1. Introduction
Cochlear implants (CIs) are auditory prosthetic devices used to treat severe-to-profound sensorineural hearing loss in children (Akçakaya et al., Reference Akçakaya, Jayakody and Doğan2022). Research has shown that CIs can significantly help deaf children learn to communicate using spoken language. Thus, many parents seek CIs for their deaf children to improve their oral comprehension and expression skills (Geers & Nicholas, Reference Geers and Nicholas2013). Although deaf children with CIs gain hearing and begin to engage in spoken language communication, the deprivation of auditory input during early childhood poses a challenge to their acquisition of syntax. The sequential and rule-based nature of oral language input, along with the development of auditory cortical functions in the brain, provide a foundation for early childhood development of syntax (Sharma et al., Reference Sharma, Dorman and Spahr2002; Tomasello, Reference Tomasello2000). However, CI children precisely lack such a foundation.
Some researchers found that CI children lag behind their age-matched hearing peers in both vocabulary (Houston et al., Reference Houston, Stewart, Moberly, Hollich and Miyamoto2012) and grammar outcomes (Barajas et al., Reference Barajas, González-Cuenca and Carrero2016). For instance, children with CIs often produce more syntactic anomalies, use fewer function words (such as auxiliaries, conjunctions, and articles), and make more mistakes in morphological marking in their spoken language (Chilosi et al., Reference Chilosi, Comparini, Scusa, Orazini, Forli, Cipriani and Berrettini2013; Le Normand & Moreno-Torres, Reference Le Normand and Moreno-Torres2014). However, as most existing research tends to describe the deficits in their syntactic development, one question remains largely unresolved: How do CI children, or deaf children in general, acquire abstract syntactic representations? By addressing this question, we can better understand the language development of CI children and, in turn, provide improved intervention strategies. Therefore, our study focused on the development of abstract syntactic knowledge as well as relevant linguistic- and child-level influencing factors in CI children.
1.1. Syntactic priming paradigm and empirical studies on syntactic development
One particularly useful method for investigating the nature of children’s abstract syntactic representation is syntactic priming, whereby the processing of a specific syntactic structure increases the frequency of its use in subsequent discourse (Bock, Reference Bock1986). Syntactic priming is also ideal for examining syntactic development because priming effects are assumed to reflect common representations for both prime and target (Branigan & Pickering, Reference Branigan and Pickering2017). If syntactic priming is observed in the absence of shared lexical content or semantic content, the nature of that shared representation in many circumstances is argued to be abstract syntactic knowledge (Branigan & Pickering, Reference Branigan and Pickering2017).
Applying the syntactic priming paradigm, researchers primarily investigate whether and, if so, when children develop abstract syntactic knowledge. Most studies on this issue indicate that children aged 3- to 4-year old already possess abstract syntactic knowledge. In other words, abstract priming occurs without lexical overlaps between the prime and target sentences among 3- to 4-year-old children (Hsu, Reference Hsu2019; Huttenlocher et al., Reference Huttenlocher, Vasilyeva and Shimpi2004; Kumarage et al., Reference Kumarage, Donnelly and Kidd2022; Messenger, Reference Messenger2021; Messenger et al., Reference Messenger, Branigan and McLean2011; Shimpi et al., Reference Shimpi, Gámez, Huttenlocher and Vasilyeva2007). However, in recent years, researchers have found that lexical repetition is not the determinant for triggering abstract priming effects in children’s early grammar development but rather acts as a catalyst that enhances these effects. Specifically, when primes and targets share the same verbs, children exhibit a “lexical boost effect” during language production.
Supporting this effect is a longitudinal investigation of syntactic priming by Kumarage et al. (Reference Kumarage, Donnelly and Kidd2022), who found that children at 36 months showed abstract priming effect of passive structures. Although the abstract priming effect was not driven by lexical information, verb repetition could enhance the effect. Lexical boost effect emerged at around 48 months, which is relatively late, and increased in magnitude over time, while abstract priming effect appears to slightly decrease in magnitude over time. Kumarage et al. employed the well-known theory of implicit learning (Chang et al., Reference Chang, Dell and Bock2006, Reference Chang, Janciauskas and Fitz2012) to explain the existing findings. The model’s architecture has two pathways for influencing the prediction–production of each word: one that learns syntactic constraints and one that learns how to activate meaning elements (dual-path model, Chang et al., Reference Chang, Dell and Bock2006). The model does not use a single mechanism to explain both structural priming and the lexical boost. Structural priming is a consequence of the error-driven implicit learning process that drives syntactic development. Learning occurs when the model attempts to predict the next word at each point in a sentence. Any mismatch between the next word and the target word (the error) is used to adjust the model’s internal representations (Chang et al., Reference Chang, Dell and Bock2006). The lexical boost should be attributed to short-term activation of explicit memory traces (Chang et al., Reference Chang, Dell and Bock2006). The repeated content word serves as a cue to the memory of the prime and this biases the speaker to repeat its structure. Therefore, the theory of implicit learning predicts that abstract priming occurs at an early age in children (Kumarage et al., Reference Kumarage, Donnelly and Kidd2022). However, the lexical boost effect will not appear at an early age due to the immature memory capacity of young children (Finn et al., Reference Finn, Kalra, Goetz, Leonard, Sheridan and Gabrieli2016), which makes forming, storing, or extracting information difficult.
However, despite the dual-path model predicting the appearance of the later lexical boost effect in children, some researchers got the different conclusion. For instance, Rowland et al. (Reference Rowland, Chang, Ambridge, Pine and Lieven2012) primed participants (3–4-year olds, 5–6-year olds, and adults) with double objective (DO) and prepositional objective (PO) structures (DO were recorded as target responses). Results revealed a small but significant abstract structural priming effect across all age groups of children, while adding verb overlap between primes and targets increased the priming effect in adults but not in children. Similarly, Peter et al. (Reference Peter, Chang, Pine, Blything and Rowland2015) found no lexical boost effect in children of similar ages, nor did Foltz et al. (Reference Foltz, Thiele, Kahsnitz and Stenneken2015) among 4.0- to 5.9-year-old children with specific language impairments and in typically developing children during the production of prenominal sentences (with relative clauses serving as alternative primes). Obviously, current evidence for a lexical boost in children is mixed, which may indicate that the lexical boost effect is being modulated by factors beyond children’s age/working memory (WM) as argued by Kumarage et al. (Reference Kumarage, Donnelly and Kidd2022). In fact, there is currently a lack of direct evidence linking WM and the lexical boost effect.
