1 Introduction
Beltrami fields, that is, eigenfunctions of the curl operator satisfying

on
${\mathbb {R}}^3$
or on the flat torus
${\mathbb {T}}^3$
for some nonzero constant
$\lambda $
, are a classical family of stationary solutions to the Euler equation in three dimensions. However, the significance of Beltrami fields in the context of ideal fluids in equilibrium was only unveiled by V.I. Arnold in his influential work on stationary Euler flows. Indeed, Arnold’s structure theorem [Reference Arnold1, Reference Arnold2] ensures that, under suitable technical assumptions, a smooth stationary solution to the three-dimensional Euler equation is either integrable or a Beltrami field. In the language of fluid mechanics, an integrable flow is usually called laminar, so complex dynamics (as expected in Lagrangian turbulence) can only appear in a fluid in equilibrium through Beltrami fields. This connection between Lagrangian turbulence and Beltrami fields is so direct that physicists have even coined the term ‘Beltramization’ to describe the experimentally observed phenomenon that the velocity field and its curl (i.e., the vorticity) tend to align in turbulent regions (see, e.g., [Reference Farge, Pellegrino and Schneider17, Reference Monchaux, Ravelet, Dubrulle, Chiffaudel and Daviaud28]).
Motivated by Hénon’s numerical studies of Arnold–Beltrami–Childress (ABC) flows [Reference Hénon23], which are the easiest examples of Beltrami fields, Arnold suggested [Reference Arnold1, Reference Arnold2] that Beltrami fields exhibit the same complexity as the restriction to an energy level of a typical mechanical system with two degrees of freedom. To put it differently, a typical Beltrami field should then exhibit chaotic regions coexisting with a positive measure set of invariant tori of complicated topology.
Although specific instances of chaotic ABC flows in the nearly integrable regime have been known for a long time [Reference Zhao, Kwek, Li and Huang35], Arnold’s speculation has been wide open up until recently. A major step towards the proof of this claim was the construction of Beltrami fields on
${\mathbb {R}}^3$
with periodic orbits and invariant tori (possibly with homoclinic intersections [Reference Enciso, Luque and Peralta-Salas11] inside) of arbitrary knotted topology [Reference Enciso and Peralta-Salas13, Reference Enciso and Peralta-Salas14]. In fluid mechanics, these periodic orbits and invariant tori are usually called vortex lines and vortex tubes, respectively, and in fact the existence of vortex lines of any topology had also been suggested by Arnold in the same papers. These results also hold [Reference Enciso, Peralta-Salas and Torres de Lizaur16] in the case of Beltrami fields on
${\mathbb {T}}^3$
, which, contrary to what happens in the case of
${\mathbb {R}}^3$
, have finite energy; this is important for applications because
${\mathbb {R}}^3$
and
${\mathbb {T}}^3$
are the two main settings in which mathematical fluid mechanics is studied. The main drawback of the approach we developed to prove these results is that, while we managed to construct structurally stable Beltrami fields exhibiting complex behavior, the method of proof provides no information whatsoever about to what extent complex behavior is typical for Beltrami fields.
Our objective in this paper is to establish a probabilistic version of Arnold’s view of complexity in Beltrami fields. To do so, the key new tool is a theory of random Beltrami fields, which we develop here in order to estimate the probability that a Beltrami field exhibits certain complex dynamics. The blueprint for this is the Nazarov–Sodin theory for Gaussian random monochromatic waves, which yields asymptotic laws for the number of connected nodal components of the wave. Heuristically, the basic idea is that a Beltrami field satisfying equation (1.1) can be thought of as a vector-valued monochromatic wave; however, the vector-valued nature of the solutions and the fact that we aim to control much more sophisticated geometric objects introduces essential new difficulties from the very beginning.
1.1 Overview of the Nazarov–Sodin theory for Gaussian random monochromatic waves
The Nazarov–Sodin theory [Reference Nazarov and Sodin30], whose original motivation was to understand the nodal set of random spherical harmonics of large order [Reference Nazarov and Sodin29], provides a very efficient tool to derive asymptotic laws for the distribution of the zero set of smooth Gaussian functions of several variables. The primary examples are various Gaussian ensembles of large-degree polynomials on the sphere or on the torus and the restriction to large balls of translation-invariant Gaussian functions on
${\mathbb {R}}^d$
. Most useful for our purposes are their asymptotic results for Gaussian random monochromatic waves, which are random solutions to the Helmholtz equation

on
${\mathbb {R}}^d$
. We will henceforth restrict ourselves to the case
$d=3$
for the sake of concreteness.
As the Fourier transform of a solution to the Helmholtz equation (1.2) must be supported on the sphere of radius 1, the way one constructs random monochromatic waves is the following [Reference Canzani and Sarnak8]. One starts with a real-valued orthonormal basis of the space of square-integrable functions on the unit two-dimensional sphere
${\mathbb {S}}$
. Although the choice of basis is immaterial, for concreteness we can think of the basis of spherical harmonics, which we denote by
$Y_{lm}$
. Hence,
$Y_{lm}$
is an eigenfunction of the spherical Laplacian with eigenvalue
$l(l+1)$
, the index l is a nonnegative integer and m ranges from
$-l$
to l. The degeneracy of the eigenvalue
$l(l+1)$
is therefore
$2l+1$
. To consider a Gaussian random monochromatic wave, one now sets

on the unit sphere
$|\xi |=1$
,
$\xi \in {\mathbb {R}}^3$
, where
$a_{l m}$
are independent standard Gaussian random variables. One then defines F as the Fourier transform of the measure
$\varphi \, d\sigma $
, where
$d\sigma $
is the area measure of the unit sphere. This is tantamount to setting

The central known result concerning the asymptotic distribution of the nodal components of Gaussian random monochromatic waves is that, almost surely, the number of connected components of the nodal set that are contained in a large ball (and even those of any fixed compact topology) grows asymptotically like the volume of the ball. More precisely, let us denote by
$N_F(R)$
(respectively,
$N_F(R;[{\Sigma }])$
) the number of connected components of the nodal set
$F^{-1}(0)$
that are contained in the ball centered at the origin of radius R (respectively, and diffeomorphic to
${\Sigma }$
). Here,
${\Sigma }$
is any smooth, closed, orientable surface
${\Sigma }\subset {\mathbb {R}}^3$
. It is obvious from the definition that
$N_F(R;[{\Sigma }])$
only depends on the diffeomorphism class of the surface,
$[{\Sigma }]$
. The main result of the theory—which is due to Nazarov and Sodin [Reference Nazarov and Sodin30] in the case of nodal sets of any topology, and to Sarnak and Wigman when the topology of the nodal sets is controlled [Reference Sarnak and Wigman32]— can then be stated as follows. Here and in what follows, the symbol
${\xrightarrow [\mathrm {a.s.}]{L^1}}$
will be used to denote that a certain sequence of random variables converges both almost surely and in mean. Morally speaking, this is a law of large numbers for the number of connected components associated with the Gaussian field F.
Theorem 1.1. Let F be a monochromatic random wave. Then there are positive constants
$\nu $
,
$\nu ([{\Sigma }])$
such that, as
$R\to \infty $
,

Here,
${\Sigma }\subset {\mathbb {R}}^3$
is any compact surface as above.
1.2 Gaussian random Beltrami fields on
${\mathbb {R}}^3$
Our goal is then to obtain an extension of the Nazarov–Sodin theory that applies to random Beltrami fields. As we will discuss later in the introduction, this is far from trivial because there are essential new difficulties that make the analysis of the problem rather involved.
The origin of many of these difficulties is strongly geometric. In contrast to the case of random monochromatic waves (or any other scalar Gaussian field), where the main geometric objects of interest are the components of its nodal set, in the study of random vector fields we aim to understand structures of a much subtler geometric nature. Among these structures, and in increasing order of complexity, one should certainly consider the following:
-
(i) Zeros, that is, points where the vector field vanishes.
-
(ii) Periodic orbits, which can be knotted in complicated ways.
-
(iii) Invariant tori, that is, surfaces diffeomorphic to a 2-torus that are invariant under the flow of the field. They can be knotted too.
-
(iv) Compact chaotic invariant sets, which exhibit horseshoe-type dynamics and have, in particular, positive topological entropy.
Recall that a horseshoe is defined as a compact hyperbolic invariant set with a Cantor transverse section on which the time-T flow of u is topologically conjugate to a Bernoulli shift [Reference Guckenheimer and Holmes22], for some T. Consequently, let us define the following quantities:
-
(i)
${N^{\mathrm {z}}_u}(R)$ denotes the number of zeros of u contained in the ball
$B_R$ .
-
(ii) Given a (possibly knotted) closed curve
$\gamma \subset {\mathbb {R}}^3$ ,
${N^{\mathrm {o}}_u}(R;[\gamma ])$ denotes the number of periodic orbits of u contained in
$B_R$ that are isotopic to
$\gamma $ .
-
(iii) Given a (possibly knotted) torus
${\mathcal T}\subset {\mathbb {R}}^3$ ,
${V^{\mathrm {t}}_u}(R;[{\mathcal T}])$ is the volume (understood as the inner measure) of the set of ergodic invariant tori of u that are contained in
$B_R$ and are isotopic to
${\mathcal T}$ . Ergodic means that we consider invariant tori on which the orbits of u are dense.
-
(iv)
${N^{\mathrm {h}}_u}(R)$ denotes the number of horseshoes of u contained in the ball
$B_R$ .
Clearly, these quantities only depend on the isotopy class of
$\gamma $
and
${\mathcal T}$
.
It is not hard to believe that these geometric subtleties give rise to a number of analytic difficulties. One should mention, however, that there also appear other unexpected analytic difficulties whose origin is less obvious. They are related to the fact that it is not clear how to define a random Beltrami field through an analog of equation (1.3b). This is because the characterization of a monochromatic wave as the Fourier transform of a distribution supported on a sphere is the conceptual base of the simple definition (1.3a), which underlies the equivalent but considerably more awkward expression (1.3b). Heuristically, analytic difficulties stem from the fact that there is not such a clean formula in Fourier space for a general Beltrami field. This is because the three components of the Beltrami field (which are monochromatic waves) are not independent, so the reduction to a Fourier formulation with independent variables is not trivial. We refer the reader to Section 3, where we explain in detail how to define Gaussian random Beltrami fields in a way that is strongly reminiscent of equation (1.3b). Later in this introduction, we shall also informally discuss the aforementioned difficulties and discuss how we manage to circumvent them using a combination of ideas from partial differential equations, dynamical systems and probability.
We can now state our main result for Gaussian random Beltrami fields on
${\mathbb {R}}^3$
, as defined in Section 3. Let us emphasize that the picture that emerges from this theorem is fully consistent with Arnold’s view of complexity in Beltrami fields; with probability 1, we show that a random Beltrami field is ‘partially integrable’ in that there is a large volume of invariant tori, and simultaneously features many compact chaotic invariant sets and periodic orbits of arbitrarily complex topologies. This coexistence of chaos and order is indeed the essential feature of the restriction to an energy hypersurface of a generic Hamiltonian system with two degrees of freedom, as Arnold put it. In this direction, Corollary 1.3 below is quite illustrative.
Theorem 1.2. Let u be a Gaussian random Beltrami field. Then:
-
(i) The topological entropy of u is positive almost surely. In fact, with probability
$1$ ,
$$\begin{align*}\liminf_{R\to\infty} \frac{{N^{\mathrm{h}}_u}(R)}{|B_R|}>{\nu^{\mathrm{h}}}\,. \end{align*}$$
-
(ii) With probability
$1$ , the volume of ergodic invariant tori of u isotopic to a given embedded torus
${\mathcal T}\subset {\mathbb {R}}^3$ and the number of periodic orbits of u isotopic to a given closed curve
$\gamma \subset {\mathbb {R}}^3$ satisfy the volumetric growth estimate
$$\begin{align*}\liminf_{R\to\infty} \frac{{V^{\mathrm{t}}_u}(R;[{\mathcal T}])}{|B_R|}>{\nu^{\mathrm{t}}}([{\mathcal T}])\,,\qquad \liminf_{R\to\infty} \frac{{N^{\mathrm{o}}_u}(R;[\gamma])}{|B_R|}>{\nu^{\mathrm{o}}}([\gamma])\,. \end{align*}$$
The constants
${\nu ^{\mathrm {h}}}$
,
${\nu ^{\mathrm {t}}}([{\mathcal T}])$
and
${\nu ^{\mathrm {o}}}([\gamma ])$
above are all positive, for any choice of the curve
$\gamma $
and the torus
${\mathcal T}$
.
Corollary 1.3. With probability
$1$
, a Gaussian random Beltrami field on
${\mathbb {R}}^3$
exhibits infinitely many horseshoes coexisting with an infinite volume of ergodic invariant tori of each isotopy type. Moreover, the set of periodic orbits contains all knot types.
Remark 1.4. The result we prove (see Theorem 6.2) is in fact considerably stronger: We do not only prescribe the topology of the periodic orbits and the invariant tori we count but also other important dynamical quantities. Specifically, in the case of periodic orbits we have control over the periods (which we can pick in a certain interval
$(T_1,T_2)$
) and the maximal Lyapunov exponents (which we can also pick in an interval
$(\Lambda _1,\Lambda _2)$
). In the case of the ergodic invariant tori, we can control the associated arithmetic and nondegeneracy conditions. Details are provided in Section 6.
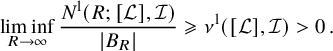
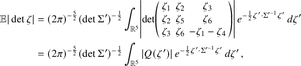
Unlike the case of nodal set components considered in the context of the Nazarov–Sodin theory for Gaussian random monochromatic waves, we do not prove exact asymptotics for the quantities we study but only nontrivial lower bounds that hold almost surely. Without getting technicalities at this stage, let us point out that this is related to analytic difficulties arising from the fact that we are dealing with quantities that are rather geometrically nontrivial. If one considers a simpler quantity such as the number of zeros of a Gaussian random Beltrami field, one can obtain an asymptotic distribution law similar to that of the nodal components of a random monochromatic wave, whose corresponding asymptotic constant can even be computed explicitly.
Theorem 1.5. With probability
$1$
, the number of zeros of a Gaussian random Beltrami field satisfies

