The 1969 Stonewall riots were a watershed moment for the American queer community, catalyzing a decades-long shift from a fractionate, unorganized queer population with diffuse political goals to one able to exert political power under an overarching group identity. In the decades following Stonewall, “LGBT” (and later, LGBTQ+) became enshrined as a political identity and coalition, despite these constructions of identity overlooking much diversity and discord across the broader community (Murib Reference Murib2023). Queer identity is cross-cutting; this population is highly diverse along the lines of sexual identity, race, and gender (Flores and Conron Reference Flores and Conron2023). One might predict this underresourced, cross-cutting identity group to develop a weak, diffuse identity—but existing data largely counters this assumption. Queer people are a distinct, cohesive group in contemporary American politics, with the majority of the community identifying as ideologically liberal Democrats (Egan, Edelman, and Sherrill Reference Egan, Edelman and Sherrill2008; Jones Reference Jones2021). LGBTQ+ identification has increased dramatically in recent years, and LGBTQ people continue to be disproportionately represented in the US electorate (Goldberg et al. Reference Goldberg, Julian, Manning, Westrick-Payne and Wetrosky2022; Jones Reference Jones2024).
This cohesion amid intragroup diversity evokes some dynamics of Black political behavior. Linked fate has long been regarded as a central motivator of Black politics and is highly correlated with political behavior and partisanship in this group (Chong, Rogers, and Tillery Reference Chong, Rogers, Tillery, Wolbrecht and Hero2005; Simien Reference Simien2005). To what extent does linked fate shape the politics of the queer community? Concerns about transportability of the construct and persistent data limitations have hindered scholarly understanding of queer linked fate, but existing literature has identified varying degrees of the construct across time and samples (Moreau, Nuño-Pérez, and Sanchez Reference Moreau, Nuño-Pérez and Sanchez2019). Nevertheless, extant theory and measures of queer linked fate remain underdeveloped. In this article, I ask, to what extent does queer linked fate motivate political participation? Do feelings of linked fate vary across subgroups of the queer community?
Drawing on the 2016 Collaborative Multiracial Post-Election Survey, I show linked fate to be widespread among the US LGBTQ population. Queer linked fate motivates political participation, with its effects concentrated beyond the ballot box. Diverse identities and lived experiences drive asymmetry in linked fate across the community; although gay, lesbian, bisexual, and transgender identities are all highly correlated with linked fate, the relationship between identity and linked fate vary across the sample. I uncover meaningful variation along racial identities: queer people of color are significantly less likely to feel linked fate than their white counterparts.
I show linked fate to be widespread among the US LGBTQ population. Queer linked fate motivates political participation, with its effects concentrated beyond the ballot box.
In empirically testing predictions derived from the study of linked fate in racial identity groups, I apply existing theory to an understudied, undertheorized population. I extend the linked fate literature by probing the construct’s influence in the politics of a group primarily structured by sexual identity considerations. I argue that the standard linked fate measure is a meaningful—but incomplete—measure of queer linked fate and ultimately push for the development of a more holistic measure that accounts for several dimensions of politicized queer identity. I close with a call to the discipline to take queer people seriously—a more thorough understanding of the factors that underlie queer political identity will shed light on the sexuality gap in American politics, the role of intersectional identities in politics, and the transportability of the linked fate concept beyond racial groups.
A more thorough understanding of the factors that underlie queer political identity will shed light on the sexuality gap in American politics, the role of intersectional identities in politics, and the transportability of the linked fate concept beyond racial groups.
Theory: The Makings and Outcomes of LGBTQ Linked Fate
Linked fate is the sense an individual has that what happens to their identity group at large will affect them personally; it emerges from shared history, discrimination, and recognition of one’s status in a marginalized group (Dawson Reference Dawson1994; McClain et al. Reference McClain, Carew, Walton and Watts2009). Feelings of linked fate can shape attitudes, participation, and perceptions of representation (Shaw, Foster, and Combs Reference Shaw, Foster and Combs2019; Smith, Bunyasi, and Smith Reference Smith, Bunyasi and Smith2019). While originating in the Black politics literature, linked fate has been transported to other groups like Latino and Asian Americans, who “vary more extensively in regard to comparative histories and internal differences … but whom in particular contexts, share similar experiences of exclusion and marginalization” (Gershon et al. Reference Gershon, Montoya, Bejarano and Brown2019, p. 644). Linked fate tends to be less influential in the politics of these groups; individuals may be more likely to feel linked fate toward those whom they share national origin with rather those in their pan-ethnic group (Masuoka, Ramanathan, and Junn Reference Masuoka, Ramanathan and Junn2019).
