1. Introduction
Philosophers and economists use models of bargaining games to understand issues related to fairness and justice, and especially how fair and unfair conventions and norms might arise in human societies.Footnote 1 One line of this research shows how the addition of social categories – such as racial and gender groups – to bargaining models deeply impacts outcomes (Axtell et al. Reference Axtell, Epstein and Young2007; Bruner Reference Bruner2019; O’Connor Reference O’Connor2019). The presence of such categories allows for inequitable equilibria that are not possible in models without them. At these equilibria one social group gets more and another gets less, but there is no particular justification for this pattern beyond the fact that they are part of different social groups. In such models, category markers carry information between interactive partners that facilitate unfair rules such as “men get more and women get less”. This fact is taken to help explain why in human groups categorical inequity is the rule rather than the exception.
But in this literature it is typically assumed that these categories are rigid – in that they cannot be altered, and are easily observable – and thus that all agents can identify each other’s category membership.Footnote 2 In reality, social categories are not always so tidy. Sometimes people can voluntarily adopt tags that signal membership in one social category or another. Sometimes social category markers are hard to read, so that interactive partners struggle to reliably identify categorical membership. Sometimes identity markers come in degrees, rather than tidy buckets. In all these cases, the information content of tags or identity markers may be imperfect in ways that disrupt inequitable patterns. If it is not possible to easily tell who is part of which gender, for example, it is not possible to develop a gender rule such as “men get more”.
We introduce a series of cultural evolutionary models where the markers or tags connected with social categories can be adaptable or undependable in various ways. We explore how and when alterations to these tags undermine the stability of unfair conventions. In our first model, rather than assuming that tags are inalterable, we allow agents to adopt new tags over cultural evolutionary time. In the second model, we assume that tags are more or less observable such that when agents attempt to identify the group membership of an interactive partner they do not always succeed. The final model, following Bruner (Reference Bruner2015), assumes that tags come in degrees – as with age or skin colour – and that agents may partially alter their tags. In each case, we see that when the information content of tags is disrupted, i.e. when tags do not reliably identify group membership, inequity is disrupted as well. Throughout this exploration, we consider the role of power in these cultural processes, as it is a key factor shaping how inequity evolves in this kind of model and in the world (Bruner and O’Connor Reference O’Connor2017; O’Connor et al. Reference O’Connor, Bright and Bruner2019; LaCroix and O’Connor Reference LaCroix and O’Connor2020; Bright et al. Reference Bright, Gabriel, O’Connor and Taiwo2025).
We argue that these results can inform projects intended to ameliorate inequity, especially projects that seek to alter the properties of category markers. It has been widely noted that attempts to eliminate or abolish categories such as race and gender run into problems related to redressing the effects of historical injustices (Fraser Reference Fraser1995; Bonilla-Silva Reference Bonilla-Silva2003; Brown et al. Reference Brown, Carnoy, Currie, Duster, Oppenheimer, Shultz and Wellman2003). But at the same time, many have been tempted by the promise of a world where gender, race and similar categories cannot underpin inequitable systems because they do not exist in their current forms. Our models point to a middle ground – even modest changes to the expression of traditional social identities may weaken their information content, while still preserving them. This observation supports ameliorative proposals such as that from Appiah (Reference Appiah1996) and Haslanger (Reference Haslanger2012) who advocate weakening gender and ethnic identities without fully eliminating them. We point to recent changes in gender systems as a successful example of how to weaken the information content in social category markers.
The paper will proceed as follows. Section 2 discusses relevant previous literature and introduces the sort of model we use here. In section 3 we introduce the notion of identity markers acting in various ways that might transfer only partial information about group membership. The next three sections – 4, 5 and 6 – present the three models described above. In section 7, we discuss what these models can tell us about ameliorative projects. Section 8 briefly concludes.
2. Game Theory, Bargaining and Unfairness
As noted, a tradition in philosophy and economics uses game theoretic models to reason about justice and fairness.+Footnote 3 A number of authors have focused on cultural evolution as the place where norms and conventions of fairness typically arise, and, in particular, have employed evolutionary bargaining models to explain the prevalence of fairness norms in human societies (Sugden Reference Sugden1986; H. P. Young Reference Young1993a; Skyrms Reference Skyrms1994; Alexander and Skyrms Reference Alexander and Skyrms1999; Alexander Reference Alexander2000, Reference Alexander2007; Skyrms Reference Skyrms2014). These authors use the Nash demand game, which will be introduced shortly, as their model of bargaining. Across these models, bargaining groups tend to naturally evolve to make equal bargaining demands of each other, and this is taken to explain the cultural evolution of fairness.
Subsequent authors have used similar models to address the other side of the coin – inequity in human societies. It has been widely documented that in spite of the presence of fairness norms most societies have stable, widespread patterns of inequity (Pateman Reference Pateman1988; Mills Reference Mills1997; Tilly Reference Tilly1998). And, in particular, many of these inequitable patterns build on categorical differences, such as racial or gender differences (Ridgeway Reference Ridgeway2011).