as
$R\to \infty $
. The constant is explicitly given by

where
${c^{\mathrm {z}}}:= {21^{5/2}}/[{143\sqrt 5\,\pi ^4}]$
, and
$Q,\widetilde Q$
are the following homogeneous polynomials in five variables:


1.3 Random Beltrami fields on the torus
A Beltrami field on the flat 3-torus
${\mathbb {T}}^3:=({\mathbb {R}}/2\pi \mathbb Z)^3$
(or, equivalently, on the cube of
${\mathbb {R}}^3$
of side length
$2\pi $
with periodic boundary conditions) is a vector field on
${\mathbb {T}}^3$
satisfying the eigenvalue equation

for some real number
$\lambda \neq 0$
. It is well known (see, e.g., [Reference Enciso, Lucà and Peralta-Salas10]) that the spectrum of the curl operator on the
$3$
-torus consists of the numbers of the form
$\lambda =\pm |k|$
for some vector with integer coefficients
$k\in \mathbb Z^3$
. Restricting our attention to the case of positive eigenvalues for the sake of concreteness, one can therefore label the eigenvalue by a positive integer L such that
$\lambda _L=L^{1/2}$
. The multiplicity of the eigenvalue is given by the cardinality of the corresponding set of spatial frequencies,

By Legendre’s three-square theorem,
${\mathcal {Z}}_L$
is nonempty (and therefore
$\lambda _L$
is an eigenvalue of the curl operator) if and only if L is not of the form
$4^a(8b+7)$
for nonnegative integers a and b.
The Beltrami fields corresponding to the eigenvalue
$\lambda _L$
must obviously be of the form

for some vectors
$V_k^L\in {\mathbb {C}}^3$
, where
$V_k^L= \overline {V_{-k}^L}$
to ensure that the Beltrami field is real-valued. Starting from this formula, in Section 7 we define the Gaussian ensemble of random Beltrami fields
$u^L$
of frequency
$\lambda _L$
, which we parametrize by L. The natural length scale of the problem is
$L^{1/2}$
.
Our objective is to study to what extent the appearance of the various dynamical objects described above (i.e., horseshoes, zeros and periodic orbits and ergodic invariant tori of prescribed topology) is typical in high-frequency Beltrami fields, which corresponds to the limit
$L\to \infty $
. When taking this limit, we shall always assume that the integer L is admissible, by which we mean that it is congruent with 1, 2, 3, 5 or 6 modulo 8. We will see in Section 7 (see also [Reference Rozenshein31]) that this number-theoretic condition ensures that the dimension of the space of Beltrami fields with eigenvalue
$\lambda _L$
tends to infinity as
$L\to \infty $
.
To state our main result about high-frequency random Beltrami fields in the torus, we need to introduce some notation. In parallel with the previous subsection, for any closed curve
$\gamma $
and any embedded torus
${\mathcal T}$
, let us respectively denote by
${N^{\mathrm {z}}_{u^L}}$
,
${N^{\mathrm {h}}_{u^L}}$
,
${N^{\mathrm {o}}_{u^L}}([\gamma ])$
and
${N^{\mathrm {t}}_{u^L}}([{\mathcal T}])$
the number of zeros, horseshoes, periodic orbits isotopic to
$\gamma $
and ergodic invariant tori isotopic to
${\mathcal T}$
of the field
$u^L$
, as well as the volume (i.e., inner measure) of these tori, which we denote by
${V^{\mathrm {t}}_{u^L}}([{\mathcal T}])$
. To further control the distribution of these objects, let us define the number of approximately equidistributed ergodic invariant tori,
${N^{\mathrm {t,e}}_{u^L}}([{\mathcal T}])$
, as the largest integer m for which
$u^L$
has m ergodic invariant tori isotopic to
${\mathcal T}$
that are at a distance greater than
$m^{-1/3}$
apart from one another. The number of approximately equidistributed horseshoes
$N^{\mathrm {h},\mathrm {e}}_{u^L}$
, periodic orbits isotopic to a curve
$N^{\mathrm {o},\mathrm {e}}_{u^L}([\gamma ])$
and zeros
$N^{\mathrm {z},\mathrm {e}}_{u^L}$
are defined analogously. Note that, again, the asymptotic information that we obtain is perfectly aligned with Arnold’s view of complex behavior in typical Beltrami fields.
Theorem 1.6. Let us denote by
$(u^L)$
the parametric Gaussian ensemble of random Beltrami fields on
${\mathbb {T}}^3$
, where L ranges over the set of admissible integers. Consider any contractible closed curve
$\gamma $
and any contractible embedded torus
${\mathcal T}$
in
${\mathbb {T}}^3$
. Then:
-
(i) With a probability tending to
$1$ as
$L\to \infty $ , the field
$u^L$ exhibits an arbitrarily large number of approximately equidistributed horseshoes, zeros, periodic orbits isotopic to
$\gamma $ and ergodic invariant tori isotopic to
${\mathcal T}$ . More precisely, for any integer m,
$$\begin{align*}\lim_{L\to \infty} {\mathbb{P}}\Big\{\min\big\{N^{\mathrm{h},\mathrm{e}}_{u^L},{N^{\mathrm{t,e}}_{u^L}}([{\mathcal T}]),N^{\mathrm{o},\mathrm{e}}_{u^L}([\gamma]),N^{\mathrm{z},\mathrm{e}}_{u^L}\big\}>m\Big\}=1\,. \end{align*}$$
Furthermore, the probability that the topological entropy of the field grows at least as
$L^{1/2}$ and that there are infinitely many ergodic invariant tori of
$u^L$ isotopic to
${\mathcal T}$ also tends to
$1$ :
$$\begin{align*}\lim_{L\to \infty} {\mathbb{P}}\big\{{N^{\mathrm{t}}_{u^L}}([{\mathcal T}])=\infty\; \text{ and } \; {h_{\mathrm{top}}}(u^L)> {\nu^{\mathrm{h}}_*} L^{1/2}\big\}=1\,. \end{align*}$$
-
(ii) The expected volume of the ergodic invariant tori of
$u^L$ isotopic to
${\mathcal T}$ is uniformly bounded from below, and the expected number of horseshoes and periodic orbits isotopic to
$\gamma $ is at least of order
$L^{3/2}$ :
$$ \begin{align*} \liminf_{L\to\infty} \min\Bigg\{\frac{{\mathbb{E}}{N^{\mathrm{h}}_{u^L}}}{L^{3/2}}\,, \frac{{\mathbb{E}}{N^{\mathrm{o}}_{u^L}}([\gamma])}{L^{3/2}}\,, {\mathbb{E}} {V^{\mathrm{t}}_{u^L}}([{\mathcal T}])\Bigg\}>\nu_*([\gamma],[{\mathcal T}])\,. \end{align*} $$
In the case of zeros, the asymptotic expectation is explicit, with
${\nu ^{\mathrm {z}}}$ given by (1.4):
$$\begin{align*}\lim_{L\to\infty}\frac{{\mathbb{E}}{N^{\mathrm{z}}_{u^L}}}{L^{3/2}}= (2\pi)^3{\nu^{\mathrm{z}}}\,. \end{align*}$$
Here,
${\nu ^{\mathrm {h}}_*}$
and
$\nu _*([\gamma ],[{\mathcal T}])$
are positive constants.
Remark 1.7. As in the case of
${\mathbb {R}}^3$
, the result we prove in Section 7 is actually stronger in the sense that we have control over important dynamical quantities (which now depend strongly on L) describing the flow near the above invariant tori and periodic orbits.
1.4 Some technical remarks
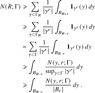
In a way, the cornerstone of the Nazarov–Sodin theory is their very clever (and non-probabilistic) ‘sandwich estimate’, which relates the number
$N_F(R)$
of connected components of the nodal set of the Gaussian random field F that are contained in an arbitrarily large ball
$B_R$
with ergodic averages of the same quantity involving the number of components contained in balls of fixed radius. Two ingredients are key to effectively apply this sandwich estimate. On the one hand, each nodal component cannot be too small by the Faber–Krahn inequality, which ensures, in dimension 3, that its volume is at least
$c\lambda ^{-3}$
if
${\Delta } F+\lambda ^2F=0$
. On the other hand, to control the connected components that intersect a large ball but are not contained in it, it suffices to employ the Kac–Rice formula to derive bounds for the number of critical points of a certain family of Gaussian random functions.
In the setting of random Beltrami fields, the need for new ideas becomes apparent the moment one realizes that there are no reasonable substitutes for these two key ingredients. That is, the frequency
$\lambda $
does not provide bounds for the size of the more sophisticated geometric objects considered in this context (i.e., periodic orbits, invariant tori or horseshoes), and one cannot estimate the objects that intersect a ball but are not contained in it using a Kac–Rice formula. As a matter of fact, we have not managed to obtain any useful bounds for these quantities, and, while we do use a sandwich inequality of sorts (or at least lower bounds that can be regarded as a weaker substitute thereof), even the measurability of the various objects of interest becomes a nontrivial issue due to their complicated geometric properties.
To circumvent these problems, we employ different kinds of techniques. Firstly, ideas from the theory of dynamical systems play a substantial role in our proofs. On the one hand, KAM theory and hyperbolic dynamics are important to prove that certain carefully chosen functionals are lower semicontinuous, which is key to solve measurability issues that would be very hard to deal with otherwise. Furthermore, to prove that Beltrami fields exhibit chaotic behavior almost surely, it is essential to have at least one example of a Beltrami field that features a horseshoe, and even that was not known. Indeed, the available examples of nonintegrable ABC flows are known to be chaotic on
${\mathbb {T}}^3$
due to the noncontractibility of the domain but not on
${\mathbb {R}}^3$
. This technical point is fundamental and makes them unsuitable for the study of random Beltrami fields. Therefore, an important step in our proof is to construct, using Melnikov theory, a Beltrami field on
${\mathbb {R}}^3$
that has a horseshoe. Techniques from Fourier analysis and from the global approximation theory for Beltrami fields are also necessary to handle the inherent difficulties that stem from the fact that the equation under consideration is more complicated than that of a monochromatic wave. As an aside, the only point of the paper where we use the Kac–Rice formula is to compute the constant
${\nu ^{\mathrm {z}}}$
in closed form.
In the case of Beltrami fields on the torus, the results we prove concern not only the expected values of the quantities of interest but also the probability of events. In the case of random monochromatic waves on the torus, Nazarov and Sodin [Reference Nazarov and Sodin30] had proved results for the expectation (which apply to very general parametric scalar Gaussian ensembles), and Rozenshein [Reference Rozenshein31] had derived very precise exponential bounds for the probability akin to those established by Nazarov and Sodin [Reference Nazarov and Sodin29] for random spherical harmonics. However, both results use in a crucial way that the size of nodal components can be effectively estimated in terms of the frequency: The Faber–Krahn inequality provides a lower bound for the volume and large diameter components can be ruled out using a Crofton-type formula and Bézout’s theorem. No such bounds hold in the case of Beltrami fields, so the way we pass from the information that the rescaled covariant kernel of
$u^L$
tends to that of u to asymptotics for the distribution of invariant tori, horseshoes or periodic orbits is completely different. Specifically, we rely on a direct argument ensuring the weak convergence of sequences of probability measures, on spaces of smooth functions, provided that suitable tightness conditions are satisfied.
1.5 Outline of the paper
In Section 2, we start by describing Beltrami fields in
${\mathbb {R}}^3$
from the point of view of Fourier analysis and provide some results about global approximation. Gaussian random Beltrami fields on
${\mathbb {R}}^3$
are introduced in Section 3, where we also establish several results about the structure of the corresponding covariance matrix and about the induced probability measure on the space of smooth vector fields. In Section 4, we recall, in a form that will be useful in later sections, several previous results about ergodic invariant tori and periodic orbits arising in Beltrami fields. Section 5 is devoted to constructing a Beltrami field on
${\mathbb {R}}^3$
that is stably chaotic. Finally, in Sections 6 and 7, we complete the proofs of our main results in the case of
${\mathbb {R}}^3$
and
${\mathbb {T}}^3$
, respectively. The paper concludes with an appendix where we provide a fairly complete Fourier-theoretic characterization of Beltrami fields.
2 Fourier analysis and approximation of Beltrami fields
In what follows, we will say that a vector field u on
${\mathbb {R}}^3$
is a Beltrami field if