Regardless, it is noteworthy that most existing research has selected one specific syntactic structure (such as DO in Rowland et al., Reference Rowland, Chang, Ambridge, Pine and Lieven2012, while PO served as the alternative priming condition) as response targets to investigate the development of children’s abstract syntactic knowledge. Very limited studies compared the development process across various structures. For children, the input frequency of different syntactic structures varies. For instance, the input frequency for active sentences surpasses that of passive sentences (Stromswold et al., Reference Stromswold, Eisenband, Norland and Ratzan2002), and 3- to 4-year-old children have greater language experience with PO structures compared to DO structures (Noble et al., Reference Noble, Rowland and Pine2011; Rowland et al., Reference Rowland, Chang, Ambridge, Pine and Lieven2012), reflecting to some extent the long-term effects of environmental exposure (Kidd & Donnelly, Reference Kidd and Donnelly2020).
Syntactic structures with varying input frequencies may result in different priming effects. According to the implicit learning theory, the less preferred structure triggers a stronger prediction error, which in turn leads to a relatively greater bias toward the less preferred structure during the production of the target sentence (Chang et al., Reference Chang, Dell and Bock2006). In adult studies, this phenomenon is termed the inverse preference effect (Bernolet & Hartsuiker, Reference Bernolet and Hartsuiker2010; Segaert et al., Reference Segaert, Wheeldon and Hagoort2016). However, no research has yet compared the priming effects of syntactic structures with varying input frequencies in children. In addition, the lexical boost effect in different syntactic structures remains unexplored. Actually, we cannot rule out the possibility that the lexical boost effect may vary across different syntactic structures. When the input frequency of a syntactic structure is higher, its representation may become stronger, allowing it to more easily connect with explicit memory cues (i.e., repeated verbs). Hence, in studies of syntactic priming in children, it is crucial to account for differences in the input frequency of syntactic structures (Rowland et al., Reference Rowland, Chang, Ambridge, Pine and Lieven2012). This not only aids in further validating the theory of implicit learning but also advances our understanding of how syntactic representations with varying input frequencies develop in children.
1.2. Chinese sentence structures and their development
Unlike English, Chinese lacks direct cues to identify syntactic constructions and primarily conveys syntactic features through word order and function words (Bender, Reference Bender2000; Tian, Reference Tian2003; Ting, Reference Ting1998). In this context, the distinctive word order in Chinese (also known as special sentence patterns) has become a central focus for researchers when studying syntactic issues (Hao et al., Reference Hao, Chondrogianni and Sturt2024; Huang et al., Reference Huang, Zheng, Meng and Snedeker2013; Zhou & Ma, Reference Zhou and Ma2018). Among these, BA and BEI sentences are most prominent in studies on children’s syntactic development (Deng et al., Reference Deng, Mai and Yip2018; Hao et al., Reference Hao, Chondrogianni and Sturt2024), and the differences among BA, BEI, and even subject-verb-object (SVO) structures provide a useful entry point for our research.
Examples (1), (2), and (3) illustrate respectively the simplest type of SVO, BA, and BEI structure alternations. Like English, sentences in Chinese are canonically realized in the sequence of SVO. BA (SbaOV) is a structure unique to Mandarin and does not exist in English (Hao et al., Reference Hao, Chondrogianni and Sturt2024). BEI (ObeiSV) sentences are considered passive (Huang et al., Reference Huang, Zheng, Meng and Snedeker2013). Both BA and BEI could be produced as alternative structures of SVO sentences, but as unpreferred structures, their input frequencies are significantly lower compared to SVO sentences. Of the two, BEI’s input frequency is lower than BA’s (Deng et al., Reference Deng, Mai and Yip2018; Hao & Chondrogianni, Reference Hao and Chondrogianni2023).

The acquisition of the BA and BEI has been examined in Mandarin-speaking preschoolers but most focusing on comprehension (Hao et al., Reference Hao, Chondrogianni and Sturt2024; Hao & Chondrogianni, Reference Hao and Chondrogianni2023; Huang et al., Reference Huang, Zheng, Meng and Snedeker2013; Huang & Ovans, Reference Huang and Ovans2022; Zhou & Ma, Reference Zhou and Ma2018). Two groups of researchers investigated the production of BA and BAI structures but reached controversial conclusions regarding potential differences across the two structures. First, Deng, Mai, and Yip (Reference Deng, Mai and Yip2018) conducted an analysis of naturalistic child corpus coupled with a diary analysis, showing an early production of the BEI and the BA around the age of two in naturalistic contexts. Interestingly, the BEI was produced 2 months earlier than the BA.
Using syntactic priming paradigms, Hao et al. explored the production of BA and BEI both in Mandarin-English heritage speakers and Mandarin-speaking monolingual children aged 5–9 years (Hao et al., Reference Hao, Chondrogianni and Sturt2024; Hao & Chondrogianni, Reference Hao and Chondrogianni2023). When the monolingual group was primed to the same extent by BA- and BEI-primes, the priming magnitude was stronger after BA-primes than after BEI-primes for the heritage group. These studies suggest differences in BA and BEI production among children of varying ages or language backgrounds. Nonetheless, till now, research on Chinese syntactic production in preschoolers is still quite limited, with these studies not only inconclusive but also failing to explore the role of lexical information.
1.3. CI children’s syntactic development and individual differences
Although prior research provides valuable findings on the syntactic development of children, the aforementioned studies, including those from Chinese and Indo-European languages, focused on typically hearing children. Few studies have directly explored abstract syntactic knowledge in deaf children, whose early hearing loss and absence of language environment led to significant differences in brain function from typically hearing children (Hossain et al., Reference Hossain, Raghunandhan, Kameswaran and Ranjith2013). Moreover, speech training after cochlear implantation creates a different language acquisition environment for them (Geers & Nicholas, Reference Geers and Nicholas2013). Therefore, it is worth investigating whether CI children can develop syntax as effectively as typically hearing children under different brain bases and language environments, and what factors influence their development. On the one hand, as mentioned earlier, research in this area can advance our understanding of syntactic development in CI children, leading to effective measures to promote their oral development. On the other hand, previous theories of syntactic development have focused on typically hearing children, however, whether the theories can explain the syntactic development of CI children remains unclear. Therefore, this study will investigate the syntactic development of CI children while considering the role of lexical information and differences in syntactic structures. In addition, we will focus on child-level factors (introduced below) that affect the syntactic development of CI children.
