Introduction: the rise of K-pop
The story of South Korean pop music (K-pop) can be traced back to 1996 when Lee Soo-Man (the founder of SM Entertainment) put together the boy group H.O.T. (Russell Reference Russell2009; Shin and Kim Reference Shin and Kim2013).Footnote 1 At this time, K-pop was just new music for Korean teenagers and not yet called K-pop. A quarter of century later, Korean bands such as BTS and Blackpink have topped US Billboard charts and there are more than 178 million fans of the Korean Wave over the world, according to a survey by the Korean Foundation.Footnote 2 Since its emergence in the 1990s, K-pop has constantly gained popularity and reached a wider audience. From Asia, it has spread to the rest of the world and become successful in Latin America, Africa, Europe and North America (Oh Reference Oh2013; Park Reference Park2013; Jin Reference Jin2016).
Yet what exactly is K-pop? There might not be any consensus on a definition. The ‘K’ in K-pop refers to a country, (South) Korea, that has been very successful in exporting its popular music. However, not all Korean popular music is actually regarded as K-pop. While K-pop has Korean traits and finds its roots in traditional Korean culture (Leung Reference Leung2012; Lee et al. Reference Lee, Choi, Hu and Downie2013; Sim et al. Reference Sim, Kim and Lee2017), it is often described as a ‘brand’ or the result of an export-oriented strategy where Korea's music industry uses popular musical content from Europe and the US, modifies it into Korean content, before redistributing it to global music markets (Lie Reference Lie2012; Oh Reference Oh2013). This has led to debates on the ‘Koreanness’ of K-pop and whether it is not mostly a commercial product designed for Western or global audiences (Choi Reference Choi2011). For some authors, K-pop can be regarded as a new kind of transnational culture with global dissemination (Jin and Yi Reference Jin and Yi2020). However, it seems that K-pop artists still need to be Korean or connected to Korea, as there is a pushback for K-pop with non-Korean or non-Asian performers (Ahn Reference Ahn2023).
Musically, K-pop is described as a melange of various genres such as pop, hip-hop, rhythm and blues (R'n’B), rock and electronic music. The literature on K-pop often refers to the concept of cultural hybridity to highlight that it mixes Korean culture with Western styles (Shim Reference Shim2006; Ryoo Reference Ryoo2009; Kim Reference Kim2017). The literature talks about ‘Western’ styles because Korean companies have generally worked with European or North American artists and companies to develop K-pop. Asian audiences also tend to identify as ‘Western music’, genres such as pop, hip-hop, R'n’B or rock. However, these genres have their roots in a variety of countries that are often non-Western, including African, Latin American and Caribbean countries.
This paper aims to empirically analyse the musical characteristics of Korean popular music since the 1990s to ascertain whether K-pop constitutes a distinct genre or is an amalgamation of multiple genres. Although the use of statistical methods in music analysis is relatively uncommon, it has been employed in prior research (Mauch et al. Reference Mauch, MacCallum, Levy and Leroi2015; Napier and Shamir Reference Napier and Shamir2018). Utilising track-level data from Spotify and exploratory data analysis tools, the paper examines key audio features of Korean songs, such as acousticness, danceability, energy, speechiness and valence.Footnote 3 This analysis contributes to the ongoing discussion on K-pop's cultural hybridity by comparing its musical features with those prevalent in Anglo-American pop music, as defined by popular artists in the US and the UK. Furthermore, the paper explores the diversity within Korean popular music and differences between K-pop and other forms of popular music that might not fall under the K-pop label. It also investigates the preferences of Korean and US users of Spotify to understand K-pop's role as an export product and whether there is a different kind of K-pop in the two countries.
The paper is structured as follows. Section 1 delves into the concept of music genre within the realm of music streaming. Section 2 outlines the dataset compiled for this research via the Spotify Application Programming Interface (API). Section 3 presents the results of the exploratory data analysis, comparing K-pop main characteristics with Anglo-American pop and looking at the heterogeneity within K-pop and between K-pop and other Korean popular music genres. Section 4 provides additional results on how these Korean genres compare with their Anglo-American counterparts, including over time. Section 5 examines differences between songs favoured by Korean and US users of Spotify. Section 6 concludes with implications for our understanding of Korean popular music.
1. Music genres, streaming platforms and the characteristics of music
Music is a highly differentiated product, chosen by consumers based on myriad factors ranging from musical type and artist preference to social background and personality (Katz-Gerro Reference Katz-Gerro2004; Chmiel and Schubert Reference Chmiel and Schubert2017). The question of why individuals prefer certain types of music remains a complex issue (Seaver Reference Seaver2023). Moreover, the advent of streaming platforms has transformed music consumption. With access to vast catalogues for a monthly fee or free with ads, patterns of music consumption have shifted (Walter and Hiller Reference Walter and Hiller2019). Consumers now favour access over ownership, blurring the traditional relationship between payment and consumption (Luck Reference Luck2016). This has led to an increase in both the quantity and diversity of music consumed (Datta et al. Reference Datta, Knox and Bronnenberg2018). However, consumers still have to choose, as they have limited time.
Streaming platforms have developed complex algorithms to identify the music that consumers like and to encourage them to continue to use their service (Hodgson Reference Hodgson2021; Seaver Reference Seaver2023). The collection of data on the characteristics of music and the definition of music genres are part of this process, in particular to create playlists and recommendations. Playlists can be created by users but are also automatically generated through algorithms that look at the characteristics of music (Bertin-Mahieux et al. Reference Bertin-Mahieux, Eck, Mandel and Wang2011; Bonnin and Jannach Reference Bonnin and Jannach2014). Spotify, for example, has a specialised music-intelligence division that builds upon the work of the Echo Nest, a company it acquired in 2014 which is at the origin of the definition of the audio features analysed in this paper (Damman and Haugh Reference Damman and Haugh2017). With the refinement of algorithms and the use of advanced machine learning techniques, streaming platforms also use a variety of data collected from their users (such as the place where they listen to music, the time they spent searching for music, whether they listen to a full track or not, etc.). However, since streaming platforms need to provide recommendations to new users (for which they do not have data yet), they still have to rely on categories such as genres.