Axtell et al. (Reference Axtell, Epstein and Young2007) develop an early model of this sort. They model a population playing a Nash demand game and learning how to bargain based on their experiences with interactive partners. In one version of the model, all agents interact symmetrically and actors learn to make fair (equal) demands of each other. In another version, they add two irrelevant tags – call these “red” and “blue” – to their agents. These tags are observable but otherwise meaningless markers that agents can use to condition their strategic behaviour by treating reds one way and blues another.
Under this small alteration, the outcomes of the model are dramatically altered, such that during intergroup bargaining agents of one type often evolve to systematically get more. This is possible because otherwise meaningless tags transfer information between agents. Observing that an interactive partner is a “blue”, say, can allow agents to coordinate on an inequitable rule like “blues get more and reds less”. Thus, this model and similar variants may help explain the endogenous emergence of inequitable or “discriminatory” conventions across social categories (H. P. Young Reference Young1993b; Bowles and Naidu Reference Bowles and Naidu2006; Hoffmann Reference Hoffmann2006; Henrich and Boyd Reference Henrich and Boyd2008; Stewart Reference Stewart2010; Poza et al. Reference Poza, Villafánez, Pajares, López-Paredes and Hernández2011; Bruner and O’Connor Reference O’Connor2017; O’Connor Reference O’Connor2017, Reference O’Connor2019; Rubin and O’Connor Reference Rubin and O’Connor2018; Bruner Reference Bruner2019; Cochran and O’Connor Reference Cochran and O’Connor2019; O’Connor et al. Reference O’Connor, Bright and Bruner2019; LaCroix and O’Connor Reference LaCroix and O’Connor2020; Saunders Reference Saunders2022a, b; Heydari Fard Reference Heydari Fard2022; Amadae and Watts Reference Amadae and Watts2023; Bright et al. Reference Bright, Gabriel, O’Connor and Taiwo2025).
It is this type of model we build off for the rest of the paper, so in the rest of this section we introduce it in more detail. The Nash demand game assumes two agents divide a resource of some set value. In its original formulation Nash’s bargaining problem allowed players to demand any amount of this resource but we, following previous authors, will look at a simplified “mini-game” to make evolutionary analysis tractable.Footnote
4
When two agents (1 and 2) interact, each makes one of three demands or bids: low (L), medium (M), or high (H). For each pair of demands,
${B_1}$
and
${B_2}$
, both agents receive each a payoff
${u_1}$
and
${u_2}$
, respectively. If
${B_1} + {B_2} \le T$
, where T is the total resource, then the payoff for each agent equals their demand, i.e.
${u_1} = {B_1}$
and
${u_2} = {B_2}$
. If
${B_1} + {B_2} \gt T$
, then each agent i receives a payoff equal to their disagreement point
${d_i}$
, i.e.
${u_i} = {d_i}$
. We constrain the disagreement point so that it is less than the low demand L. In other words, the agents split a resource, receive what they request when they make compatible demands, but if they make overly aggressive, incompatible demands they get a lower, disagreement payoff. This type of strategic scenario is widespread in human groups and has been taken to represent a wide range of interactions where humans bargain or otherwise divide resources.
In what follows, we will generally assume that
$T = 10$
and the three possible demands are
$L = 4$
,
$M = 5$
, and
$H = 6$
. The disagreement points will vary. This game is shown in Table 1.
Table 1. A three-strategy Nash demand game, where
$T = 10$
,
$H = 6$
,
$M = 5$
,
$L = 4$
and
${d_1},{d_2} \lt L = 4$
. The payoffs for the row player come first and the column player second

This model has three pure strategy Nash equilibria (boxed in Table 1). These are pairings of strategies where neither actor can switch and yield a better payoff. Because there is no incentive to change strategies, Nash equilibria are often thought of as good predictions for how real agents will act in analogous strategic scenarios. Notice these are the three outcomes where actors perfectly divide the resource – either equally, or else favouring one of the two players. Thus, a general prediction of this game is that humans will fully split resources, but that there are multiple ways to do so and that these options are more or less favourable to each player.
In the evolutionary models of justice described above, populations culturally evolving to play this game tend to end up at the equilibrium where the entire group demands M. This is the only symmetric equilibria, and thus the only one that an entire, identical group can settle on and always coordinate.Footnote 5
In models with two groups, on the other hand – i.e. where actors have two visible tags – all three Nash equilibria are (typically) stable evolutionary endpoints between the groups. At these outcomes, one group demands H and the other L; they both demand M; or the first L and the other H.Footnote 6 The unfair outcomes arise commonly under a variety of assumptions about how individuals learn or culturally evolve, and are thus taken to help explain unfairness in the wild.