Support for linked fate is not unanimous—in the wake of increasing intragroup diversity and lower barriers to political information, some argue that the dominance of linked fate in Black politics is waning (Gay, Hochschild, and White Reference Gay, Hochschild and White2016; Smith, Bunyasi, and Smith Reference Smith, Bunyasi and Smith2019; White and Laird Reference White and Laird2020). Others have raised serious concerns about extrapolating linked fate beyond Black politics, considering stark differences in the construction of racial/sexual identities and group histories with subjugation. I use linked fate as an analytical lens through which to study queer political behavior while acknowledging the potential limitations of the measure. Though the standard linked fate measure is a parsimonious heuristic of politicized group identity, it may not adequately map on to queer politics and political identity.
Group Identity
A necessary precursor to the development of linked fate is group identification. As described in the introduction, Stonewall incited a decades-long shift from a disjointed, behavioral understanding of sexual preference toward “a unified political identity [group]” that would “make claims on political rights” (Murib Reference Murib, Brettschneider, Burgess and Keating2017, p.14, p.27). This reframing was an explicitly political tactic; primary source documents depict years of clashes among LGBTQ interest groups as to the best way for the group to construct identity and orient its political action (Duberman Reference Duberman2020; Murib Reference Murib2023). Ultimately, LGBT as a political identity coalition was enshrined during the 1998 National Policy Roundtable, throughout which interest group leaders urged a “united front” would be the most effective strategy to advance group rights (Murib Reference Murib2023).
In formalizing this coalition, the lesbian, gay, bisexual, and transgender communities would become bound together politically. Continued interactions between activists and political actors (namely, Democratic party elites) established “politics as the dominant linkage between sexuality and partisanship,” crystallizing the LGBT community as part of the democratic coalition (Proctor Reference Proctor2022). These decisions laid the groundwork for the development of queer linked fate. LGBT/Q identity is an inherently political identity; the decision to assume one might itself be an acknowledgement of shared political interests across subgroups (Egan Reference Egan2012). The aforementioned political cohesion of this group has been attributed to group consciousness (Hertzog Reference Hertzog1996; Proctor Reference Proctor2016). To date, existing literature has identified varying degrees of linked fate in the queer population, and these disparate findings indicate the necessity of more research in this area. (Egan, Edelman, and Sherrill Reference Egan, Edelman and Sherrill2008; Moreau, Nuño-Pérez, and Sanchez Reference Moreau, Nuño-Pérez and Sanchez2019).
Political Participation
Queer people are more likely to engage in activism, protest, donate, contact officials, and more (Egan, Edelman, and Sherrill Reference Egan, Edelman and Sherrill2008). Linked fate generally mobilizes those who exhibit it (McClain et al. Reference McClain, Carew, Walton and Watts2009). Some have found linked fate to be predictive of queer participation: Proctor (Reference Proctor2016) finds queer consciousness to be “the most consistent and powerful predictor of political participation within the LGBT community,” with those highest in consciousness nearly 30% more participatory (Proctor Reference Proctor2016, p. 137). Similarly, others have found linked fate to be associated with engagement in queer activism (Duncan, Mincer, and Dunn Reference Duncan, Mincer and Dunn2017). Subsequently, I predict that individuals who score highly in queer linked fate will be more likely to participate in politics than those who feel little to no linked fate (H1).