The concept of genre is ubiquitous in musical research and widely used to create taxonomies for popular music (Fabbri Reference Fabbri1982; Borthwick and Moy Reference Borthwick and Moy2005; Lena Reference Lena2012). Genres can be understood as tools used to classify varieties of cultural products and to identify communities among artists and audiences. Genres are not based on some objective characteristics and most authors distinguish music genres from styles. Lena and Peterson (Reference Lena and Peterson2008) define music genres as ‘systems of orientations, expectations, and conventions that bind together an industry, performers, critics, and fans in making what they identify as a distinctive sort of music’. In the digital age, streaming platforms also utilise genres but rely more on algorithms and available data rather than traditional industry conventions.
The analysis of Korean popular music in this paper builds on the music genres identified by a streaming platform (Spotify). When comparing K-pop with other genres, the analysis relies on the genre that the platform has associated with a particular artist (such as pop, hip-hop, R'n’B, etc.). It looks then at the characteristics of music to see whether K-pop is close or similar to these other genres. It is acknowledged that focusing on some technical characteristics of music does not capture other important dimensions of Korean popular music. For example, the characteristics of music do not capture the visual elements that are key in the success of K-pop, such as sophisticated dance routines, choreographies and staged performances (Messerlin and Shin Reference Messerlin and Shin2017; Doré and Pugsley Reference Doré and Pugsley2019). The commercial strategies of managers and companies that produce the music (Thompson et al. Reference Thompson, Jones and Warhurst2007; Ryu et al. Reference Ryu, Capistrano and Lin2020), which are another distinctive element of K-pop, are also not directly captured in the characteristics of music. Nevertheless, they can indirectly impact these characteristics, such as the danceability variable when music companies train K-pop artists to be dancers and produce music to be part of a visual show. The analysis also tries to account for the way the music is received (another dimension not well captured in the characteristics of music) by distinguishing US and Korean listeners of K-pop.
The paper addresses the question of whether K-pop constitutes a genre in its own right or is a fusion of multiple genres. This question is situated within broader debates about the nature of pop music and whether it is simply popular music in the top ranks of Billboard and other charts, or part of a cultural and musical phenomenon with its own codes and conventions (Anand and Peterson Reference Anand and Peterson2000; Rojek Reference Rojek2011). Since genres are distinct from styles and forms and – when following the definition of Lena and Peterson (Reference Lena and Peterson2008) – based on communities or features that audiences regard as distinctive, some heterogeneity within a genre in terms of music styles does not disqualify the existence of the genre. From the point of view of Spotify, K-pop is a genre and K-pop fans a sufficiently well-defined group to whom the platform can recommend tracks that belong to the music they like. Streaming platforms actually use several genres to classify artists without especially establishing a hierarchy. K-pop artists in Spotify can also be classified as ‘K-R'n’B’ or ‘K-hip-hop’. The next section provides more details on the dataset used in the paper and the way tracks are classified.
2. Songs dataset
The dataset comprises 24,750 songs from 464 artists across 20 music genres (Table 1), spanning from 1998 to 2023. The starting date aligns with the inception of K-pop in Korea and the establishment of YG Entertainment, the third major music studio (after SM Entertainment in 1995 and JYP Entertainment in 1997).
Table 1. Songs in the dataset, by music genre

Note: Genres are based on the information provided by Spotify for each artist or group.
Data were collected using Spotify's Web API, a tool that provides access to information on the company's song catalogue. It should be noted that the unit of analysis is the track (from albums or singles), which may appear multiple times for the same song. Data cleaning steps were taken to remove duplicates and identify unique songs based on their title. Using the liveness variable, live performances were also removed (in particular when they create alternative titles for the same songs). Figures reported in Table 1 correspond to the number of songs after these data cleaning steps.
While the Spotify API could have been used to identify the most popular artists, the choice was to use an external source so that the list of artists does not reflect the preferences of Spotify listeners.Footnote 4 First, it should be noted that popularity on Spotify is based on the number of streams in the recent period. While some artists from the 1990s can still be popular today, the sample of artists based on today's ranking might not be representative of the music that was popular two decades ago. Second, in the case of K-pop, it should be mentioned that Spotify (a Swedish company) does not have an important market share in Korea and is not the main streaming service used by Koreans. Therefore, selecting Korean artists on the basis of their popularity on Spotify could also have led to a non-representative sample.
To select Korean artists, information from the Korean company Melon was used. Melon is the main music streaming service in Korea with over 28 million users. The list of Korean artists was established based on Melon's Top 100 year-end charts over the covered period.Footnote 5 Matching this information with Spotify provided a list of 267 artistsFootnote 6 for which albums and tracks could be retrieved from the API (with a limit set to 15 albums per artist). For each artist several genres can be reported. Table 1 first provides the distribution of songs according to the first genre reported and then based on all genres reported (with songs duplicated across the different genres). The first genre reported is generally the main genre followed by more specific genres or sub-genres. For example, Spotify identifies some ‘K-pop boy groups’ and ‘K-pop girl groups’ that are first labelled as ‘K-pop’. On the contrary, very few artists are labelled both as ‘Korean pop’ and ‘K-pop’, suggesting that these categories tend to be mutually exclusive. Unfortunately, there are no explicit rules and no documentation provided by Spotify to understand the categorisation.Footnote 7
For Anglo-American pop, the selection process was similar but instead of relying on Melon, US Billboard and UK Official Charts were used to select artists. Once matched with Spotify data, a total of 197 artists were identified as belonging to the pop music genre, including related genres such as dance pop, R'n’B and hip-hop. As with K-pop, artists belonging to these generic categories have additional more specific genres, such as Canadian pop or Atlantic hip-hop. These sub-genres are more detailed than for Korean popular music and were grouped to facilitate the analysis (e.g. Canadian pop was merged with pop).
