Hostname: page-component-857557d7f7-nk9cn Total loading time: 0 Render date: 2025-11-21T01:53:41.319Z Has data issue: false hasContentIssue false

The effects of environmental risk on consumption dynamics: an empirical analysis on the Mediterranean countries

Published online by Cambridge University Press:  07 January 2016

Donatella Baiardi
Affiliation:
Department of Economics, Management and Statistics, University of Milano-Bicocca, Piazza dell'Ateneo Nuovo, 1-20126, Milan, Italy. E-mail: donatella.baiardi@unimib.it
Matteo Manera
Affiliation:
Department of Economics, Management and Statistics, University of Milano-Bicocca, Milan, and Fondazione Eni Enrico Mattei, Milan, Italy. E-mail: matteo.manera@unimib.it
Mario Menegatti
Affiliation:
Department of Economics, University of Parma, Parma, Italy. E-mail: mario.menegatti@unipr.it
Rights & Permissions [Opens in a new window]

Abstract

This paper estimates a theory-based regression model which studies the macro-economic impact of environmental and consumption risks on consumption growth in the Mediterranean region. The analysis is carried out using time series aggregate data for 13 Mediterranean countries over the period 1965–2008. The results indicate that both risks and their interaction significantly influence consumption dynamics. The estimates of the indices of relative risk aversion and relative prudence, as well as the relative preference for the quality of environment, suggest marked cross-country heterogeneity.

Information

Type
Research Article
Copyright
Copyright © Cambridge University Press 2016 

1. Introduction

As documented by a wide body of literature, uncertainties about environmental conditions and environmental risk are very important factors affecting the dynamics of several key macroeconomic variables.

From a growth theory perspective, Heal (Reference Heal, Smith and White1984) and Keeler et al. (Reference Keeler, Bolker and Bradford2004) analyze the effects of uncertainty on future productivity changes due to pollution, while Soretz (Reference Soretz2007) studies the impacts on output of uncertainty on the quality of environment. Ulph and Ulph (Reference Ulph and Ulph1997) and Pindyck (Reference Pindyck2000, Reference Pindyck2002) examine the optimal timing for environmental policies in a real option framework. Fan et al. (Reference Fan, Hobbs and Norman2010, Reference Fan, Norman and Patt2012) find that uncertainty and risk aversion have significant policy implications in terms of investment incentives. Baiardi and Menegatti (Reference Baiardi and Menegatti2011) demonstrate that different kinds of environmental uncertainty influence the size of public intervention.

A recent stream of theoretical research investigates consumption and saving decisions under the contemporaneous presence of a risk on wealth affecting the level of consumption (henceforth, consumption risk) and a background risk, which typically involves environmental quality or environmental conditions (henceforth, environmental risk). In particular, Courbage and Rey (Reference Courbage and Rey2007); Menegatti (Reference Menegatti2009a, Reference Menegattib) and Denuit et al. (Reference Denuit, Eeckhoudt and Menegatti2011) examine consumption dynamics under different assumptions on the size and distribution of environmental and consumption risks.

In the empirical literature on consumption dynamics, the traditional approach considers consumption risk as isolated (see Dynan, Reference Dynan1993; Hahm and Steigerwald, Reference Hahm and Steigerwald1999; Guariglia and Kim, Reference Guariglia and Kim2003; and Menegatti, Reference Menegatti2007; Menegatti, Reference Menegatti2010), while Baiardi et al. (Reference Baiardi, Manera and Menegatti2013) provide the first empirical analysis which combines consumption risk with environmental risk. Their results support the conclusion that the interaction between these two sources of risk significantly influences consumption.

In this paper we use a theory-based model to investigate the macroeconomic effects on consumption dynamics and the saving of environmental and consumption risks, jointly considered, in the Mediterranean (MED) region.

With respect to the previous literature, the novelties of our paper are threefold. First, the subject of our empirical analysis is represented by countries which share a very peculiar and crucial geographical location. In this respect, our paper is new, since it deals with 13 MED countries (Albania, Algeria, Croatia, Cyprus, Egypt, Greece, Israel, Lebanon, Malta, Morocco, Slovenia, Tunisia and Turkey) during the period 1965–2008. We deliberately exclude France, Italy and Spain from the group of analyzed countries, since they are likely to be characterized by a degree of environmental awareness which is significantly different from that of the other MED countries. Moreover, we believe that focusing on the selected countries, especially the less advanced ones, is more interesting and informative, especially in light of the process of economic and cultural modernization which many of those countries are currently experiencing. Finally, our choice contributes to the innovative nature of this study, since, to the best of our knowledge, very few papers in the empirical literature on environmental economics specifically deal with the MED countries, and none of them tackles the issue of investigating the macroeconomic impacts of environmental risk.Footnote 1

Besides their geographical proximity, the MED countries are characterized by a long history of cooperation on environmental conservation initiatives (Kagiannas et al., Reference Kagiannas, Askounis, Anagnostopoulos and Psarras2003; Gürlük, Reference Gürlük2009). Many international projects involving the MED countries have been approved to foster environmental protection, reduce air and water pollution and facilitate the diffusion of renewable resources. Among them, it is worth noting the Initiative Horizon 2020 (EU, 2006), a comprehensive environmental strategy aimed at reducing industrial and urban pollution, implementing environmental laws and developing deeper knowledge about the environment. Other initiatives are the Mediterranean Strategy for Sustainable Development (MSSD, 2005) and the International Augmented Med (IAM, 2012), whose purpose is to reduce the gap between developed and developing countries in the region. Some projects, such as the European Neighborhood Policy (ENP, 2004) and the Mediterranean Action Plan (UNEP/MAP, 2004), are instead related to preservation of the Mediterranean Sea. More importantly, new and increasing attention regarding the role of environmental risks is acknowledged. This recent attitude is demonstrated by different projects, such as European Mediterranean Sea Acidification (MedSeA, 2011) in a changing climate, which aims to assess the effects of different kinds of uncertainty related to MED acidification at organismal, ecosystem and economic levels.

Secondly, our paper provides readers with fresh empirical evidence on the indices of relative risk aversion and relative prudence, and on the relative preference for the quality of environment in each MED country. Such measures of general attitude toward the environment are particularly relevant for the MED economies, since they are strongly heterogeneous in terms of economic development and social and cultural features, as well as environmental conditions. Moreover, a significant number of the major MED countries are currently experiencing profound economic and social instabilities, which will probably renew interest in how different sources of uncertainty impact on economic choices. Therefore, an assessment of the country-specific attitude toward environmental risk, coupled with a quantification of a country's relative preference for the quality of environment, conveys crucial information which should be at the basis of any attempt to implement country-specific policy and environmental reforms.

Thirdly, our approach is radically different from virtually all the studies published so far on environmental and energy economics issues related to the MED region. Actually, our paper is innovative compared to more traditional studies which examine the potential of international projects in the MED area (see, among others, Kagiannas et al., Reference Kagiannas, Askounis, Anagnostopoulos and Psarras2003; Karakosta et al., Reference Karakosta, Doukas and Psarras2010; Reiche, Reference Reiche2010; Karakosta and Psarras, Reference Karakosta and Psarras2013), and with respect to the literature focusing on more specific topics, such as the implementation of renewable resources (Jacobson and Delucchi, Reference Jacobson and Delucchi2010; Jablonski et al., Reference Jablonski, Tarhini, Touati, Garcia and Alario2012; Komendantova et al., Reference Komendantova, Patt, Barras and Battaglini2012; Cambini and Franzi, Reference Cambini and Franzi2013) or the impact of energy consumption on the environment (Arouri et al., Reference Arouri, Youssef, M'henni and Rault2012).