Shifting to individual differences in abstract prime effects, several factors besides age, lexical information, and input frequency may influence syntactic priming magnitude. Kidd and Donnelly (Reference Kidd and Donnelly2020) summarized many individual difference variables related to children’s syntactic development, including linguistic and extra-linguistic cognitive skills, such as vocabulary, memory, executive function, and statistical learning. Among these, memory, and in particular WM, has been extensively investigated in the context of abstract syntactic representation (Foltz et al., Reference Foltz, Thiele, Kahsnitz and Stenneken2015; Kidd & Donnelly, Reference Kidd and Donnelly2020). Foltz et al., for instance, found that the abstract priming effect is modulated by WM in children aged 4.0 to 5.9 years (Foltz et al., Reference Foltz, Thiele, Kahsnitz and Stenneken2015). Moreover, the implicit learning theory predicts WM may influence the lexical boost effect (Chang et al., Reference Chang, Janciauskas and Fitz2012), thus marking WM as a critical factor of interest.
Another concerning factor is verbal comprehension (VC), the ability to understand spoken language (Syeda & Climie, Reference Syeda and Climie2014). This skill has not received widespread attention in previous studies on typically hearing children, yet it holds significant value for CI children. Although a strong correlation between comprehension and production usually exists for hearing children (Clark & Hecht, Reference Clark and Hecht1983), CI children’s verbal comprehension ability is severely limited due to early hearing loss (Harris, Reference Harris, Marschark and Spencer2010). Therefore, can “comprehension” and “production” establish an effective connection? Exploring this question can advance our understanding of cross-modal language associations in CI children.
1.4. The present study
Using the syntactic priming paradigm, Chinese SVO, BA and BEI structures were employed as primes with an additional baseline condition included. Baseline sentences adopt an intransitive structure using a prepositional phrase (e.g., 小鸟掉进了河里, Xiaoniao Diaojin le Heli. “The bird fell into a river.”) that cannot be transformed into other structures such as BA or BEI (similar to “The man jumps” in the study by Segaert et al. (Reference Segaert, Wheeldon and Hagoort2016) on adults). The purpose of setting a baseline prime is to measure the baseline frequency of producing SVO, BA and BEI transitives when not primed by a transitive sentence and provide an indicator for an objective comparison of priming effects, offering a pathway to investigate the inverse preference effect (Segaert et al., Reference Segaert, Wheeldon and Hagoort2016). The lexical boost effect was investigated by repeating a verb or not. To further examine whether the difference between CI children and their age-matched peers was due to differences in cognitive skills, a third group of cognitive-matched peers was included as a control. Finally, age, WM, and VC were recorded as modulating factors to reveal the individual differences in the structural priming of CI children. With this design, we addressed three main research questions: (1) Do CI children demonstrate abstract syntactic representation across different syntactic structures and can verb repetition enhance this process; (2) Do CI children differ from age- and cognitive-matched peers regarding the presence of structural priming and lexical boost effects; and (3) Can age, WM, and VC modulate CI children’s abstract priming effect and/or lexical boost effect?
Given the limited research on early syntactic development of CI children, we draw upon findings from studies involving typically hearing children (Hao et al., Reference Hao, Chondrogianni and Sturt2024; Hao & Chondrogianni, Reference Hao and Chondrogianni2023; Kumarage et al., Reference Kumarage, Donnelly and Kidd2022) and children with specific language impairments (Foltz et al., Reference Foltz, Thiele, Kahsnitz and Stenneken2015) to inform our hypotheses. We predict that CI children aged 4–7 years will acquire abstract syntactic representation in the same way as their typically hearing counterparts. All three syntactic structures are expected to produce abstract priming effects. However, based on implicit learning theory (Chang et al., Reference Chang, Dell and Bock2006), where the more preferred syntactic alternative causes weaker overall priming compared to less preferred structures, we anticipate that, relative to the baseline condition, the priming effect will be smallest for SVO prime sentences and largest for BEI primes. In addition, we anticipate that verb repetition may exhibit the lexical boost effect, albeit possibly moderated by WM and/or age. Finally, we predict that WM and VC will correlate positively with the magnitude of the priming effect, suggesting that CI children with better WM or verbal comprehension capacity demonstrate larger priming effect.
2. Method
2.1. Subject
Twenty-eight children with CIs who grew up in monolingual Chinese households (15 boys) participated in this experiment. None had any known nonverbal learning or other disabilities but were presumed deaf from birth and received CI around the age of 2.0 years (from 1.5 to 3.2 years). The parents of one CI child are deaf, but this child was raised primarily by her hearing grandparents. The other CI children’s parents are hearing individuals. Therefore, all CI children had little exposure to sign language or informal sign communication before the cochlear implantation. They were educated in the Hearing and Speech Rehabilitation Center for deaf students in a city in China and received language instruction in oral Chinese.
Two control groups totaling 58 children with typical hearing were recruited from a kindergarten in a city in China. All were monolingual Chinese speakers with no identified language delay or other disorders. Group I consisted of 29 children (16 boys) who were matched in age with the CI children, while Group II comprised 29 children (14 boys) who were matched in cognitive ability with the CI children. Specifically, children with typical hearing in the age-control group were of similar ages to the CI children (t = 0.93; p = .35), but their cognitive abilities, including verbal comprehension, visual spatial (VS), WM, fluid reasoning (FR), and processing speed (PS), were better (ts > 2.63, ps < .05). Children in the cognitive-control group were matched with CI children in VC, VS, WM, FR, and PS (ts < 1.33, ps > .19) but were younger (t = 6.69; p < .001). Table 1 presents detailed information for each group of children.