The fact that genres are associated with artists rather than specific tracks can be seen as a limitation in the analysis, especially when the same artist seems to have produced music belonging to different genres. However, Spotify and other companies managing large catalogues of songs are generally not categorising tracks. Moreover, since the analysis in this paper is based on a comparison of music characteristics across genres, it is actually important for the genre to come from the artist and not from the track, so that relationships between genres and audio features are not simply endogenous. As artists belonging to a specific genre produce a variety of songs with different styles, the approach is to get enough songs for each artist so that the average of their musical characteristics can be regarded as a good proxy for their defining elements.
Another potential bias in the dataset is the focus on the most popular artists found in Melon top 100, Billboard and Official Charts. Similarly, the inclusion of artists that are in the catalogue of Spotify can also be regarded in the first place as some kind of threshold based on popularity and a bias excluding more marginal artists (in particular ‘indie’ record labels).Footnote 8 Caution should be exercised when looking at the data presented for non-mainstream categories such as ‘K-indie’. However, the focus on tracks from famous artists aligns with the paper's aim to study ‘popular music’.
The primary data used in the analysis are audio features, which include factual information like track duration, key, mode and tempo, as well as variables aimed at characterising the music, such as acousticness, danceability, energy, speechiness and valence. These are the main variables used in the paper (Table 2). They are the result of algorithms applied to sound data. Variables such as valence may seem subjective as they assume that the music itself conveys some positive or negative feelings, independently of how it is received by the listener. While these variables are based on objective sound characteristics, they can still reflect the subjectivity of the engineers who designed the algorithms.
Table 2. List of audio features used in the analysis

Source: Spotify.
3. Common audio features of Korean popular music: an exploratory data analysis
To compare audio features across music genres, this section relies on simple statistical methods that are part of exploratory data analysis. Each song in the dataset has different values and it is only when looking at a large number of songs that some common characteristics can be found across genres. While average values for acousticness, danceability, energy, speechiness and valence could offer insights into the characteristics of K-pop songs, examining the distribution of these features provides a more nuanced understanding, as distributions reflect all possible values and how often they occur.
3.1. What sets K-pop apart?
Figure 1 employs Kernel density plotsFootnote 9 to compare K-pop with Anglo-American pop across key audio features. Only Korean artists with the tag ‘K-pop’ (among multiple genres) are kept in this figure, as a sub-category of Korean popular music. The same applies for Anglo-American pop where artists have the tag ‘pop’. While being identified on US Billboard and UK Official Charts, these artists may not be from the US or the UK and may not fully reflect the diversity of these music markets. However, these are typically the markets that Korean companies take as a reference and point of comparison.

Figure 1. Audio features: K-pop vs. Anglo-American pop (kernel density plots).
In terms of acousticness, Figure 1 highlights that K-pop has a right-skewed distribution (higher densities towards the left of the figure) with a long right tail. Acousticness is the characteristic of music performed without electrical amplification or synthesisers.Footnote 10 For example, it distinguishes artists that use acoustic guitars (the traditional instrument) as opposed to electric guitars. The use of electric guitars or other electric instruments is associated with lower values for the acousticness variable. Most K-pop is performed without acoustic instruments and, when they are used, it tends to be in combination with electric ones. There are very few cases of K-pop songs using only acoustic instruments (i.e. values for acousticness close to 1). However, the distribution is not very different for Anglo-American pop music. K-pop is slightly more acoustic (the distribution is slightly more towards the right of the figure) but Anglo-American pop has higher densities for values between 0.8 and 1, suggesting a higher number of fully acoustic songs. Nevertheless, the differences are small and the conclusion is there is no real difference between K-pop and Anglo-American pop in terms of acousticness.
Speechiness is a variable that has a different scale as compared with other charts in Figure 1, simply because the dataset includes songs and not tracks with only spoken words. Most songs have by definition small values for speechiness because they are a combination of music and lyrics. As with acousticness, there is no noticeable difference in the distribution between K-pop and Anglo-American pop.
To understand the specificity of K-pop, one has to look at the danceability, energy and valence variables. In terms of danceability, the kernel density plot confirms that K-pop is more danceable with a left-skewed distribution (i.e. higher densities towards the right). Unlike acousticness or speechiness, danceability looks more like a normal distribution (i.e. more values are near the mean and the distribution is symmetric). As compared with Anglo-American pop, the mode (i.e. the highest point in the distribution corresponding to the most frequently occurred values) is slightly higher for K-pop (almost 0.8) and the density of the distribution is higher in the 0.6–0.8 range. This result is not a surprise since dancing is a very important characteristic of K-pop with artists specifically trained and selected for their dancing skills. The music itself has a tempo, rhythm stability, beat strength and overall regularity that make it suitable for dancing. However, danceability is also high for Anglo-American pop. One can conclude that K-pop is slightly more danceable than Anglo-American pop.
When it comes to energy, K-pop stands out with higher values and a left-skewed distribution. Not only is K-pop made to be danced to but it is ‘fast, loud and noisy’ (referring to the definition of energy in Table 2) and transmits some intensity and dynamism. Spotify indicates that the measure is based on concrete attributes such as dynamic range, perceived loudness, timbre, onset rate and general entropy. However, what these attributes capture is really a perception of dynamism, which is also a key feature of modern Korean culture (Lie Reference Lie2015). The dynamism in Korean music and its role in the success of Korean artists abroad was already highlighted in the context of the diffusion of ‘samul nori’, a percussion music genre that preceded K-pop and originated in Seoul at the end of the 1970s (Lee Reference Lee2018). Koyote (also known as KYT), Apink and Ateez are examples of K-pop groups with the highest average values for energy, together with the aptly named boy group NRG.