Taking the curl of this equation and using that necessarily
$\operatorname {\mathrm {div}} u=0$
, it is easy to see that u must also satisfy the Helmholtz equation:

To put it differently, the components of this vector field are monochromatic waves. An immediate consequence of this is that the Fourier transform
${\widehat {u}}$
of a polynomially bounded Beltrami field is a (vector-valued) distribution supported on the unit sphere

Since u is real-valued,
${\widehat {u}}$
must be Hermitian, that is,
${\widehat {u}}(\xi )= \overline {{\widehat {u}}(-\xi )}$
. Furthermore, a classical result due to Herglotz [Reference Hörmander26, Theorem 7.1.28] ensures that if u is a Beltrami field with the sharp fall off at infinity, then there is a Hermitian vector-valued function
$f\in L^2({\mathbb {S}},{\mathbb {C}}^3)$
such that
${\widehat {u}} = f\, d{\sigma }$
; for the benefit of the reader, details on this and other related matters are summarized in Appendix A. For short, we shall simply write this relation as
$u=U_f$
, with

Obviously,
$U_f$
is a Beltrami field if and only if f is Hermitian (which makes
$U_f$
real-valued) and if it satisfies the distributional equation on the sphere

In this paper, we are particularly interested in Beltrami fields of the form
$u=U_f$
, where now f is a general Hermitian vector-valued distribution on the sphere. The corresponding integral, which is convergent if f is integrable, must be understood in the sense of distributions for less regular f (that is to say, for f in the scale of Sobolev spaces
$H^s({\mathbb {S}},{\mathbb {C}}^3)$
with
$s<0$
). We recall, in particular, that for any integer
$k\geqslant 0$
the field
$U_f$
is bounded as [Reference Enciso, Peralta-Salas and Romaniega15, Appendix A]

We recall that, for any real s, the
$H^s({\mathbb {S}})$
norm of a function f can be computed as

where
$f_{lm}$
are the coefficients of the spherical harmonics expansion of f.
With
$q(t):= \frac 18(\frac {15}{\pi })^{1/2}(1+\sqrt 7 i\, t)$
, let us consider the vector-valued polynomial

which we will regard as a Hermitian function
$p:{\mathbb {R}}^3\to {\mathbb {C}}^3$
. Note that the restriction of p to the sphere vanishes exactly at the poles
$\xi _{\pm }:=(\pm 1,0,0)$
. The inessential nonvanishing normalization factor
$q(\xi _1)$
has been introduced for later convenience: When we define random Beltrami fields via the function p in Section 3, this choice of p will ensure that the associated covariance matrix is the identity on the diagonal (see Corollary 3.6).
We next show that, away from the poles, the density f of a Beltrami field
$U_f$
must point in the same direction as p.
Proposition 2.1. The following statements hold:
-
(i) If the vector field
$U_f$ is a Beltrami field, then
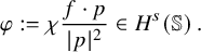
$p\times f=0$ as a distribution on
${\mathbb {S}}$ . Furthermore, if
$\chi $ is a smooth real-valued function on the sphere supported in
${\mathbb {S}}\backslash \{\xi _+,\xi _-\}$ and
$f\in H^s({\mathbb {S}},{\mathbb {C}}^3)$ for some real s, then there is a Hermitian scalar function
$\varphi \in H^s({\mathbb {S}})$ such that
$\chi \, f= \varphi \, p$ .
-
(ii) Conversely, for any Hermitian
$\varphi \in H^s({\mathbb {S}})$ , the associated field
$U_{\varphi p}$ is a Beltrami field.
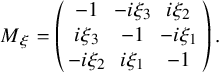
Proof. In view of equation (2.2), for each vector
$\xi \in {\mathbb {S}}$
, consider the linear map
$M_{\xi }$
on
${\mathbb {C}}^3$
defined as

More explicitly,
$M_{\xi }$
is the matrix

The determinant of this matrix is
$\det M_{\xi }=\xi _1^2+\xi _2^2+\xi _3^2-1$
, and in fact it is easy to see that
$M_{\xi }$
has rank 2 for any unit vector
$\xi $
. Since
$M_{\xi } p(\xi )=0$
for all
$\xi \in {\mathbb {S}}$
and
$p(\xi )$
only vanishes if
$\xi =\xi _{\pm }$
, we then obtain that the kernel of
$M_{\xi }$
is spanned by the vector
$p(\xi )$
whenever
$\xi $
is not one of the poles
$\xi _{\pm }$
. In a neighborhood of the poles, the kernel of
$M_{\xi }$
can be described as the linear span of
$\widetilde p(\xi ):= q(\xi _2)\, (\xi _1\xi _2+i\xi _3,\xi _2^2-1, \xi _2\xi _3-i \xi _1)$
.
Since
$M_{\xi } f(\xi )=0$
in the sense of distributions by equation (2.2), it stems from the above analysis that one can write

for
$\xi $
away from the poles, and

in a neighborhood of the poles; here,
${\alpha }$
and
$\beta $
are complex-valued scalars. As
$p(\xi )\times \widetilde p(\xi )=0$
for all
$\xi \in {\mathbb {S}}$
, we immediately infer that

Also, as the support of a function is a closed set, p is bounded away from zero on the support of
$\chi $
, so we have that

As f is Hermitian, this proves the first part of the proposition. The second statement follows immediately from the fact that

Remark 2.2. A Beltrami field of the form
$U_{\varphi p}$
can be written in terms of the scalar function
$\psi (x):= -\int _{\mathbb {S}} e^{i\xi \cdot x} q(\xi _1)\, \varphi (\xi )\, d{\sigma }(\xi )$
(which satisfies the equation
${\Delta }\psi +\psi =0$
) as

When
$\varphi $
is smooth, the Beltrami field has the sharp decay bound

Remark 2.3. Not any Beltrami field of the form
$U_f$
can be written as
$U_{\varphi p}$
for some scalar function
$\varphi $
: An obvious counterexample is given by

where
$\delta _{\xi _{\pm }}$
is the Dirac measure supported on the pole
$\xi _{\pm }=(\pm 1,0,0)$
. The reason for which we cannot hope to describe all Beltrami fields using just scalar multiples of a fixed complex-valued continuous vector field
$p'$
is topological. Indeed, as u is divergence-free, we have that
$\xi \cdot p'(\xi )=0$
, so
$p'$
must be a tangent complex-valued vector field on
${\mathbb {S}}$
. By the hairy ball theorem, the real part of
$p'$
must then have at least one zero
$\xi ^*$
. The equation
$i\xi \times p'(\xi )= p'(\xi )$
implies that the imaginary part of
$p'$
also vanishes at
$\xi ^*$
, so in fact
$p'(\xi ^*)=0$
. This means that densities f such as equation (2.5), where we can take
$\xi ^*:= \xi _+$
without any loss of generality, cannot be written in the form
$\varphi p'$
.
Intuitively speaking, Proposition 2.1 means that any Beltrami field
$U_f$
whose density f is not too concentrated on
$\xi _{\pm }$
can be approximated globally by a field of the form
$U_{\varphi p}$
. More precisely, one can prove the following.
Proposition 2.4. Consider a Hermitian vector-valued distribution f on
${\mathbb {S}}$
that satisfies the distributional equation (2.2), and define

If
$\varepsilon _{f,k}$
is finite and
$\varepsilon>\varepsilon _{f,k}$
, one can then take a Hermitian scalar distribution on the sphere
$\varphi $
, which is in fact a finite linear combination of spherical harmonics if
$f\in H^{-k}({\mathbb {S}},{\mathbb {C}}^3)$
, such that

Furthermore,
$\varepsilon _{f,0}=0$
if
$f\in L^2({\mathbb {S}},{\mathbb {C}}^3)$
.
Proof. The first assertion is a straightforward consequence of the first part of Proposition 2.1 and of the estimate (2.3). Indeed, since f is a compactly supported distribution, then
$f\in H^s({\mathbb {S}},{\mathbb {C}}^3)$
for some s. Take any
$\varepsilon '\in (\varepsilon _{f,k},\varepsilon )$
, and let us consider a function
$\Theta $
as above such that
$\|\Theta f\|_{H^{-k}({\mathbb {S}})} <\varepsilon '$
. Since
$\varepsilon '>\varepsilon _{f,k}$
, it is obvious that we can assume that
$\Theta =1$
in a small neighborhood of the poles
$\xi _{\pm }$
. Applying Proposition 2.1, we infer that
$\chi f=\varphi p$
with
$\chi :=1-\Theta $
and some Hermitian scalar function
$\varphi \in H^s({\mathbb {S}})$
. In view of the fact that the map
$f\mapsto U_f$
is linear and of the bound (2.3), we then have