Subgroup Variation
Despite the relative cohesion of the queer voting bloc, we should still expect diversity within the community along the lines of subgroup identities (Gay and Tate Reference Gay and Tate1998; Jones Reference Jones2021). Linked fate should be asymmetrically distributed across group members—“experiences vary not only across but within marginalized groups” (Gershon et al. Reference Gershon, Montoya, Bejarano and Brown2019). Indeed, Smith, Bunyasi, and Smith (Reference Smith, Bunyasi and Smith2019) identifies variation in Black/Latino linked fate across time and generational cohorts, indicating that linked fate can vary systematically within groups and that identity can drive this variation (Smith, Bunyasi, and Smith Reference Smith, Bunyasi and Smith2019). Considering the cross-cutting nature of queer identity, it is expected that group members will vary significantly in perceptions of linked fate along the lines of disparate identities. This variation should be more pronounced across racial identities, as racialized lived experiences can shape linked fate.
Those who hold multiple marginalized identities may be more likely to structure their politics on behalf of the identity more salient in their day-to-day lives (Gershon et al. Reference Gershon, Montoya, Bejarano and Brown2019). Discriminatory experiences can shape linked fate by heightening identity salience and the perception of one’s status in a marginalized group (Miller et al. Reference Miller, Gurin, Gurin and Malanchuk1981). Thus, I anticipate discrimination to matter in the development of queer linked fate. Those in the queer community in less marginalized social locations (i.e. white gay men and lesbians) might hold more linked fate than those marginalized both within and beyond the queer community. Thus, I predict that feelings of queer linked fate will vary across subgroup identities, with those in a less marginalized social location more likely to feel linked fate (H2).
Data and Design
Large-scale surveys within American political science that directly sample queer people remain insufficient at capturing public opinion among this group. See Appendix A for a discussion of existing queer public opinion data. This article draws on data from the Collaborative Multiracial Post Election Survey (CMPS), a large-n election-year survey that oversamples Black, Asian, and Latino Americans across time, region, and linguistic background (Barretto et al. Reference Barreto, Frasure-Yokley, Vargas and Wong2018). The survey includes a range of measures that allow for preliminary investigation of linked fate, including perceptions of/experiences with discrimination, political outcomes, and the standard linked fate measure. The 2016 wave (n = 10,144) did not include oversampling procedures for queer people (n = 875), so fine-grained analysis at the subgroup level is limited. The survey captures queer identity by asking respondents, “Do you consider yourself to be heterosexual or straight, gay, lesbian, bisexual, transgender, queer, or something else?” As queer is used in this piece as an umbrella term for the wider community, those who categorized themselves as “queer” (n = 71) but did not identify as lesbian, gay, bisexual, or transgender are referred to as “Other Queer ID” in subgroup analyses. Those who selected “other” (n = 154) are excluded from this analysis.
The CMPS employs density quota sampling approaches to capture its sample. Therefore, CMPS data is not a representative sample of the US population—samples tend to be more democratic (and of course, more racially diverse) than the US population. To address this, poststratification weights are used to match the adult population on age, gender, education, nativity, ancestry, and voter registration to 2015 American Community Survey estimates (Barretto et al. Reference Barreto, Frasure-Yokley, Vargas and Wong2018). All statistical analyses employ these weights. Findings gleaned from this study should not viewed as generalizable to the US population or to the queer community at large. See Appendix B for an overview of sample characteristics and a comparison of the CMPS with similar datasets. See Appendix C for question wording.
Operationalizing Linked Fate
Multidimensional psychological constructs are difficult to measure, and “the influence of group consciousness may depend critically on how consciousness is conceptualized and measured” (Chong, Rogers, and Tillery Reference Chong, Rogers, Tillery, Wolbrecht and Hero2005, p.46). Although a number of queer linked fate measures have been developed, no single index has risen to prominence (See Appendix Table A1 for overview). Recent debate has critiqued the extension of the linked fate concept beyond Black politics, as the measure was designed specifically to capture the lived experiences of Black Americans (Junn and Masuoka Reference Junn and Masuoka2008). This concern is warranted—but I am in line with the view that “these measures should [not] be rejected out of hand, but scholars should acknowledge potential problems in their transference” (McClain et al. Reference McClain, Carew, Walton and Watts2009). Thus, this analysis relies on the standard linked fate item as an indicator of queer linked fate: Do you think what generally happens to Lesbian, Gay, Bisexual, Transgender, or Queer people in this country will have something to do with what happens in your life? (0 = not at all, 1 = not much, 2 = some, 3 = a lot). For ease of interpretation, I have recoded linked fate on a 0–1 scale (0, 0.33, 0.66, 1) in the statistical models.
