The most interesting case is the following.
Theorem 4 Let
$\alpha $
be an algebraic number of degree
$6$
and
$tr(\alpha )=0$
. Suppose that some four distinct algebraic conjugates of
$\alpha $
satisfy the relation

Then, the Galois group of the normal closure of
$\mathbb {Q}(\alpha )$
over
$\mathbb {Q}$
is isomorphic to one of three groups: the dihedral group
$D_6$
of order 12, the symmetric group
$S_3$
, or the cyclic group
$C_6$
.
Theorem 4 follows from Proposition 11, which gives more details on the possible Galois group of the normal closure of
$\mathbb {Q}(\alpha )$
. Moreover, all three groups in Theorem 4 arise as Galois groups in this setting, i.e., for any group
$G\in \{D_6,S_3, C_6\},$
there exists an algebraic number
$\alpha $
of degree
$6$
satisfying
$\alpha _{1}+\alpha _{2}=\alpha _{3}+\alpha _{4}\not \in \mathbb {Q}$
such that the Galois group of the normal closure of
$\mathbb {Q}(\alpha )$
over
$\mathbb {Q}$
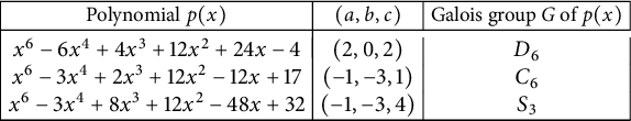
is isomorphic to G. Corresponding examples are provided in Table 3.
Table 3 Minimal polynomials
$p(x)$
from part
$(iii)$
of Theorem 2 with the corresponding Galois groups G.

The converse of Theorem 4 is false, i.e., for any group
$G\in \{D_6,S_3, C_6\},$
there exists an algebraic number
$\alpha $
of degree
$6$
such that the Galois group of the normal closure of
$\mathbb {Q}(\alpha )$
over
$\mathbb {Q}$
is isomorphic to G and no four distinct algebraic conjugates of
$\alpha $
satisfy the relation
$\alpha _{1}+\alpha _{2}=\alpha _{3}+\alpha _{4}$
. Indeed, it suffices to take an irreducible polynomial of degree 6, having the specified Galois group, which is not of the form given in
$(iii)$
of Theorem 2. Such examples are provided in Table 4.
Table 4 Polynomials
$p(x)$
that are not of the form given in
$(iii)$
of Theorem 2 with the corresponding Galois groups G.

The article is organized as follows. Some auxiliary results are stated in Section 2. The proofs of the main results are given in Section 3. We first prove Propositions 10 and 11. Theorem 4 directly follows from Proposition 11. Then, we use Proposition 11 to prove Theorem 3, which then is used to prove Theorem 2.
2 Auxiliary results
The following result is due to Kurbatov [Reference Kurbatov11]. We will use it to eliminate impossible relations among algebraic conjugates.
Lemma 5 The equality

with conjugates
$\alpha _{1}, \alpha _{2},\dots , \alpha _{d}$
of an algebraic number
$\alpha $
of prime degree d over
$\mathbb {Q}$
and
$k_{1}, k_{2},\dots , k_{d}\in \mathbb {Z}$
can only hold if
$k_{1} = k_{2} = \cdots = k_{d}$
.
Smyth’s result from [Reference Smyth13] is useful for similar purposes.
Lemma 6 If
$\alpha _{1}, \alpha _{2}, \alpha _{3}$
are three conjugates of an algebraic number satisfying
$\alpha _{1}\neq \alpha _{2}$
then
$2\alpha _{1}\neq \alpha _{2} + \alpha _{3}$
.
The following result is a generalization of Lemma 6 proved by Dubickas [Reference Dubickas3].
Lemma 7 If
$\beta _{1}, \beta _{2},\dots , \beta _{n}$
, where
$n\geqslant 3$
, are distinct algebraic numbers conjugate over a field of characteristic zero K and
$k_{1}, k_{2},\dots ,k_{n}$
are non-zero rational numbers satisfying
$|k_{1}| \geqslant |k_{2}|+\dots +|k_{n}|$
then

Dubickas and Jankauskas, in their paper [Reference Dubickas and Jankauskas5], proved the following result.
Lemma 8 The equality

with conjugates
$\alpha _{1}, \alpha _{2},\dots , \alpha _{d}$
of an algebraic number
$\alpha $
of degree d over
$\mathbb {Q}$
and
$k_{1}, k_{2},\dots , k_{d}\in \mathbb {Z}$
satisfying
$\sum _{i=1}^{d} k_{i}\neq 0$
can only hold if
$tr(\alpha ) := \alpha _{1} + \alpha _{2} + \cdots + \alpha _{d} = 0$
.
The following result is a partial case of Theorem 1.3 in [Reference Weintraub17].
Lemma 9 Suppose that
$\alpha $
and
$\beta $
are algebraic numbers over
$\mathbb {Q}$
of degree m and n, respectively. If m and n are coprime integers, then
$\alpha +\beta $
is a primitive element of the compositum
$\mathbb {Q}(\alpha ,\beta )$
, i.e.,
$\mathbb {Q}(\alpha ,\beta )=\mathbb {Q}(\alpha +\beta )$
.
To prove Proposition 11 and Theorem 2, we will need the following result.
Proposition 10 Let
$\alpha $
be an algebraic number of degree
$d=6$
and
$tr(\alpha )=0$
. Suppose that some four distinct conjugates of
$\alpha $
satisfy the relation