As finite linear combinations of spherical harmonics are dense in
$H^s({\mathbb {S}})$
, if
$s=-k$
we can approximate
$\varphi $
in the
$H^{-k}( {\mathbb {S}})$
norm by a Hermitian function
$\varphi '$
of this form; then

provided that
$\|\varphi -\varphi '\|_{H^{-k}({\mathbb {S}})}<\varepsilon -\varepsilon '$
.
Finally, to see that
$\varepsilon _{f,0}=0$
if
$f\in L^2({\mathbb {S}},{\mathbb {C}}^3)$
, let us take a smooth function
$\Theta :{\mathbb {R}}^3\to [0,1]$
supported in the unit ball and such that
$\Theta (0)=1$
. Setting

we trivially get that
$\|\Theta _n f\|_{L^2({\mathbb {S}})}\leqslant \|f\|_{L^2({\mathbb {S}})}$
for all
$n\geqslant 2$
and that
$\Theta _n f$
tends to zero almost everywhere in
${\mathbb {S}}$
as
$n\to \infty $
. The dominated convergence theorem then shows that
$\|\Theta _n f\|_{L^2({\mathbb {S}})}\to 0$
as
$n\to \infty $
, thus proving the claim.
Another, rather different in spirit, formulation of the principle that densities of the form
$\varphi p$
can approximate general Beltrami fields is presented in the following theorem. Unlike the previous corollary, the approximation is considered only locally in space, and in this direction, one shows that even considering smooth functions
$\varphi $
is enough to obtain a subset of Beltrami fields that is dense in the
$C^k$
compact-open topology:
Proposition 2.5. Fix any positive reals
$\varepsilon $
and k and a compact set
$K\subset {\mathbb {R}}^3$
such that
${\mathbb {R}}^3\backslash K$
is connected. Then, given any vector field v satisfying the equation
$\operatorname {\mathrm {curl}} v=v$
in an open neighborhood of K, there exists a Hermitian finite linear combination of spherical harmonics
$\varphi $
such that the Beltrami field
$U_{\varphi p}$
approximates v in the set K as

Proof. Let us fix an open set
$V\supset K$
whose closure is contained in the open neighborhood where v is defined, and a large ball
$B_R\supset \overline V$
. Since
$\mathbb R^3\backslash K$
is connected, it is obvious that we can take V so that
$\mathbb R^3\backslash \overline V$
is connected as well. By the approximation theorem with decay for Beltrami fields [Reference Enciso and Peralta-Salas14, Theorem 8.3], there is a Beltrami field w that approximates v as

and is bounded as
$|w(x)|<C/|x|$
. As the Fourier transform of w is supported on
${\mathbb {S}}$
, Herglotz’s theorem [Reference Hörmander26, Theorem 7.1.28] shows that one can write
$w=U_f$
for some vector-valued Hermitian field
$f\in L^2({\mathbb {S}},{\mathbb {C}}^3)$
that satisfies the distributional equation (2.2). Proposition 2.4 then shows that there exists some Hermitian scalar function
$\varphi \in C^{\infty }({\mathbb {S}})$
such that

so that
$\|v-U_{\varphi p}\|_{L^2(V)}<C\varepsilon $
. As the difference
$v-U_{\varphi p}$
satisfies the Helmholtz equation

in V, and
$K\subset \!\subset V$
, standard elliptic estimates then allow us to promote this bound to

as we wished to prove.
3 Gaussian random Beltrami fields
The Fourier-theoretical characterization of Beltrami fields presented in the previous section paves the way to the definition of random Beltrami fields.
In parallel with equation (1.3a) (see Appendix A for further heuristics), let us start by setting

where
$a_{l m}$
are normally distributed independent standard Gaussian random variables and
$Y_{lm}$
is an orthonormal basis of (real-valued) spherical harmonics on
${\mathbb {S}}$
. Note that
$\varphi $
is Hermitian because of the identity
$Y_{lm}(-\xi )=(-1)^ l Y_{lm}(\xi )$
. We now define a Gaussian random Beltrami field as

where we recall that
$U_f$
and p were respectively defined in equations (2.1) and (2.4).
Remark 3.1. As discussed in Proposition 2.1, the role of the vector field p is to ensure that the density
$f:=\varphi p$
satisfies the Beltrami equation in Fourier space,
$i\xi \times f(\xi )=f(\xi )$
. Hence, one could replace
$p(\xi )$
by any nonvanishing multiple of it, that is, by
$\widetilde p(\xi ):= \Lambda (\xi )\, p(\xi )$
, where
$\Lambda :{\mathbb {R}}^3\to {\mathbb {C}}$
is a smooth scalar Hermitian function that does not vanish on
${\mathbb {S}}$
. All the results of the paper about random Beltrami fields remain valid if one defines a Gaussian random Beltrami field as
$u:= U_{\varphi \widetilde p}$
with
$\varphi $
as above, provided that one replaces p by
$\widetilde p$
in the formulas. Also, the results do not change if one replaces the basis of spherical harmonics by any other orthonormal basis of
$L^2({\mathbb {S}})$
, but this choice leads to slightly more explicit formulas for certain intermediate objects that appear in the proofs.
In what follows, we will use the notation
$D:= -i\nabla $
. An important role will be played by the vector-valued differential operator with real coefficients
$p(D)$
, whose expression in Fourier space is

for any scalar function
$\psi $
in
$\mathbb R^3$
. Equivalently, by Remark 2.2, the operator
$p(D)$
reads, in physical space, as

where
$D_1:= -i{\partial }_{x_1}$
.
The first result of this section shows that a Gaussian random Beltrami field is a well-defined object both in Fourier and physical spaces.
Proposition 3.2. With probability
$1$
, the function
$\varphi $
is in
$H^{-1-\delta }({\mathbb {S}})\backslash L^2({\mathbb {S}})$
for any
$\delta>0$
. In particular, almost surely, u is a
$C^{\infty }$
vector field and can be written as

The series converges in
$C^k$
uniformly on compact sets almost surely, for any k.
Proof. For
$l\geqslant 0$
and
$-l\leqslant m\leqslant l$
,
$a_{lm}^2$
are independent, identically distributed random variables with expected value 1. As the number of these variables with
$l\leqslant n$
is

the strong law of large numbers ensures that the sample average, that is, the random variable

converges to 1 almost surely as
$n\to \infty $
. Now, consider the truncation

As the spherical harmonics
$Y_{lm}$
are orthonormal, the
$L^2$
norm of
$\varphi _n$
is

and
$\|\varphi _n\|_{L^2({\mathbb {S}})}^2$
tends to
$\|\varphi \|_{L^2({\mathbb {S}})}^2$
(which may be infinite) as
$n\to \infty $
. Since
$X_n\to 1$
almost surely, we obtain from the above formula that
$(n+1)^{-2}\|\varphi _n\|_{L^2({\mathbb {S}})}^2$
tends to 1 almost surely. Therefore,
$\varphi $
is not in
$L^2({\mathbb {S}})$
with probability 1.
On the other hand, since

it is straightforward to see that the expected value

is finite for all
$\delta>0$
. Hence,
$\varphi \in H^{-1-\delta }({\mathbb {S}})$
almost surely, so
$u:= U_{\varphi p}$
is well-defined with probability 1.
To prove the representation formula for u and its convergence, let us begin by noting that

Using either the theory of point pair invariants and zonal spherical functions [Reference Canzani and Sarnak8, Proposition 4] or special function identities [Reference Enciso, Peralta-Salas and Romaniega15, Proposition 2.1], the Fourier transform of
$Y_{lm}\, d{\sigma }$
has been shown to be

This permits to formally write u as equation (3.1). To show that this series converges in
$C^k$
on compact sets, for any large n, any
$N>n$
and any fixed positive integer k consider the quantity

where we are using the standard multi-index notation. Since
$p(D)$
is a third-order operator, for all
$|x|<R$
we obviously have

where here
$r:=|x|$
and we have used the Cauchy–Schwartz inequality to pass to the second line. The Sobolev inequality immediately gives

To estimate the Bessel function, recall the large-degree asymptotics

which holds as
$\nu \to \infty $
for uniformly bounded r. As the derivative of a Bessel function can be written in terms of Bessel functions via the recurrence relation

it follows that the
$C^{k+3}$
norm of
$J_{l+\frac 12}(r)/r^{1/2}$
tends to 0 exponentially as
$l\to \infty $
on compact sets:

Since we have proven that

almost surely, now one only has to put together the estimates above to see that, almost surely,
$q_{n,N}(x)$
tends to 0 as
$n\to \infty $
uniformly for all
$N>n$
and for all x in a compact subset of
${\mathbb {R}}^3$
. This establishes the convergence of the series and completes the proof of the proposition.
Remark 3.3. Note that each summand
$U_{i^l Y_{lm}p}=(2\pi )^{3/2}p(D)[Y_{lm} (\frac {x}{|x|}) |x|^{-1/2} {J_{ l + \frac 12}(|x|)}]$
of the series (3.1) is a Beltrami field.
Since
$a_{lm}$
are standard Gaussian variables, it is obvious that the vector-valued Gaussian field u has zero mean. Our next goal is to compute its covariance kernel,
$\kappa $
, which maps each pair of points
$(x,y)\in {\mathbb {R}}^3\times {\mathbb {R}}^3$
to the symmetric
$3\times 3$
matrix

In particular, we show that this kernel is translationally invariant, meaning that it only depends on the difference:

We recall that, by Bochner’s theorem, there exists a nonnegative-definite matrix-valued measure
$\rho $
such that
$\varkappa $
is the Fourier transform of
$\rho $
: This is the spectral measure of the Gaussian random field u. In the statement,
$p_j$
is the
$j^{\text {th}}$
component of the vector field p.
Proposition 3.4. The components of the covariance kernel of the Gaussian random field u are

with

The spectral measure is
$d\rho (\xi )= p(\xi )\otimes \overline {p(\xi )}\, d{\sigma }(\xi )$
.
Proof. As
$a_{lm}$
are independent standard Gaussian variables,
${\mathbb {E}}(a_{lm}a_{l'm'})=\delta _{ll'}\delta _{mm'}$
, so the covariance matrix is

Here, we have used that u and the spherical harmonics
$Y_{lm}$
are real-valued. Since
$Y_{lm}$
is an orthonormal basis, one has that

for any functions
$\psi ,\phi \in L^2({\mathbb {S}})$
. Hence, we can get rid of the sums in the above formula and write

which yields the formula for the spectral measure of u. Using now that p is Hermitian (i.e.,
$\overline { p(\xi )}=p(-\xi )$
) and a well-known representation formula for the Bessel function
$J_{1/2}$
, the above integral can be equivalently written as

The proposition then follows.
Remark 3.5. A random vector field is called isotropic if its covariance kernel is invariant under rotations, that is, for any Euclidean rotation R we have

where
$R_*$
denotes the push-forward of u under the action of R. It is well known that the most general form of a symmetric
$3\times 3$
matrix function in
${\mathbb {R}}^3$
that is invariant under spherical rotations is

where
$f_1$
and
$f_2$
are arbitrary functions of
$|x|$
. From equation (3.3), we see that our random Beltrami field is not isotropic because
$p(\xi )\otimes \overline {p(\xi )}$
is not of the form
$a I+b\xi \otimes \xi $
for some constants
$a,b$
on
${\mathbb {S}}$
. This property is not an issue of our construction and cannot be fixed by changing the vector field
$p(\xi )$
. This is in strong contrast with the random vector field
, where F is the Gaussian random monochromatic wave defined in (1.3b). It is not difficult to show that

where now
$\hat {p}_j(\xi ):=i\xi _j$
, and hence
$\hat u$
is an isotropic field. However, it is worth noting that, in both cases, the random vector field is constructed from an isotropic scalar field, and the spectral measure of the vector field is the spectral measure of the isotropic scalar field times a tensor product of polynomials. In the case of the gradient, the matrix covariance kernel is the Hessian of the scalar covariance kernel, so it is isotropic. In contrast, in the case of the Beltrami field, the derivatives are more involved because of the differential equation the field must satisfy.
A straightforward corollary is that the Gaussian random Beltrami field u is normalized so that its covariance matrix is the identity on the diagonal.
Corollary 3.6. For any
$x\in {\mathbb {R}}^3$
,
$\kappa (x,x)=I$
.
Proof. The formula for the spectral measure computed in Proposition 3.4 implies that