Table 1. Descriptive statistics of each cognitive skill for each group

All children were tested at their centers/schools, and parents gave permission for their children to participate in the study, which was approved by the Ethics Committee of authors’ University.
2.2. Measurements
The Wechsler Preschool and Primary Scale of Intelligence-Fourth Edition (WPPSI-IV; Wechsler, Reference Wechsler2012) is a comprehensive clinical tool used to assess children’s cognitive functioning. Two versions are available, one for children aged 2.6 to 3.11 years and one for 4.0 to 7.7 years. The present study adopted the latter, i.e., the WPPSI-IV for older children, which includes fifteen subtests, six of which were selected to measure five primary indexes of cognitive abilities: VC, VS, WM, FR, and PS.
The information and similarities subtests are both components of the VC index. Each subtest assesses different aspects of verbal comprehension. In the information subtest, the child is asked general knowledge questions on topics such as everyday objects, nature, people, and common events. These questions are based on information typically learned through day-to-day experiences and early education (e.g., How old are you?). In the similarity subtest, the child is presented with two objects or concepts and is asked how they are alike (e.g., How are a dog and a cat alike?). This promotes verbal reasoning based on their comprehension of the questions.
VS was measured using object assembly, in which the examinee assembled scattered puzzle pieces into a specific object (e.g., a tree) within 90 seconds. WM was assessed using picture memory, in which the examinee was briefly shown some images and then chose any images they had previously seen from a new group of pictures. FR was measured using matrix reasoning, in which the examinee completed an unfinished pattern of geometric figures. Finally, PS was assessed using bug search, in which the examinee was shown one or two target images (i.e., a cartoon bug) and then asked to state whether a matching image exists in another set of pictures. For all subtest level performances of both age bands, the average reliability coefficient values ranged from acceptable (.75) to excellent (≥ .90) (Syeda & Climie, Reference Syeda and Climie2014). In the present study, raw scores are reported for all tests.
2.3. Experimental design and materials
We used a 3 × 4 × 2 mixed factorial design with group (CI children vs. age-matched group vs. cognitive-matched group) as a between-participants variable, and prime type (SVO vs. BA vs. BEI vs. Baseline) and verb repetition (same vs. different verb) as within-participants variables. Ninety-six prime-target animation pairs were created for the study (48 pairs each for the same and different verbs). Figure 1 presents examples of the three prime-target pairs for the same verb, different verb, and baseline conditions. Each animation consists of three parts: the animate agent, the verb, and the inanimate patient.

Figure 1. Examples of prime-target animation pair.
The target sentences employed 48 transitive verbs that could be used in SVO, BA, or BEI structures. For example, in describing the target picture in Figure 1, a pragmatically appropriate grammatical response could be “The tiger pulled out the tooth,” “The tiger ba the tooth pulled out,” or “The tooth bei the tiger pulled out.” There were four types of primes: SVO, BA, BEI, and baseline. To ensure that young children would understand the experimental materials, 51 kindergarten teachers, including some from the Hearing and Speech Rehabilitation Center, evaluated whether children aged 4–7 years could comprehend the words. With an average evaluation score of 4.12 on a Likert 5-point scale (5—fully understand, SD = 0.13), results indicated that children would understand the selected materials.
To prevent the same participant from encountering the same animation more than once, since SVO, BA, and BEI share the same targets, three experimental lists were created for either the same or the different verb condition. Each list for each verb situation contained the 36 experimental targets, with each target paired with one of the three primes (SVO, BA, and BEI) equaling 12 primes per condition. The prime-target pairing was rotated across the lists according to the Latin square design to exhaust all possible pairings. Baseline prime-target animation pairs were added to each list as fillers and as the baseline condition. Therefore, each list contained 48 trials, which were further divided into four blocks of 12 trials.
The same- and different-verb trials were divided into two sessions separated by a 2-week or more hiatus. Nearly half of the children first completed the same-verb session, while the other half first completed the different-verb session.
2.4. Procedure
The experiment was conducted in a ventilated room in the kindergarten at the children’s school with each child was tested individually by trained staff and graduate student research assistants, all of whom had prior experience working with school-age children. The animations used in the study were presented on a laptop computer. To familiarize participants with the images and kinds of drawings that would be used in the study, each child was first shown a set of pictures of the characters or animals, which most recognized and could name without prompting.
After the familiarization phase, each child was informed that they would play an animation game requiring them to describe each animation in turn. Prior to the experimental trials, each child completed four practice trials (one for each condition) to familiarize them with the procedure. During the practice trials, the experimenter showed and described an animation, and the child was asked to repeat the experimenter’s sentence. Next, the child was presented with a new animation and asked to describe it with their own sentence. Practice trials were not reused in the experimental session. Following the practice session, the experimental lists were presented. Similarly, the experimenter and the child would take turns describing all of the animations in each list.
2.5. Coding
A total of 4,128 sentences were produced for the same verb and different verb conditions. The target sentences were coded according to the scoring criteria typically used in adult research (Branigan & McLean, Reference Branigan and McLean2016). A target description was scored as an SVO if it was a complete sentence that provided an appropriate description of the transitive event in the target animation (i.e., it included an appropriate verb and appropriate nouns); contained a subject bearing the agent role, a verb, and a direct object bearing the patient role; and could be expressed in an alternative form (i.e., BA or BEI). A target description was coded as a BA if it was a complete sentence that appropriately described the animation’s event; contained a subject bearing the agent role, the preposition “BA,” an object bearing the patient role, and a main verb; and could be expressed in an alternative form (i.e., SVO or BEI). A target description was scored as a BEI if it was a complete sentence that appropriately described the animation’s event; contained a subject bearing the patient role, the preposition “BEI,” an object bearing the agent role, and a main verb; and could be expressed in an alternative form (i.e., SVO or BA).
Target sentences were eliminated as unscorable if (1) either the child or examiner spoke during the period between the presentation of the prime and the production of the target; (2) improper word order, missing elements, and improper collocation were considered syntactic errors; or (3) the child’s choice of verb indicated a lexical retrieval error (e.g., “run the book” instead of “read the book”). Finally, 0.4% of same-verb trials and 0.1% of different-verb trials were excluded from further analyses.