Then either
$\alpha _{1}+\alpha _{2}=0$
or
$\alpha _{1}+\alpha _{2}$
is an algebraic number of degree
$3$
and
${tr(\alpha _{1}+\alpha _{2}){\kern-1pt}={\kern-1pt}0}$
.
Denote
$\pi := (1\ 2\ 5\ 4\ 3\ 6)$
,
$\sigma = \pi ^4= (1\ 3\ 5)(2\ 6\ 4),$
and
$\tau =(1\ 2)(3\ 4)(5\ 6)$
, permutations of the symmetric group
$S_6$
. Theorem 4 is a corollary of the following proposition, which will also be used in the proof of Theorem 3.
Proposition 11 Let
$\alpha $
be an algebraic number of degree
$6$
and
$tr(\alpha )=0$
. Suppose that some four distinct algebraic conjugates of
$\alpha $
satisfy the relation

Then,
$\beta $
is a cubic algebraic number and it is possible to label the algebraic conjugates
$\alpha _1,\alpha _2,\dotsc ,\alpha _6$
of
$\alpha $
in such a way that these satisfy the relations

where
$\beta _1=\beta ,\beta _2,\beta _3$
are the algebraic conjugates of
$\beta $
. Let G be the Galois group of the normal closure of
$\mathbb {Q}(\alpha )$
over
$\mathbb {Q}$
. Consider G as a subgroup of
$S_6$
, acting on the indices of the conjugates
$\alpha _1,\alpha _2,\dotsc ,\alpha _6$
of
$\alpha $
. Then, given the relations (6), there are exactly three possible cases:
-
(1)
$G=\langle \tau , \pi \ |\ \tau ^{2}=\pi ^{6}=id,\ \tau \pi \tau = \pi ^{5}\rangle \cong D_{6}$ ;
-
(2)
$G=\langle \pi \ |\ \pi ^{6}=id\rangle \cong C_{6}$ ;
-
(3)
$G = \{id, \sigma , \sigma ^{2}, \tau , \tau \sigma , \tau \sigma ^{2}\}\cong S_3$ .
3 Proofs
Proof of Theorem 1
(i) Suppose that some four distinct algebraic conjugates of an algebraic number
$\alpha $
of degree
$d\in \{4,5,6,7\}$
satisfy the relation
$\alpha _{1}+\alpha _{2}+\alpha _{3}+\alpha _{4}=0$
. The case
$d=4$
is trivial in view of
$tr(\alpha )=\alpha _{1}+\alpha _{2}+\alpha _{3}+\alpha _{4}$
. By Lemma 5, d cannot be 5 or 7. Let
$d=6$
. Lemma 8 implies that
$tr(\alpha )=0$
. Then,
$\alpha _5+\alpha _6 = tr(\alpha )-(\alpha _{1}+\alpha _{2}+\alpha _{3}+\alpha _{4})=0$
. Hence,
$\alpha _6=-\alpha _5$
. Let
$p(x)$
be the minimal polynomial of
$\alpha $
over
$\mathbb {Q}$
. We have that
$p(\alpha _6)=p(-\alpha _5)=0$
. Hence,
$\alpha _5$
is a root of
$p(-x)$
. Thus,
$p(x)$
divides the polynomial
$p(-x)$
. Since both polynomials
$p(x)$
and
$p(-x)$
are of the same degree and their constant terms coincide, we have that
$p(-x)=p(x)$
. So
$p(x)$
is of the form

The converse is clear, since the roots
$\alpha _1,\alpha _2,\dotsc , \alpha _6$
of such polynomial satisfy

Thus,
$\alpha _{1}+\alpha _{2}+\alpha _{3}+\alpha _{4}=0$
.
(ii) Suppose that some four distinct algebraic conjugates of an algebraic number
$\alpha $
of degree
$d\in \{4,5,6,7\}$
satisfy the relation
$\alpha _{1}+\alpha _{2}+\alpha _{3}=\alpha _{4}$
. If
$d=4$
, then, by Lemma 8,
$tr(\alpha )=\alpha _{1}+\alpha _{2}+\alpha _{3}+\alpha _{4} = 0$
and we obtain
$\alpha _4 + \alpha _4 = (\alpha _{1}+\alpha _{2}+\alpha _{3}) + \alpha _4 =0$
. A contradiction. By Lemma 5, d cannot be 5 or 7. Hence,
$d=6$
. By Lemma 8,
$tr(\alpha )=\alpha _{1}+\dotsb +\alpha _{6} = 0$
. Since
$\alpha _{1}+\alpha _{2}+\alpha _{3}=\alpha _{4}$
, we have that

which is impossible in view of Lemma 7.
Proof of Proposition 10
Let
$\alpha $
be an algebraic number of degree
$d=6$
such that
$tr(\alpha )=0$
and some four distinct conjugates of
$\alpha $
satisfy the relation

Let

be the full set of algebraic conjugates of
$\alpha $
. Then, in view of
$tr(\alpha )=0$
, we have

Let G be the Galois group of the normal closure of
$\mathbb {Q}(\alpha _{1})$
over
$\mathbb {Q}$
. The group G is determined (in a unique way) by its action on
$\mathcal {S}$
: it corresponds to some transitive subgroup of the full symmetric group
$S_{6}$
. First, consider the trivial case:

where
$a\in \mathbb {Q}$
. Select an automorphism
$\phi \in G$
that maps
$\alpha _{1}$
to
$\alpha _{5}$
. Setting
$\phi (\alpha _{2}) = \alpha _{k}$
, we obtain
$\alpha _{5} + \alpha _{k} = a$
. We claim that
$k=6$
. Indeed, if
$1\leqslant k\leqslant 2$
, then
$\alpha _{1}+\alpha _{2}=a$
together with
$\alpha _{5} + \alpha _{k} = a$
imply
$\alpha _{5}=\alpha _{1}$
or
$\alpha _{5}=\alpha _{2}$
, which is impossible. Similarly, if
$3\leqslant k\leqslant 4$
, then
$\alpha _{3}+\alpha _{4}=a$
together with
$\alpha _{5} + \alpha _{k} = a$
imply
$\alpha _{5}=\alpha _{3}$
or
$\alpha _{5}=\alpha _{4}$
, and we get another contradiction. Clearly,
$k\neq 5$
, so the only option is
$\alpha _{5} + \alpha _{6} = a$
. But we already know that
$\alpha _{5}+\alpha _{6} = -2a$
. Thus,
$a=-2a$
, meaning that
$a=0$
.
Now assume that

where
$\beta \notin \mathbb {Q}$
. We will prove that
$\beta _{1} := \beta $
is a cubic algebraic number.
Let us write all possible distinct expressions of
$\beta _{1}$
in terms of
$\alpha _{i}+\alpha _{j}$
(sum of two distinct
$\alpha $
conjugates). Assume that there are exactly l distinct expressions (two expressions
$\alpha _i+\alpha _j$
and
$\alpha _u+\alpha _v$
are distinct if
$\{i,j\}\neq \{u,v\}$
):