The paper is organized as follows. Section 2 illustrates the theoretical model and its econometric specification. The data set is described in section 3. Section 4 discusses the main empirical results. The indices of relative risk aversion and of relative prudence, together with the relative preference for the quality of environment, are presented for each country in section 5. Section 6 concludes.

2. The theoretical model and the estimated equations

We describe consumers’ preferences at time t in a multiperiod framework, using a two-argument utility function U(C t , E t ), where C t is consumption and E t is the level of environment quality. We assume that the level of E t is given for the agent (see Smulders and Gradus, Reference Smulders and Gradus1996; Ayong Le Kama and Schubert, Reference Ayong Le Kama and Schubert2004). We also assume that U(C t , E t ) is increasing and concave with respect to each of its arguments; that is: U C (C t ,E t )>0, U E (C t ,E t )>0, U CC (C t ,E t )<0 and U EE (C t ,E t )<0, where U C (C t ,E t )≡∂ U/∂ C, U E (C t ,E t )≡∂ U/∂E, U CC (C t ,E t )≡∂2 U/∂C 2 and U EE (C t ,E t )≡∂2 U/∂ E 2. Similarly, we define the third derivatives of the utility function as: U CCC (C t ,E t )≡∂3 U/∂ C 3, U CCE (C t ,E t )≡∂3 U/∂ C 2E and U CEE (C t ,E t )≡∂3 U/∂CE 2. Conditions U CC (C t ,E t )<0 and U EE (C t ,E t )<0 are particularly important, since they indicate aversion toward risk on consumption and aversion toward risk on the quality of the environment, respectively.

We extend the univariate framework of Carroll (Reference Carroll1992, Reference Carroll1997) by means of the bivariate intertemporal consumption model:

(1) $$\eqalign{&\max_{C_{t}} {\open E} \sum^{T}_{t=0} \beta^{t}U(C_{t},E_{t})\cr W_{t+1} &= (1 + r)(W_{t} + Y_{t} - C_{t})} $$

where Y is income, W is net wealth, r is the constant interest rate, R=1+r is the interest factor, δ is the subjective intertemporal discount rate, and β=1/(1+δ) is the subjective intertemporal discount factor.

According to a wide strand of literature, we analyze consumption dynamics assuming that income and interest rate are exogenous.Footnote 2 Consequently, we do not model either production or financial markets. It is crucial to emphasize that, from an empirical perspective, this partial equilibrium approach provides a clearer and more direct interpretation of the empirical results. Actually, we are able to derive comparable estimates for parameters measuring risk aversion and preferences for environmental quality for each MED country.

Problem (1) is solved by maximizing the Lagrangian:

$$L= {\open E} \sum^{T}_{t=0} \beta^{t}[U(C_{t},E_{t})-\lambda_{t}(W_{t+1}-R(W_{t}+Y_{t}-C_{t}))].$$

The first-order conditions are:

(2) $${\partial L \over \partial C_{t}} =\beta^t \lsqb U_C(C_t, E_t) - R\lambda_{t} \rsqb = 0, $$
(3) $${\partial L \over \partial W_{t+1}} = - \beta^t \lambda_{t} + \beta^{t + 1} R {\open E} [\lambda_{t + 1}] = 0, $$
(4) $${\partial L \over \partial \lambda_{t}} = W_{t + 1} - R(W_{t} + Y_{t} - C_{t}) = 0. $$

Combining first-order conditions (2) and (3), we obtain the Euler's equation:

(5) $$\beta R {\open E}[U_{C}(C_{t + 1}, E_{t + 1})] = U_{C} (C_{t}, E_{t}). $$

Following Dynan (Reference Dynan1993), we substitute a second-order Taylor approximation of U c (C t ,E t ) into the left-hand side of condition (5), obtaining the condition:

(6) $$\eqalign{{\open E} \left[{(C_{t+1} - C_{t}) \over C_{t}} \right] & = {1 - \beta R \over \beta R} {U_C \over C_{t}U_{CC}} - {\open E} [(E_{t + 1} - E_{t})] {U_{CE} \over C_{t}U_{CC}} \cr &\quad - {1 \over 2} {\open E} [(C_{t + 1} - C_{t})^2] {U_{CCC} \over C_{t} U_{CC}} - {1 \over 2} {\open E} [(E_{t + 1} - E_{t})^2] {U_{CEE} \over C_{t}U_{CC}} \cr &\quad - {\open E} [(C_{t + 1} - C_{t})(E_{t + 1} - E_{t})] {U_{CCE} \over C_{t}U_{CC}}.} $$

Along the lines suggested by Smulders and Gradus (Reference Smulders and Gradus1996), Ayong Le Kama and Schubert (Reference Ayong Le Kama and Schubert2004) and Baiardi et al. (Reference Baiardi, Manera and Menegatti2013), we consider the two-argument constant relative risk aversion (CRRA) utility function:

(7) $$U(C_{t},E_{t}) = {C_{t}^{1 - \gamma} E_{t}^{\phi (1 - \gamma)} - 1 \over 1 - \gamma} $$

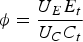
where γ>0 and ϕ>0 are the parameters of interest. Parameter γ represents the index of relative risk aversion $\left(\!- {U_{CC}C_{t} \over U_{C}}\right)$ , while the index of relative prudence $\left(\!-\!{U_{CCC}C_{t} \over U_{CC}} \right)$ is equal to 1+γ. Note that γ>0 ensures risk aversion toward uncertainty on consumption (i.e., U CC <0). On the other hand, parameter $\phi = {U_{E}E_{t} \over U_{C}C_{t}}$ ‘[…] represents relative preference for environmental quality […]’ (see Ayong Le Kama and Schubert, Reference Ayong Le Kama and Schubert2004: 34).

Using specification (7), risk aversion toward the quality of environment requires:

(8) $$U_{EE} = \phi [\phi (1 - \gamma) - 1] C_{t}^{1 - \gamma} E_{t}^{\phi (1 - \gamma) - 2} \lt 0. $$

This condition has some implications for the sign of the coefficients to be estimated, discussed below. Moreover, it implies an additional restriction between parameters γ and ϕ, given by

(9) $$\gamma>1 - {1 \over \phi}. $$

Uncertainty is introduced into the model by assuming that both arguments of the utility function are affected by random shocks.Footnote 3 According to the empirical literature which starts from Carroll (Reference Carroll1992) and studies the effects of multiple sources of uncertainty on optimal consumption level, we do not explicitly model any of the risks involved in the analysis.Footnote 4

The environmental quality level E t is difficult to measure directly. In this paper, we assume E t =P t −1; that is, the level of environmental quality is a decreasing function of the level of pollution P t . This assumption, together with equation (7), implies that our utility function becomes

(10) $$U(C_{t},P_{t})= {C_{t}^{1 - \gamma} P_{t}^{-\phi (1 - \gamma)} - 1 \over 1 - \gamma }. $$

Combining equation (6) with specification (10), we obtain:

(11) $$\eqalign{{\open E} \left[{(C_{t + 1} - C_{t}) \over C_{t}} \right] &= {r - \delta \over (1 + r)\gamma} - {\phi (1 - \gamma) \over \gamma} {\open E} \left[{(P_{t + 1} - P_{t}) \over P_{t}} \right] \cr &\quad + {(1 + \gamma) \over 2} {\open E} \left[{(C_{t + 1} - C_{t}) \over C_{t}} \right]^{2} + {\phi (1 - \gamma) [\phi (1 - \gamma) + 1] \over 2\gamma} \cr &\quad \times {\open E} \left[{(P_{t + 1} - P_{t}) \over P_{t}} \right]^{2} \cr &\quad + \phi (1 - \gamma) {\open E} \left[{(C_{t + 1} - C_{t}) \over C_{t}} {(P_{t + 1} - P_{t}) \over P_{t}} \right].} $$

Consequently, given that $\Delta log(C_{t + 1})\cong {C_{t+1} - C_{t} \over C_{t}}$ and $\Delta log(P_{t + 1})\cong {P_{t+1}-P_{t} \over P_{t}}$ , equation (11) can be re-written as:

(12) $$\eqalign{\Delta log(C_{t+1})&=\alpha _{0}+\alpha _{1}\Delta log(P_{t+1})+\alpha_{2}Var_{t}[\Delta log(C_{t+1})]\cr &\quad +\alpha _{3}Var_{t}[\Delta log(P_{t+1})] \cr &\quad + \alpha_{4} Cov_{t}[\Delta log(C_{t+1}),\Delta log(P_{t+1})]+u_{t+1}} $$

where

(13) $$\alpha_0 = {r - \delta \over (1+r)\gamma}, $$
(14) $$\alpha_1 = - {\phi (1 - \gamma) \over \gamma}, $$
(15) $$\alpha_2 = {(1 + \gamma) \over 2}, $$
(16) $$\alpha_3 = {\phi (1 - \gamma)[\phi (1 - \gamma) + 1] \over 2\gamma}, $$
(17) $$\alpha_4 = \phi (1 - \gamma). $$

It is important to note that the term $Var_{t}[\Delta log(C_{t + 1})]$ in equation (12) describes consumption variability due to random shocks and measures consumption risk. Similarly, the term $Var_{t}[\Delta log(P_{t+1})]$ indicates the variability in environmental conditions and proxies environmental risk. Finally, the covariance term $Cov_{t}[\Delta log(C_{t+1}),\Delta log(P_{t+1})]$ represents the interaction between the rate of growth of consumption and the rate of growth of pollution. According to equation (12), the rate of growth of consumption is directly influenced by the rate of growth of pollution, consumption risk and environmental risk, and indirectly affected by the interaction between the two risks through the covariance between the two growth rates.Footnote 5

Furthermore, from conditions (14) and (15) we obtain:

(18) $$\gamma = 2 \alpha_2 - 1 $$

and

(19) $$\phi = {-\alpha_1 \gamma \over (1 - \gamma)}. $$

Moreover, combining equation (17) with equation (18), condition (14) can be rewritten as:

(20) $$\alpha_1 = {-\alpha_4 \over 2\alpha_2 - 1} $$

and, similarly, from equations (14), (16) and (17), we derive:

(21) $$\alpha_3 = - {1 \over 2} \alpha_1[\alpha_4 + 1]. $$

Coefficient α1 introduces the direct effect of pollution on consumption growth rate, while coefficients α2 and α3 show the influence of consumption and environmental uncertainty on consumption dynamics. The covariance between the two growth rates, related to coefficient α4, describes the indirect effect of the interaction between the two risks. Note that the assumptions of our theoretical model have implications for the signs of these parameters. In particular, γ>0 ensures α2>0, while condition (8) implies that α4<1.

On the other hand, the theoretical model does not impose any a priori assumptions about the sign of coefficients α1 and α3. In order to have some theoretical indications about the sign of these coefficients, it is necessary to introduce an additional condition. In this respect, our model assumes aversion toward uncertainty on environmental quality (U EE <0), while equation (10) introduces an indirect measure of the environmental quality E t based on pollution P t . Since the relationship between E t and P t is decreasing by assumption, but not linear, U EE <0 does not guarantee that U PP <0. Therefore, an additional condition is required, which indicates aversion toward uncertainty on the level of pollution:

(22) $$U_{PP} = \phi [\phi (1 - \gamma) + 1] C_{t}^{1 - \gamma} P_{t}^{-\phi^{(}{1 - \gamma) - 2}} \lt 0. $$

Notice that condition (22) implies α1>0 and α3>0. In other words, by introducing the assumption of aversion toward uncertainty on the level of pollution, we obtain a positive sign restriction on parameters α1 and α3.

Moreover, condition (22) implies a complementary restriction between parameters γ and ϕ given by

(23) $$\gamma \gt 1 + {1 \over \phi}. $$

Restriction (23) is stronger than condition (9), which satisfies inequality (8). For this reason, inequality (22) is a sufficient condition for inequality (8).

3. The data

Our empirical analysis is focused on the MED countries. In particular, we consider the following 13 countries: Albania, Algeria, Croatia, Cyprus, Egypt, Greece, Israel, Lebanon, Malta, Morocco, Slovenia, Tunisia and Turkey, organized in three distinct groups according to their geographical position along the MED Sea (Gürlük, Reference Gürlük2009): Euro-MED (Albania, Croatia, Greece, Malta and Slovenia), Euro-Asian-MED (Cyprus, Israel, Lebanon and Turkey) and African-MED (Algeria, Egypt, Morocco and Tunisia).

The main variables considered in our analysis are annual aggregate per capita CO2 emissions (metrics tons) and annual aggregate per capita consumption (i.e., aggregate household final consumption expenditure, measured in constant US$ 2,000). Data are collected from the World Bank Development Indicators, 2013 Edition.

We use the growth rate of CO2 emissions as a proxy of environmental pollution, following a common practice within the environmental economic literature (in this respect, see, among others, Friedl and Getzner, Reference Friedl and Getzner2003; Fodha and Zaghdoud, Reference Fodha and Zaghdoud2010; Wang, Reference Wang2012). Actually, CO2 emissions are produced by human activities, such as burning oil, coal and gas for energy use, wood and waste materials, and some industrial processes (e.g., cement production). CO2 is also the reference gas for measuring and evaluating other greenhouse gases. Moreover, it also accounts for the largest share of greenhouse gases contributing to global warming and climate change, as confirmed by the emphasis which many industrial and developing countries, from the Kyoto Protocol onwards, have put on curbing CO2 emissions globally. Finally, CO2 data, differently from other pollutants, are generally available since 1960.

We define the logarithmic transformations of per capita consumption and CO2 emissions as cons t and poll t , respectively, while CONS t and POLL t indicate the first differences of cons t and poll t . The variances of consumption and pollution rates of growth are represented by the variables VARCONS t and VARPOLL t , respectively, while the covariance between consumption and pollution rates of growth is indicated with COV t . Following Dynan (Reference Dynan1993) and Guariglia and Kim (Reference Guariglia and Kim2003), the two variances and the covariance are computed, at each year t, using observations of the previous five years.

Table 1 shows the periods of data availability (in general, from 1960 to 2008) for each country. Table 1 also presents the World Bank classification of each country based on per capita gross national income (GNI). According to this classification, Egypt and Morocco are the only lower middle income (LMI) countries in our sample, while Albania, Algeria, Lebanon, Tunisia and Turkey are upper middle income (UMI) countries. Finally, Croatia, Cyprus, Greece, Israel, Malta and Slovenia are classified as high income (HI) countries.Footnote 6 It is worth noticing that the comparison between the three groups highlights that the African-MED countries generally exhibit lower income levels than countries belonging to the two other groups.