2.1 Power and Evolutionary Bargaining
As mentioned, power will play an important role in our analysis below. We address power here because it is deeply important in shaping bargaining conventions between groups (Ridgeway Reference Ridgeway2011) and will be relevant to exploring how and where the information in tags can ground inequity. The concept of power is multifaceted and there are multiple ways to operationalize it in bargaining games. Here, we draw on early work by J. Nash (Reference Nash1953) who pointed out that differences in disagreement points between two actors can capture power differences. He focused on an interpretation where these were shaped by threats – each player could make a threat of how they would harm their opponent should bargaining break down. Disagreement points have also been used to track economic, social or political differences that shape the fall-back positions bargainers face if they fail to reach agreement, including differences of this sort resulting from group identity (Manser and Brown Reference Manser and Brown1980; McElroy and Horney Reference McElroy and Horney1981).Footnote 7
Bruner and O’Connor (Reference O’Connor2017) consider two groups evolving to bargain where one has a higher disagreement point than the other. (In the Nash demand game in Table 1 this would translate to setting
${d_1} \gt {d_2}$
.) They find that this systematically advantages the empowered group in that the population tends to end up at equilibria where they get more. The greater the power, the stronger the effect.Footnote
8
In Figure 1 we replicate their results. In the proceeding, we will refer to the two groups as “blue” and “red”. We hold the disagreement point for red,
${d_R} = 0$
, and vary the disagreement point for blue,
${d_B} \in \left[ {0,4} \right]$
. Traces show the probability that each possible equilibrium emerges for different power levels: the blues demand high and the reds low (proBlue), the blues demand low and the reds high (proRed), or they both make medium demands (fair). As is evident, the greater the power for the blues, the greater the likelihood they end up demanding high, and the less likely they demand low or medium.Footnote
9

Figure 1. A group with a higher disagreement point will tend to reach favourable bargaining outcomes as a result of cultural evolution. Traces show the emergence rate for three equilibria for different disagreement points of blues (
${d_R} = 0$
;
$0 \le {d_B} \le 4$
).
3. Groups and Variable Tags
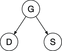
Most previous models in this literature have assumed that tags – the visible markers actors use to condition behaviour – are perfectly correlated with group membership. This boils down to an assumption that actors can simply observe group membership and use it to choose strategies. We now move to a more general model where (1) actors belong to underlying social groups, (2) tags are somehow correlated with these group identities and (3) empowerment is potentially also correlated with group identity. Figure 2 shows this structure.

Figure 2.
$G$
is fixed, underlying group membership (red or blue). This determines another fixed-trait
$D$
(disagreement point) and can influence tag (or signal),
$S$
. The arrows represent dependencies, which may be quantified using conditional probability distributions. Note that while tag
$S$
is directly observable, group membership
$G$
and disagreement point
$D$
are not.
The reason this general model is important has to do with the conditions under which tags can underpin inequitable equilibria in these models. O’Connor (Reference O’Connor2019: Ch. 9) identifies three conditions that must be in place for inequity to emerge: (i) the presence of categories or tags, (ii) type-conditioning (the ability of agents to condition their strategies on tags of partners) and (iii) learning. She points out that inequity can be disrupted in these models by disrupting any of these three features.
When it comes to disrupting (i), if tags did not exist, inequitable equilibria would disappear. We would revert to the single population models described above. O’Connor points out, though, that some tags are difficult to change – including skin colour and some features of biological sex. Others – such as gendered dress, religious dress, and hair colour – are easy to change. Still others, like accents, fall in between. Furthermore, different tags may be easier or harder to read as markers of a category. Something like religious dress may be easy to observe and identify compared with some phenotypic features such as ambiguous skin colour or height. In other words, not all tags are alike in their ability to transfer information about group membership, and not all tags are alike in their flexibility.
In the following, we explore models where the information content in tags is degraded in various ways. As will become clear, we sometimes treat tags as pre-play signals. In a game with pre-play signals, actors first communicate by sending a signal, and then can use these signals to condition strategic behaviour in the subsequent game. Pre-play signalling can alter outcomes in evolutionary settings, including in bargaining games.Footnote 10 The key difference between signals and tags is that signals are part of a strategy, i.e. they can be adopted and discarded, whereas tags are fixed. But since we explore variations on this theme, below we will sometimes describe tags as signals (i.e. as part of agent strategies).
The previous models we have discussed employ a variety of cultural evolutionary dynamics including ones drawn from evolutionary biology and also agent-based rules for learning and imitation. A general assumption is that via one mechanism or another strategies that are successful tend to proliferate compared with those that are not. Our models use an imitation dynamics called pairwise difference imitation dynamics (PDI), that make the same assumption (Schlag Reference Schlag1998). Under this rule, success of a strategy translates to probability that it is imitated by a group member. It can be shown that PDI dynamics reproduces features of the replicator dynamics – the most widely used dynamics in evolutionary game theory – in an agent-based context (Schlag Reference Schlag1998; Izquierdoy et al. Reference Izquierdoy, Izquierdoz and Sandholm2019).Footnote 11
Our simulations thus proceed as follows (unless specified otherwise). Agents of each group are initially assigned a strategy defined as a tuple
$\langle S,{b_1},{b_2}\rangle $
, where S is the agent’s tag (A or B),
${b_1}$
is the demand an agent makes when observing tag A, and
${b_2}$
when observing B. In each round, each agent interacts with every other agent, playing based on their strategies, and receiving payoffs. After all play in the round is complete, agents randomly pair with in-group members (blues with blues; reds with reds) and adapt their strategy via probabilistic imitation. The agent with the lower accumulated payoff imitates the agent with the higher payoff with a probability that is proportional to the difference in these payoffs. The simulation continues until the group reaches a stable endpoint or a run-time limit is reached.