Finally, in the case of valence, there is less of a difference in the shape of the distribution between K-pop and Anglo-American pop. However, the K-pop distribution is left-skewed and has a significantly higher mode. It suggests that K-pop music is more positive and cheerful than Anglo-American pop. On the one hand, it fits well with the perception of K-pop as being associated with romantic love, immaturity and attractive performers. On the other hand, some authors discuss to what extent K-pop is also associated with the cultural concept of han, described as grief and resentment in the context of Korean culture (Boman Reference Boman2020). The latter could explain that unlike danceability and energy, valence has a distribution where values are more spread out along the horizontal axis. On average, K-pop has more valence, but with a strong variation across songs.
The analysis suggests that what is different about K-pop (as compared with Anglo-American pop) is its energy and dynamism, while also being slightly more danceable and conveying more positive feelings. This is of course true on average when looking at a large sample of songs. The next sub-section investigates the heterogeneity within Korean popular music and within K-pop.
3.2. Heterogeneity within Korean popular music and K-pop
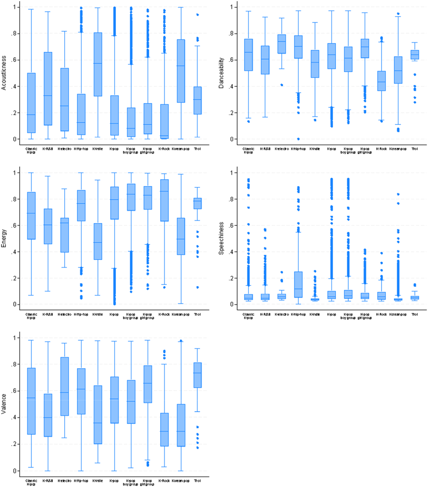
To further investigate the specificity of K-pop, Figure 2 provides a comparison of the audio features of the different genres used by Spotify to classify Korean artists. Figure 2 still shows the distribution of songs across the different audio features, but this time using box plots that depict values based on their quartiles. They include the maximum value, minimum value, sample median and the first and third quartiles. The ‘whiskers’ (lines extending from the boxes) indicate the variability outside of the upper and lower quartiles.

Figure 2. Audio features across Korean popular music genres (box and whisker plots).
As previously highlighted, the same artist can belong to several genres and when constructing Figure 2, data for this artist are included in all the relevant genres. For example, a K-pop girl group (such as Girls’ Generation or Blackpink) is included in the distribution of songs for both K-pop girl groups and K-pop. Figure 2 includes a spectrum of genres that may be regarded as closer or further from ‘core’ K-pop music. There are genres that can be regarded as sub-categories of K-pop, such as K-pop boy group, K-pop girl group or classic K-pop. Then there are genres that have their Anglo-American equivalent (R'n’B, hip-hop, electro, rock) and that K-pop has embraced (Oh and Lee Reference Oh and Lee2014). Finally, there are genres that are Korean but may be further apart from K-pop such as K-indie, Korean pop and trot.
In the case of K-indie, the distinction is coming from the commercial strategies and marketing associated with K-pop and idol groups. More than in other countries, the independent scene in Korea defines itself in opposition to the ‘hegemonic culture’ of K-pop and its corporate entities (Epstein Reference Epstein2015). Trot is a genre of music in Korea that is coming from the colonial period and became very popular after the Korean War (Chang Reference Chang, Shin and Lee2017; Lee Reference Lee2017). Son (Reference Son2006) describes trot as a ‘sentimental love song performed with an abundance of vocal inflections’. It can be regarded as the music of former generations in Korea and distinct from K-pop for this reason, but trot is actually coming back (Park Reference Park2020) and was included in Figure 2 because Melon's top rankings still include trot artists. There should be a consensus to regard trot as outside the scope of K-pop. However, some contemporary artists are exploring hybrid forms of K-pop and trot.
Lastly, ‘Korean pop’ is possibly the Spotify genre that needs more explanation. There is no distinction between Korean pop and K-pop in the literature or among fans. What Spotify captures in this category are generally solo artists (as opposed to idol groups).Footnote 11 Some of these artists are independent and writing their songs themselves. What they sing can be closer to other genres, such as ballads, another type of music historically popular in Korea (Chang Reference Chang, Shin and Lee2017), or songs created for Korean dramas.Footnote 12 Solo artists are also often former group members who decided to start a new career on their own. As the style of their music is often different once they sing solo, it could explain why the Spotify algorithms have actually identified these artists as belonging to a different genre than K-pop.
Figure 2 reveals some heterogeneity across Korean popular music genres in terms of acousticness, danceability, energy, speechiness and valence. First, it illustrates the difference between idol groups (K-pop boy group and K-pop girl group) and the rest of K-pop. Idol groups have some of the most skewed distributions with songs that on average have very low values for acousticness (i.e. rely more on electric music), very high values for energy and values for danceability and valence that tend to be above the rest of K-pop. The data are consistent with the description of Girls’ Generation's performance of ‘Gee’ by Fuhr (Reference Fuhr2016): ‘a slick dance pop production full of digitally synthesised sounds, electronic drum beats, catchy melodies, and shrill teenage female vocals that support the song's central theme of cuteness’.
Interestingly, there is a difference between K-pop boy groups and girl groups in the distributions of values for danceability and valence. For both variables, girl groups have songs with distributions even more negatively skewed (i.e. with the median even closer to the top quartile), indicating that their songs convey more positive values and are even more suitable for dancing. Another difference that Figure 2 highlights is between classic K-pop and K-pop. The category of classic K-pop includes groups and artists that started in the 1990s and 2000s. When looking at median values, there are no significant differences in terms of acousticness, danceability, energy, speechiness and valence, except maybe for energy, where there is a slightly lower value for classic K-pop. However, the difference is in the shape of the distribution and the fact that the second and third quartiles spread over a bigger range of values (larger boxes on the figure). This suggests that at the beginning of K-pop, there was more diversity in the songs of artists and that over the years K-pop focused more on the core audio features of high danceability, energy and valence, with fewer outliers.