2.6. Data analysis
As the response data were categorical (SVO, BA, or BEI responses), they were analyzed in logit mixed-effects models in R using the lme4 package (Bates et al., Reference Bates, Mächler, Bolker and Walker2014). Separate analyses were run for SVO, BA, and BEI responses since the general linear mixed model predicted the likelihood of a response given a binary choice. We first established the mixed-effects models for SVO responses, which were coded as 1, with BA and BEI responses coded as 0. Similarly, we constructed the mixed-effects models for BA and BEI responses, with BA and BEI responses coded as 1, and the others as 0.
Data analyses were conducted at two levels. At the first level, to explore the abstract priming effect, the lexical boost effect and group differences, prime type, group, and verb repetition were included in the model as fixed factors, with prime type and group entered via simple effect coding. For the predictor of prime condition, we treated the baseline condition as a reference level while the three predictor levels represented contrasts between that baseline level and each of the three remaining levels. For group, CI children was treated as a reference level while the two predictor levels represented contrasts between CI children and each group of hearing children.
At the second level, only CI children’s data were analyzed to reveal the possible individual differences in CI children’s syntactic development. Prime type and verb repetition were kept as fixed variables in the model, with age, WM, and VC as modulating factors. The VC score was obtained by adding the scores from information and similarity while WM capacity was accessed through the score based on picture memory in the WPPSI-IV. However, considering the medium-to-high correlations between age and VC (r = .59, p < .001), age and WM (r = .38, p < .001), and VC and WM (r = .51, p < .001), we incorporated each predictor (i.e., age, VC and WM) into the model individually.
For all analyses, we employed the maximal random effects structure justified by the design (Barr et al., Reference Barr, Levy, Scheepers and Tily2013). Specifically, we included the by-subject and by-item random intercepts as well as random slopes for all main effects and interactions in the fixed model. Where maximal models did not converge, the random slope structure was simplified by first removing higher-order terms that explained the least variance until the model converged (Barr et al., Reference Barr, Levy, Scheepers and Tily2013). Likelihood-ratio tests showed significant differences between the fitted model and the null model for SVO, BA, and BEI responses (all χ2 > 20.66, ps < .005), indicating that the fitted model fit the data well (Brown, Reference Brown2021). GLMM results show that the optimal fitting models include all fixed factors (i.e., group, prime type, verb repetition, and their interactions) and random intercepts, as well as some of the random slopes for subjects and items in each response context (see Supplementary Appendix A).
3. Results
3.1. Results of structural priming, lexical boost effect and group comparisons
Table 2 and Figure 2 summarize the observed proportions of SVO, BA, and BEI target responses in each experimental condition for CI children and two control groups. Overall, SVO, BA, and BEI structures appear to have generated priming effects in children across all groups. Next, we have distinguished each type of responses to present the specific effects. Structural priming was evidenced if there was a higher proportion of SVO, BA, or BEI responses following their corresponding prime, compared to responses following other types of primes. A lexical boost effect was observed when the structural priming effect was larger in the same verb condition than in the different verb condition.
Table 2. Observed proportions of SVO, BA, and BEI target responses for each prime structure under the same and different verb conditions for CI children and two control groups.

Note. The data in parentheses represent the absolute number reported.

Figure 2. Mean proportions of observed responses following SVO, BA, and BEI primes under the same- and different-verb conditions by three participant groups. Bars indicate standard errors for proportions calculated by condition.
Results of SVO responses
For SVO responses, the main effect of prime type was significant (χ2 = 804, df = 3, p < .001). The ratio of SVO responses under the SVO prime was significantly higher than the baseline (β = 0.38, SE = 0.13, z = 2.89, p = .020), BA (β = 3.09, SE = 0.12, z = 24.89, p < .001) and BEI prime types (β = 1.99, SE = 0.11, z = 18.30, p < .001), indicating that there was a structural priming effect; the participants produced more SVO responses after SVO primes than after the other types of primes. The main effect of group was also significant (χ2 = 28, df = 2, p < .001). The proportion of SVO responses was higher for CI children than for the cognitive-matched group (β = 0.45, SE = 0.11, z = 4.22, p < .001) and the age-matched group (β = 0.50, SE = 0.11, z = 4.55, p < .001). No significant difference occurred between the cognitive-matched and age-matched groups (β = 0.053, SE = 0.12, z = 0.45, p = .896). This suggests that, overall, CI children produced a higher production proportion of SVO structures compared to hearing children.
The two-way interaction between prime type and group was significant (χ2 = 17.57, df = 6, p = 0.007). The three-way interaction among prime type, group, and verb repetition was marginally significant (χ2 = 12.22, df = 6, p = .057). To explore the three-way interaction produced by the model, we fitted separate models to each children group. The interaction between prime type and verb repetition was significant in the CI group (χ2 = 7.07, df = 3, p < .001) and age-matched group (χ2 = 3.31, df = 3, p = .019) but not in the cognitive-matched group (χ2 = 0.88, df = 3, p = .469). Table 3 presents pairwise comparisons between the SVO prime condition and each of the other three prime conditions for SVO target responses. As shown in Table 3, regardless of verb repetition, the SVO priming condition produced a priming effect across all three groups of children compared to the BA and BEI prime conditions. However, the lexical boost effect from verb repetition was observed only in CI children. The difference between the SVO prime and baseline was significant in the same verb context, but not in the different verb context, specifically observed in CI children only. These findings indicate verb repetition significantly enhanced the SVO target response of CI children under the SVO priming condition.
Table 3. Critical pairwise comparisons for SVO and BA target responses for CI children and two control groups under the same and different verb conditions

Results of BA responses
For BA responses, the main effect of prime type was significant (χ2 = 728, df = 3, p < .001). The ratio of BA structure responses under the BA prime was significantly higher than that of the baseline (β = 2.68, SE = 0.12, z = 21.58, p < .001), SVO (β = 3.06, SE = 0.13, z = 24.39, p < .001) and BEI primes (β = 2.23, SE = 0.11, z = 20.84, p < .001), indicating that there was a structural priming effect; the participants produced more BA responses after BA primes than after the other types of primes. The main effect of group was also significant (χ2 = 31.24, df = 2, p < .001). The average response ratio of the BA structure was lower for CI children than for the cognitive-matched (β = 0.50, SE = 0.10, z = 4.73, p < .001) and age-matched groups (β = 0.51, SE = 0.11, z = 4.65, p < .001). No significant difference occurred between the cognitive-matched and age-matched groups (β = 0.01, SE = 0.12, z = 0.08, p = .996). This indicates that, overall, CI children produced a lower production proportion of BA structures compared to hearing children.