In particular, if agents i and j are paired for imitation, and j outperformed i, the probability of imitation is:
where
${u_i}$
is the accumulated payoff of agent i. The denominator,
${u_m}$
, is the largest possible payoff difference between players.
In many of these models we see endpoints similar to the equilibria described in section 2. (Though details vary based on the model as will become clear below.) In Fair outcomes both groups end up demanding M of each other. In proBlue, when groups meet, blues play H and reds L. ProRed is the exact mirror image. Note that the two discriminatory outcomes (proBlue and proRed) typically correlate with the emergence of a pattern we call distinctive signalling (dS): blues send A, and reds send B.
4. Model 1: Adaptive Tags
In our first model, we assume that tags are more like signals, i.e. that they are sometimes adopted as part of a strategy. In particular, at the beginning of each round of simulation we assume each agent has a small chance (2%) of being paired with another agent from either group to imitate their tag.Footnote
12
This means that sometimes red agents can adopt the blue tag, and vice versa. We then simulate bargaining, and the evolution of bargaining and signalling strategies, according to the PDI dynamics.Footnote
13
We compare this to a version of the model that is otherwise identical but where tags are held fixed. We vary the power difference between groups, assuming throughout that blues are more powerful than reds (
${d_R} = 0$
and
$0 \le {d_B} \le 4$
). For all models presented here, actors start with random bargaining strategies, and with distinctive tags that identify group membership.
Results for both versions of the model are shown in Figure 3.Footnote 14 In the first condition with no tag imitation (3a), results are very qualitatively similar to those replicated above in Figure 1. (They vary slightly because we now use PDI dynamics.) As blues become more powerful, they also tend to get more. The results in (3b), though, are quite different.Footnote 15 In this version of the model, tags are assigned as before to both groups at the start of simulation, but can be copied as described. Now we see that fair outcomes are much more common for all versions of the model. This is true even without power imbalances, but the effect is especially striking once power imbalances are introduced. In addition, we see that distinctive signalling – each group adopting different tags which identify group membership – is less and less common given power imbalances. The explanation for this effect should be fairly intuitive – if a group is headed toward an inequitable outcome grounded in a tag, the disadvantaged group will learn to switch tags and avoid inequity. The absence of rigid tags thus decreases inequitable outcomes.

Figure 3. Tag imitation promotes equity and disrupts the effects of power on bargaining: 50 blues; 50 reds (
${d_R} = 0$
;
$0 \le {d_B} \le 4$
), under the PDI dynamics for 200 simulation-runs per data point.
$dS$
presents the number of runs with distinct signals across groups.
We consider two further conditions in which only one group is able to imitate tags, while the other group maintains a constant tag. This amounts to flexibility in signalling for one group, and inflexibility in signalling for the other group. As we will see, this version helps elucidate where flexibility matters. In particular, adaptive tags are helpful for a disempowered group, or any group headed to a disadvantaged outcome. Adaptive tags for a powerful or advantaged group do not disrupt inequity, as such groups are incentivized to maintain distinctive signalling, and thus reach favourable equilibria for themselves.
As is clear from Figure 4, outcomes are dramatically different in these two conditions. When reds, the disempowered group, are able to change tags, fairness is likely, and distinctive signals are less likely to be maintained. This is because when groups head towards inequitable outcomes, the reds (who are more likely to be disadvantaged) tend to camouflage by adopting the blue group tag. It thus becomes impossible to identify groups, and so impossible for inequity to emerge.

Figure 4. If a disempowered or disadvantaged group does not have adaptive signals, inequity is common: (
${d_R} = 0$
;
$0 \le {d_B} \le 4$
), under the PDI dynamics for 100 simulation runs per data point.
$dS$
represents the number of runs with distinct signals across groups.
When the blues, the powerful group, have flexible tags, the proBlue outcome tends to emerge. In these cases, the Blues learn to distinguish themselves by adopting distinctive signals. When they do so, the entire system can head towards a proBlue outcome, supported by these tags. In other words, when the powerful group adopts a distinctive signal for themselves, they can exploit the inflexible signal of the less powerful group to their advantage.Footnote 16
To summarize, adaptability – the capacity for agents to switch tags strategically – disrupts inequity in these models. This sort of adaptability is especially impactful for disempowered groups.Footnote 17
5. Model 2: Undependable Tags
Our next model considers tags that are undependable, in the sense that they are unreliable or inconsistent in their function or meaning. We can think of these as fixed but stochastic signals. Agents cannot adapt new tags, but instead they signal either A or B with some set probability. Concretely, an agent of group G sends a signal s with probability
$p = P(s|G)$
, so
${p_{A|G}}$
is the probability that an agent of G signals A, and
${p_{B|G}}$
is the probability that an agent of G signals B.