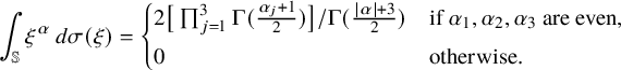
As p is a polynomial, the computation then boils down to evaluating integrals of the form
$\int _{\mathbb {S}} \xi ^{\alpha }\, d{\sigma }(\xi )$
, where
${\alpha }=({\alpha }_1,{\alpha }_2,{\alpha }_3)$
is a multi-index and
$\xi ^{\alpha }:=\xi _1^{{\alpha }_1}\xi _2^{{\alpha }_2}\xi _3^{{\alpha }_3}$
. These integrals can be computed in closed form [Reference Folland18]:

Here,
$\Gamma $
denotes the gamma function.
Armed with this formula and taking into account the explicit expression of the polynomial
$p(\xi )$
(cf. equation (2.4)), a tedious but straightforward computation shows

The result then follows.
Remark 3.7. The probability density function of the Gaussian random vector
$u(x)$
is therefore
$\rho (y):= (2\pi )^{-\frac 32}\, e^{-\frac 12|y|^2}$
. That is,
${\mathbb {P}}\{u(x)\in \Omega \}= \int _{\Omega }\rho (y)\, dy $
for any
$x\in {\mathbb {R}}^3$
and any Borel subset
$\Omega \subset {\mathbb {R}}^3$
.
Since the Gaussian field u is of class
$C^{\infty }$
with probability 1 by Proposition 3.2, it is standard that it defines a Gaussian probability measure, which we henceforth denote by
${\mu _u}$
, on the space of
$C^k$
vector fields on
${\mathbb {R}}^3$
, where k is any fixed positive integer. This space is endowed with its usual Borel
${\sigma }$
-algebra
${\mathfrak {S}}$
, which is the minimal
${\sigma }$
-algebra containing the ‘squares’

for all
$x,a,b,\in {\mathbb {R}}^3$
. To spell out the details, let us denote by
$\Omega $
the sample space of the random variables
$a_{lm}$
and show that the random field u is a measurable map from
$\Omega $
to
$C^k({\mathbb {R}}^3,{\mathbb {R}}^3)$
. Since the
${\sigma }$
-algebra of
$C^k({\mathbb {R}}^3,{\mathbb {R}}^3)$
is generated by point evaluations, it suffices to show that

is a measurable function
$\Omega \to {\mathbb {R}}^3$
for each
$x\in {\mathbb {R}}^3$
. But this is obvious because
$u(x)$
is the limit of finite linear combinations (with coefficients in
${\mathbb {R}}^3$
) of the random variables
$a_{lm}$
, which are of course measurable. In what follows, we will not mention the
${\sigma }$
-algebra explicitly to keep the notation simple. Also, in view of the later applications to invariant tori, we will henceforth assume that
$k\geqslant 4$
. Obviously, the Gaussian probability measure
${\mu _u}$
is regular because the space of
$C^k$
vector fields is metrizable (with the compact-open
$C^k$
-topology).
Following Nazarov and Sodin [Reference Nazarov and Sodin30], the next proposition shows two useful properties of our Gaussian probability measure that will be extensively employed in the rest of the paper. They easily follow from the facts that the covariance kernel
$\kappa (x,y)$
only depends on
$x-y$
and that the spectral measure has no atoms. Before stating the result, let us recall that the probability measure
${\mu _u}$
is said to be translationally invariant if
${\mu _u}(\tau _y {\mathcal {A}})={\mu _u}({\mathcal {A}})$
for all
${\mathcal {A}}\subset {\mathfrak {S}}$
and all
$y\in {\mathbb {R}}^3$
. Here,
$\tau _y$
denotes the translation operator on
$C^k$
fields, defined as
$\tau _y w(x):= w(x+y)$
.
Proposition 3.8. The probability measure
${\mu _u}$
is translationally invariant. Furthermore, if
$\Phi $
is an
$L^1$
random variable on the probability space
$(C^k({\mathbb {R}}^3,{\mathbb {R}}^3),{\mathfrak {S}},{\mu _u})$
, then

both
${\mu _u}$
-almost surely and in
$L^1(C^k({\mathbb {R}}^3,{\mathbb {R}}^3),{\mu _u})$
.
Proof. Since the covariance kernel
$\kappa (x,y)$
only depends on
$x-y$
, the probability measure
${\mu _u}$
is translationally invariant. Also, note that
$(y,w)\mapsto \tau _yw$
defines a continuous map

so the map
$(y,w)\mapsto \Phi (\tau _yw)$
is measurable on the product space
${\mathbb {R}}^3 \times C^k({\mathbb {R}}^3, {\mathbb {R}}^3)$
. Wiener’s ergodic theorem [Reference Nazarov and Sodin30, Reference Becker5] then ensures that, for
$\Phi $
as in the statement, there is a random variable
$\Phi ^*\in L^1(C^k({\mathbb {R}}^3\times {\mathbb {R}}^3),{\mu _u})$
such that

as
$R\to \infty $
. Furthermore,
$\Phi ^*$
is translationally invariant (i.e.,
$\Phi ^*\circ \tau _y=\Phi ^*$
for all
$y\in {\mathbb {R}}^3$
almost surely) and
${\mathbb {E}}\Phi ^* = {\mathbb {E}}\Phi $
.
Also, as the spectral measure (computed in Proposition 3.4 above) has no atoms, a theorem of Grenander, Fomin and Maruyama (see, e.g., [Reference Nazarov and Sodin30, Appendix B] or [Reference Grenander21] and note that the proof carries over to the multivariate and vector-valued case) ensures that the action of the translations
$\{\tau _y: y\in {\mathbb {R}}^3\}$
on the probability space
$(C^k({\mathbb {R}}^3,{\mathbb {R}}^3),{\mathfrak {S}},{\mu _u})$
is ergodic. As the measurable function
$\Phi ^*$
is translationally invariant, one then infers that
$\Phi ^*$
is constant
${\mu _u}$
-almost surely. As
$\Phi $
and
$\Phi ^*$
have the same expectation, then
$\Phi ^*={\mathbb {E}} \Phi $
almost surely. The proposition then follows.
It is clear that the support of the probability measure
${\mu _u}$
must be contained in the space of Beltrami fields. In the last result of this section, we show that the support is in fact the whole space. This property will be key in the following sections.
Proposition 3.9. The support of the Gaussian probability measure
$\mu _u$
is the space of Beltrami fields. More precisely, let v be a Beltrami field. For any compact set
$K\subset {\mathbb {R}}^3$
and each
$\varepsilon>0$
,

Proof. By Proposition 2.5, there exists a Hermitian finite linear combination of spherical harmonics,

where
${\alpha }_{lm}$
are real numbers (not random variables), such that
$\|v-U_{\varphi p}\|_{C^k(K)}<\varepsilon /4$
. Hence

where
${\mathbb {P}}$
denotes the natural Gaussian probability measure on the space of sequences
$(a_{lm})$
.
Proposition 3.2 shows that the series

converges in
$C^k(K)$
almost surely, so for any fixed
$\delta>0$
there exists some number N (which one can assume larger than n) such that

With the convention that
${\alpha }_{lm}:=0$
for
$l>n$
, note that

Therefore, if we set
$M:= 8(N+1)^2\max _{l\leqslant N}\max _{-l\leqslant m\leqslant l} \|U_{i^lY_{lm}p}\|_{C^k(K)}$
, it follows that

which is strictly positive. The proposition then follows.
4 Preliminaries about hyperbolic periodic orbits and invariant tori
In this section, we construct Beltrami fields that exhibit hyperbolic periodic orbits or a positive measure set of ergodic invariant tori of arbitrary topology. Our constructions are robust in the sense that these properties hold for any other divergence-free field that is
$C^4$
-close to the Beltrami field. Additionally, we recall some basic notions and results about periodic orbits and invariant tori that will be useful in the following sections.
4.1 Hyperbolic periodic orbits
We recall that a periodic integral curve, or periodic orbit,
$\gamma $
of a vector field u is hyperbolic if all the (possibly complex) eigenvalues
$\lambda _j$
of the monodromy matrix of u at
$\gamma $
have modulus
$|\lambda _j|\neq 1$
. Since we are interested in divergence-free vector fields in dimension 3, in this case the eigenvalues are of the form
$\lambda ,\lambda ^{-1}$
for some real
$\lambda>1$
. The maximal Lyapunov exponent of the periodic orbit
$\gamma $
is defined as
$\Lambda :=\frac {\log \lambda }{T}>0$
, where T is the period of
$\gamma $
.
Given a closed curve
$\gamma _0$
smoothly embedded in
${\mathbb {R}}^3$
, we say that
$\gamma $
has the knot type
$[\gamma _0]$
if
$\gamma $
is isotopic to
$\gamma _0$
. It is well known that the number of knot types is countable. Given a set of four positive numbers
${\mathcal {I}}=(T_1,T_2,\Lambda _1,\Lambda _2)$
, with
$0<T_1<T_2$
and
$0<\Lambda _1<\Lambda _2$
, we denote by
${N^{\mathrm {o}}_u}(R;[\gamma ],{\mathcal {I}})$
the number of hyperbolic periodic orbits of a vector field u contained in the ball
$B_R$
, of knot type
$[\gamma ]$
, whose periods and maximal Lyapunov exponents are in the intervals
$(T_1,T_2)$
and
$(\Lambda _1,\Lambda _2)$
, respectively. Since we have fixed the intervals of the periods and Lyapunov exponents, there is a neighborhood of thickness
$\eta _0$
of each periodic orbit (
$\eta _0$
independent of the orbit) such that no other periodic orbit of this type intersects it. The compactness of
$B_R$
then immediately implies that
${N^{\mathrm {o}}_u}(R,[\gamma ],{\mathcal {I}})$
is finite, although the total number of hyperbolic periodic orbits in
$B_R$
may be countable.
An easy application of the hyperbolic permanence theorem [Reference Hirsch, Pugh and Shub24, Theorem 1.1] implies that the above periodic orbits are robust under
$C^1$
-small perturbations so that

for any vector field v that is close enough to u in the
$C^1$
norm. Indeed, if
$\|u-v\|_{C^1(B_R)}<\delta $
, then v has a periodic orbit
$\gamma _{\delta }$
that is isotopic to, and contained in a tubular neighborhood of width
$C\delta $
of, each periodic orbit
$\gamma $
of u that has the aforementioned properties. Moreover, the period and maximal Lyapunov exponent of
$\gamma _{\delta }$
is also
$\delta $
-close to that of
$\gamma $
, so choosing
$\delta $
small enough they still lie in the intervals
$(T_1,T_2)$
and
$(\Lambda _1,\Lambda _2)$
, respectively. Thus, we have proved the following.
Proposition 4.1. The functional
$u\mapsto {N^{\mathrm {o}}_u}(R;[\gamma ],{\mathcal {I}})$
is lower semicontinuous in the
$C^k$
compact open topology for vector fields, for any
$k\geqslant 1$
. Furthermore,
${N^{\mathrm {o}}_u}(R;[\gamma ],{\mathcal {I}})<\infty $
for any
$C^1$
vector field u.
The following result ensures that, for any fixed knot type
$[\gamma ]$
and any quadruple
${\mathcal {I}}$
, there is a Beltrami field u for which
${N^{\mathrm {o}}_u}(R;[\gamma ],{\mathcal {I}})\geqslant 1$
. This result is a consequence of [Reference Enciso and Peralta-Salas13, Theorem 1.1], so we just give a short sketch of the proof.
Proposition 4.2. Given a closed curve
$\gamma _0\subset {\mathbb {R}}^3$
and a set of numbers
${\mathcal {I}}$
as above, there exists a Hermitian finite linear combination of spherical harmonics
$\varphi $
such that the Beltrami field
$u_0:=U_{\varphi p}$
has a hyperbolic periodic orbit
$\gamma $
isotopic to
$\gamma _0$
, whose period and maximal Lyapunov exponent lie in the intervals
$(T_1,T_2)$
and
$(\Lambda _1,\Lambda _2)$
, respectively.
Proof. Proceeding as in [Reference Enciso and Peralta-Salas13, Section 3, Step 2], after perturbing slightly the curve
$\gamma _0$
to make it real analytic (let us also call
$\gamma _0$
the new curve), we construct a narrow strip
$\Sigma $
that contains the curve
$\gamma _0$
. Using the same coordinates
$(z,\theta )$
as introduced in [Reference Enciso and Peralta-Salas13, Section 5], we define an analytic vector field