Notice that
$l\geqslant 2$
, since the equality
$\alpha _{1}+\alpha _{2} = \alpha _{3}+\alpha _{4}$
provides at least two distinct expressions of
$\beta _{1}$
. We will show that
$l=2$
. Indeed, assume that
$l\geqslant 3$
. Then, we have at least three distinct expressions of
$\beta _1$
as a sum of two distinct conjugates of
$\alpha $
:

Then,
$\{u,v\} =\{5,6\}$
. Indeed, if
$u\in \{1,2,3,4\}$
, then (6) implies that
$\alpha _v$
coincides with one of the conjugates
$\alpha _1$
,
$\alpha _2$
,
$\alpha _3$
,
$\alpha _4$
, which is impossible, since all three expressions in (6) are distinct. Similarly,
$v\in \{1,2,3,4\}$
also leads to a contradiction. Hence,
${\{u,v\}=\{5,6\}}$
. So (6) becomes

Adding all these expressions of
$\beta _1$
, we obtain

which is impossible in view of
$\beta _{1}\notin \mathbb {Q}$
.
Now, we have that
$l=2$
and

Next, we will obtain an upper bound for
$\deg (\beta _{1})$
. Note that by acting on (7) with an appropriate automorphism from
$G,$
we can obtain expressions of the form (7) for every algebraic conjugate of
$\beta _1$
:

Here, t is the degree of
$\beta _1$
and
$\beta _1,\beta _2,\dotsc , \beta _t$
are the algebraic conjugates of
$\beta _1$
. We have precisely
$2\cdot t$
distinct expressions of the form
$\alpha _i+\alpha _j$
in (8), since there are exactly t algebraic conjugates of
$\beta _1$
and every such conjugate has exactly two expressions. On the other hand, since
$\deg (\alpha )=6$
, we have at most
$\binom {6}{2} = 15$
possible pairs of indices for distinct expressions
$\alpha _{i}+\alpha _{j}$
. Hence,
$ 2t\leqslant 15$
and
$t=\deg (\beta _1)\leqslant 7$
.
Next, we will show that, in fact,
$\deg (\beta _{1})$
is divisible by
$3$
. Indeed, in (8), there are
$2t$
distinct expressions of conjugates of
$\beta _{1}$
as sums
$\alpha _{i}+\alpha _{j}$
. Each such sum contains two conjugates of
$\alpha $
. Hence, there are exactly
$2\cdot 2t$
appearances of conjugates of
$\alpha $
in (8). On the other hand, since G is transitive on the set of algebraic conjugates of
$\alpha $
, each
$\alpha _{i}$
must appear the same number of times in (8). Suppose that every
$\alpha _{i}$
appears exactly k times in (8). So we have exactly
$k\cdot \deg (\alpha )=6k$
appearances of conjugates of
$\alpha $
in (8). Hence,
$4t=6k$
, and therefore t is divisible by 3. Recall that
$t=\deg (\beta _1)\leqslant 7$
. So
$\deg (\beta _1)=3$
or 6.
Finally, we will show that
$\deg (\beta _{1})\neq 6$
. Indeed, assume that
$\deg (\beta _{1})=6$
. Since each conjugate of
$\beta _{1}$
has exactly two distinct expressions of the form
$\alpha _{i}+\alpha _{j}$
, we obtain
$6\cdot 2=12$
distinct expressions. Recall that there are at most
$\binom {6}{2} = 15$
possible pairs of indices for distinct expressions
$\alpha _{i}+\alpha _{j}$
and also

By applying all automorphisms from G to
$-2\beta _{1} = \alpha _{5}+\alpha _{6}$
, we get at least
$\deg (\beta _{1})=6$
expressions of the form
$\alpha _{i}+\alpha _{j}$
for algebraic conjugates of
$-2\beta _{1}$
. These expressions must be distinct from each other and from the
$12$
expressions that we already have. Note that there is no pair of indices
$(i, j)$
such that
$\beta _{i} = -2\beta _{j}$
. Indeed, let
$q(x)$
be the minimal polynomial of the
$\beta _1,\beta _2,\dotsc , \beta _t$
and assume that
$\beta _{i} = -2\beta _{j}$
. In such a case,
$q(x)$
and
$(-2)^{t}q(-\frac {x}{2})$
would be the same polynomial. This implies that either
$t=0$
or
$q(x)=x^{t}$
, which are both impossible. But in that case, there would be

distinct expressions
$\alpha _{i}+\alpha _{j}$
. A contradiction, since there are at most
$15$
distinct such expressions. Hence,
$\deg (\beta _{1})\neq 6$
, and the only possibility is
$\deg (\beta _{1})=3$
.
Proof of Proposition 11
Let
$\alpha $
be an algebraic number of degree
$d=6$
and
${tr(\alpha )=0}$
. Assume that some four distinct algebraic conjugates of
$\alpha $
satisfy the relation