Table 1. Descriptive statistics

Notes: CONS t and POLL t are the first differences of the logarithmic transformation of per capita consumption and CO2 emissions, respectively; Jarque-Bera tests the null hypothesis of normal distribution (p-values in parentheses). According to the World Bank classification of the world's economies based on estimates of per capita gross national income (GNI), lower middle income (LMI) countries have a per capita GNI between US$ 1,036 and US$ 4,085, upper middle income (UMI) countries have a per capita GNI US$ 4,086 to US$ 12,615, high income (HI) countries have a per capita GNI equal to or greater than US$ 12,616.

Descriptive statistics on the variables of interest are summarized in table 1. Albania is the only country with an average negative consumption rate of growth (−0.44 per cent). Algeria and Lebanon show the lowest consumption growth rates (0.32 per cent and 0.26 per cent, respectively). On the other hand, CONS t is on average particularly high in HI countries, especially Cyprus (2.18 per cent), Malta (1.85 per cent) and Slovenia (1.80 per cent). With regard to POLL t , Israel is the only country with a sizable, negative pollution growth rate (−2.14 per cent) in the period spanned by our data. The growth rate of pollution is also particularly low in Lebanon (0.25 per cent) and Albania (0.60 per cent). The highest increments in pollution are recorded in Greece and in all the African-MED countries.

The order of integration of the variables involved in model (12) is assessed using the unit root tests of Kwiatkowski et al. (Reference Kwiatkowski, Phillips, Schmidt and Shin1992) (henceforth KPSS) and Clemente et al. (Reference Clemente, Montañés and Reyes1998) (henceforth CMR).

As shown in table 2, we find the presence of a unit root for log-transformed per capita consumption and pollution in all countries, while their rates of growth are stationary.Footnote 7

Table 2. Unit root tests

Notes: For each country, two unit root tests are presented, namely KPSS and CRM; KPSS is reported in the first row and assumes that the series is stationary under the null hypothesis; CRM is reported in the second row and assumes that the series has a unit root under the null hypothesis; both tests are calculated by including the intercept in the test equations. CRM is computed with the inclusion of single mean shift (additive outlier model). For KPSS, asymptotic critical values at 1 and 5 % significance levels are 0.74 and 0.46, respectively; for CRM, the critical value at 5 % significant level is −3.56 and is reported in Perron and Vogelsang (Reference Perron and Vogelsang1992). Variables cons t and poll t are the logarithmic transformations of per capita consumption and CO2 emissions, while CONS t and POLL t are their first differences. **(***) indicate rejection of the null hypothesis at 5 % (1 %) significant level, respectively.

4. Empirical results

The estimated version of equation (12) is:

(24) $$CONS_{t} = \alpha_0 + \alpha_1 {POLL}_{t} + \alpha_{2} {VARCONS}_{t} + \alpha_{3} {VARPOLL}_{t} + \alpha_{4} {COV}_{t} + u_{t}. $$

Non-linear restrictions (20) and (21) are imposed on the parameters α1, α2, α3 and α4. In order to take into account problems related to endogeneity, possible biases due to omitted variables and measurement errors which potentially affect CO2 emissions and consumption data (as noted by Carroll, Reference Carroll1997), equation (12) is estimated with the generalized method of moments (GMM). In this last respect, moment conditions are satisfied by instrumenting potentially endogenous variables with their past values. Furthermore, based on the high correlation between the explanatory variables in equation (24) and per capita GDP in each country, lagged values of per capita GDP are also used as instruments. Similarly to CONS t and POLL t , we define the first differences of the logarithmic transformation of per capita GDP as GDP t . Furthermore, COVGDP t and VARGDP t indicate the covariance between GDP t and POLL t and the variance of GDP t , respectively. The variance of GDP t is computed following the same procedure used for calculating VARCONS t and VARPOLL t .

More precisely, since VARCONS t is a potentially endogenous variable (see Carroll, Reference Carroll1992; Hahm and Steigerwald, Reference Hahm and Steigerwald1999; Menegatti, Reference Menegatti2007, Reference Menegatti2010; Baiardi et al., Reference Baiardi, Manera and Menegatti2013), lagged values of GDP t , VARCONS t and VARGDP t are used as instruments. The potential endogeneity of VARPOLL t , POLL t and COV t is treated by instrumenting the first two variables with their lagged values, while COV t is instrumented with its own lagged values and the lagged values of COVGDP t . Estimates are obtained by using Heteroskedasticity and Autocorrelation Consistent (HAC) standard errors.

Tables 3, 4 and 5 show the results for each group of countries. The J-statistic indicates that the null hypothesis of valid over-identifying restrictions is not rejected in all countries, while residual autocorrelation and heteroskedasticity do not in general affect the estimated equations.Footnote 8 The null hypothesis of residual normal distribution is not rejected by the Jarque–Bera test in most of the countries, with Malta and Cyprus as the only exceptions among the Euro-MED and Euro-Asian MED countries, and Egypt and Morocco among the African-MED countries. Contemporaneous correlations among the residuals obtained from country-by-country estimation of equation (24) are generally low and statistically insignificant at conventional levels.Footnote 9

Table 3. Euro–MED countries: GMM estimation of the regression model (24)

Notes: All variables are expressed in log-differences; asymptotic standard errors are reported in brackets. *(**)[***] indicate significance at 10(5)[1] % level. A Wald test supports the conclusion that the coefficient α4 is smaller than one, as imposed by the theoretical restriction of the model; the J-statistic tests the validity of the over-identifying restrictions when the number of instruments is larger than the number of estimated parameters; the Q-statistic at lag k tests the null hypothesis of no residual serial correlation up to order k, k=1, …, 10; to save space; the Q-statistic and the corresponding p-value reported in the table are for k=1. The White statistic is a test of the null hypothesis of no heteroskedasticity against heteroskedasticity of some unknown general form. The Jarque–Bera statistic tests the null hypothesis that the standardized residuals are normally distributed. The estimated coefficient covariance matrix is weighted with Kernel Bartlett Bandwidth Fixed without prewhitening for Albania and Croatia; Kernel Quadratic Bandwidth Andrews (with prewhitening) and Kernel Bartlett Bandwidth Andrews (without prewhitening) are used for Greece and Slovenia, respectively. Instruments (I) for each country are: Albania I = [constant, CONS t−1, COV t−1, POLL t−1, VARCONS t−1, VARPOLL t−1, GDP t−1]; Croatia I = [constant, COV t−1, COVGDP t−1, VARC t−1, VARY t−1, GDP t−1]; Greece I = [constant, CONS t−1, COVCONSPOLL ti , COVGDP ti , POLL ti , VARCONS ti , VARPOLL ti , GDP ti , for i=1, …, 5]; Malta I = [constant, CONS t−1, COV ti , COVGDP ti , POLL ti , VARCONS tj , VARPOLL ti , GDP tk , for i=1, …, 3, j=1, …, 4, k=1, …, 5]; Slovenia I = [constant, COV t−1, COVGDP t−1, POLL t−1, VARCONS t−1, VARPOLL t−1, VARGDP t−1, GDP t−1].