where
$|\gamma _0|$
is the length of
$\gamma _0$
and
$T\in (T_1,T_2)$
,
$\Lambda \in (\Lambda _1,\Lambda _2)$
. Using the Cauchy–Kovalevskaya theorem for Beltrami fields [Reference Enciso and Peralta-Salas13, Theorem 3.1], we obtain a Beltrami field v on a neighborhood of
$\gamma _0$
such that
$v|_{\Sigma }=w$
. A straightforward computation shows that
$\gamma _0$
is a hyperbolic periodic orbit of v of period T and maximal Lyapunov exponent
$\Lambda $
. The result immediately follows by applying Proposition 2.5.
Corollary 4.3. There exists
$R_0>0$
and
$\delta>0$
such that
$N^{\mathrm {o}}_w(R_0;[\gamma ],{\mathcal {I}})\geqslant 1$
for any vector field w such that
$\|w-u_0\|_{C^k(B_{R_0})}<\delta $
, provided that
$k\geqslant 1$
.
Proof. Taking
$R_0$
large enough so that the periodic orbit
$\gamma $
is contained in
$B_{R_0}$
, the result is a straightforward consequence of the lower semicontinuity of
$N^{\mathrm {o}}_u(R;[\gamma ],{\mathcal {I}})$
, cf. Proposition 4.1.
4.2 Nondegenerate invariant tori
We recall that an invariant torus
${\mathcal T}$
of a vector field u is a compact surface diffeomorphic to the 2-torus, smoothly embedded in
${\mathbb {R}}^3$
, and such that, the field u is tangent to
${\mathcal T}$
and does not vanish on
${\mathcal T}$
. In other words,
${\mathcal T}$
is invariant under the flow of u. Given an embedded torus
${\mathcal T}_0$
, we say that
${\mathcal T}$
has the knot type
$[{\mathcal T}_0]$
if
${\mathcal T}$
is isotopic to
${\mathcal T}_0$
. It is well known that the number of knot types of embedded tori is countable.
To study the robustness of the invariant tori of a vector field it is customary to introduce two concepts: an arithmetic condition (called Diophantine), which is related to the dynamics of u on
${\mathcal T}$
, and a nondegeneracy condition (called twist) that is related to the dynamics of u in the normal direction to
${\mathcal T}$
.
We say that the invariant torus
${\mathcal T}$
is Diophantine with Diophantine frequency
$\omega $
if there exist global coordinates on the torus
$(\theta _1,\theta _2)\in ({\mathbb {R}}/\mathbb Z)^2$
such that the restriction of the field u to
${\mathcal T}$
reads in these coordinates as

for some nonzero real constants
$a,b$
, and
$\omega :=a/b$
modulo
$1$
is a Diophantine number. This means that there exist constants
$c>0$
and
$\nu>1$
such that

for any integers
$p,m$
with
$m\geqslant 1$
. Here,
$e_{\theta _j}$
(often denoted by
${\partial }_{\theta _j}$
) denotes the tangent vector in the direction of
$\theta _j$
. We recall that the set of Diophantine numbers (with all
$c>0$
and all
$\nu>1$
) has full measure. It is well known that the Diophantine property (possibly changing the constant c) of the frequency
$\omega $
is independent of the choice of coordinates.
Let us now introduce the notion of twist, which is more involved. To this end, we parameterize a neighborhood of
${\mathcal T}$
with a coordinate system
$(\rho ,\theta _1,\theta _2)\in (-\delta ,\delta )\times ({\mathbb {R}}/\mathbb Z)^2$
such that
${\mathcal T}=\{\rho =0\}$
and
$u|_{\rho =0}$
has the form (4.1). Let us now compute the Poincaré map
$\pi $
defined by the flow of u on a transverse section
$\Sigma \subset \{\theta _2=0\}$
(which exists if
$\delta $
is small enough because
$b\neq 0$
):


for
$\delta '<\delta $
. Obviously,
$\pi (0,\theta _1)=(0,\theta _1+\omega )$
. Since u is divergence-free, the map
$\pi $
preserves an area form
$\sigma $
on
$\Sigma $
, which one can write in these coordinates as

for some positive function F. Notice that the area form
$\sigma $
is exact because it can be written as
$\sigma =dA$
, where A is the 1-form

and the map
$\pi $
is also exact in the sense that
$\pi ^*A-A$
is an exact
$1$
-form. Indeed, the area preservation implies that
$d(\pi ^*A-A)=0$
; moreover, the periodicity of h in
$\theta _1$
readily implies that

so the claim follows from De Rham’s theorem. The exactness of both
$\sigma $
and
$\pi $
is a crucial ingredient to apply the KAM theory.
Remark 4.4. It was shown in [Reference Enciso and Peralta-Salas14, Proposition 7.3] that if the Euclidean volume form
$dx$
reads as
$H(\rho ,\theta _1,\theta _2)\,d\rho \wedge d\theta _1\wedge d\theta _2$
in coordinates
$(\rho ,\theta _1,\theta _2)$
for some positive function H, then the factor F that defines the area form
$\sigma $
is
$F(\rho ,\theta _1)=H(\rho ,\theta _1,0)u_{\theta _2}(\rho ,\theta _1,0)$
, where
$u_{\theta _2}$
denotes the
$\theta _2$
-component of the vector field u.
The twist of the invariant torus
${\mathcal T}$
is then defined as the number

The reason for which we consider this quantity is that it crucially appears in the KAM nondegeneracy condition of [Reference González-Enríquez and de la Llave20], cf. Ref. [Reference Enciso and Peralta-Salas14, Definition 7.5] for this particular case.
In the present paper, we are interested in the volume of the set of invariant tori of a divergence-free vector field u. More precisely, given a quadruple
${\mathcal {J}}:=(\omega _1,\omega _2, \tau _1,\tau _2)$
, where
$0<\omega _1<\omega _2$
,
$0<\tau _1<\tau _2$
, we denote by
${V^{\mathrm {t}}_u}(R;[{\mathcal T}],{\mathcal {J}})$
the inner measure of the set of Diophantine invariant tori of a vector field u contained in the ball
$B_R$
, of knot type
$[{\mathcal T}]$
, whose frequencies and twists are in the intervals
$(\omega _1,\omega _2)$
and
$(\tau _1,\tau _2)$
, respectively. One must employ the inner measure of this set (as opposed to its usual volume) because this set does not need to be measurable. When we speak of the volume of this set, it should always be understood in this sense. An efficient way of providing a lower bound for this volume is by considering, for each
$V_0>0$
, the number
${N^{\mathrm {t}}_u}(R;[{\mathcal T}],{\mathcal {J}},V_0)$
of pairwise disjoint (closed) solid tori contained in
$B_R$
whose boundaries are Diophantine invariant tori with parameters in
${\mathcal {J}}$
and which contain a set of Diophantine invariant tori with parameters in
${\mathcal {J}}$
of inner measure greater that
$V_0$
.
Remark 4.5. The twist defined in equation (4.5) depends on several choices we made to construct the Poincaré map (i.e., the transverse section and the coordinate system). Accordingly, the functional
${V^{\mathrm {t}}_u}(R;[{\mathcal T}],{\mathcal {J}})$
has to be understood as the inner measure of the set of Diophantine invariant tori whose twists lie in the interval
$(\tau _1,\tau _2)$
for some choice of (suitably bounded) coordinates and sections, and similarly with
${N^{\mathrm {t}}_u}(R;[{\mathcal T}],{\mathcal {J}},V_0)$
. It is well known that the property of nonzero twist is independent of the aforementioned choices.
Since the Poincaré map
$\pi $
that we introduced above is exact, we can apply the KAM theorem for divergence-free vector fields [Reference Khesin, Kuksin and Peralta-Salas27, Theorem 3.2] to show that the above invariant tori are robust for
$C^4$
-small perturbations so that
$V_v^{\mathrm t}(R;[{\mathcal T}],{\mathcal {J}})\geqslant {V^{\mathrm {t}}_u}(R;[{\mathcal T}],{\mathcal {J}})+o(1)$
and
$N_v^{\mathrm t}(R;[{\mathcal T}],{\mathcal {J}},V_0)\geqslant {N^{\mathrm {t}}_u}(R;[{\mathcal T}],{\mathcal {J}},V_0)$
for any divergence-free vector field v that is
$C^4$
-close to u. Indeed, if
$\|u-v\|_{C^4(B_R)}<\delta $
, then v has a set of Diophantine invariant tori of knot type
$[{\mathcal T}]$
and of volume