Moreover, Figure 2 provides some insights on differences in the audio features of K-R'n’B, K-electro, K-hip-hop and K-rock. The next section investigates how they relate to their Anglo-American counterparts. K-R'n’B is a genre that relies more on acoustic instruments and tends to have lower values for energy but higher values for danceability. This is precisely the combination of ‘rhythm’ (a strong back beat that makes songs more danceable) and ‘blues’ (more lyrical songs expressing emotions rather than energy). K-electro is also a genre with lower values for energy but the highest median for danceability. Not surprisingly, K-electro also has a distribution more positively skewed (i.e. with the median closer to the bottom quartile) for acousticness. The defining feature of K-hip-hop is found in the speechiness variable, owing to the use of spoken words in rap and hip-hop. Lastly, K-rock is characterised by lower medians for danceability and valence. These data illustrate the heterogeneity of K-pop that can be explained by the proximity to different Anglo-American styles (which is further discussed in the next section).
Finally, Figure 2 highlights differences between ‘K-pop’ and ‘Korean pop’. They start with the use of acoustic instruments. Korean pop relies less on electric music than K-pop. For example, artists like Huh Gak and Paul Kim (Kim Tae-hyong) are classified as ‘Korean pop’ and have a very high average value for acousticness. The boy group Ateez is on the contrary the group with the lowest average value for acousticness. Then, distributions for danceability, energy and valence are systematically showing lower medians for Korean pop. Korean pop songs are more sad, melancholic and expressive of feelings.
4. Cultural hybridity in numbers
The concept of hybridity became popular in the context of discussions on cultural globalisation and postcolonialism in the 1990s (Kraidy Reference Kraidy2002). Cultural hybridity relates to the global reception of American popular culture but is often used in a descriptive way to indicate a mixture of local identity with the global (American) culture. In the K-pop literature, there are different views on the concept and role of cultural hybridity. For example, for Choi and Maliangkay (Reference Choi and Maliangkay2014), since all music is always influenced by what has preceded, the concept of cultural hybridity might not be so useful to understand or characterise K-pop. Some other authors refer to the concept to analyse how K-pop uses hybridisation to promote the local identity and make it part of the global (Shim Reference Shim2006; Ryoo Reference Ryoo2009), as a successful export strategy (Oh Reference Oh2013) or an effort to create a transnational culture (Jin and Yi Reference Jin and Yi2020). In this section, we approach cultural hybridity through the similarity between audio features of Korean and Anglo-American genres (in a descriptive way) but also looking at the evolution over time when K-pop started to be popular in Western countries, in order to shed light on the strategy of cultural hybridisation to make K-pop a global phenomenon.
4.1. K-pop vs. Anglo-American pop: a genre-by-genre comparison
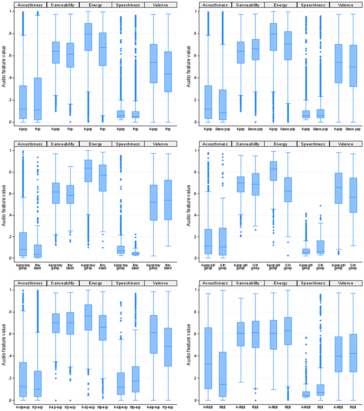
The previous section has explored what is specific to K-pop as well as its different genres. The cultural hybridity and proximity of K-pop with Anglo-American music is already reflected in the categories used by Spotify such as ‘K-hip-hop’ or ‘K-R'n’B’. The question is whether within each of these categories, there is also a Korean specificity, such as the higher energy and more cheerful music observed for the whole of K-pop. Tags such as ‘K-hip-hop’ or ‘K-R'n’B’ are generally added to K-pop songs that mix different genres and should not be understood as always identifying songs belonging to a distinct category of music. For example, it is common for members of idol groups to assume different roles such as singer, dancer or rapper (Lee et al. Reference Lee, Choi, Hu and Downie2013). The introduction of rap during singing choruses is a feature of K-pop since Seo Taiji & Boys (Shim Reference Shim2006). Hybridity should not only be understood in terms of different songs belonging to different music genres but also a music already blending multiple genres.
Figure 3 offers a genre-by-genre comparison of audio features between K-pop and Anglo-American pop. As a reference point, the first chart on top left reproduces the results of Figure 1 for K-pop and (Anglo-American) pop (except that the distribution of songs is now in the format of box plots). Dance pop emerges as the closest Anglo-American genre to K-pop, particularly in terms of acousticness, danceability and valence. However, K-pop maintains a unique edge in energy levels, suggesting it could be described as a more energised dance pop.

Figure 3. Comparison of audio features genre by genre (box and whisker plots).
The comparison between K-hip-hop and hip-hop, as well as K-R'n’B and R'n’B, reveals the role played by Black musical traditions in K-pop. As noted by Anderson (Reference Anderson2016), African American music has been exported to Korea and redeployed to global audiences in a new form through K-pop. While the use of music (and visual elements) from Black culture in K-pop has been criticised as some kind of cultural appropriation (Hong et al. Reference Hong, Cho and Diana2022), it is also seen as part of the process through which Korean hip-hop musicians have built their own identity (Fendler Reference Fendler2017).
Figure 3 suggests that K-hip-hop retains the high-energy and positive valence characteristics of K-pop, distinguishing it from Anglo-American hip-hop. Unlike K-hip-hop, K-R'n’B is less energetic and less positive than R'n’B. A possible explanation is that, going back to Seo Taiji & Boys, K-hip-hop developed itself in opposition to the sad and romantic songs of the past generation with a more dynamic music for teenagers (Shim Reference Shim2006). On the contrary, the Korean version of R'n’B might build more on the Korean ballad genre characterised by ‘mellow sounds and amorous lyrics’ (Shim Reference Shim2006).