Table 4. Euro-Asian MED countries: GMM estimation of model (24)

Notes: See table 3. The estimated coefficient covariance matrix is weighted with Kernel Quadratic Bandwidth Andrews (with prewhitening) for Lebanon and Israel and with Kernel Bartlett Bandwidth Andrews (without prewhitening) for Cyprus; Kernel Bartlett Bandwidth Variable Newey-West (1) with prewhitening is used for Turkey. Instruments (I) for each country are: Cyprus I = [constant, COV t−1, COVGDP t−1, P t−1, VARCONS t−1, VARPOLL t−1, GDP t−1]; Israel I = [constant, COV ti , COVGDP ti , POLL ti , VARCONS ti , VARPOLL ti , VARGDP ti , GDP tj , for i=1, …, 4, j=1, …, 5 ]; Lebanon I = [constant, COV t−1, COVGDP t−1, POLL t−1, VARCONS t−1, VARPOLL t−1, VARGDP t−1, GDP t−1]; Turkey I = [constant, COV ti , COVGDP ti , POLL ti , VARCONS ti , VARPOLL ti , VARGDP ti , GDP tj , for i=1, …, 4, j=1, …,5].

Table 5. African-MED countries: GMM estimation of model (24)

Notes: See table 3. The estimated coefficient covariance matrix is weighted with Kernel Bartlett Bandwidth Fixed without prewhitening for Algeria; Kernel Quadratic Bandwidth Andrews (with prewhitening) and Kernel Bartlett Bandwidth Andrews (without prewhitening) are used for Morocco and Egypt, respectively; Kernel Bartlett Bandwidth Variable Newey-West (1) without prewhitening is used for Tunisia. Instruments (I) for each country are: Algeria I = [constant, CONS ti , COV ti , VARCONS ti , GDP ti , for i=1, …, 4]; Egypt I = [constant, VARCONS ti , GDP ti for i=1, …, 6]; Morocco I = [constant, COVGDP ti , VARGDP ti , GDP ti , for i=1, …, 4]; Tunisia I = [constant, COV ti , COVGDP ti , POLL ti , VARCONS ti , VARPOLL ti , VARGDP ti , GDP ti , for i=1, …, 4].

Coefficient α2 analyzes the effects of consumption risk on consumption and saving dynamics. In line with economic theory, we find that α2 is always positive and highly statistically significant in all three groups of countries, with the only exception being Morocco. This result validates the hypothesis that consumption risk raises precautionary saving in a context where environmental risk is also considered.Footnote 10

Coefficient α3 captures the direct effect of environmental risk on consumption growth rate. This parameter is positive, as expected, and statistically significant in half the Euro-MED countries (Croatia and Slovenia) and Euro-Asian-MED countries (Cyprus and Israel). Conversely, α3 is not significant in three out of four of the African-MED countries, and actually negative in the case of Tunisia. These results indicate a direct effect of environmental risk on consumption dynamics, although the effect clearly emerges only in a subgroup of Euro-MED and Euro-Asian-MED countries, while it is not as clear in the African-MED countries.

The expected positive sign of coefficient α3 is related to aversion toward uncertainty on pollution.Footnote 11 In our sample, the presence of this kind of risk aversion is confirmed only in a sub-group of countries, suggesting that the sensibility to pollution risk is not high in the other MED economies. Coefficient α3 is a function of both parameters γ and ϕ. Consequently, this empirical result may depend either on the level of risk aversion or on the level of concern toward environmental quality.

Coefficient α4 measures the indirect effect of the interaction between environmental and consumption risks. It is highly significant and less than 1 for almost all countries, as required by the theoretical constraint of our model.Footnote 12 This means that the interaction between consumption and environmental risks is relevant in determining consumption growth. This conclusion, together with previous findings on coefficient α3, suggests that the influence of environmental risk on consumption dynamics is indirect, i.e., through its interaction with consumption risk.

Additional constraint (22) finally suggests a positive sign for coefficient α1, which measures the effect of environmental degradation on consumption growth. The expected sign is confirmed in our estimates for eight countries out of 13, mostly in the subgroup of Euro-MED countries.

To summarize, we find that the coefficients generally have the expected sign in most of the Euro-MED and the Euro-Asian MED countries. The African-MED countries are instead characterized by less clear-cut evidence: the variables which proxy consumption risk and the interaction between environmental and consumption risks (whose coefficients are α2>0 and α4<1, respectively) exhibit the expected marginal effects on consumption dynamics (with the only exception being Morocco), whereas the evidence of the influence of environmental risk on consumption (measured by parameters α1 and α3) is less robust.

These findings can be interpreted in the light of the strong economic, social and cultural differences which characterize the MED countries. In particular, as highlighted in table 1, the MED countries show significant differences in terms of development. Furthermore, as already noted in the previous section, pollution considerably increased in all the African countries during the time period taken into account. These stylized facts, together with the deep structural changes that have affected these emerging economies, have important consequences in terms of environmental preferences, which are discussed at the end of the following section.

5. Estimates of risk aversion and prudence

The results obtained in the previous section can be used to derive estimates for the parameters γ and ϕ in the utility function (10) which are specific to each MED country. Table 6 reports the estimated parameters γ and ϕ, together with the indices of partial relative risk aversion and partial relative prudence, for the three groups of countries. The two indices directly depend on the magnitude of the parameter γ, since they equal $-{U_{CC}C_{t} \over U_{C}} = \gamma$ and $-{U_{CCC}C_{t} \over U_{CC}} = 1 + \gamma$ , respectively. According to Gollier (Reference Gollier2003), if the utility function is a CRRA, plausible values of the relative risk aversion index (and, consequently, of γ) vary from 1 to 4.

Table 6. Estimation of relative risk aversion, relative prudence and relative preference for environmental quality

Notes: Asymptotic standard errors are reported in brackets. The relative risk aversion index is equal to $- {U_{CC}C_{t} \over U_{C}} = \gamma$ . The relative prudence index is equal to $- {U_{CCC}C_{t} \over U_{CC}} = 1 + \gamma$ . Indirect estimates from tables 3, 4 and 5.

In general, we find that the presence of two sources of uncertainty provides reasonable estimates for parameters γ and ϕ.Footnote 13 With regard to parameter γ, it is worth noticing that our results confirm the conclusions reached by Baiardi et al. (Reference Baiardi, Manera and Menegatti2013), who interpret the omission of relevant sources of uncertainty, such as environmental risk, as the main cause of the implausible estimates of the relative risk aversion index based on consumption risk only (Dynan, Reference Dynan1993).

More specifically, we find that the parameter γ varies from 0.94 to 2.31 among the Euro-MED countries. The most risk-averse countries in this group are Croatia (2.31) and Greece (2.28), while the least risk averse is Malta, where the parameter is fairly low (0.98), but not different from 1 at the 5 per cent significance level.

The Euro-Asian MED countries show the highest variability in this parameter, which assumes values ranging from 0.78 to 2.85. In this group, Lebanon and Turkey are the most risk-averse countries (2.85 and 2.11, respectively), while Cyprus is the least risk-averse country (0.78). The estimated value of γ for Israel is too high, at least according to the literature.

Focusing on the African-MED countries, we note that Egypt is the only country with a plausible value of the parameter γ, which is equal to 3.03. For Algeria and Tunisia, γ is positive as expected, but it shows values which are too low and inconsistent with the theoretical indications provided by Gollier (Reference Gollier2003). In case of Morocco, this parameter is actually negative. These results may be due to the specific characteristics of these countries. In particular, the literature shows the significant role played in these countries by additional sources of uncertainty, such as political risk (see, among others, Al Khattab et al., Reference Al Khattab, Anchor and Davies2008; Komendantova et al., Reference Komendantova, Patt, Barras and Battaglini2012). Furthermore, our results may be influenced by the relative size of personal remittances, which are a significant source of funds in North Africa (World Bank Development Indicators, 2013).Footnote 14 When personal remittances are high, the consumption growth rate may be affected by the variability of income in foreign countries, in addition to the variability of domestic income.