Then, by Proposition 10,
$\beta $
is a cubic algebraic number and
$tr(\beta )=0$
. Let
$\beta _1=\beta ,\beta _2,\beta _3$
be the algebraic conjugates of
$\beta $
. Let G be the Galois group of the normal closure of
$\mathbb {Q}(\alpha )$
over
$\mathbb {Q}$
. Consider G as a subgroup of
$S_6$
, acting on the indices of the conjugates
$\alpha _1,\alpha _2,\dotsc ,\alpha _6$
of
$\alpha $
. Take two automorphisms of G such that one maps
$\beta _1$
to
$\beta _2$
and another maps
$\beta _1$
to
$\beta _3$
. Acting with these automorphisms on (9), we obtain

where each
$\alpha _{i_{kl}}$
is an algebraic conjugate of
$\alpha $
. In view of
$tr(\alpha )=0$
, we also obtain corresponding relations

Note that for every
$k=2,3$
the numbers
$i_{k1},i_{k2}, i_{k3}, i_{k4}, i_{k5}, i_{k6}$
are distinct. We will specify the indices in (10) and (11) by relabeling the conjugates
$\alpha _1,\alpha _2,\dotsc ,\alpha _6$
, if necessary. First, we will prove that each
$-2\beta _{k}$
has a unique expression in terms of
$\alpha _i+\alpha _j$
(recall that two expressions
$\alpha _i+\alpha _j$
and
$\alpha _u+\alpha _v$
are distinct if
$\{i,j\}\neq \{u,v\}$
). Indeed, say,
$-2\beta _{1}$
has two distinct expressions:

If
$u=5$
(or
$u=6$
), then by (12),
$v=6$
(or
$v=5$
, respectively). In this scenario, the expressions
$\alpha _{u}+\alpha _{v}$
and
$\alpha _{5}+\alpha _{6}$
become identical. This implies that
$u\notin \{5,6\}$
. A similar argument shows that
$v\notin \{5,6\}$
. Consequently,
$u, v\in \{1, 2, 3, 4\}$
. Without loss of generality, let
$u=1$
. We then examine the following cases for
$(u,v)$
:
-
Case 1: If
$(u,v)=(1,1)$ , then
$\alpha _{5}+\alpha _{6} = 2\alpha _{1}$ , which contradicts Lemma 6.
-
Case 2: If
$(u,v)=(1,2)$ , then equations (10) and (12) yield
$-2\beta _{1}=\beta _{1}$ implying
$\beta _{1}=0$ . This contradicts the condition that
$\beta _{1}\notin \mathbb {Q}$ .
-
Case 3: If
$(u,v)=(1,3)$ , then we have
$\beta _{1} = \alpha _{1}+\alpha _{2}$ and
$-2\beta _{1} = \alpha _{1} + \alpha _{3}$ . Substituting the first into the second gives
$3\alpha _1+2\alpha _2+\alpha _3=0$ , which contradicts Lemma 7.
-
Case 4: Similarly,
$(u,v)\neq (1,4)$ .
These cases imply that
$u\notin \{1, 2, 3, 4\}$
. Therefore,
$-2\beta _{1}$
has a unique expression in terms of
$\alpha _i+\alpha _j$
. Since
$\beta _1,\beta _2,\beta _3$
are algebraic conjugates of
$\beta _1$
, it follows that every
$-2\beta _{k}$
(for
$k=1,2,3$
) also has a unique expression in terms of
$\alpha _i+\alpha _j$
.
Now, we will prove that all the
$\alpha $
’s appear exactly once in (11). Indeed, note that each conjugate of
$\alpha $
appears exactly three times counting both (10) and (11): the set
$\{\alpha _1,\dotsc ,\alpha _6\}, \{\alpha _{i_{21}},\dotsc , \alpha _{i_{26}}\},$
and
$\{\alpha _{i_{31}},\dotsc , \alpha _{i_{36}}\}$
make three copies of the set of conjugates of
$\alpha $
, and since each appears exactly twice in (10) (as was proven in the proof of Proposition 10), there must be one full set of conjugates in (11).
We have that
$\{\alpha _{i_{25}}, \alpha _{i_{26}}, \alpha _{i_{35}}, \alpha _{i_{36}}\}=\{\alpha _{1}, \alpha _{2}, \alpha _{3}, \alpha _{4}\}$
. Without loss of generality, we can assume that
$\alpha _{i_{25}} = \alpha _{1}$
. If
$\alpha _{i_{26}} = \alpha _{2}$
, then
$-2\beta _2=\beta _1$
. Substituting this expression of
$\beta _1$
into
$tr(\beta )=\beta _1+\beta _2+\beta _3=0$
yields
$\beta _2 = \beta _3$
, which is impossible. Hence,
$\alpha _{i_{26}}\in \{\alpha _{3}, \alpha _{4}\}$
. Note that
$\alpha _{3}$
and
$\alpha _{4}$
appear symmetrically in the first equation of (10). Without loss of generality, by relabeling
$\alpha _{3}$
and
$\alpha _{4}$
, if necessary, we can assume that
$\alpha _{i_{26}} = \alpha _{4}$
. From this, we immediately derive that
$\{\alpha _{i_{21}}, \alpha _{i_{22}}, \alpha _{i_{23}}, \alpha _{i_{24}}\}=\{\alpha _{2}, \alpha _{3}, \alpha _{5}, \alpha _{6}\}$
. Note that
$\beta _{2}\neq \alpha _{5}+\alpha _{6}$
. Indeed, if
$\beta _{2}=\alpha _{5}+\alpha _{6}$
, then
$\beta _{2}=-2\beta _{1}$
. Substituting this expression of
$\beta _2$
into
$tr(\beta )=\beta _1+\beta _2+\beta _3=0$
yields
$\beta _1 = \beta _3$
, which is impossible. Thus,
$\alpha _{5}$
and
$ \alpha _{6}$
appear in distinct expressions of
$\beta _{2}$
in (10), as well as
$\alpha _{2}$
and
$\alpha _{3}$
. Without loss of generality, we can assume that
$\alpha _{i_{21}} = \alpha _{2}$
and
$\alpha _{i_{23}} = \alpha _{3}$
. Since
$\alpha _{5}$
and
$\alpha _{6}$
appear symmetrically in the first equation of (11), by relabeling
$\alpha _{5}$
and
$\alpha _{6}$
, if necessary, we can assume that
$\alpha _{i_{22}} = \alpha _{5}$
and
$\alpha _{i_{24}} = \alpha _{6}$
. So far, we have obtained

