Hostname: page-component-54dcc4c588-54gsr Total loading time: 0 Render date: 2025-10-06T07:58:25.737Z Has data issue: false hasContentIssue false

A Note on the Liquidity and Stabilization Effects of Savings Deposits

Published online by Cambridge University Press:  19 October 2009

Extract

Money, conventionally defined as demand deposits and currency held by the nonbank public, has two principal functions. It serves as a medium of exchange and as an asset conferring perfect liquidity on the holder.

Savings deposits in commercial banks, savings and loan associations, mutual savings banks, credit unions, and the postal savings system are almost like money. For all practical purposes, they are perfectly liquid assets, or at least considered as such by depositors, and therefore substitutable for asset money. Because interest is paid on savings deposits, and not on demand deposits (except for an implicit return received through checking services provided below cost), it can be reasonably argued that the long-term asset demand for money (money that people expect to hold over six months) is considerably less than it would be in the absence of savings deposits. This does not mean, however, that the sum of currency, demand deposits, and savings deposits measures what the demand for money would be if savings deposits did not exist. Some savings deposits are certainly held in lieu of nonmonetary assets.

Information

Type
Research Article
Copyright
Copyright © School of Business Administration, University of Washington 1968

Access options

Get access to the full version of this content by using one of the access options below. (Log in options will check for institutional or personal access. Content may require purchase if you do not have access.)

Article purchase

Temporarily unavailable

References

1 Cf. Henderson, James M., “Monetary Reserves and Credit Control,” The American Economic Review, 06 1960, pp. 348, 365Google Scholar.

2 Aschheim, Joseph, Teohniques of Monetary Control (Baltimore: The Johns Hopkins Press, 1961), p. 118Google Scholar.

3 See Henderson, “Monetary Reserves,” op. cit., for estimates of the reserve funds absorbed by various types of savings and demand deposits. In general, Henderson found that type 1 savings deposits required the use of almost three times as much of the monetary system's reserves as an equivalent quantity of type 2 savings deposits.

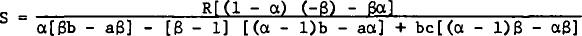
4 These equations can be solved by matrix algebra. Combine equations (4), (5), and (6) into R = bcS + aT + bD. Then solve:

For example:

In order to obtain the correct solution, both numerator and denominator must be multiplied by (−1).

5 Loanable funds will also be increased if demand deposits or savings deposits are shifted from banks which maintain reserves at a Federal Reserve Bank to banks which maintain reserves in the form of interbank deposits. In the recent tight money situation, however, the opposite shift took place as commercial banks, by increasing their interest payments, were able to attract funds from savings and loan associations, thus reducing the total quantity of perfectly liquid assets that a given quantity of high powered money could support. The greater volatility of the essentially short term loans made by commercial banks, and of the profitability of their portfolios, as compared to other financial intermediaries, could cause this to become a cyclical phenomenon.

6 On this, see Rozen, M. E., “Credit Controls and Financial Intermediaries: Comment,” The American Economic Review, 03 1962, p. 190Google Scholar, and the reply by Alhadeff, pp. 199–201.

7 The potentially destabilizing effects of changes in the quantity of savings deposits have been frequently noted in the literature. See Henderson, “Monetary Reserves,” op. cit., p. 358; Alhadeff, David A., “Credit Controls and Financial Intermediaries,” The American Economic Review, 09 1960, pp. 662664Google Scholar; Shelby, Donald, “Some Implications of the Growth of Financial Intermediaries,” Journal of Finance, 12 1958, pp. 527541Google Scholar; Smith, Warren L., “Financial Intermediaries and Monetary Controls,” Quarterly Journal of Economics, 11 1959, pp. 533553Google Scholar; Gurley, J. G., “The Radcliffe Report and the Evidence,” The American Economic Review, 09 1960, pp. 686687Google Scholar; Gurley, J. G., The American Economic Review, Proceedings, 05 1958, pp. 103105Google Scholar. In not all cases, however, has it been sufficiently stressed that it is the cyclical and not the secular effects of savings deposits that are destabilizing. Nor have the necessary conditions for the cyclically destabilizing effects to occur been adequately discussed.

8 It has been argued that the existence of savings deposits causes the demand for money with respect to the interest rate to shift to the left and become more elastic (e.g., Gurley, J. G. and Shaw, E. S., Money in a Theory of Finance [Washington: The Brookings Institution, 1960], p. 164Google Scholar; Patinkin, Don, “Financial Intermediaries and Monetary Policy,” The American Economic Review, 03 1961, p. 109Google Scholar; Smith, Warren, “On the Effectiveness of Monetary Policy,” The American Economic Review, 09 1956, p. 59)Google Scholar. The argument for the cyclical destabilizing effects of savings deposits rests upon this assumed greater elasticity. However, if savings deposits effectively replace the asset demand for money, leaving primarily the relatively inelastic transactions demand, then the demand for money with respect to the interest rate would become less elastic. In effect, demand deposits are a poor substitute for savings deposits when held for asset purposes.

9 Alhadeff (“Credit Controls,” op. cit., p. 667) takes note of this possibility which he points out has been generally neglected in the literature.

10 Variations in the amount of government securities held by financial intermediaries may or may not have a stabilizing effect on aggregate demand. Consider the case where holdings of government securities are increased. If the sellers of these securities purchase other assets or goods, the effect on aggregate demand is the same as if the funds had been lent directly for that purpose. On the other hand, if these sellers accumulate perfectly liquid assets, then the effect depends upon the kind of asset. If it is demand deposits, then aggregate demand will not be stimulated. If the sellers of securities transfer the proceeds to savings deposits, then the funds are once again in a position to be activated.

11 Warren Smith, (“Effectiveness of Monetary Policy,” op. cit., p. 545) has made the same observation.

12 For a contrasting view, see Kaldor, Nicholas, “The Radcliffe Report,” The Review of Economics and Statistics, 02 1960, p. 19Google Scholar.