We tested all combinations of values of
${p_{.|Blue}}$
and
${p_{.|Red}}$
from the set
$\left[ {0,0.25,0.5,0.75,1} \right]$
.Footnote
18
While the signalling of each agent is fixed during each simulation run, agents adapt their demand strategies according to PDI dynamics, i.e. imitating strategies defined by the tuple
$\langle {b_1},{b_2}\rangle $
, where
${b_1}$
is the demand upon receiving signal A, and
${b_2}$
is the demand upon receiving signal B. We assume throughout that blues have more bargaining power (
${d_B} = 3$
,
${d_R} = 0$
). Results are shown in Figure 5.

Figure 5. This figure shows the emergence rates of fairness (left) and proBlue (right) for different combinations of blues’ probability
${p_{A|Blue}}$
to signal
$A$
and reds’ probability
${p_{A|Red}}$
to signal
$A$
, where
${d_B} = 3$
;
${d_R} = 0$
. Unfair outcomes are most likely when signalling is distinct.
When blues consistently signal A and reds consistently signal B (bottom left corner), or vice versa (top right corner), the proBlue outcome emerges in more than
$70{\rm{\% }}$
of runs, while fairness emerges in around
$20{\rm{\% }}$
.Footnote
19
This is because tags are perfectly correlated with the types, revealing reliable information about agents’ group memberships, and thus creating conditions for blues to exploit their bargaining power. In most of the remaining combinations, fairness emerges with high probability. This shows, again, that distinctive signalling is a precondition for unfairness.
There is, however, a notable asymmetry. Inequity is more possible when reds (the less powerful group) are not perfectly observable. But inequity disappears quickly when the blues (the powerful group) are not perfectly observable. This is somewhat unintuitive, given that in the last section, inequity was more disrupted by flexibility in the signals of the powerless group. Why would this be? In this case, when the blues employ an aggressive bargaining strategy, they suffer when they are misperceived. This is because a blue who is making aggressive demands, but is seen as a red, will tend to also meet aggressive demands and reach the disagreement point (both with in- and out-group members). On the other hand, if the blues are making high out-group demands, and reds are misperceived, they all still do well. This points to an interesting possible take-away. In these models, for high power groups it is important that they preserve the dependability of their own tags (more so than preventing lower power agents from using ambiguous tags).
Still, a low power group may disrupt inequity if their tags are sometimes perceived as out-group. Figure 6 demonstrates this in more detail. We hold fixed the probability of the blue group sending A,
${p_{A|Blue}} = 1$
. We vary the red group’s tag dependability from 0 to 1. As is clear, when the powerless group has a less dependable tag, inequity is disrupted.Footnote
20

Figure 6. If a disempowered group has an undependable tag, this disrupts inequity. (
${d_R} = 0$
;
${d_B} = 3$
).
There is something else to note here, which is that the noise in these models could be produced on either side of an interaction. It may be that some identity signals are inherently ambiguous, or it may be that they are unambiguous, but not dependably observed. This means that if a low power group were able to cultivate indiscriminate observations – by failing to appropriately observe the powerful tag – this could disrupt inequity. Of course, in doing so, they would have to temporarily harm themselves, by making over-aggressive demands of their out-group. But the logic is similar to what we see in some cases of social action where oppressed groups refuse to recognize and treat a dominant group as such.
Generally, these results suggest that when inter-group differences are salient and observable, this creates conditions for unfairness to emerge. However, adding even moderate noise – either on the production or perception side – is often enough to reduce the salience of inter-group differences. This, in turn, increases the probability of fairness emerging.
6. Model 3: Continuous (Adaptive) Tags
Our last model is fairly different from those presented thus far. It is intended to give robustness to claims from section 4 using a more realistic and textured set-up. To this point, we have considered binary tags, but in reality tags often vary in more fine-grained ways – skin colour, markers of age, some gender markers, and many class markers can come in degrees, for example. In this model, a tag
${x_i}$
lies in an interval
$X = \left[ {0,1} \right]$
. The distance between two tags
${x_i}$
and
${x_{i{\rm{'}}}}$
is
$\left| {{x_i} - {x_{i{\rm{'}}}}} \right|$
. And, as we will outline in detail shortly, we assume these tags are adaptable.
How does tag conditional behaviour work in this model? We assume that every agent has a “tolerance distance” which defines how similar another agent has to be in order to be considered ‘in-group’ (within the tolerance threshold) or ‘out-group’ (outside of a tolerance threshold). The strategy of each agent is then a function not of the raw continuous tag, but of whether the tag falls above or below the tolerance threshold. Agents follow a conditional strategy
$\left( {{b_{in}},{b_{out}}} \right)$
, where
${b_{in}}$
is the demand they make against in-group, and
${b_{out}}$
is the demand they make against out-group members.Footnote
21
We assume all agents are randomly given a fixed tolerance threshold drawn from a normal distribution with mean
$0.5$
and standard deviation
$0.1$
. We considered versions of the model where agents had adaptable tolerance thresholds, but results did not differ substantially. Each agent is also initially randomly assigned a bargaining strategy
$\left( {{b_{in}},{b_{out}}} \right)$
.