Again, the two-way interaction between prime type and group was significant (χ2 = 26.67, df = 6, p < 0.001). The three-way interaction among prime type, group, and verb repetition was also significant (χ2 = 14.49, df = 6, p = .024). Similarly, to explore the three-way interaction produced by the model, we fitted separate models to each child group. Prime type significantly interacted with verb repetition in the CI group (χ2 = 7.06, df = 3, p < .001) but not in the age-matched (χ2 = 2.08, df = 3, p = .099) or cognitive-matched groups (χ2 = 1.20, df = 3, p = .307). Table 3 shows the pairwise comparisons between the BA prime condition and each of the other three prime conditions for BA responses. As given in Table 3, regardless of verb repetition, the BA prime elicited a significant priming effect across all three groups of children, suggesting all children exhibited the abstract priming effects. However, when the same verb was used, the structural priming effect of the BA prime was more prominent for CI children compared to when different verbs were used. This difference was not observed in the two groups of hearing children, indicating that only CI children exhibited the lexical boost effect.
Results of BEI responses
For BEI responses, the main effect of prime type was significant (χ2 = 311, df = 3, p < .001). The ratio of BEI structure responses under the BEI prime condition was significantly higher than under the baseline (β = 4.44, SE = 0.39, z = 11.49, p < .001), SVO (β = 4.89, SE = 0.45, z = 10.87, p < .001) and BA prime condition (β = 4.37, SE = 0.42, z = 10.26, p < .001). Separating the data into three groups, similar results were found (Fs > 38.49, ps < .001). The ratio of BEI structure responses under the BEI prime condition was higher than the baseline, SVO and BA conditions for both the same and different verb conditions (ps < .001), indicating that the BEI structure also elicited the structural priming effect. However, we did not find a main effect of group (p > 0.6), indicating no significant differences in the production proportion of BEI structures among the three groups of children.
However, although all two-way and three-way interaction were not significant; after observing the data, we found a salient difference in the response ratio of BEI structures between same verb and different verb context for CI and age-matched children. Further analysis revealed that, for the CI group, the difference in BEI responses under the BEI prime between same verb and different verb context was marginally significant (β = 0.69, SE = 0.23, z = 2.99, p = .056), while the difference for hearing children was not significant (ps > .30). These findings may suggest that verb repetition has a tendency to increase the priming effect of BEI structures for CI children.
Inverse preference effect
To investigate the inverse preference effect, we separately report the priming effects of SVO, BA, and BEI structures under the condition of different verbs (excluding the influence of verb repetition) compared to the baseline condition (Segaert et al., Reference Segaert, Wheeldon and Hagoort2016). The results showed that the SVO response in the SVO priming condition did not significantly differ from the baseline across all three groups of children (ps = 1.0). However, the BA response in the BA priming condition showed a significant difference from the baseline (CI Children: β = 2.59, SE = 0.25, z = 10.41, p < .001; Cognitive-matched group: β = 2.56, SE = 0.26, z = 10.07, p < .001; Age-matched group: β = 2.69, SE = 0.28, z = 9.57, p < .001). Similarly, the BEI response in the BEI priming condition also significantly differed from the baseline (CI Children: β = 4.34, SE = 1.01, z = 4.28, p < .001; cognitive-matched group: β = 4.68, SE = 1.02, z = 4.58, p < .001; age-matched group: β = 4.44, SE = 1.01, z = 4.36, p < .001). Compared to the effect size of BA priming effect (β: 2.59, 2.56, 2.69 for CI, cognitive-, and age- matched groups, respectively), that of BEI priming effect was slightly larger (β: 4.34, 4.68, 4.44 for CI, cognitive-, and age- matched groups, respectively) (Segaert et al., Reference Segaert, Wheeldon and Hagoort2016). These findings suggest that the higher the input frequency of a syntactic structure, the smaller the priming effect, indicating the occurrence of an inverse preference effect.
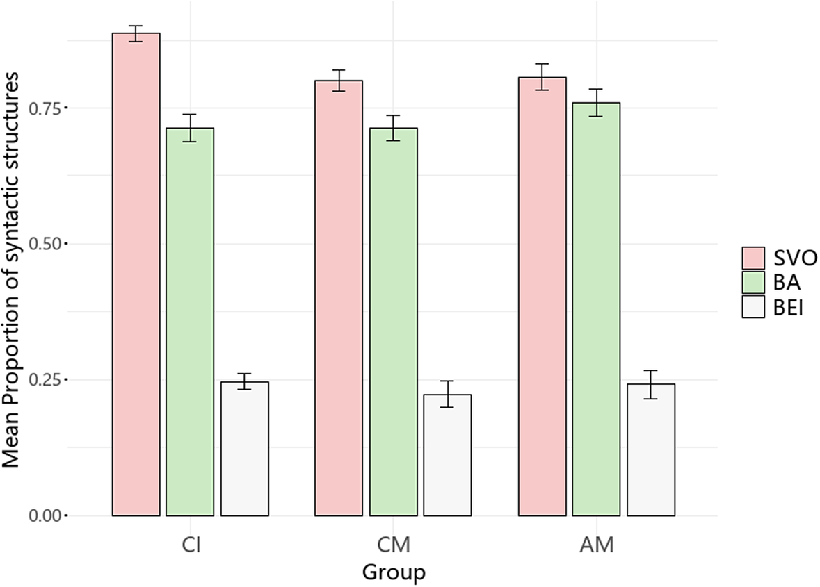
3.2. Comparison of production proportion across three syntactic structures
Figure 3 presents the mean production proportion (by averaging the same and different verb levels) for SVO, BA, and BEI prime conditions, respectively in three groups. A repeated ANOVA was conducted with group (CI, cognitive-matched, and age-matched children) and prime type (SVO, BA, and BEI) as independent variables, and production proportion as the dependent variable. Results revealed the significant main effect of prime type (F(2, 166) = 866, p < .001, η 2p = 0.913) and the significant interaction between group and prime type (F(4, 166) = 3.0, p = .02, η 2p = 0.067). Further analysis revealed that in both cognitive-matched and CI children, the production proportion varied across the three structures, with the proportion for SVO being the highest, BEI the lowest, and BA in between, all ps < .05. For age-matched group, the proportion difference between SVO and BA was not significant (p = .265), but both was larger than that for BEI (ps < .001).