Considering all the MED countries together, our estimates imply that Egypt is the most risk-averse country (3.03), followed by Lebanon (2.85), Croatia (2.31) and Greece (2.28). The least risk-averse countries are Cyprus and Malta (0.78 and 0.98, respectively). Excluding the implausible estimates obtained for Israel among the Euro-Asian MED group and for the African-MED countries (as already noted, Egypt is the only exception), we find that the Euro-MED countries are less risk averse (relative risk aversion is on average equal to 1.60) than Euro-Asian MED countries (γ, on average, is equal to 1.91). Moreover, given that the relative prudence index is equal to γ+1, the estimates for this index range between 1.78 and 4.03. These results suggest the presence of a strong precautionary saving motivation in Egypt, Lebanon, Greece, Croatia and Turkey, which becomes less intense for Albania and Slovenia, and reaches its lowest levels in Cyprus and Malta.

Table 6 also proposes the estimates of parameter ϕ, which, according to Ayong Le Kama and Schubert (Reference Ayong Le Kama and Schubert2004), measures the relative preference of agents for environmental quality. As expected, this parameter shows positive values. Israel, Lebanon and Tunisia are the only exceptions, since this parameter is negative, although very close to zero. If we exclude countries with a negative value of ϕ, the Euro-MED and the Euro-Asian MED groups prove to be environmentally concerned (with preference levels toward the environment, on average, equal to 2.21 and 2.26, respectively). The opposite holds for African-MED countries, where ϕ is near to zero.

Our findings on the cross-country variability of the values of parameter ϕ can also be interpreted according to a complementary point of view. Starting from the World Bank classification of the world's economies reported in table 1, the countries included in our analysis can be divided into two groups: higher income economies (Croatia, Cyprus, Greece, Israel, Malta and Slovenia) and lower income economies (Albania, Algeria, Egypt, Lebanon, Morocco, Turkey and Tunisia).Footnote 15 Parameter ϕ generally exhibits higher values in the first group than in the second, where this indicator tends to be close to zero. This finding is in line with Arouri et al. (Reference Arouri, Youssef, M'henni and Rault2012), who provide evidence in favor of the environmental Kuznets curve hypothesis (EKC) in the MED region, when CO2 emissions are considered as a proxy of environmental degradation.Footnote 16 This implies that only when higher levels of income are achieved do people recognize the importance of a clean environment and move toward more sustainable consumption. As noted above, our results support the EKC, since higher levels of preference toward the environment are recorded in the higher income nations of the sample, while lower income countries generally do not present awareness about environmental issues.

The reasoning above provides a possible justification for the specific results which characterize the African MED countries. The very low values of parameter ϕ in these economies are also coherent with the most recent findings within the empirical environmental and energy literature, which provide empirical evidence supporting poor environmental concern in North African nations (M'henni, Reference M'henni2005; Gürlük, Reference Gürlük2009; Fodha and Zaghdoud, Reference Fodha and Zaghdoud2010; Arouri et al., Reference Arouri, Youssef, M'henni and Rault2012).

Our conclusions on parameters γ and ϕ are strictly related to the low effect of pollution growth rate and environmental risk on consumption dynamics captured by coefficient α3. As shown by inequality (22), a low level of concern toward the quality of environment and a low value of risk aversion potentially contradict the assumption of pollution risk aversion, which determines the expected sign of α3. As a consequence, the elements that justify low values of γ and ϕ can also provide some rationale for the low values of coefficient α3.

Lastly, as shown in section 3, our model also implies constraints (9) and (23) on parameters γ and ϕ. Restriction (9) holds in 10 out of 13 countries, with Israel, Lebanon and Tunisia as the only exceptions. On the other hand, restriction (23) is satisfied by Croatia, Slovenia, Israel, Lebanon, Turkey and Tunisia. These results may be due to the specific functional form postulated to describe the relationship between environmental quality and pollution (i.e., E t =P t −1), which implies that inequality (23) is a stronger condition than (9). Moreover, environmental quality is a very complex phenomenon, characterized by other dimensions that are not completely captured by the pollution variable.

6. Conclusions

This paper investigates the effects of environmental and consumption risks on consumption dynamics in the MED area. In particular, we analyzed 13 countries (Albania, Algeria, Croatia, Cyprus, Egypt, Greece, Israel, Lebanon, Malta, Morocco, Slovenia, Tunisia and Turkey) over the period 1965–2008.

Our results show a positive and statistically significant influence of consumption risk on the growth rate of consumption in all countries, with Morocco as the only exception. Our estimates confirm the key role of the interaction between environmental and consumption risks on consumption. We also find evidence of a direct influence of environmental risk on consumption growth rate, although the results are less clear cut when considering the less developed MED economies.

We have also estimated some indices of agents’ attitude toward risk, such as the relative risk aversion and the relative prudence indices, and an index measuring the relative preference toward the quality of environment. Our findings suggest that the Euro-Asian MED countries are the most risk averse, while the Euro-MED countries are less risk averse. Moreover, both groups of countries show a pronounced awareness for the level of environmental quality.

On the other hand, very low values are obtained in the African-MED subregion (which includes the lowest income countries) for both the relative risk aversion and the relative prudence indices, as well as for the relative preference toward environmental quality. We argue that a possible explanation for these findings may be related to the presence of additional important sources of uncertainty in the North African MED area, and to the role of remittances. The introduction of these effects into our theoretical model is on our future research agenda.

Finally, our results on the preferences of each country for the quality of environment are coherent with the conclusions of the EKC literature, since less developed countries are less concerned about the environment. The linkage between our approach and the EKC literature could be the basis for another, potentially promising line of research.

Footnotes

1 See Baiardi et al. (Reference Baiardi, Manera and Menegatti2013) for a similar analysis carried out on a number of OECD countries, including France, Italy and Spain.

2 Starting from the seminal paper by Hall (Reference Hall1978) and the fundamental contributions by Carroll (Reference Carroll1992, Reference Carroll1997) and Dynan (Reference Dynan1993), the effect of uncertainty is typically studied by estimating a Euler equation, such as equation (5) below, which assumes the exogeneity of income and interest rate (e.g., Hahm, Reference Hahm1999; Hahm and Steigerwald, Reference Hahm and Steigerwald1999; Lyhagen, Reference Lyhagen2001; Giles and Yoo, Reference Giles and Yoo2007; Menegatti, Reference Menegatti2007, Reference Menegatti2010; Baiardi et al., Reference Baiardi, Manera and Menegatti2013; Bande and Riveiro, Reference Bande and Riveiro2013).

3 See Hahm and Steigerwald (Reference Hahm and Steigerwald1999) and Baiardi et al. (Reference Baiardi, Manera and Menegatti2013).

5 As pointed out by a referee, the direct effect of the interaction between consumption risk and environmental risk on consumption dynamics, which should be given by the covariance between the variances of the two rates of growth (co-risk), is not present in equation (12). This is due to the second-order Taylor approximation underlying (12), which decomposes the variability of the utility into three terms, namely the variances of consumption and pollution growth rates and their covariance. Since the covariance between the two rates of growth can be seen as a component of the co-risk, we interpret the term COV t in equation (12) as the indirect effect of co-risk on the consumption growth rate.