Here, we have used that the frequency and twist of each of these invariant tori is
$\delta $
-close to those of u, so by choosing
$\delta $
small enough they lie in the intervals
$(\omega _1,\omega _2)$
and
$(\tau _1,\tau _2)$
, respectively. The argument for
${N^{\mathrm {t}}_u}(R;[{\mathcal T}],{\mathcal {J}},V_0)$
is analogous. Summing up, we have proved the following.
Proposition 4.6. The functionals
$u\mapsto {N^{\mathrm {t}}_u}(R;[{\mathcal T}],{\mathcal {J}},V_0)$
and
$u\mapsto {V^{\mathrm {t}}_u}(R;[{\mathcal T}],{\mathcal {J}})$
are lower semicontinuous in the
$C^k$
compact open topology for divergence-free vector fields, for any
$k\geqslant 4$
.
We next show that, for any knot type
$[{\mathcal T}]$
, one can pick a quadruple
${\mathcal {J}}$
and some
$V_0>0$
for which there is a Beltrami field u with
${N^{\mathrm {t}}_u} (R;[{\mathcal T}],{\mathcal {J}},V_0)\geqslant 1$
. This is a straightforward consequence of [Reference Enciso and Peralta-Salas14, Theorem 1.1] (see also [Reference Enciso, Luque and Peralta-Salas11, Section 3]), so we just sketch the proof.
Proposition 4.7. Given an embedded torus
${\mathcal T}\subset {\mathbb {R}}^3$
, there exists a set of numbers
${\mathcal {J}}, V_0$
as above, and a Hermitian finite linear combination of spherical harmonics
$\varphi $
such that the Beltrami field
$u_0:=U_{\varphi p}$
has a set of inner measure greater than
$V_0>0$
that consists of Diophantine invariant tori of knot type
$[{\mathcal T}]$
whose frequencies and twists lie in the intervals
$(\omega _1,\omega _2)$
and
$(\tau _1,\tau _2)$
, respectively.
Proof. It follows from [Reference Enciso and Peralta-Salas14, Theorem 1.1] that there exists a Beltrami field v that satisfies
$\operatorname {\mathrm {curl}} v=\lambda v$
in
${\mathbb {R}}^3$
for some small constant
$\lambda>0$
, which has a positive measure set of invariant tori of knot type
$[{\mathcal T}]$
. These tori are Diophantine and have positive twist. It is obvious that the field
$u(x):=v(x/\lambda )$
satisfies the equation
$\operatorname {\mathrm {curl}} u=u$
in
${\mathbb {R}}^3$
, and still has a set of Diophantine invariant tori of knot type
$[{\mathcal T}]$
of measure bigger than some constant
$V_0$
, and positive twist. The result follows taking the intervals
$(\omega _1,\omega _2)$
and
$(\tau _1,\tau _2)$
in the definition of
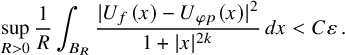
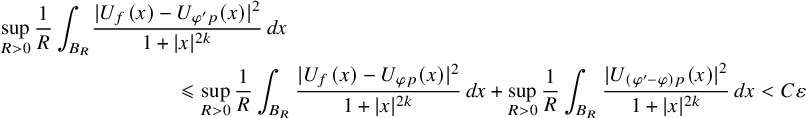
${\mathcal {J}}$
so that they contain the frequencies and twists of these tori of u, and applying Proposition 2.5 to approximate u by a Beltrami field
$U_{\varphi p}$
in a large ball containing the aforementioned set of invariant tori.
Corollary 4.8. Take
${\mathcal {J}}$
and
$V_0$
as in Proposition 4.7. There exists
$R_0>0$
and
$\delta>0$
such that
$N^{\mathrm {t}}_w(R_0;[{\mathcal T}],{\mathcal {J}},V_0)\geqslant 1$
and
$V^{\mathrm {t}}_w(R_0;[{\mathcal T}],{\mathcal {J}})>V_0/2$
for any divergence-free vector field w such that
$\|w-u_0\|_{C^k(B_{R_0})}<\delta $
, provided that
$k\geqslant 4$
.
Proof. Taking
$R_0$
large enough so that the aforementioned set of invariant tori of
$u_0$
is contained in
$B_{R_0}$
, the result is a straightforward consequence of the lower semicontinuity of
$N^{\mathrm {t}}_u(R;[{\mathcal T}],{\mathcal {J}},V_0)$
and
$V^{\mathrm {t}}_u(R;[{\mathcal T}],{\mathcal {J}})$
, cf. Proposition 4.6.
5 A Beltrami field on
${\mathbb {R}}^3$
that is stably chaotic
Our objective in this section is to construct a Beltrami field u in
${\mathbb {R}}^3$
that exhibits a horseshoe, that is, a compact (normally) hyperbolic invariant set with a transverse section homeomorphic to a Cantor set on which the time-T flow of u (or of a suitable reparametrization thereof) is topologically conjugate to a Bernoulli shift. It is standard that a horseshoe of a three-dimensional flow is a connected branched surface and that the existence of a horseshoe is stable in the sense that any other field that is
$C^1$
-close to u has a horseshoe too [Reference Guckenheimer and Holmes22, Theorem 5.1.2]. Moreover, the existence of a horseshoe implies that the field has positive topological entropy; recall that the topological entropy of the field, which we denote as
${h_{\mathrm {top}}}(u)$
, is defined as the entropy of its time-
$1$
flow. Summarizing, we have the following result for the number of (pairwise disjoint) horseshoes of u contained in
$B_R$
,
$N^{\mathrm {h}}_u(R)$
.
Proposition 5.1. The functional
$u\mapsto N^{\mathrm {h}}_u(R)$
is lower semicontinuous in the
$C^k$
compact open topology for vector fields, for any
$k\geqslant 1$
. Moreover, if u has a horseshoe, its topological entropy is positive.
In short, the basic idea to construct a Beltrami field with a horseshoe, is to construct first ‘an integrable’ Beltrami field having a heteroclinic cycle between two hyperbolic periodic orbits, which we subsequently perturb within the Beltrami class to produce a transverse heteroclinic intersection. By the Birkhoff–Smale theorem, this ensures the existence of horseshoe-type dynamics.
Proposition 5.2. There exists a Hermitian finite linear combination of spherical harmonics
$\varphi $
such that the Beltrami field
$u_0:=U_{\varphi p}$
exhibits a horseshoe. In other words,
$N^{\mathrm {h}}_{u_0}(R_0)\geqslant 1$
for all large enough
$R_0>0$
.
Proof. Let us take cylindrical coordinates
$(z,r,\theta )\in {\mathbb {R}}\times {\mathbb {R}}^+\times {\mathbb {T}}$
, with
${\mathbb {T}}:={\mathbb {R}}/2\pi \mathbb Z$
, defined as

We now consider the axisymmetric vector field v in
${\mathbb {R}}^3$
given by

Here,

with
$J_1$
being the Bessel function of the first kind and order 1, and the vector fields

which are often denoted by
${\partial }_z$
,
${\partial }_r$
,
${\partial }_{\theta }$
in the dynamical systems literature, have been chosen so that

for any function
$\phi $
. Notice that
$v\cdot \nabla \psi =0$
, so the scalar function
$\psi $
is a first integral of v. This means that the trajectories of the field v are tangent to the level sets of
$\psi $
.
The vector field v is not defined on the z-axis, so we shall consider the domain in Euclidean 3-space

where
${\mathcal {D}}$
is the domain in the
$(z,r)$
-plane given by

The reason for choosing this particular domain of
${\mathbb {R}}^3$
will become clear later in the proof; for the time being, let us just note that
$\psi (z,r)>0$
if
$(z,r)\in {\mathcal {D}}$
.
Also, observe that, away from the axis
$r=0$
, the vector field v is smooth and satisfies the Beltrami field equation
$\operatorname {\mathrm {curl}} v=v$
.
We claim that, in
$\Omega $
, v has two hyperbolic periodic orbits joined by a heteroclinic cycle. Indeed, noticing that

where we have used the identity
${\partial }_r[rJ_1(r)]=rJ_0(r)$
, it follows that the points
$p_{\pm }:=(\pm \pi ,j_{0,1})\in {\mathcal {D}}$
are critical points of
$\psi $
. Here,
$j_{0,1}=2.4048\dots $
is the first zero of the Bessel function
$J_0$
. Plugging this fact in equation (5.1), this implies that, on the circles in 3-space

the field v takes the form

with
$c_0:=3j_{0,1}J_1(j_{0,1})-1>0$
. Therefore, we conclude that the circles
$\gamma _{\pm }$
are periodic orbits of v contained in
$\Omega $
.
It is standard that the stability of these periodic orbits can be analyzed using the associated normal variational equation. Denoting by
$(v_z,v_r,v_{\theta })$
the components of the field v in the basis
$\{E_z,E_r,E_{\theta }\}$
, this is the linear ordinary differential equation (ODE)

where
$\eta $
takes values in
${\mathbb {R}}^2$
and A is the constant matrix

The Lyapunov exponents of the periodic orbit
$\gamma _{\pm }$
are the eigenvalues of the matrix A. Therefore, since
$J^{\prime }_0(j_{0,1})<0$
, these periodic orbits have a positive and a negative Lyapunov exponent, so they are hyperbolic periodic orbits of saddle type.
Since
$\psi $
is a first integral of v and
$\psi (p_{\pm })=c_0$
, the set

is an invariant singular surface of the vector field v. This set contains two regular surfaces
$\Gamma _1$
and
$\Gamma _2$
diffeomorphic to a cylinder. We label them so that
$\Gamma _1$
is contained in the half space
$\{r\leqslant j_{0,1}\}$
and
$\Gamma _2$
in
$\{r\geqslant j_{0,1}\}$
. The boundaries of these cylinders are the periodic orbits
$\gamma _{\pm }$
. The surface
$\Gamma _1$
is the stable manifold of
$\gamma _+$
that coincides with an unstable manifold of
$\gamma _-$
, while
$\Gamma _2$
is the unstable manifold of
$\gamma _+$
that coincides with a stable manifold of
$\gamma _-$
. Hence, the union
$\Gamma _1\cup \Gamma _2$
of both cylinders then form an heteroclinic cycle between the periodic orbits
$\gamma _+$
and
$\gamma _-$
, and one can see that it is contained in
$\Omega $
.
Let us now perturb the Beltrami field v in
$\Omega $
by adding a vector field w (to be fixed later) that also satisfies the Beltrami field equation
$\operatorname {\mathrm {curl}} w=w$
. Our goal is to break the heteroclinic cycle
$\Gamma _1\cup \Gamma _2$
in order to produce transverse intersections of the stable and unstable manifolds of
$\gamma _+^{\varepsilon }$
and
$\gamma _-^{\varepsilon }$
, where
$\gamma _{\pm }^{\varepsilon }$
denote the hyperbolic periodic orbits of the perturbed vector field

As before,
$(w_z,w_r,w_{\theta })$
denote the components of the vector field w in the basis
$\{E_z,E_r,E_{\theta }\}$
, which are functions of all three cylindrical coordinates
$(z,r,\theta )$
. If
$\varepsilon>0$
is small enough, the
$\theta $
-component of X is positive on the domain
$\Omega $
, so we can divide X by the factor
$X_{\theta }:=\frac {\psi }{r^2}+\varepsilon w_{\theta }>0$
to obtain another vector field Y that has the same integral curves up to a reparametrization:

Substituting the expression of
$\psi (z,r)$
and expanding in the small parameter
$\varepsilon $
, the analysis of the integral curves of Y reduces to that of the following nonautonomous system of ODEs in the planar domain
${\mathcal {D}}$
:


Notice that the dependence on t is
$2\pi $
-periodic and that we have replaced
$\theta $
by t in the function
$w_z(z,r,\theta )$
(and similarly
$w_r,w_{\theta }$
) because the
$\theta $
-component of the vector field Y is 1. When
$\varepsilon =0$
, one has


Hence, the unperturbed system is Hamiltonian with symplectic form
$\omega :=r^{-1}dz\wedge dr$
and Hamiltonian function
$H(z,r):=\log \psi (z,r)$
. The periodic orbits
$\gamma _{\pm }$
of v and their heteroclinic cycle
$\Gamma _1\cup \Gamma _2$
correspond to the (hyperbolic) fixed points
$p_{\pm }$
of the unperturbed system joined by two heteroclinic connections
$\widetilde \Gamma _k:=\Gamma _k\cap \{\theta =0\}$
,
$k=1,2$
. These are precisely the two pieces of the level curve
$\{H(z,r)=\log c_0\}$
that are contained in
${\mathcal {D}}$
. Let us denote by

the integral curves of the separatrices that solve equations (5.5) and (5.6) with initial conditions
$(0,r_k)\in \widetilde \Gamma _k$
. Of course, the closure of the set
${\{\gamma _k(t):t\in {\mathbb {R}}\}}$
is
$\widetilde \Gamma _k$
, and the stability analysis of the periodic integral curves
$\gamma _{\pm }$
readily implies that
$\lim _{t\to \pm (-1)^{k+1}\infty }\gamma _k(t)=p_{\pm }$
.
By the implicit function theorem, the perturbed system (5.3) and (5.4) has exactly two hyperbolic fixed points
$p_{\pm }^{\varepsilon }\in {\mathcal {D}}$
so that
$p_{\pm }^{\varepsilon } \to p_{\pm }$
as
$\varepsilon \to 0$
. The technical tool to prove that the unstable (resp. stable) manifold of
$p_+^{\varepsilon }$
and the stable (resp. unstable) manifold of
$p_-^{\varepsilon }$
intersect transversely when
$\varepsilon>0$
is small is the Melnikov function. We define the vector fields
$Y_0$
,
$Y_1$
, respectively, as the unperturbed system and the first order in
$\varepsilon $
perturbation, that is,

Since the unperturbed system is Hamiltonian, we can apply Lemma 5.4 below (which is a variation on known results in Melnikov theory) to conclude that if the Melnikov functions

have simple zeros for each
$k=1,2$
, then the aforementioned transverse intersections exist, and that actually the heteroclinic connections intersect at infinitely many points. The integrand
$\omega (Y_0,Y_1)$
denotes the action of the symplectic 2-form
$\omega $
on the vector fields
$Y_0,Y_1$
, evaluated on the integral curve
$\gamma _k(t-t_0)$
. It is standard that the improper integral in the definition of the Melnikov functions is absolutely convergent because of the hyperbolicity of the fixed points joined by the separatrices (see, e.g., [Reference Guckenheimer and Holmes22, Section 4.5]). Also, notice that although [Reference Guckenheimer and Holmes22, Section 4.5] concerns transverse intersections of homoclinic connections, the analysis applies verbatim to transverse intersections of heteroclinic connections.
More explicitly, the Melnikov functions are given by

where
$R_k(t)\equiv R_k(t;0,r_k)$
and
$Z_k(t)\equiv Z_k(t;0,r_k)$
. It is well known that the existence of transverse intersections is independent of the choice of initial condition.
To analyze these Melnikov integrals, let us now choose the particular perturbation