Since
$\{\alpha _{i_{35}}, \alpha _{i_{36}}\}=\{\alpha _{2}, \alpha _{3}\}$
, without loss of generality, we assume that
$\alpha _{i_{35}} = \alpha _{2}$
and
$\alpha _{i_{36}} = \alpha _{3}$
. Then,
$\{\alpha _{i_{31}}, \alpha _{i_{32}}, \alpha _{i_{33}}, \alpha _{i_{34}}\}=\{\alpha _{1}, \alpha _{4}, \alpha _{5}, \alpha _{6}\}$
. Note that
$\beta _{3}\neq \alpha _{5}+\alpha _{6}$
. Indeed, if
$\beta _{3}=\alpha _{5}+\alpha _{6}$
, then
$\beta _{3}=-2\beta _{1}$
. Substituting this expression of
$\beta _3$
into
$tr(\beta )=\beta _1+\beta _2+\beta _3=0$
yields
$\beta _1 = \beta _2$
, which is impossible. Therefore,
$\alpha _{5}$
and
$\alpha _{6}$
appear in distinct expressions of
$\beta _{3}$
in (10), as well as
$\alpha _{1}$
and
$\alpha _{4}$
. Thus, without loss of generality, we can assume that
$\alpha _{i_{31}} = \alpha _{1}$
and
$\alpha _{i_{33}} = \alpha _{4}$
. Now, we have two possible cases:

The first case is impossible. Indeed, by adding
$\beta _{1} = \alpha _{1}+\alpha _{2}, \beta _{2} = \alpha _{2}+\alpha _{5}$
and
$\beta _{3} = \alpha _{1}+\alpha _{5}$
, we obtain

and hence
$\beta _{1}=-\alpha _{5}$
, which is impossible, since
$6=\deg (-\alpha _{5})\neq \deg (\beta _{1})=3$
. Finally, we can rewrite equations (10) and (11) as follows:


Now, we will prove that the Galois group G is of order
$|G| = 6$
or
$12$
. Since G is transitive, the Orbit–Stabilizer Theorem implies

where
$\mathrm{Stab}(\alpha _1) = \{\psi \in G:\psi (\alpha _1)=\alpha _1\}$
. Hence, if we can show that
$|\mathrm{Stab}(\alpha _{1})|\leqslant 2$
, then it follows that
$|G|=6$
or 12. Let
$\psi \in \mathrm{Stab}(\alpha _{1})$
.
If
$\psi $
stabilizes
$\alpha _{2}$
, then, in view of
$-2\beta _{2} = \alpha _{1}+\alpha _{4}$
and
$-2\beta _{3} = \alpha _{2}+\alpha _{3}$
,
$\psi $
stabilizes
$\beta _2$
,
$\alpha _3,$
and
$\alpha _4$
. Since
$\beta _2=\alpha _2+\alpha _5$
, it follows that
$\psi $
stabilizes
$\alpha _5$
. Hence,
$\psi $
stabilizes every conjugate of
$\alpha $
. Therefore,
$\psi =id$
.
Suppose that
$\psi (\alpha _2)\neq \alpha _2$
. Since
$\psi (\alpha _1)=\alpha _1$
and every conjugate of
$\alpha $
appears exactly once in (14), it follows that
$\psi $
stabilizes
$\beta _2$
and
$\alpha _4$
. Moreover, from (13), we obtain that
$\psi $
maps
$\beta _1=\alpha _1+\alpha _2$
to
$\beta _3=\alpha _1+\alpha _6$
and vice versa. Hence,
$\psi (\alpha _2)=\alpha _6$
and
$\psi (\alpha _6)=\alpha _2$
. Furthermore,
$\psi $
maps
$-2\beta _1=\alpha _5+\alpha _6$
to
$-2\beta _3=\alpha _2+\alpha _3$
and vice versa. So
$\psi (\alpha _3)=\alpha _5$
and
$\psi (\alpha _5)=\alpha _3$
. Hence,
$\psi =(2\,6)(3\,5)\in S_6$
.
We have proved that if every
$\psi \in \mathrm{Stab}(\alpha _1)$
stabilizes
$\alpha _2$
, then the stabilizer subgroup
$\mathrm{Stab}(\alpha _1)$
is trivial and G has order 6. If there exists
$\psi \in \mathrm{Stab}(\alpha _1)$
which does not stabilize
$\alpha _2$
, then
$\mathrm{Stab}(\alpha _1)=\{id,(2\,6)(3\,5)\}$
and accordingly G has order
$6\cdot 2=12$
. Hence, if G has order 12, then necessarily
$(2\,6)(3\,5)\in G$
.
Next, we will prove that the group G contains the permutation
$\sigma := (1\ 3\ 5) (2\ 6\ 4) \in S_6$
. Indeed, since
$\beta _{1}$
is a cubic algebraic number, the Galois group G contains an element, denote it by
$\varphi $
, that permutes the conjugates of
$\beta _{1}$
. Without loss of generality, we can assume that