Figure 3. Mean production proportion of each structure under SVO, BA and BEI prime conditions respectively in CI children and two control groups (CM: cognitive-matched; AM: age-matched).
3.3. Individual differences in priming among CI children
We examined whether CI children’s age, VC and WM could predict their tendency to produce an SVO, BA, or BEI after each prime type, and whether they associated with the lexical boost effect. Results showed that only WM capacity modulated the tendency that CI children produced BA after BA primes (β = 0.44, SE = 0.21, z = 2.14, p = .032), indicating CI children’s WM is associated with the magnitude of their BA priming effect. The abstract priming effect of SVO and BEI was not associated with age, WM, and VC (ps > .05). Furthermore, we did not find any modulation of the lexical boost effect by age, WM, or VC. Two-way interaction between age (WM or VC) and verb repetition, as well as three-way interaction among prime type, verb repetition, and age (WM or VC), were not significant (ps > .10).
4. Discussion
The present study explored the development of abstract syntactic knowledge in CI children, focusing specifically on differences in various syntactic structures, the role of lexical information, and individual differences. Results showed that both CI and typically hearing children exhibited structural priming for SVO, BA, and BEI after they comprehended and repeated the prime sentence regardless of verb repetition. However, the overall production proportion varied across the three structures. Verb repetition enhanced the structural priming effect of CI children but not typically hearing children, and the lexical boost effect was more significant in SVO and BA compared to BEI structures. WM was found to modulate the priming magnitude of BA, but not SVO and BEI, in CI children.
4.1. Abstract priming effect and lexical boost effect
First, both CI children and hearing children exhibited structural priming effects regardless of verb repetition. This indicates that CI children aged 4–7 years can effectively acquire abstract syntactic knowledge, similar to their hearing peers. In addition, the abstract priming effect did not vary with the age of CI children, suggesting relative stability in the development of abstract syntactic representations in CI children. This slightly differs from the results of Kumarage et al. (Reference Kumarage, Donnelly and Kidd2022), where the abstract priming effect appears to slightly decrease in magnitude over time. This could be because the children in our study are older, leading to no age-biased abstract priming effect. Nevertheless, our findings do support the error-based learning mechanism in that prime structures with low input frequency (BA and BEI) exhibit a larger abstract priming effect as compared to that with high input frequency (SVO) in all child groups. As predicted by the implicit learning theory, primes that contained the disfavored type of embedded clause would be associated with greater prediction error and hence more weight change. This leads to a relatively greater bias toward the disfavored structure when the target sentence is produced (Chang et al., Reference Chang, Dell and Bock2006, p. 255).
However, what is particularly interesting is that regarding the lexical boost effect, we did not find age and WM to moderate it. The lexical boost effect was absent in both groups of typically hearing children, despite differences in age and WM between the two groups. In CI children, no moderation of the lexical boost effect by age and WM was observed. This is somewhat different from the predictions of the implicit learning theory (Chang et al., Reference Chang, Janciauskas and Fitz2012), in which the lexical boost effect is expected to increase with age, more precisely, it increases as WM capacity strengthens. Given that only CI children exhibited the lexical boost effect, we explained this by strengthening the retrieval cue of explicit memory from the perspective of the language training CI children receive. After receiving cochlear implantation, CI children enter rehabilitation centers where special language training courses focus on their oral development, starting with vocabulary generation that requires them to learn daily with language trainers. This course enhances CI children’s sensitivity to lexical input and strengthens the cue of explicit memory trace, thereby exhibiting the lexical boost effect, particularly when the activation of abstract syntactic representation is also stronger (such as SVO and BA structures).
This suggests that the lexical boost effect may be linked not only to WM capacity but also to children’s sensitivity to cues and the strength of those cues. In other words, if lexical input is sufficiently robust, including more lexical overlaps or stronger semantic cues, the lexical input would effectively enhance the abstract syntactic priming, and then exhibit the lexical boost effect. However, a process of inference is involved, and future research needs to directly manipulate Children’s sensitivity to cues or the strength of lexical input to observe the lexical boost effect in syntactic priming. Nonetheless, the present study at least suggests that, due to changes in the postnatal language environment, the role of lexical information in children’s syntactic development will also change accordingly.
4.2. Structural differences and individual differences in priming among CI children
Different syntactic structures exhibit variations in input frequency, raising the question of whether this difference results in varying performance in production. The answer is yes since the production proportion varies among SVO, BA, and BEI, despite all three structures showing the abstract priming effect. In three groups of children, the production proportion was highest for SVO and lowest for BEI. This is consistent with our prediction and input frequency account (Kidd & Donnelly, Reference Kidd and Donnelly2020). However, in CI children, the difference in production proportion between SVO and BA was significant, whereas in the age-matched hearing children, this difference was nonexistent. This indicates that CI children lag behind their typically hearing peers in the development of BA structures (Barajas et al., Reference Barajas, González-Cuenca and Carrero2016).
Notably, though, compared to SVO and BA, the overall priming level of BEI is extremely low (see Figure 3), indicating that the development of the BEI structure is still quite limited. On the one hand, as mentioned earlier, this may be due to BEI’s lower input frequency. However, even though the input frequency of BA is also relatively low, its priming effect is not small and is, in fact, greater than that of BEI. Therefore, another possibility may be involved: namely, that the reversal of the agent and patient in the BEI sentence makes it difficult for children to grasp the subject. Some researchers assumed passives are derived from initial representations of their active counterparts, followed by a movement operation that raises sentence objects into the subject position (Borer & Wexler, Reference Borer, Wexler, Roeper, Wexler and Williams1987, Reference Borer and Wexler1992; Wexler, Reference Wexler2005). This operation is particularly challenging for younger children, especially preschoolers (Borer & Wexler, Reference Borer, Wexler, Roeper, Wexler and Williams1987, Reference Borer and Wexler1992) and can lead to difficulties in producing BEI sentences. Similarly, we speculate that the lack of a modulating effect of WM on BEI sentences may also be due to CI children’s lower proficiency in producing passive sentences, reflecting a floor effect and thus insensitivity to various modulating variables.