We assume agents may slowly change their tags. Tags have a degree of alignment
$DA\left( x \right)$
which determines how quickly the tag can change under PDI dynamics.Footnote
22
Rather than perfectly adopting the tag of a successful imitative partner, an agent will shift some per cent of the way, defined by
$DA\left( x \right)$
.Footnote
23
Although we experimented with various values of
$DA\left( x \right)$
, it did not end up mattering much to our results, so below we always set
$DA\left( x \right) = 0.1$
.Footnote
24
We assume in-group copying only for both tags and bargaining strategies.
We again assume two underlying groups, blues and reds, which differ in disagreement points (
${d_B} = 3$
;
${d_R} = 0$
). Furthermore, we constrain the simulation such that the two groups begin clustered in different sections of the trait space with blues’ tags initialized within the interval [0,0.5] and reds’ tags in [0.5,1]. Note that this means that across simulations it is, in principle, possible for there to be small differences in how much the two groups can come to “look” like each other (because we do not allow out-group tag imitation).Footnote
25
Depending on the details of initial tag distributions, tolerance thresholds and bargaining strategies, simulations of these models sometimes end up more or less “segregated” with respect to tag values, and with more or less fairness. The main thing we report here is how eventual tag integration shapes the emergence of inequity in these models. The central finding is that when agents adapt tags such that they perceive all or most others as in-group, fairness tends to dominate. It is only in cases where significant in-group/out-group perception remains that we see unfairness.
To quantify this, we measure the ratio of the ‘mean tag distance’ (MTD) and ‘between-types mean tag distance’ (BTD). MTD is defined as the mean of distances between two tags of every pair of agents. This tracks how far apart agent tags are on average across all agents.Footnote 26 BTD is defined as the mean of distances between two tags of every pair of agents, of which one is red, the other is blue. It tracks how far apart the tags of the two groups tend to be on average.Footnote 27 Comparing these two measures allow us to say how different tags in the two groups tend to be from each other compared with how different all tags are.
We ran 100 simulations. At the end of each run, we recorded MTD, BTD and the bargaining outcome.Footnote 28 As is clear from Figure 7, the relative segregation of the two groups predicts the emergence of unfairness. When there is a lot of distance between the two groups with respect to tags, compared with overall tag distance, we tend to see inequity. When the two groups are relatively integrated, we tend to see fairness.Footnote 29

Figure 7. Unfair outcomes are more likely when tags between groups are relatively less similar.
This model is more complex than the other two we have presented, and there are many ways we might explore it further. What we present here are limited results that lend weight to the findings in section 4. Here, again, we find that the degree to which agents can adapt their tags determines how much inequity tends to arise in our models. And, in particular, in cases where groups more thoroughly mesh identity signals, the less inequity we see.
7. Unfairness, Information and Identity
Across all three models, there is a unifying theme – when tags are able to reveal information about group membership, and thus about what strategy a partner might play, they can underpin inequitable systems. When the information in tags, about group identity and about the expected behaviour of a partner, is decreased, they can no longer support inequity. We give a more in-depth discussion about what it means for a tag to reveal information of this sort, in Appendix A.4 online. The important thing is that for inequity to work, tags must be able to act as symmetry breakers. They must function to make rules like “blues get more and reds get less” work. When tags are not transferring enough information, these rules cannot get off the ground. A central result here, though, is that the information in tags need only be decreased to some degree.
One way, then, to disrupt existing inequitable systems is to disrupt the presence of information carrying identity tags. In discussions of social justice or inequity, similar ideas have arisen many times. Some argue for versions of gender or racial “abolition”, for example – the idea that these categories should be eliminated, or else seriously reworked, in order to avoid inequity. Okin et al. (Reference Okin1989) gives an early argument for the development of a “genderless” society with “genderless institutions and customs” to prevent gender bias (107). Fraser (Reference Fraser1995) suggests a project of undermining gender and racial categories so that, “hierarchical [categories] are replaced by networks of multiple intersecting differences that are demassified and shifting”. Haslanger (Reference Haslanger2012) develops an influential argument for the reworking of gender as we know it in order to avoid the existence of oppressed gender categories. She develops a similar – arguably more radical – argument for racial categories. Others, like Mikkola (Reference Mikkola2016), push back, arguing that a category such as “woman” is not necessarily connected with oppression, and could be maintained while removing inequity. Authors such as Escalante (Reference Escalante2016), though, are sceptical that such a thing is actually possible. Escalante argues that gender is inextricably linked to power and power differentials, no matter how it is constituted. With respect to projects changing the concept of gender (including those creating more genders), Escalante writes that, “If all of our attempts at positive projects of expansion have fallen short and only snared us in a new set of traps, then there must be another approach … Our only path is that of destruction.”Footnote 30
But there are ethical harms that may arise from the “destruction” of social categories. Haslanger (Reference Haslanger2012) points out that because biological sex will always be relevant to human cultures, it will not be desirable (and probably not possible) to fully eliminate or destroy categories related to sex. Cull (Reference Cull2019) points to the harms trans people suffer if gender is abolished. If a trans woman strongly identifies as a woman, abolishment of that category is a harm to her.Footnote 31 And it has been widely pointed out that for historically marginalized social categories, reworking or eliminating the category might destroy resources necessary for addressing this marginalization. Brown et al. (Reference Brown, Carnoy, Currie, Duster, Oppenheimer, Shultz and Wellman2003) make this case extensively for race – arguing that a move to “colour blindness”, or else to eliminating races, ignores the ongoing injustice faced by Black Americans.Footnote 32 Furthermore, such a perspective can help dominant, white groups ignore the continuing harms of racism (Gallagher Reference Gallagher2003; Bonilla-Silva Reference Bonilla-Silva2003). who argues for the elimination of “public or personal identities” based on racial markers, still advocates maintaining a recognition of racial groups to “remedy ongoing injustice” (255).