(by exchanging
$\varphi $
with
$\varphi ^2$
, if necessary).
Relations in (14) imply that
$\varphi $
maps
$\{\alpha _{1}, \alpha _{4}\}$
to
$\{\alpha _{2}, \alpha _{3}\}$
. Consider two possible cases:
$\varphi (\alpha _{1})=\alpha _{2}$
and
$\varphi (\alpha _{1})=\alpha _{3}$
.
If
$\varphi (\alpha _{1})=\alpha _{2}$
, then
$\varphi (\alpha _{4})=\alpha _{3}$
. The expressions of
$\beta _{1}$
and
$\beta _{2}$
in (13) imply that
$\varphi $
maps
$\{\alpha _{1}, \alpha _{2}\}$
to
$\{\alpha _{2}, \alpha _{5}\}$
. Since
$\varphi (\alpha _{1})=\alpha _{2}$
, we obtain
$\varphi (\alpha _{2})=\alpha _{5}$
. Similarly, we see that
$\varphi $
maps
$\{\alpha _{3}, \alpha _{4}\}$
to
$\{\alpha _{3}, \alpha _{6}\}$
. Since
$\varphi (\alpha _{4})=\alpha _{3}$
, we derive
$\varphi (\alpha _{3})=\alpha _{6}$
. The expressions of
$\beta _{2}$
and
$\beta _{3}$
in (13) imply that
$\varphi $
maps
$\{\alpha _{2}, \alpha _{5}\}$
to
$\{\alpha _{4}, \alpha _{5}\}$
. Since
$\varphi (\alpha _{2})=\alpha _{5}$
, we obtain
$\varphi (\alpha _{5})=\alpha _{4}$
. We are left with only one option for
$\varphi (\alpha _6)$
, i.e.,
$\varphi (\alpha _6)=\alpha _1$
. Hence,
$\varphi = (1\ 2\ 5\ 4\ 3\ 6)$
. Note that
$\varphi ^4=(1\ 3\ 5)(2\ 6\ 4)=\sigma $
. So that in this case (
$\varphi (\alpha _1)=\alpha _2$
) the permutation
$\sigma $
is contained in G.
If
$\varphi (\alpha _{1})=\alpha _{3}$
, then
$\varphi (\alpha _{4})=\alpha _{2}$
. The expressions of
$\beta _{1}$
and
$\beta _{2}$
in (13) imply that
$\varphi $
maps
$\{\alpha _{1}, \alpha _{2}\}$
to
$\{\alpha _{3}, \alpha _{6}\}$
. Since
$\varphi (\alpha _{1})=\alpha _{3}$
, we have
$\varphi (\alpha _{2})=\alpha _{6}$
. Similarly, we see that
$\varphi $
maps
$\{\alpha _{3}, \alpha _{4}\}$
to
$\{\alpha _{2}, \alpha _{5}\}$
. Since
$\varphi (\alpha _{4})=\alpha _{2}$
, we get
$\varphi (\alpha _{3})=\alpha _{5}$
. The expressions of
$\beta _{2}$
and
$\beta _{3}$
in (13) imply that
$\varphi $
maps
$\{\alpha _{2}, \alpha _{5}\}$
to
$\{\alpha _{1}, \alpha _{6}\}$
. Since
$\varphi (\alpha _{2})=\alpha _{6}$
, we obtain
$\varphi (\alpha _{5})=\alpha _{1}$
. We are left with only one option for
$\varphi (\alpha _6)$
, i.e.,
$\varphi (\alpha _6)=\alpha _4$
. Hence,
$\varphi = (1\ 3\ 5)(2\ 6\ 4)=\sigma $
.
We have proved that the group G contains the permutation
$\sigma = (1\ 3\ 5)(2\ 6\ 4)$
. Now, we are in a position to find all possible groups G.
A simple computation with SageMath [14] shows that there is a unique transitive subgroup of
$S_6$
which has order 12 and contains permutations
$(2\,6)(3\,5)$
and
$\sigma =(1\ 3\ 5)(2\ 6\ 4)$
. This subgroup is generated by the permutations
$\tau = (1\,2)(3\,4)(5\,6)$
and
$\pi = (1\, 2\, 5\, 4\, 3\, 6)$
and is isomorphic to the dihedral group
$D_6$
of order 12.
Similarly, there are exactly four transitive subgroups of
$S_6$
which have order 6 and contain the permutation
$\sigma =(1\ 3\ 5)(2\ 6\ 4)$
. These are
-
•
$G_1=\langle \sigma ,\tau \rangle $ isomorphic to
$S_3$ , where
$\tau = (1\,2)(3\,4)(5\,6)$ ;
-
•
$G_2=\langle \pi \rangle $ isomorphic to the cyclic group
$C_6$ , where
$\pi =(1\, 2\, 5\, 4\, 3\, 6)$ ;
-
•
$G_3=\langle (1\,6\,5\,2\,3\,4) \rangle $ isomorphic to the cyclic group
$C_6$ ;
-
•
$G_4=\langle (1\,4\,5\,6\,3\,2) \rangle $ isomorphic to the cyclic group
$C_6$ .
Note that the groups
$G_3$
and
$G_4$
do not preserve the relations in (14). Indeed, the generator of
$G_3$
maps
$\alpha _1+\alpha _4$
to
$\alpha _6+\alpha _1$
while the generator of
$G_4$
maps
$\alpha _1+\alpha _4$
to
$\alpha _4+\alpha _5$
. Hence,
$G\neq G_3$
and
$G\neq G_4$
.
We have proved that there are three options for the group G:
-
(1)
$G=\langle \tau , \pi \rangle \cong D_{6}$ ;
-
(2)
$G=\langle \sigma ,\tau \ \rangle \cong S_3$ ;
-
(3)
$G = \langle \pi \ \rangle \cong C_6$ .
This completes the proof of Proposition 11.
Proof of Theorem 3
Necessity. Suppose that
$\alpha $
is an algebraic number of degree 6 whose four distinct algebraic conjugates satisfy the relation
$\alpha _{1}+\alpha _{2}=\alpha _{3}+\alpha _{4}=: \beta \notin \mathbb {Q}$
. Note that for any
$r\in \mathbb {Q,}$
the number
$\alpha -r$
will also have this property. Moreover,
$\alpha $
equals the sum of a quadratic and a cubic algebraic number if and only if
$\alpha -r$
has the same property. Hence, by taking
$r=tr(\alpha )/6$
, we can assume that
$\alpha $
has trace zero,
$tr(\alpha )=0$
. Let G be the Galois group of the normal closure of
$\mathbb {Q}(\alpha )$
over
$\mathbb {Q}$
. Consider G as a subgroup of
$S_6$
, acting on the indices of the conjugates
$\alpha _1,\alpha _2,\dotsc ,\alpha _6$
of
$\alpha $
. Then, by Proposition 11, we have the following:
-
(i)
$\beta $ is a cubic algebraic number.
-
(ii) One can label the algebraic conjugates
$\alpha _1,\alpha _2,\dotsc ,\alpha _6$ of
$\alpha $ in such a way that these satisfy the relations
(15)where$$ \begin{align} \begin{cases} \beta_{1} = \alpha_{1}+\alpha_{2} = \alpha_{3}+\alpha_{4},\\ \beta_{2} = \alpha_{2}+\alpha_{5} = \alpha_{3}+\alpha_{6},\\ \beta_{3} = \alpha_{1}+\alpha_{6} = \alpha_{4}+\alpha_{5}, \end{cases} \end{align} $$
$\beta _1=\beta ,\beta _2,\beta _3$ are the algebraic conjugates of
$\beta $ .
-
(iii) Given the relations (15), there are exactly three options for the Galois group G:
-
(1)
$G=\langle \tau , \pi \ |\ \tau ^{2}=\pi ^{6}=id,\ \tau \pi \tau = \pi ^{5}\rangle \cong D_{6}$ ;
-
(2)
$G=\langle \pi \ |\ \pi ^{6}=id\rangle \cong C_{6}$ ;
-
(3)
$G = \{id, \sigma , \sigma ^{2}, \tau , \tau \sigma , \tau \sigma ^{2}\}\cong S_3$ .
-
Here,
$\pi =(1\, 2\, 5\, 4\, 3\, 6)$
,
$\sigma =(1\ 3\ 5)(2\ 6\ 4)$
and
$\tau = (1\,2)(3\,4)(5\,6)$
.
Consider the number
$\alpha _1-\alpha _4$
. The expression of
$\beta _1$
in (15) implies that
$\alpha _2-\alpha _3=-(\alpha _1-\alpha _4)$
. Moreover,