The data analysed cannot confirm or contradict such interpretations, but the fact that the distribution of audio features is not the same across Korean genres and their Anglo-American equivalents supports the notion of cultural hybridity in K-pop, where the Western genres are not merely imitated (with a distribution that would look the same) but adapted to include distinct Korean characteristics. For example, as suggested by Anderson (Reference Anderson2016), Korean hip-hop may use the ‘aesthetics’ of hip-hop to express Korean emotions that are different from the African-American original emotions. Distributions of audio features may capture both the similarity in ‘aesthetics’ and differences in emotions.
Finally, Figure 3 also sheds light on differences between K-pop and Anglo-American boy groups and girl groups. There is definitely more energy in the Korean idol groups, with songs also featuring relatively higher values for danceability. However, while K-pop girl groups have more positive and cheerful music than Anglo-American girl groups, the same result is not observed for K-pop boy groups. Here the distribution is rather similar for the valence variable and the median is lower than both K-pop and Anglo-American girl groups. This result is interesting in the context of discussions on the ‘Korean grief’ in K-pop (Boman Reference Boman2020). K-pop boy groups seem to have more sad and melancholic songs than K-pop girl groups but with a distribution comparable with that of Anglo-American boy bands.
4.2. Temporal trends: convergence or divergence?
Another recurrent question in the analysis of K-pop and its cultural hybridity is whether K-pop has converged with Anglo-American pop over time, as artists have started to look more to the US music market rather than Korean and Asian markets. To get an idea of how K-pop and Anglo-American genres have converged or diverged over time, Figure 4 relies on the Euclidean distance between the average values of acousticness, danceability, energy, speechiness and valence. This can be interpreted as a measure of the dissimilarity between K-pop and Anglo-American genres (the higher the Euclidean distance, the more dissimilar the data are) where we can look at all differences in audio features through a single value. Groups of three years are used to have enough observations for a meaningful comparison over time.

Figure 4. Dissimilarity between K-pop and Anglo-American pop over time (1998–2023).
Figure 4 first highlights that when comparing K-pop with Anglo-American pop (K-pop/Pop), the main trend over time is a divergence. K-pop songs in 2022/2023 look less similar to Anglo-American pop songs as compared with 1998/2000. Such a trend suggests that over time K-pop has become more a genre in itself and has maybe accentuated some of its main distinctive characteristics. The fact that K-pop was first popular in Korea and Asia and more recently in Europe and the US has not led to K-pop trying to imitate more the audio features of Anglo-American songs. While some authors point to efforts to make K-pop more appealing to Western audiences, such as the use of more English in lyrics (Jin and Ryoo Reference Jin and Ryoo2014), it is also possible that the strategy to enter the US market was also about differentiating more K-pop from US pop in audio characteristics.
While there is overall no convergence between K-pop and pop, the trend is different for the more specific K-hip-hop and K-R'n’B genres. Figure 4 shows some convergence and in 2022/2023 these two genres are actually more similar to hip-hop and R'n’B. However, there were different phases with some convergence in the 2000s followed by more dissimilarity at the beginning of the 2010s.
Referring to the different K-pop ‘waves’ described by Jung (Reference Jung, Lee and Nornes2015), the early 2000s was the period where some solo singers, such as Rain, tried to enter the US market (second wave) without being too successful (Shin Reference Shin2009). They were followed by new boys and girls idol groups (such as TVXQ or Wonder Girls) that created the musical and visual style associated with K-pop today and managed to reach an audience beyond Korea (third wave). However, it is only with the fourth wave and idol groups such as Girls’ Generation that K-pop became popular in the US in the 2010s. This phase seems to be associated with more dissimilarity for all the genres compared on Figure 4, pointing out again that it was not about creating music more similar to Anglo-American pop.
Lastly, the comparison between K-pop and dance pop confirms that dance pop is the Anglo-American genre closest to K-pop. But between 1998 and 2016/2018, K-pop was also becoming less similar to dance pop. The trend became different in the recent period with a strong convergence. Data on Figure 4 can only indicate that K-pop and dance pop have become more similar and cannot reveal the reason for this change. However, they open an interesting question on whether K-pop could have influenced the evolution of dance pop with Anglo-American artists following the more energetic and cheerful style of K-pop.
5. Geographic preferences in K-pop consumption
The final analysis carried out in the paper is a comparison between the audio features of K-pop songs favoured by Korean and US Spotify users. For this analysis, two samples of songs were created based on the Spotify market variable (Korea or the US). The first sample includes K-pop artists who were the most popular among US users over the period 2018–2023 (top 50) while the second sample includes the most popular K-pop artists among Korean users. There is an overlap between the two for about 56% of the songs covered.
While the other half of the dataset has distinct artists for Korean and US users, Figure 5 highlights that the distribution of audio features is relatively similar. The figure suggests that US users have a slight preference for more acoustic songs, songs with a higher danceability and a higher speechiness. However, differences are very small.

Figure 5. Audio features of K-pop: US Spotify users vs. Korean Spotify users.
One should be cautious with these results since, as mentioned before, Spotify has a very small market share in Korea. It is possible that Spotify users in Korea are to a larger extent Korean people who lived in the US and are part directly or indirectly of the ‘Korean American community’, if not US expatriates (in particular in the military). The sample could be biased towards American tastes.
Despite this limitation, the results align with the cultural hybridity of K-pop, which aims to appeal to a global audience. This is consistent with the strategies of Korean entertainment companies targeting success in both the US and Asian markets (Shin Reference Shin2009). It also highlights that it is not through some of its specific sub-genres that K-pop has become popular in the US (where for example hip-hop and R'n’B are more popular, as seen in Table 1).
6. Concluding remarks: lessons for our understanding of K-pop
This paper used Spotify API data to explore the common audio features of K-pop in comparison with Anglo-American pop. The paper also analysed the different genres within the broader category of Korean popular music, as well as differences between audio features of songs favoured by US and Korean Spotify users. All the conclusions are based on what is specific to K-pop in terms of ‘sound’, acknowledging that it is a narrow focus (which excludes for example the way K-pop is received by audiences or the visual elements of K-pop) and that the algorithms involved may also have their own subjectivity (for example when they find that the music conveys more positive feelings).