Queer Linked Fate and Participation
The first part of this analysis explores the relationship between linked fate and political participation. Focusing on voting behavior and protest participation, I use ordinary least squares multiple regression to gauge the influence of linked fate versus that of known correlates of participation. Additionally, I create an index of seven distinct political behaviors as conceptualized by Verba et al. (Reference Verba, Schlozman, Brady and Nie1993) and present these findings in Appendix Tables A5–A6.
Dynamics of Queer Linked Fate
In the second part of the analysis, I present descriptive and statistical findings that highlight variation in linked fate across subgroups of the queer sample. Using ordinary least squares regression, I test the influence of theoretically relevant covariates (discriminatory experiences), political covariates (partisanship, political interest), and demographic covariates (identity, education, income, etc.) on the development of linked fate.
Results
Participation
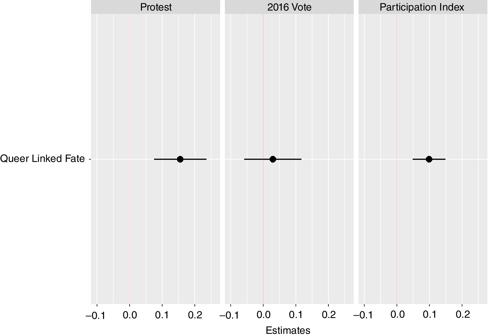
Figure 1 plots the relationship between linked fate and political participation, controlling for political and demographic factors (see Appendix Tables A5–A6 for regression outputs). Here, I find mixed support for H1. Analyzing queer political participation in the aggregate, linked fate is the strongest predictor of participation, with an effect slightly stronger than that of one’s level of interest in politics. This indicates that linked fate operates alongside known correlates of participation. When participatory behaviors are disaggregated, linked fate’s influence varies: although linked fate is a significant predictor of protest (p<.001), it has little influence on 2016 voting behavior. Considering the relatively small size of the queer voting bloc vis-à-vis the general population, queer people might have diminished influence in the electoral arena, leading highly identified group members to direct their attention to more influential political behaviors.
Table 1 Mean Linked Fate by Identities

Note: Data from CMPS 2016.

Figure 1 Queer Linked Fate and Political Participation
CMPS 2016 ACS sample weights used. Models include controls.
Subgroup Variation
Linked fate is widely felt in the queer community: 71% of the sample reported feeling some or a lot of linked fate. As predicted, linked fate varies across the community, with gay and lesbian respondents scoring highest (0.78 and 0.74, respectively) and those with other queer identities scoring the lowest (0.53) See Table 1. When regressing these identities on linked fate, I find gay, lesbian, bisexual, and transgender identity to be significant, positive predictors of queer linked fate—even when controlling for additional factors that moderate its development (See Appendix F for regression outputs). In this model, gay identity is the most powerful predictor of queer linked fate. Transgender identity has a high degree of variation, indicating feelings of linked fate vary significantly across members of this subgroup (Figure 2).

Figure 2 Queer Linked Fate by Identities
CMPS 2016 ACS sample weights used. Model includes controls.
I additionally find evidence that racialized lived experiences shape the development of linked fate: white respondents felt linked fate more strongly than respondents of color. I do not find significant variation in feelings of linked fate across the Black, Latino, and Asian subsamples. Importantly, the small white LGBTQ sample (n = 77) limits the ability to generalize these findings, and larger samples are necessary for fine-grained subgroup analyses. These findings constitute support for H2: linked fate does indeed vary across subgroup identities within the queer community, and racialized lived experiences appear to cut against the development of queer linked fate among queer people of color.