6 According to the World Bank classification, LMI countries have a per capita GNI between US$ 1,036 and US$ 4,085, UMI countries have a per capita GNI between US$ 4,086 and US$ 12,615, and HI countries have a per capita GNI equal to or greater than US$ 12,616.

7 The same conclusions hold when one possible structural break is considered. Moreover, the KPSS unit-root test indicates that cons t in Lebanon is stationary in level. Finally, since VARCONS t , VARPOLL t and COV t are directly computed starting from the stationary variables CONS t and POLL t , we conclude that they are stationary too.

8 There are specific cases of serial correlation and heteroskedasticity in the residuals in Algeria, Cyprus, Greece and Malta. Albania and Egypt show some serial correlation problems in the error term, while heteroskedasticity affects estimation results for Egypt, Morocco and Tunisia. Carroll (Reference Carroll1992) states that the presence of serial correlation supports the buffer stock saving hypothesis.

9 Specifically, the p-values of the t-statistics on the null hypothesis that each correlation coefficient is equal to zero have been computed using the Dunn–Sidak correction for multiple comparison. Moreover, the Morrison (Reference Morrison1967) test does not reject the joint null hypothesis that all residual correlation coefficients are zero at conventional significance levels. Results are available on request.

10 The traditional literature does not consider environmental risk explicitly, whereas the precautionary saving hypothesis is only indirectly identified with the introduction of the saving rate as the dependent variable in the estimated equations, instead of the consumption rate of growth (see, for example, Hahm and Steigerwald, Reference Hahm and Steigerwald1999; Menegatti, Reference Menegatti2007, Reference Menegatti2010). Different reasons, such as alternative assumptions about the utility function, which may not be a CRRA, consumer impatience (Carroll, Reference Carroll1992) and gradual adjustment of saving or changes in the degree of income uncertainty, have been put forward to justify the traditional approach.

11 As already pointed out, this is a stronger requirement than aversion toward uncertainty on environmental quality.

12 Wald test statistics support the conclusion that the estimated values of α4 satisfy the theoretical condition α4<1 at conventional significance levels.

13 These conclusions also hold when the issue of parameter stability is tackled using recursive estimation. The results, which generally support the stability of the parameter values shown in table 6, are available on request.

14 According to the World Bank classification, personal remittances are computed by considering personal transfers and compensation of employees. The first element consists of all current transfers (in cash or in other nature) between resident and non-resident individuals, while the second element refers to the income of border, seasonal and other short-term workers, who are employed in an economy where they are not resident and of residents employed by non-resident entities. Remittances account for 6.97 per cent of total GDP in Morocco (the only country in our sample where the parameter γ is negative), 5.96 per cent in Egypt and 4.04 per cent in Tunisia.

15 In particular, the group of higher income economies identifies HI countries, both OECD and non-OECD, while the group of lower income economies includes UMI and LMI countries.

16 The EKC postulates an inverse U-shaped relationship between per capita pollution and per capita income. The basic idea is that, as income increases, emissions increase as well, until some threshold level of income is reached after which the trend reverses.