The analysis confirms that K-pop is a music genre that mixes pop, hip-hop, R'n’B, rock and electronic music. A similar analysis performed on the audio features of popular music from other countries in Asia or elsewhere would certainly find some proximity with Anglo-American pop music as well (or with the popular music of other countries). While consistent with the concept of cultural hybridity often discussed in the K-pop literature, the results of the analysis cannot be interpreted as hybridity being a distinctive characteristic of K-pop. There are also limitations in terms of what audio features can tell us about the ‘local’ and the ‘global’ and other cultural or sociological dimensions of hybridity. However, the analysis sheds light on what hybridity concretely means in terms of mixing different music genres. There is some resemblance in the audio features of K-pop and Anglo-American pop, especially when directly comparing pop, hip-hop or R'n’B with their Korean versions. However, across all of its sub-genres, K-pop has distinct characteristics, with often more energetic and cheerful songs. An exception is K-R'n’B, where the Korean genre leans more towards sadness and melancholy, maybe echoing the tradition of ballad and han (Korean grief) in Korean music.
Moreover, the paper contributes to our understanding of K-pop by broadening the focus beyond idol groups and solo artists promoted by the three major Korean entertainment companies. There is a distinct category of Korean popular music that Spotify labels as ‘Korean pop’ and that has different audio features. Korean pop artists offer a different style of music, more acoustic and less on the energy and cheerfulness side, highlighting the diversity of Korean popular music. These artists are maybe less popular beyond Korea and were included because of the use of the Korean streaming platform Melon to select Korean artists. However, they are also found in Spotify and among artists favoured by US users. The success of K-pop might not be solely tied to the idol groups phenomenon and the high danceability, energy and valence of their songs. Nevertheless, one question is to what extent these artists (who are often former members of idol groups) are successful because idol groups created a new taste and curiosity for Korean popular music.
Contrary to expectations, the analysis showed that K-pop has become increasingly dissimilar to Anglo-American pop over time. This suggests that K-pop's global penetration is not based on mimicking Anglo-American styles but rather on accentuating its unique characteristics. Interestingly, while K-pop as a whole has diverged from Anglo-American pop, individual genres like K-hip-hop and K-R'n’B have shown some convergence and K-pop in general is also becoming closer to dance pop, adding a nuanced layer to our understanding of cultural hybridity.
Traditional analyses suggest that hybridity involves local elements being reinvented at a global level. K-pop exemplifies this by bringing its distinct audio features (high danceability, energy and valence) to a global audience. However, it does so without compromising its unique characteristics and without moving towards distributions of songs closer to Anglo-American pop. While converging in terms of specific codes or aesthetics, K-pop provides a more distinct mix of genres that is used to broaden the range of Korean popular music available to global audiences. As such, the ambition of K-pop when becoming global is not to ‘erase the K in K-pop’, as suggested by Fuhr (Reference Fuhr2016), but to assert the specificity of the K, encompassing all its genres.
Acknowledgements
The author is writing in a personal capacity. He was visiting professor at Seoul National University when the research was carried out. This work was supported by the Laboratory Program for Korean Studies through the Ministry of Education of the Republic of Korea and Korean Studies Promotion Service of the Academy of Korean Studies (AKS-2015-LAB-2250003). The author would like to thank the Editor, Sarah Hill, as well as two anonymous reviewers for very helpful comments.
Supplementary material
To view supplementary material for this article, please visit https://doi.org/10.1017/S0261143024000187
Annex – List of artists and GROUPs in the dataset
(Names are as they appear in the Spotify database)
Korean popular music
