Published online by Cambridge University Press: 03 April 2025

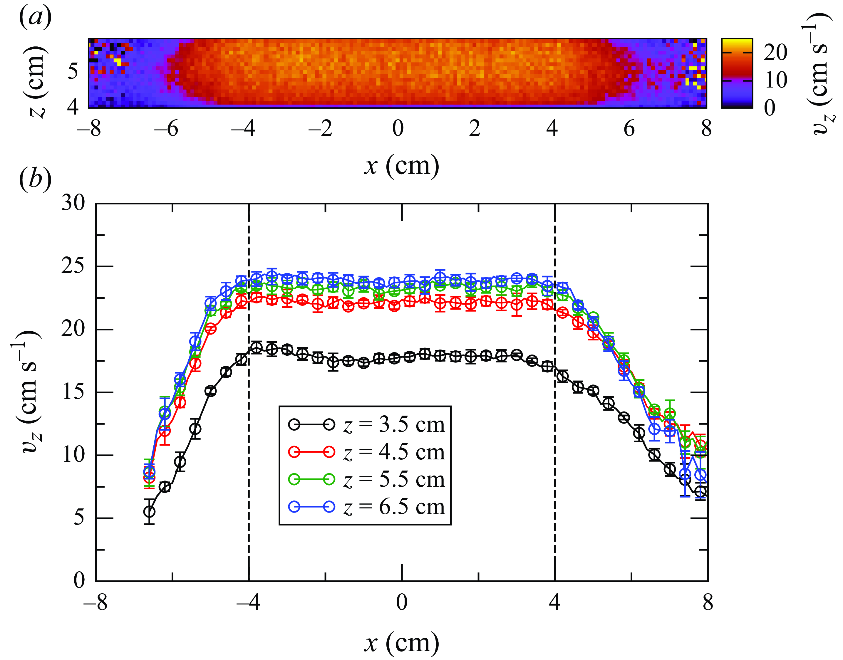
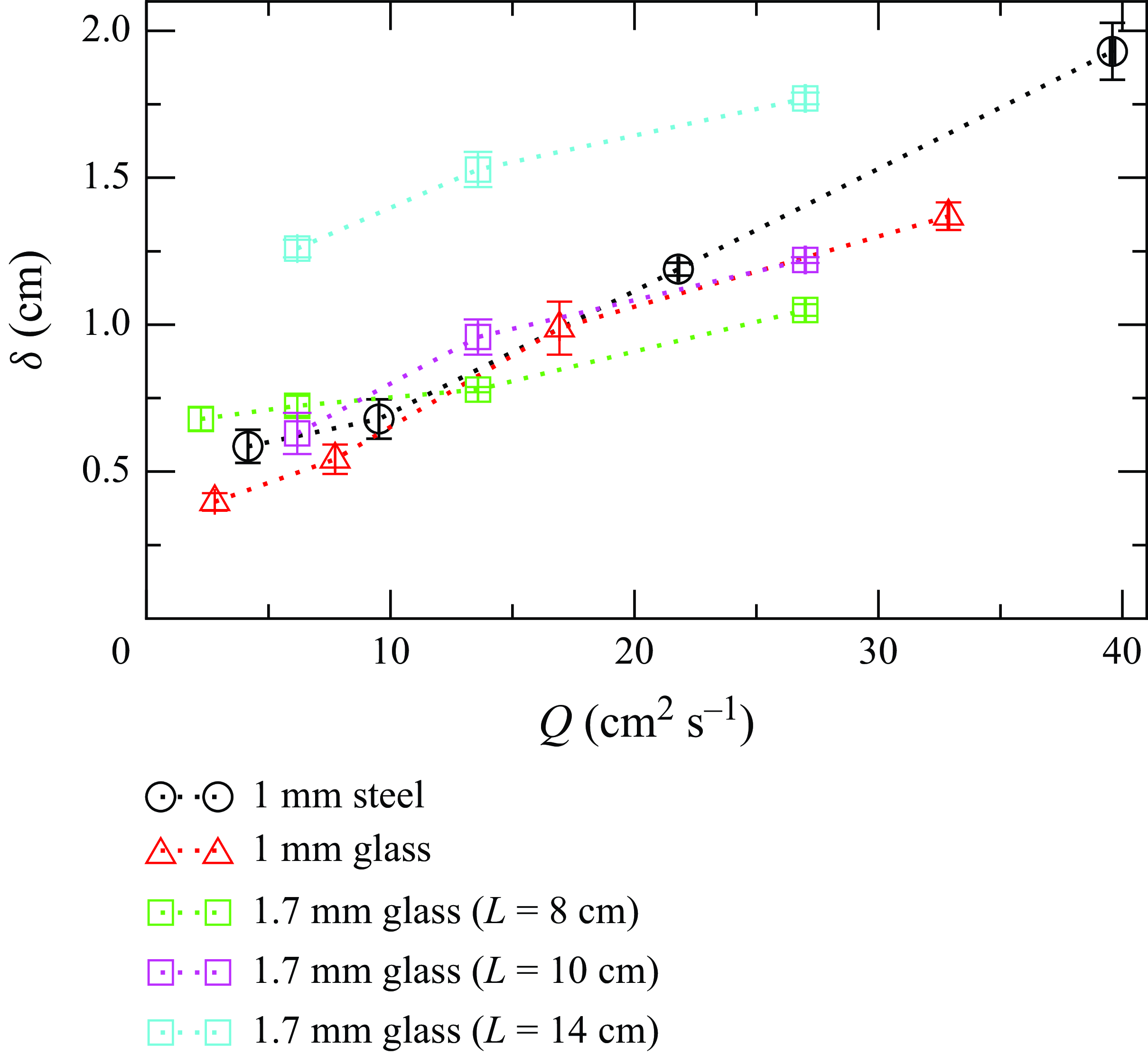
Granular surface flows are frequently encountered in nature as well as during handling of powders in different industries. An experimental study of granular surface flow on a heap is carried out. The heap is formed by pouring nearly monodisperse spherical particles from the rectangular slit orifice of a hopper on a rough rectangular plate. A flow of particles is developed on the heap surface, which is planar in the central region, with particles flowing over the edge of the plate into a collection chamber. The geometry considered in this study is an example of a fully three-dimensional heap without side walls. The surface velocities of the particles are measured using high-speed videography and particle tracking velocimetry for different mass flow rates with steel balls and glass beads of two different sizes, for heaps of different aspect ratios. The flow is uni-directional and fully developed in a central zone on the heap surface. The flowing layer thickness is measured in this zone by immersing a soot-coated blade into the flow. The angle of inclination of the free surface of the heap is found to be nearly constant for a ten-fold increase of the mass flow rate. The scaled flowing layer thickness is found to vary linearly with the scaled flow rate and the data for all the particles collapse to a single line over a ten-fold increase in the scaled flow rate and an increase in the aspect ratio of the heap by a factor of 1.75. The predicted scaled surface velocity and scaled shear rate using this correlation match the measured values.