Hence,
$\alpha _1-\alpha _4$
is a quadratic algebraic number. Moreover, the relations
$\beta _2=\alpha _{2}+\alpha _{5} = \alpha _{3}+\alpha _{6}$
together with
$tr(\alpha )=0$
imply
$-2\beta _2 = \alpha _1+\alpha _4$
, which is equivalent to

Consequently,
$\alpha =\alpha _1$
is the sum of the quadratic algebraic number
$(\alpha _1-\alpha _4)/2$
and the cubic algebraic number
$-\beta _2$
.
Sufficiency. Assume that
$\alpha $
is the sum of a quadratic algebraic number
$\gamma $
and a cubic algebraic number
$\delta $
. We will prove that
$\alpha $
has degree 6 and some four distinct algebraic conjugates of
$\alpha $
satisfy the relation
$\alpha _{1}+\alpha _{2}=\alpha _{3}+\alpha _{4}\notin \mathbb {Q}$
. Indeed, let
$\gamma _1=\gamma $
,
$\gamma _2$
be the algebraic conjugates of
$\gamma $
and let
$\delta _1=\delta $
,
$\delta _2$
,
$\delta _3$
be the algebraic conjugates of
$\delta $
. Since the compositum
$\mathbb {Q}(\gamma ,\delta )$
contains
$\gamma $
and
$\delta $
of degree 2 and 3, respectively, it follows that the degree of
$\mathbb {Q}(\gamma ,\delta )$
is divisible by
$2\cdot 3=6$
. On the other hand,
$[\mathbb {Q}(\gamma ,\delta ):\mathbb {Q}]\leqslant [\mathbb {Q}(\gamma ):\mathbb {Q}]\cdot [\mathbb {Q}(\delta ):\mathbb {Q}] = 2\cdot 3=6$
. Hence,
$[\mathbb {Q}(\gamma ,\delta ):\mathbb {Q}]=6$
. By Lemma 9, we obtain that
$\mathbb {Q}(\gamma ,\delta ) = \mathbb {Q}(\gamma +\delta )$
. Therefore,
$\alpha =\gamma +\delta $
has degree 6. Hence, the numbers
${\gamma _i+\delta _j}$
, for
$i=1,2$
and
$j=1,2,3$
, are distinct algebraic conjugates of
$\gamma +\delta $
. The identity

implies that four distinct algebraic conjugates of
$\alpha =\gamma +\delta $
satisfy

where
$\alpha _1=\gamma _1+\delta _1$
,
$\alpha _2=\gamma _2+\delta _2$
,
$\alpha _3=\gamma _1+\delta _2,$
and
$\alpha _4=\gamma _2+\delta _1$
. Finally, since
${tr(\gamma )=\gamma _1+\gamma _2}$
and
$tr(\delta )=\delta _1+\delta _2+\delta _3$
are rational numbers, we obtain that

is a cubic algebraic number, and therefore
$\alpha _1+\alpha _2\notin \mathbb {Q}$
.
Proof of Theorem 2
Let
$\alpha $
be an algebraic number of degree
$d\in \{4,5,6,7\}$
such that
$tr(\alpha )=0$
. Suppose that four distinct conjugates of
$\alpha _{1} := \alpha $
satisfy the relation