References

Al Khattab, A., Anchor, J., and Davies, S. (2008), ‘The Institutionalization of Political Risk Assessment (IPRA) in Jordanian international firms’, International Business Review 17(6): 688702.CrossRefGoogle Scholar
Arouri, M.E.H., Youssef, A.N., M'henni, H., and Rault, C. (2012), ‘Energy consumption, economic growth and CO2 emissions in Middle East and North African countries’, Energy Policy 45: 342349.CrossRefGoogle Scholar
Ayong Le Kama, A. and Schubert, K. (2004), ‘Growth, environment and uncertain future preferences’, Environmental and Resources Economics 28(1): 3153.CrossRefGoogle Scholar
Baiardi, D. and Menegatti, M. (2011), ‘Pigouvian tax, abatement policies and uncertainty on the environment’, Journal of Economics 103(3): 221251.CrossRefGoogle Scholar
Baiardi, D., Manera, M., and Menegatti, M. (2013), ‘Consumption and precautionary saving: an empirical analysis under both financial and environmental risks’, Economic Modelling 30: 157166.CrossRefGoogle Scholar
Baiardi, D., De Donno, M., Magnani, M., and Menegatti, M. (2015), ‘New results on precautionary saving under two risks’, Economics Letters 130: 1720.CrossRefGoogle Scholar
Bande, R. and Riveiro, D. (2013), ‘Private saving rates and macroeconomic uncertainty: evidence from Spanish regional data’, Economic and Social Review 44(3): 323349.Google Scholar
Cambini, C. and Franzi, D. (2013), ‘Independent regulatory agencies and rules harmonization for the electricity sector and renewables in the Mediterranean region’, Energy Policy 60: 179191.CrossRefGoogle Scholar
Carroll, C. (1992), ‘The buffer-stock theory of saving: some macroeconomic evidence’, Brookings Papers on Economic Activity 2: 61156.CrossRefGoogle Scholar
Carroll, C. (1997), ‘Buffer-stock saving and the life cycle/permanent income hypothesis’, Quarterly Journal of Economics 112(1): 155.CrossRefGoogle Scholar
Clemente, J., Montañés, A., and Reyes, M. (1998), ‘Testing for a unit root in variables with a double change in the mean’, Economic Letters 59(2): 813836.CrossRefGoogle Scholar
Courbage, C. (2014), ‘Saving motives and multivariate precautionary premia’, Decisions in Economics and Finance 37(2): 385391.CrossRefGoogle Scholar
Courbage, C. and Rey, B. (2007), ‘Precautionary saving in the presence of other risks’, Economic Theory 32(2): 417424.CrossRefGoogle Scholar
Denuit, M.M., Eeckhoudt, L., and Menegatti, M. (2011), ‘Correlated risks, bivariate utility and optimal choices’, Economic Theory 46(1): 3954.CrossRefGoogle Scholar
Dynan, K.E. (1993), ‘How prudent are consumers?’, Journal of Political Economy 101(6): 11041113.CrossRefGoogle Scholar
Eeckhoudt, L., Rey, B., and Schlesinger, H. (2007), ‘A good sign for multivariate risk taking’, Management Science 53(1): 117124.CrossRefGoogle Scholar
ENP (2004), ‘European Neighbourhood Policy overview’, Brussels: European Neighbourhood Policy, [available at] http://eeas.europa.eu/enp/.Google Scholar
EU (2006), ‘Development of the Mediterranean De-pollution Initiative: Horizon 2020’, European Commission Report, December, Athens, [Available at] http://ec.europa.eu/programmes/horizon2020/.Google Scholar
Fan, L., Hobbs, B.F., and Norman, C. (2010), ‘Risk aversion and CO2 regulatory uncertainty in power generation investment: policy and modeling implications’, Journal of Environmental Economics and Management 60(3): 193208.CrossRefGoogle Scholar
Fan, L., Norman, C., and Patt, A.G. (2012), ‘Electricity capacity investment under risk aversion: a case study of coal, gas, and concentrated solar power’, Energy Policy 34(1): 5461.Google Scholar
Fodha, M. and Zaghdoud, O. (2010), ‘Economic growth and pollutant emissions in Tunisia: an empirical analysis of the environmental Kuznets curve’, Energy Policy 30(2): 11501156.CrossRefGoogle Scholar
Friedl, B. and Getzner, M. (2003), ‘Determinants of CO2 emissions in a small open economy’, Ecological Economics 45 (1): 133148.CrossRefGoogle Scholar
Giles, J. and Yoo, K. (2007), ‘Precautionary behavior, migrant networks, and household consumption decisions: an empirical analysis using household panel data from rural China’, Review of Economics and Statistics 89(3): 534551.CrossRefGoogle Scholar
Gollier, C. (2003), The Economics of Risk and Time, Cambridge, MA: MIT Press.Google Scholar
Guariglia, A. and Kim, B.-Y. (2003), ‘The effects of consumption variability on saving: evidence from a panel of Muscovite households’, Oxford Bulletin of Economics and Statistics 65(3): 357377.CrossRefGoogle Scholar
Gürlük, S. (2009), ‘Economic growth, industrial pollution and human development in the Mediterranean region’, Ecological Economics 68(8): 23272335.CrossRefGoogle Scholar
Hahm, J.H. (1999), ‘Consumption growth, income growth and earnings uncertainty: simple cross–country evidence’, International Economic Journal 13(2): 3958.CrossRefGoogle Scholar
Hahm, J.H. and Steigerwald, D.G. (1999), ‘Consumption adjustment under time-varying income uncertainty’, Review of Economics and Statistics 81(1): 3240.CrossRefGoogle Scholar
Hall, R.E. (1978), ‘Stochastic implication of the life cycle–permanent income hypothesis: theory and evidence’, Journal of Political Economy 86(6): 971987.CrossRefGoogle Scholar
Heal, G.M. (1984), ‘Interaction between economy and climate: a framework for policy design uncertainty’, in Smith, V.K. and White, A.D. (eds), Advances in Applied Microeconomics, Volume 2, Greenwich, CT: JAI Press.Google Scholar
IAM (2012), ‘International Augmented Med (I AM)’, [Available at] http://www.iam-project.eu/.Google Scholar
Jablonski, S., Tarhini, M., Touati, M., Garcia, D.G., and Alario, J. (2012), ‘The Mediterranean Solar Plan: project proposals for renewable energy in the Mediterranean Partner Countries region’, Energy Policy 44: 291300.CrossRefGoogle Scholar
Jacobson, M.Z. and Delucchi, M.A. (2010), ‘Providing all global energy with wind, water, and solar power, Part I: technologies, energy resources, quantities and areas of infrastructure, and materials’, Energy Policy 39(3): 1140.Google Scholar
Kagiannas, A.G., Askounis, D.T., Anagnostopoulos, K., and Psarras, J. (2003), ‘Energy policy assessment of the Euro–Mediterranean Cooperation’, Energy Conversion and Management 44(16): 26652686.CrossRefGoogle Scholar
Karakosta, C. and Psarras, J. (2013), ‘Understanding CDM potential in the Mediterranean Basin: a country assessment of Egypt and Morocco’, Energy Policy 60: 827839.CrossRefGoogle Scholar
Karakosta, C., Doukas, H., and Psarras, J. (2010), ‘EU-MENA energy technology transfer under the CDM: Israel as a frontrunner?’, Energy Policy 38(5): 24552462.CrossRefGoogle Scholar
Keeler, K., Bolker, B.M., and Bradford, D.F. (2004), ‘Uncertain climate thresholds and optimal economic growth’, Journal of Environmental Economics and Management 48(1): 723741.CrossRefGoogle Scholar
Komendantova, N., Patt, A., Barras, L., and Battaglini, A. (2012), ‘Perception of risks in renewable energy projects: the case of concentrated solar power in North Africa’, Energy Policy 40: 103109.CrossRefGoogle Scholar
Kwiatkowski, D., Phillips, P.C.B., Schmidt, P., and Shin, Y. (1992), ‘Testing the null of stationarity against the alternative of a unit root: how sure are we the economic time series have a unit root’, Journal of Econometrics 54(1): 159178.CrossRefGoogle Scholar
Lyhagen, J. (2001), ‘The effect of precautionary saving on consumption in Sweden’, Applied Economics 33(5): 673681.CrossRefGoogle Scholar
MedSeA (2011), ‘European Mediterranean Sea acidification in a changing climate’, [Available at] http://medsea-project.eu/.Google Scholar
Menegatti, M. (2007), ‘Consumption and uncertainty: a panel analysis in Italian regions’, Applied Economic Letters 14(1): 3942.CrossRefGoogle Scholar
Menegatti, M. (2009a), ‘Precautionary saving in the presence of other risks: a comment’, Journal of Economics 39(3): 473476.Google Scholar
Menegatti, M. (2009b), ‘Optimal saving in the presence of two risks’, Journal of Economics 96(3): 277288.CrossRefGoogle Scholar
Menegatti, M. (2010), ‘Uncertainty and consumption: new evidence in OECD countries’, Bulletin of Economic Research 62(3): 227242.CrossRefGoogle Scholar
M'henni, H. (2005), ‘Economic development, adjustment and environmental quality: the case of Tunisia for a contingent valuation study’, New Medit 4(2): 36.Google Scholar
Morrison, D.F. (1967), Multivariate Statistical Methods, New York: McGraw-Hill.Google Scholar
MSSD (2005), ‘Mediterranean Strategy for Sustainable Development’, [Available at] http://www.unepmap.org/index.php?module=content2&catid=001017002001.Google Scholar
Perron, P. and Vogelsang, T. (1992), ‘Nonstationarity and level shifts with an application to purchasing power parity’, Journal of Business and Economic Statistics 10(3): 310320.Google Scholar
Pindyck, R.S. (2000), ‘Irreversibilities and the timing of environmental policy’, Resource and Energy Economics 22(3): 233260.CrossRefGoogle Scholar
Pindyck, R.S. (2002), ‘Optimal timing problems in environmental economics’, Journal of Economics Dynamics 26(9): 16771697.Google Scholar
Reiche, D. (2010), ‘Energy policies of Gulf Cooperation Council (GCC) countries – possibilities and limitations of ecological modernization in Rentier states’, Energy Policy 38(5): 23952403.CrossRefGoogle Scholar
Smulders, S. and Gradus, R. (1996), ‘Pollution abatement and long-term growth’, European Journal of Political Economy 12(3): 505532.CrossRefGoogle Scholar
Soretz, S. (2007), ‘Efficient dynamic pollution taxation in an uncertain environment’, Environmental and Resource Economics 36(1): 5784.CrossRefGoogle Scholar
Ulph, A. and Ulph, D. (1997), ‘Global warming, irreversibility and learning’, Economic Journal 107(442), 636650.CrossRefGoogle Scholar
UNEP/MAP (2004), Reference Handbook on Environmental Compliance and Enforcement in the Mediterranean Region, UNEP/MAP Technical Report Series No. 150, Athens, [Available at] http://www.unepmap.org/.Google Scholar
Wang, K.M. (2012), ‘Modeling the nonlinear relationship between CO2 emissions from oil and economic growth’, Economic Modelling 29(5): 15371547.CrossRefGoogle Scholar
Figure 0

Table 1. Descriptive statistics

Figure 1

Table 2. Unit root tests

Figure 2

Table 3. Euro–MED countries: GMM estimation of the regression model (24)

Figure 3

Table 4. Euro-Asian MED countries: GMM estimation of model (24)

Figure 4

Table 5. African-MED countries: GMM estimation of model (24)

Figure 5

Table 6. Estimation of relative risk aversion, relative prudence and relative preference for environmental quality