Exploratory Analysis: Discrimination
In Appendix I, I uncover preliminary evidence that discriminatory experiences shape queer linked fate. Experiences with/perceptions of discrimination are significant (p<.001), positive predictors of linked fate. More work is needed that engages with specific experiences that mediate this relationship.
Discussion
In this article, I have corroborated previous findings that show linked fate to differentially motivate queer participation (Moreau, Nuño-Pérez, and Sanchez Reference Moreau, Nuño-Pérez and Sanchez2019). In identifying a weak relationship between queer linked fate and voting behavior, I shed light on the participatory tactics taken by the queer rights movement, whose repertoires have often taken the form of contentious politics rather than electoral campaigns. My expectation of high levels of linked fate across the queer community was borne out, and I identify significant variation across the population—even when controlling for factors extant theory predicts should moderate its development. This suggests that for the queer population, linked fate seems to operate in similar yet distinct ways than the literature suggests. Although the effects of linked fate on behavior are clear, it less uniformly influences this group’s participation than it does for Black Americans. For queer people, additional factors complicate the development and outcomes of linked fate. Clearly, more research in this realm is needed.
Future scholarship should expand on this work in a few important ways. I argue that the standard linked fate item is a useful but insufficient measure of queer shared fate. For example, 37% of heterosexual respondents reported linked fate. As linked fate measures politicized group identity, those who are not part of the group should—in theory—not develop shared fate toward the group. This finding is in line with the developing literature that views the existing “theory and measurement of linked fate [as] poorly aligned” (Gay, Hochschild, and White Reference Gay, Hochschild and White2016, p.140). Ultimately, there is a need for a queer-specific measure of linked fate which incorporates Dawson’s canonical measure.
The inclusion of additional items in a measure of linked fate might heighten its construct validity. A new measure should include subgroup-specific items, gauging one’s shared fate toward those in their subgroup relative to the wider community. Scholars should further evaluate and expand on extant measures like those used by Egan, Edelman, and Sherrill (Reference Egan, Edelman and Sherrill2008) and Duncan, Mincer, and Dunn (Reference Duncan, Mincer and Dunn2017). In evaluating the salience of linked fate in queer political behavior, I expand the scope of the theory to a constructed identity group primarily moved to politics by sexual identity considerations. The study of queer linked fate can move the discipline toward a more holistic understanding of the construct and contribute to scholarly understanding of the role of linked fate in US politics.
Conclusion
This research agenda will be impossible without a renewed discipline-wide commitment to queer politics. Presently, queer public opinion data is expensive and difficult to acquire, and these costs are disproportionately borne by junior scholars and graduate students. Major political science surveys should capture queer identity and attitudes, oversampling this population to allow for analysis at the subgroup level. Just as the CMPS sought to ameliorate data scarcity issues with respect to racial and ethnic minorities, a large nationwide survey of queer Americans could do the same. Increased attention and funding are needed if we seek to understand the forces that motivate this diverse group to “punch above their weight” in politics. All said, group consciousness and linked fate should be at the heart of future queer research agendas within political science. Continued theoretical and methodological development in this realm will promote a more holistic understanding of the role of intersectional group identity in US politics.
Presently, queer public opinion data is expensive and difficult to acquire, and these costs are disproportionately borne by junior scholars and graduate students. Major political science surveys should capture queer identity and attitudes, oversampling this population to allow for analysis at the subgroup level.
SUPPLEMENTARY MATERIAL
To view supplementary material for this article, please visit http://doi.org/10.1017/S1049096525000228.
ACKNOWLEDGEMENTS
Many thanks to the reviewers, Shana Gadarian, Devin Caramma, and Josiah van Egdom for their support and insightful comments on earlier iterations of this manuscript.
DATA AVAILABILITY STATEMENT
Research documentation and data that support the findings of this study are openly available at the Harvard Dataverse at: https://dataverse.harvard.edu/dataset.xhtml?persistentId=doi:10.7910/DVN/IMKU8O
CONFLICTS OF INTEREST
The authors declare no ethical issues or conflicts of interest in this research.
 
 