(G)I-DLE, 015B, 10cm, 2AM, 2PM, 4MEN, 4Minute, AILEE, AKMU, AOA, ATEEZ, After School, Apink, B.I, B1A4, BAEKHYUN, BIBI, BIG MAMA, BIG Naughty, BIGBANG, BLACKPINK, BOL4, BOOHWAL, BROWN EYED SOUL, BTOB, BTS, BUMKEY, BUZZ, Baby V.O.X, Baek Ji Young, Beast, Block B, BoA, Bronze, Brown Eyed Girls, Brown Eyes, Busker Busker, CHANGMO, CHUNG HA, CL, CNBLUE, COOL, Car the garden, Cho Yong Pil, Clon, Crush, D.O., DAVICHI, DAY6, DAYBREAK, DEAN, DJ DOC, Defconn, Deul Guk Hwa, Dok2, Drunken Tiger, EXID, EXO, Epik High, Eric Nam, FIFTY FIFTY, FTISLAND, Fin.K.L, Fly to the Sky, G-DRAGON, GARY, GFRIEND, Gaho, Girls' Generation, Gummy, H.O.T., HEIZE, HENRY, HYNN, HYOLYN, HYUKOH, Ha Dong Qn, Han Dong Geun, Homeboy, Huh Gak, Hwang Chi Yeul, HyunA, INFINITE, ITZY, IU, IVE, IZ*ONE, Izi, J.Y. Park, J.ae, JIN, JINUSEAN, JOY, Jang Beom June, Jang Hye Jin, Jang Pill Soon, Jatanpung, Jay Park, Jazzyfact, Jessi, Jimin, Jin Minho, Jo Sung Mo, Johan Kim, Jukjae, Jung Dong Ha, Jung In, Jung Kook, Jung Seung Hwan, Junggigo, K.Will, KANGDANIEL, KARA, KCM, KOYOTE, KYUHYUN, Kassy, Kim Bum Soo, Kim Dong Ryul, Kim Gun Mo, Kim Hyun Chul, Kim Hyunshik, Kim Jong Kook, Kim Jung Min, Kim Kwang Seok, Kim Kyung Ho, Kim Na Young, Kim Tae Woo, Kim Yeon Woo, Kim Yuna, Kwon Jin Ah, KyoungSeo, LE SSERAFIM, LEE SEUNG HWAN, LOONA, Lee Eun Mi, Lee Hyori, Lee Juck, Lee Ki-chan, Lee Moon Sae, Lee Seung Chul, Lee Seung Gi, Lee So Ra, Lee Soo Young, Lee Sun Hee, LeeHi, Leessang, Lena Park, Light & Salt, Lim Changjung, Lim Jae Beum, Lim Young Woong, Loco, Lovelyz, Lucia, Lyn, M To M, M.C the Max, MAKTUB, MAMAMOO, MC MONG, MONSTA X, Mad Clown, MeloMance, Monday Kiz, NCT 127, NCT DREAM, NELL, NMIXX, NRG, Naul, NewJeans, Noel, OH MY GIRL, Orange Caramel, PARK WON, PENTAGON, PSY, Parc Jae Jung, Park Boram, Park Hwayobi, Park Hyo Shin, Park Wan Kyu, Paul Kim, Primary, Rain, Realslow, Red Velvet, Rollercoaster, Roy Kim, Rumble Fish, S.E.S., SECHSKIES, SEUNGRI, SEVENTEEN, SG Wannabe, SHAUN, SHINHWA, SHINee, SISTAR, SOYOU, SS501, STAYC, SUGA, SUMIN, SUPER JUNIOR, San E, Shin Hae Chul, Shin Seung Hun, Simon Dominic, Sohyang, Sondia, Standing Egg, Stray Kids, Sung Si Kyung, Sunwoojunga, Suzy, T-ARA, TAEMIN, TAEYANG, TAEYEON, TEEN TOP, TOMORROW X TOGETHER, TURBO, TVXQ!, TWICE, Tablo, Tei, The Black Skirts, The Jadu, Tony An, UP, Uhm Jung Hwa, Un, Urban Zakapa, V.O.S, VIBE, VIXX, WAX, WINNER, WOODZ, Wanna One, Wonder Girls, YOON GUN, Yangpa, Yerin Baek, Yoo Jae-Ha, Yoon Do Hyun, Yoon Jong Shin, Yoon Mirae, Yoon Sang, Younha, ZICO, Zia, Zion.T, aespa, dj frizz, f(x), fromis_9, george, god, iKON, j-hope, miss A, parkjiyoon, 녹색지대, 유리상자, 일기예보.
Anglo-American popular music
2 Chainz, 50 Cent, Aaliyah, Adele, Akon, Alicia Keys, Aqua, Ariana Grande, Ashanti, Aventura, Avicii, Avril Lavigne, Backstreet Boys, Bad Bunny, Bailey Zimmerman, Beyoncé, Big Sean, Billie Eilish, Black Eyed Peas, Bring Me The Horizon, Britney Spears, Bruno Mars, Busta Rhymes, CKay, Calvin Harris, Cardi B, Carrie Underwood, Cat Burns, Charli XCX, Chris Brown, Christina Aguilera, Ciara, Cigarettes After Sex, Coldplay, DJ Khaled, DaBaby, Daft Punk, Dave Matthews Band, David Guetta, Destiny's Child, Diddy, Diplo, Doja Cat, Dolly Parton, Dominic Fike, Don Omar, Don Toliver, Drake, Dua Lipa, Ed Sheeran, Eminem, Enrique Iglesias, Fall Out Boy, Feid, Flo Rida, Florida Georgia Line, Gnarls Barkley, Gucci Mane, Gwen Stefani, H.E.R., HARDY, Halsey, Hans Zimmer, Harry Styles, Hozier, Imagine Dragons, JAY-Z, Ja Rule, James Blunt, Jennifer Lopez, Jimmy Eat World, John Legend, Jonas Brothers, Juan Luis Guerra 4.40, Juice WRLD, Juicy J, Justin Bieber, Justin Timberlake, Kali Uchis, Kate Bush, Katy Perry, Keith Urban, Kelly Clarkson, Kenny Chesney, Kesha, Khalid, Kid Cudi, Labrinth, Lady Gaga, Lana Del Rey, Leona Lewis, Lewis Capaldi, Lil Baby, Lil Durk, Lil Jon, Lil Uzi Vert, Lil Wayne, Logic, Lost Frequencies, Ludacris, Luke Combs, MOUNT WESTMORE, Mac Miller, Machine Gun Kelly, Maddie & Tae, Madonna, Maná, Marc Anthony, Mariah Carey, Mark Ronson, Maroon 5, Marshmello, Mary J. Blige, Megan Thee Stallion, Melanie Martinez, Miley Cyrus, Missy Elliott, Morgan Wallen, My Chemical Romance, NF, Ne-Yo, Nelly, Nelly Furtado, Nickelback, Nicki Minaj, Nirvana, Noah Kahan, Offset, Olivia Rodrigo, One Direction, OneRepublic, Ozuna, P!nk, Panic! At The Disco, Paramore, Pharrell Williams, Pierce The Veil, Pitbull, Pop Smoke, Post Malone, Rascal Flatts, Rauw Alejandro, Red Hot Chili Peppers, Rihanna, Roddy Ricch, Romeo Santos, SAINt JHN, SZA, Sade, Sam Fender, Sam Smith, Sandi Thom, Scissor Sisters, Sean Kingston, Sean Paul, Selena, Selena Gomez, Shaggy, Shakira, Shania Twain, Sheryl Crow, Sia, Snoop Dogg, Stormzy, T-Pain, T.I., TLC, Tainy, Taylor Swift, Tears For Fears, The Beach Boys, The Cranberries, The Fray, The Game, The Goo Goo Dolls, The Neighbourhood, The Offspring, The Pussycat Dolls, The Weeknd, Timbaland, Tiësto, Tones And I, Tory Lanez, Train, Ty Dolla $ign, Tyga, Usher, Weezer, Whitney Houston, Willie Nelson, Wiz Khalifa, Wizkid, YG, Zach Bryan, Zedd, blink-182, will.i.am.