This tension relates to what Fraser (Reference Fraser1995) calls the redistribution-recognition dilemma in thinking about distributive justice. Social justice seems to require that we recognize and attempt to valorize traditionally marginalized groups, while it also demands that we redistribute goods and status. Given what we know about the emergence of inequity, though, the presence of the categories we valorize stands in the way of this sort of redistribution.
How to proceed? We think our models help point towards a path where historically important social categories can be preserved and recognized while simultaneously reducing their ability to support inequity. Our models suggest that even relatively small adjustments to category markers – changes in their dependability, or adaptability – might help disrupt inequitable systems. On this picture, important social categories need not be “destroyed” or even radically restructured. Instead, changes that lower the information content of category markers, while maintaining categories for the most part, may successfully disrupt inequitable systems. This possibility may also dehorn the redistribution-recognition dilemma – if it is possible to recognize social categories, but reduce their importance to the point where equitable distribution is possible, we can have our cake and eat it too. Of course our models are just models, so further empirical support is needed for this possibility. But if we are correct, ameliorative projects that seek to make even modest changes to categories such as gender and race may be successful.
Of import here is the fact that social categories and their tags or markers are not, generally, identical. Often a social category might be preserved while its members shift or adapt their tags in ways that decrease the information in these tags. Historically, laws and conventions were adopted for the express purpose of preventing people from doing just this. Sumptuary laws, for example, prevented marginalized racial groups from dressing in ways that might confuse their racial identity (Pastore Reference Pastore2002; Earle Reference Earle, Berg and Eger2003). Such laws help prop up inequitable systems by preventing just the sort of playing with tags and markers we have in mind. But since race is social, not just biological, and since gender is not sex, when such laws are not in place, it will often be possible to play with the markers for these categories.
This proposal is not a radically new one, but rather stands in support of previous thinkers who advocate reducing the power, strength, importance or salience of social categories without eliminating them altogether. Appiah (Reference Appiah1996), for example, suggests that the importance of racial and ethnic identities should be weakened to lessen their power. He writes, “so here are my positive proposals: live with fractured identities; engage in identity play; find solidarity, yes, but recognize contingency” (135). Our models suggest that this might be effective. In addition, they point to specific ways to proceed with “identity play” by highlighting the sorts of changes that reduce the information in category markers.
Our models also support some aspects of gender reworking as proposed by Haslanger (Reference Haslanger2012). Haslanger argues, “One can encourage the proliferation of sexual and reproductive options without maintaining that we can or should eliminate all social implications of anatomical sex and reproduction” (253). The models here suggest that something along these lines, but probably easier than what she has in mind, might have similarly good outcomes. It may not be necessary to fully revamp gender to prevent it from acting as a locus of oppression. Smaller changes that reduce the information in gender markers may do the work.
Arguably, recent changes in gender expression, expression of sexual orientation, and other aspects related to gendered behaviour are disrupting gender categories in the right sorts of ways. O’Connor (Reference O’Connor2019), using models like the ones developed here, points out that for gender to divide labour, status, and resources, a “bundle” of features must be in place – sex and gender must be strongly correlated, individuals must economically (and usually romantically) pair with those of the “opposite” sex/gender, gender signals or markers must correlate strongly with gender, and individuals must learn and adhere to their proper gendered roles. Changes that disrupt any aspects of this bundle can help disrupt the system. We are focused here on one aspect of this disruption – changes related to gender signals or markers, such as those coming out of the feminist, gay rights and trans rights movements. When individuals adopt confusing or non-traditional gender signals, when they choose romantic partners in different ways, when they engage in roles and jobs that are not associated with their gender, when they decouple gender presentation from sex – these actions may all help disrupt inequity.
Note that our claim is not that individuals are morally required to make decisions about these issues for the purpose of inequity. Gender and racial expression, for example, are often deeply personal and many report harms from engaging in inauthentic identity expression. In addition, when it comes to expressions that constitute ‘passing’ as part of another social group, there are complex ethical and practical reasons for and against.Footnote 33 But it seems to be the case for gender that facilitating freedom of expression is, in fact, enough to create the kinds of disruptions we have in mind. In the presence of such freedom, many individuals seem to want to create these disruptions. In other words, simply allowing individuals to play as they like without significant normative push-back may be enough.