As for the absence of WM modulation on SVO structures, we interpret this from the perspective of “Overregularization in language acquisition” (Marcus et al., Reference Marcus, Vijayan, Bandi Rao and Vishton1999). Some researchers argue that the process of syntactic acquisition in children involves an overregularization effect. As children receive more syntactic input, they adjust their sentence production according to the frequency of this input (Bybee, Reference Bybee2006). This tendency leads to a preference for active sentences and a decline in the use of passive sentences. For example, Bever (Reference Bever and Hayes1970) found that children aged 3- to 3.5-year old could understand passive sentences well but slightly older children could not. Similarly, Deng et al. (Reference Deng, Mai and Yip2018) observed that children around 2 years old produced BEI sentences relatively earlier than BA, but this difference was not found in older children (Hao et al., Reference Hao, Chondrogianni and Sturt2024; Hao & Chondrogianni, Reference Hao and Chondrogianni2023) or even reversed in our study.
In fact, our results show that the degree of overregularization of CI children is even higher than that of hearing children, as evidenced by the significantly greater priming effect for SVO in CI children compared with their hearing peers. This may be due to excessive training in daily life. Nevertheless, based on our findings, we have reason to infer that the production of SVO sentences by CI children aged 4- to 7-year old has reached a ceiling effect, making them less sensitive to individual difference variables. In contrast, BA structures, though in the active voice and with a noncanonical word order, are still in the process of development. Hence, WM plays a more significant role in this context, which can also be inferred from our results showing that the priming effect for BA is significantly weaker in CI children than in hearing children.
Contrary to our prediction, our results did not reveal a significant modulating effect of verbal comprehension on abstract priming or lexical boost effect across all structures in CI group. This may be due to early auditory impairment, resulting in abnormal functioning of the auditory cortex (Hossain et al., Reference Hossain, Raghunandhan, Kameswaran and Ranjith2013) and limited verbal comprehension ability (Harris, Reference Harris, Marschark and Spencer2010), whereby the damaged brain cannot adequately establish the cross-modal language link during the limited period of auditory recovery. However, it is important to note that although the WPPSI-IV (Wechsler, Reference Wechsler2012) and numerous studies (e.g., Syeda & Climie, Reference Syeda and Climie2014) explicitly categorize Information and Similarities subtests under the verbal comprehension index, there is a possibility that these tasks engage higher-level cognitive abilities, such as verbal reasoning and abstract thinking. For instance, in the similarities subtest, children are asked to categorize the common features between two items like “dog” and “cat.” Thus, future research should employ more comprehensive methods to assess children’s verbal comprehension abilities in order to further elucidate the relationship between comprehension and production in CI children.
4.3. Contributions and limitations
Our study on CI children’s syntactic development in Chinese extends the scope of prior findings and adds its own contribution. How children acquire syntax remains a core question in the field of children’s language development. Our study is the first to apply the priming paradigm, a type of implicit task distinct from natural language observation, to answer this question using Chinese transitive structures, thus validating and supplementing existing theories. First, we extend the previous finding that young children possess abstract syntactic knowledge independent of lexical information to (1) CI children who experience impoverished early language and communicative stimulation, and (2) languages like Chinese, where grammar markers are less salient and semantic weight is greater. These extensions provide evidence for the error-based implicit learning theory (Chang et al., Reference Chang, Dell and Bock2006, Reference Chang, Janciauskas and Fitz2012; Kumarage et al., Reference Kumarage, Donnelly and Kidd2022).
Second, as the first study to explore syntactic acquisition in CI children, our findings of comparable abstract priming effect between CI children and their hearing peers prove that CI children do not have deficits in abstract syntactic representation, although they are weak in spoken language development. However, the specific lexical boost effect in high-frequency structures indicate that lexical boost effect is not only related to the development of WM ability but are also influenced by language training or other factors (Garraffa et al., Reference Garraffa, Smart and Obregón2021). This should prompt future research to reconsider the role of lexical information in children’s syntactic development.
The present study, however, is not without its limitations. First, our research on the role of lexical knowledge in syntactic production is not sufficiently thorough. Although verb repetition reflects a type of lexical information, it does not adequately capture the role of children’s lexical knowledge. Future research should consider the influence of lexical knowledge, such as manipulating the animacy of agents and patients (Paczynski & Kuperberg, Reference Paczynski and Kuperberg2011), to explore the role of animacy in the abstract priming effect. This would provide a more comprehensive picture of the role of children’s lexical knowledge in syntactic acquisition and development. Second, although the present study explored the role of WM, the measurement of WM came from the Picture Memory subtest of the Wechsler scale. Compared to picture WM, verbal WM might play a stronger role. Future research needs to consider the impact of verbal WM on oral development of CI children to gain a more comprehensive understanding of the relationship between syntactic acquisition and WM.
5. Conclusion
Like their hearing peers, 4–7-year-old CI children have effectively acquired abstract syntactic knowledge, but the strength of representation varies across different structures. Lexical information may enhance CI children’s early development of abstract syntactic knowledge, showing the lexical boost effect. Moreover, CI children’s WM capability can modulate the production of BA but not SVO and BEI structures.
Supplementary material
The supplementary material for this article can be found at http://doi.org/10.1017/S0305000924000680.
Acknowledgments
This work was supported by the National Natural Science Foundation of China (32371110 to Y. Wu), the National Natural Science Foundation of China (3217051 to S. Wang), and Key Research and Development Program of Guangdong, China (2023B0303010004 to S.Wang).
Ethical standard
Approval was granted by the Ethics Committee of the School of Psychology at Northeast Normal University.
Competing interest
The authors declare that they have no competing interests.