By Lemma 5,
$d\neq 5$
and
$d\neq 7$
. Hence,
$d=4$
or 6.
$(i)$
Suppose that
$d=4$
. Then, (16) together with
$tr(\alpha )=0$
imply
$\alpha _{1}+\alpha _{2}=\alpha _{3}+\alpha _{4}=0$
. Hence,
$\alpha _2=-\alpha _1$
, and therefore the minimal polynomial
$p(x)$
of
$\alpha $
is of the form
$p(x)=x^4+ax^{2}+b\in \mathbb {Q}[x]$
.
Conversely, let
$p(x)=x^4+ax^{2}+b\in \mathbb {Q}[x]$
be an irreducible polynomial. Let
$\beta ,\gamma \in \mathbb {C}$
be two distinct roots of
$p(x)$
such that
$\gamma \neq -\beta $
. Then
$\alpha _1 = \beta $
,
$\alpha _2 = -\beta $
,
$\alpha _3 = \gamma ,$
and
$\alpha _4 = -\gamma $
are all the roots of
$p(x)$
and the relation (16) holds.
$(ii)$
Suppose that
$d=6$
and the sum
$\alpha _{1}+\alpha _{2}$
in (16) is a rational number. Then, by Proposition 10,
$\alpha _{1}+\alpha _{2} = \alpha _{3}+\alpha _{4}=0$
. This implies that
$\alpha _2=-\alpha _1$
. Therefore, the minimal polynomial
$p(x)$
of
$\alpha $
is of the form
$p(x)=x^6+ax^{4}+bx^2+c\in \mathbb {Q}[x]$
. Similarly, as in case
$(ii)$
, we see that some four distinct roots of any such irreducible polynomial satisfy the relation (16).
$(iii)$
Suppose that
$d=6$
and the sum
$\alpha _{1}+\alpha _{2}$
in (16) is not a rational number. Then, by Theorem 3,
$\alpha $
is a sum of a quadratic algebraic number
$\gamma $
and a cubic algebraic number
$\delta $
. Let
$\gamma _1=\gamma $
,
$\gamma _2$
be the algebraic conjugates of
$\gamma $
and let
$\delta _1=\delta $
,
$\delta _2$
,
$\delta _3$
be the algebraic conjugates of
$\delta $
. Then, the numbers
$\gamma _i+\delta _j$
, for
$i=1,2$
and
$j=1,2,3$
, are the algebraic conjugates of
$\alpha =\gamma +\delta $
. We have that
$tr(\alpha )=0$
. On the other hand,
$tr(\alpha )$
equals the sum of all the numbers
$\gamma _i+\delta _j$
, for
$i=1,2$
and
$j=1,2,3$
. The later sum equals
$3(\gamma _1+\gamma _2)+2(\delta _1+\delta _2+\delta _3)$
. Hence,
$0=tr(\alpha ) = 3tr(\gamma )+2tr(\delta )$
. Therefore,
$tr(\gamma )/2+tr(\delta )/3=0$
and we can represent
$\alpha $
as

Note that
$\gamma -tr(\gamma )/2$
and
$\delta -tr(\delta )/3$
are quadratic and cubic algebraic numbers, respectively, both having trace zero. Consequently, without loss of generality, we can assume that
$tr(\gamma )=0$
and
$tr(\delta )=0$
in the expression
$\alpha =\gamma +\delta $
. Then, the minimal polynomial of
$\gamma $
is of the form
$x^2-a$
and the minimal polynomial of
$\delta $
is of the form
$R(x)=x^3+bx+c$
, where
$a,b,c\in \mathbb {Q}$
. Moreover, in view of
$tr(\gamma )=0$
and
$\gamma _1\gamma _2=-a$
, we obtain that
$\gamma _1=\pm \sqrt {a}$
and
$\gamma _2=\mp \sqrt {a}$
. Now, the minimal polynomial
$p(x)$
of
$\alpha $
can be expressed as

Conversely, given an irreducible polynomial
$p(x)$
of the form (17), we can factor it as
$p(x)=R(x-\sqrt {a})R(x+\sqrt {a})$
, where
$R(x)=x^3+bx+c$
. Note that
$\sqrt {a}\notin \mathbb {Q}$
, since
$p(x)$
is irreducible. Consequently,
$\sqrt {a}$
is a quadratic algebraic number. Moreover,
$R(x)$
is irreducible. Indeed, if
$R(x)$
factors as
$R(x)=P(x)Q(x)$
with some polynomials
$P(x),Q(x)\in \mathbb {Q}[x]$
both of degree
$\geqslant 1$
, then

with both polynomials
$P(x-\sqrt {a})P(x+\sqrt {a})$
and
$Q(x-\sqrt {a})Q(x+\sqrt {a})$
having rational coefficients. This contradicts the assumption that
$p(x)$
is irreducible. Hence,
$R(x)$
is irreducible. Finally, the factorization
$p(x)=R(x-\sqrt {a})R(x+\sqrt {a})$
implies that every root of
$p(x)$
is a sum of a quadratic algebraic number
$\pm \sqrt {a}$
and a root of
$R(x)$
, which is a cubic algebraic number. Therefore, by Theorem 3, some four distinct roots of
$p(x)$
satisfy the relation (16) with
$\alpha _1+\alpha _2\notin \mathbb {Q}$
.
Notes.
-
1. The polynomial in (17) is obtained by expanding the product
$R(x-\sqrt {a})R(x+\sqrt {a})$ . This can be done either by hand or using a computer algebra system, e.g., SageMath [14].
-
2. The polynomial in (17) is irreducible if and only if a is not the square of a rational number and the polynomial
$R(x)=x^3+bx+c$ has no roots in
$\mathbb {Q}$ .
Acknowledgments
The authors would like to thank the anonymous referee for a careful and detailed reading of the manuscript and for several important suggestions.