As noted, Escalante argues that gender in any form creates harmful power disparities. On this account, disruptions to gender systems such as the adoption of “non-binary” as a category, or of trans identities, simply create more loci for inequity. It is ultimately an empirical question, though, whether or not this is true. Throughout much of human history, gender has been produced in a binary system that builds off sex differences. The models in this paper where inequity is easy to produce are those that most neatly track traditional gender systems – everyone is observably part of one category and they cannot change. And, in any of our variants where information transfer is sufficiently lessened, we see inequity reduced. It may be the case that there is hope for this sort of more modest categorical change.
One last note – we argue that modest identity play may help undermine inequitable systems. But highly oppressed groups rarely have the freedom to express their identities as they like. Oppressive systems often include rigid rules and normative punishments for those who attempt to alter their identity markers, in part because by enforcing identity, powerful groups can retain their power. Thus, many inequitable systems cannot be dismantled by alterations to identity markers alone. Instead, changes of many sorts – including to economic, material and political conditions, as well as to identity expression – may be necessary to promote equity.Footnote 34
8. Conclusion
We present three models where tags are either (1) adaptable or (2) undependable to differing degrees. In all three cases, the information that tags can transfer about an interactive partner is attenuated as a result. And, as we demonstrate, in all three cases, this means that it is harder to culturally evolve inequitable systems. When tags carry a good amount of information about group membership, and about expected bargaining behaviour, the chance that other agents exploit this information increases. Conversely, when signals are less informative, this exploitation is prevented and fairness is more likely to emerge.
We argue that this observation may have important consequences for thinking about social justice. It may be possible to preserve historically oppressed social categories, while playing with or modifying the tags or markers associated with these categories, so they carry less information about expected behaviour. Our models give some guidance into how this might work – changes intended to make category membership harder to read, or to uncorrelate markers with underlying identities, can make inequity harder to sustain. These sorts of changes encompass the gender play we describe above, but also might involve small changes to class signals, accent or ethnic identity. As noted, we do not think that individuals should consider it an ethical responsibility to alter or play with their identity markers. But in cases where individuals are inclined to do so even modest play may have beneficial consequences for equity. Alternatively, our models may help explain why oppressive regimes so often police identity signalling – because such signalling is core to propping up inequity.
In addition, changes not to markers, but their observability may be effective for similar reasons. There are many examples of policies intended to reduce observability of markers. Anonymized auditions for orchestras (Persson Reference Persson2022) and other anonymized hiring processes – where identifying details such as name, gender and socioeconomic background are obscured – prevent employers from recognizing identity. Likewise, lotteries for school or other admissions processes can reduce focus on identity markers in decision making (Basteck et al. Reference Basteck, Klaus and Kübler2021). Such structural changes are ways to decrease information transfer via identity tags, without putting all the responsibility on individuals, and so are well worth doing.
Of course, the conclusions we draw here are based on highly simplified social models. We take them to be suggestive, to aid normal reasoning about inequity, and to provide concrete suggestions that can be further empirically explored. In particular, we think further study into the degree of information in tags, and how they do or do not support inequity, is worthwhile.
Supplementary material
For supplementary material accompanying this paper visit https://doi.org/10.1017/S0266267125100515
Acknowledgements
This work was supported by the EU Horizon 2020 programme under Marie Sklodowska-Curie grant agreement No. 841443 (HaLO project—“How Language is Used to Oppress”), and funded by the Deutsche Forschungsgemeinschaft (DFG, German Research Foundation) – SFB 1412, 416591334. Thanks to Liam K. Bright, Anton Benz, Christopher Hesse, Jamie Mayerfeld for comments on a draft of this paper, and Sahar Heydari-Fard, Chad Lee-Stronach for discussion of it. Thanks to audiences at the University of Toronto Simon Lectures, MIT, HaLO Oppressive Speech and Norms workshop, for comments.
Mihaela Popa-Wyatt is Senior Lecturer in Philosophy at the University of Manchester. She has published on misogyny, oppressive speech, and misinformation, combining philosophical analysis with tools from game theory and social epistemology to examine how speech shapes social norms and to inform policy on online harms. She has edited three volumes on oppression, harmful speech and contestation, and misinformation.
Cailin O’Connor is Chancellor’s Professor in Logic and Philosophy of Science at University of California, Irvine. She is author of The Origins of Unfairness (Oxford University Press, 2019) and co-author, along with James Owen Weatherall, of The Misinformation Age (Yale Univesrity Press, 2019). She has also written two Cambridge Elements on game theory in philosophy of biology and models of scientific communities. Her research looks at philosophy of science, misinformation, and inequity.
Roland Mühlenbernd is a senior research fellow at the Leibniz-Zentrum Allgemeine Sprachwissenschaft, Berlin. He is contributing author of Evolutionary Pragmatics (Oxford University Press, 2025) and Language Change for the Worse (Language Science Press, 2024). His research focuses on social aspects of human language and communication, particularly how social dynamics influence language use and the role of social meaning in communication.
Jeremy Wyatt is former Professor of Robotics and Artificial Intelligence at the University of Birmingham, UK. He has published more than one hundred articles and edited three books on machine learning, artificial intelligence, and philosophy.


