It is easy to check that
$\operatorname {\mathrm {curl}} w=w$
in
${\mathbb {R}}^3$
; in fact
$w=(\operatorname {\mathrm {curl}}\operatorname {\mathrm {curl}} +\operatorname {\mathrm {curl}})(J_0(r),0,0)$
(or, to put it differently,
$w=U_{\varphi ' q(\xi _1)^{-1} p}$
, where the distribution
$\varphi '$
on the sphere
${\mathbb {S}}$
is the Lebesgue measure of the equator, normalized to unit mass). With this choice, the Melnikov functions take the form

where the constants
$a_k,b_k$
are given by the integrals

Since the Hamiltonian function has the symmetry
$H(-z,r)=H(z,r)$
, it follows that
$R_k(t)=R_k(-t)$
and
$Z_k(t)=-Z_k(-t)$
. This immediately yields that
$a_1=a_2=0$
. Moreover, it is not hard to compute the constants
$b_1$
and
$b_2$
numerically:

Therefore, the function
$M_k(t_0)=b_k\cos t_0$
is a nonzero multiple of the cosine, so it obviously has exactly two zeros in the interval
$[0,2\pi )$
, which are nondegenerate. It then follows from Lemma 5.4 below that the two heteroclinic connections joining
$p_{\pm }^{\varepsilon }$
intersect transversely. In turn, this implies [Reference Wiggins33, Theorem 26.1.3] that each hyperbolic fixed point
$p_{\pm }^{\varepsilon }$
has transverse homoclinic intersections, so by the Birkhoff–Smale theorem [Reference Guckenheimer and Holmes22, Theorem 5.3.5] the perturbed system (5.3) and (5.4) (with w given by equation (5.8)) has a compact hyperbolic invariant set on which the dynamics is topologically conjugate to a Bernoulli shift. This set is contained in a neighborhood of the heteroclinic cycle
$\widetilde \Gamma _1 \cup \widetilde \Gamma _2$
, and hence in the planar domain
${\mathcal {D}}$
where the system is defined. This immediately implies that the vector field Y defined in equation (5.2), which is the suspension of the nonautonomous planar system (5.3), has a compact normally hyperbolic invariant set K on which its time-T flow is topologically conjugate to a Bernoulli shift, where
$T:= 2\pi N$
for some positive integer
$N>0$
. The invariant set K is contained in
$\Omega $
because it lies in a small neighborhood of the invariant set
$\Gamma _1\cup \Gamma _2$
. Since the integral curves of X and Y are the same, up to a reparametrization, K is also a chaotic invariant set of the Beltrami field X in
$\Omega $
.
Finally, since
${\mathbb {R}}^3\backslash \overline \Omega $
is connected, and of course the vector field X satisfies the Beltrami equation in an open neighborhood of
$\overline \Omega $
, for each
$\delta>0$
, Proposition 2.5 shows that there is a Hermitian finite linear combination of spherical harmonics
$\varphi $
such that

If
$\delta $
is small enough, the stability of transverse intersections implies that the Beltrami field
$U_{\varphi p}$
has a compact chaotic invariant set
$K_{\delta }$
in a small neighborhood of K on which a suitable reparametrization of its time-T flow is conjugate to a Bernoulli shift, so the proposition follows.
Corollary 5.3. There exists
$R_0>0$
and
$\delta>0$
such that
$N^{\mathrm {h}}_w(R_0)\geqslant 1$
for any vector field w such that
$\|w-u_0\|_{C^k(B_{R_0})}<\delta $
, provided that
$k\geqslant 1$
.
Proof. Taking
$R_0$
so that the horseshoe of
$u_0$
is contained in
$B_{R_0}$
, the result is a straightforward consequence of the lower semicontinuity of
$N^{\mathrm {h}}_u(R)$
, cf. Proposition 5.1.
To conclude, the following lemma gives the formula for the Melnikov function that we employed in the proof of Proposition 5.2 above. This is an expression for the Melnikov function of perturbations of a planar system that is Hamiltonian with respect to an arbitrary symplectic form. This is a minor generalization of the well-known formulas [Reference Guckenheimer and Holmes22, Theorem 4.5.3] and [Reference Holmes25, Equation (23)], which assume that the symplectic form is the standard one.
Lemma 5.4. Let
$Y_0$
be a smooth Hamiltonian vector field defined on a domain
${\mathcal {D}}\subset {\mathbb {R}}^2$
with Hamiltonian function H and symplectic form
$\omega $
. Assume that this system has two hyperbolic fixed points
$p_{\pm }$
joined by a heteroclinic connection
$\widetilde \Gamma $
. Take a smooth nonautonomous planar field
$Y_1$
, which we assume
$2\pi $
-periodic in time, and consider the perturbed system
$Y_0+\varepsilon Y_1+O(\varepsilon ^2)$
. Then the simple zeros of the Melnikov function

where the integrand is evaluated at the integral curve
$\gamma (t-t_0;p_0)$
of
$Y_0$
parametrizing the separatrix
$\widetilde \Gamma $
, give rise to a transverse heteroclinic intersection of the perturbed system, for any small enough
$\varepsilon $
.
Proof. If
$\varepsilon $
is small enough, the perturbed system has two hyperbolic fixed points
$p_{\pm }^{\varepsilon }$
. To analyze how the heteroclinic connection is perturbed, we take a point
$p_0\in \widetilde \Gamma $
and we compute the so-called displacement (or distance) function
$\Delta (t_0)$
on a section
$\Sigma $
based at
$p_0$
and transverse to
$\widetilde \Gamma $
. Recall that the function
$\varepsilon \Delta (t_0)$
gives the distance of the splitting, up to order
$O(\varepsilon ^2)$
, between the corresponding stable and unstable manifolds of the perturbed system at the section
$\Sigma $
.
A standard analysis, cf. [Reference Holmes25, Equation (22)] or the proof of [Reference Guckenheimer and Holmes22, Theorem 4.5.3], yields the following formula for
$\Delta (t_0)$
:

where we have omitted the dependence of the integral curve on the initial condition
$p_0\in \widetilde \Gamma $
. Here, we are using the notation
$X\times Y:= X_1Y_2-X_2Y_1$
for vectors
$X,Y\in {\mathbb {R}}^2$
and
$\text {Tr}\, DY_0$
is the trace of the Jacobian matrix of the unperturbed field
$Y_0$
.
Take coordinates in
${\mathcal {D}}$
, which we will call
$(z,r)$
just as in the proof of Proposition 5.2, and write the symplectic form as
$\omega =\rho (z,r)\,dz\wedge dr$
, where
$\rho (z,r)$
is a smooth function that does not vanish. Let us call here
$\{e_z,e_r\}$
the basis of vector fields dual to
$\{dz,dr\}$
(which are usually denoted by
${\partial }_z$
and
${\partial }_r$
, as they correspond to the partial derivatives with respect to the coordinates z and r). The Hamiltonian field
$Y_0$
reads in these coordinates as

Noting that

and


equation (5.9) implies that

so the claim follows because
$M(t_0)$
coincides with the displacement function up to a constant proportionality factor.
6 Asymptotics for random Beltrami fields on
${\mathbb {R}}^3$
We are now ready to prove our main results about random Beltrami fields on
${\mathbb {R}}^3$
, Theorems 1.2 and 1.5. To do this, as we saw in the two previous sections, we need to handle sets that have a rather geometrically complicated structure, which gives rise to several measurability issues. For this reason, we start this section by proving a version of the Nazarov–Sodin sandwich estimate [Reference Nazarov and Sodin30, Lemma 1] that circumvents some of these issues and which is suitable for our purposes.
6.1 A sandwich estimate for sets of points and for arbitrary closed sets
For any subset
$\Gamma \subset {\mathbb {R}}^3$
, we denote by
$N(x,r;\Gamma )$
the number of connected components of
$\Gamma $
that are contained in the ball
$B_r(x)$
. Also, if
${\mathcal {X}}:=\{ x_j:j\in {\mathcal {J}}\}$
, where
$x_j\in {\mathbb {R}}^3$
, is a countable set of points (which is not necessarily a closed subset of
${\mathbb {R}}^3$
), then we define

as the number of points of
${\mathcal {X}}$
contained in the open ball
$B_r(x)$
. For the ease of notation, we will write
$N(r;\Gamma ):=N(0,r;\Gamma )$
and similarly
${\mathcal {N}}(r;{\mathcal {X}})$
. We remark that these numbers may be infinite.
Lemma 6.1. Let
$\Gamma $
be any subset of
${\mathbb {R}}^3$
whose connected components are all closed and let
${\mathcal {X}}:=\{ x_j:j\in {\mathcal {J}}\}$
, with
$x_j\in {\mathbb {R}}^3$
, be a countable set of points of
${\mathbb {R}}^3$
. Then the functions
${\mathcal {N}}(\cdot ,r; {\mathcal {X}})$
and
$N(\cdot ,r; \Gamma )$
are measurable, and for any
$0<r<R$
one has

Proof. Let us start by noticing that

As the ball
${B_r(x)}$
is an open set, it is clear that
$\mathbf {1}_{{B_r(x)}}(\cdot )$
is a lower semicontinuous function. Recall that lower semicontinuity is preserved under sums and that the supremum of an arbitrary set (not necessarily countable) of lower semicontinuous functions is also lower semicontinuous. Therefore, from the formula

where
${\mathcal {J}}'$
ranges over all finite subsets of
${\mathcal {J}}$
, we deduce that the function
${\mathcal {N}}(\cdot ,r;{\mathcal {X}})$
is lower semicontinuous, and therefore measurable.
Now, let
${\mathcal {J}}_R:=\{j\in {\mathcal {J}}: x_j\in B_R\}$
and note that

As we can interchange the sum and the integral by the monotone convergence theorem and

one immediately obtains the upper bound for
${\mathcal {N}}(R;{\mathcal {X}})$
. Likewise, using now that

we derive the lower bound. The sandwich estimate for
${\mathcal {N}}(R;{\mathcal {X}})$
is then proved.
Now, let
$\gamma $
be a connected component of
$\Gamma $
, which is a closed set by hypothesis. Since
$\gamma \subset B_r(y)$
if and only if
$y\in B_r(x)$
for all
$x\in \gamma $
, one has that

where the sum is over the connected components of
$\Gamma $
and the set
$\gamma ^r$
is defined, for each connected component
$\gamma $
of
$\Gamma $
, as

that is, as the set of points in
$\mathbb R^3$
whose distance to any point of
$\gamma $
is less than r. Obviously, the set
$\gamma ^r$
is open, so
$\mathbf {1}_{\gamma ^r}$
is lower semicontinuous and contained in the ball
$B_r(x_0)$
, where
$x_0$
is any point of
$\gamma $
. Also notice that
$\gamma ^r$
is not the empty set provided that
$2r$
is larger than the diameter of
$\gamma $
. Therefore, by the same argument as before, if follows from the expression (6.1) that the function
$N(\cdot ,r;\Gamma )$
is measurable. If we now define the set
$\Gamma _R$
consisting of the connected components of
$\Gamma $
that are contained in the ball
$B_R$
, the same argument as before shows that

In the first inequality, we are summing over components
$\gamma $
whose diameter is smaller than
$2r$
, and to pass to the last inequality we have used the obvious volume bound
$|\gamma ^r|\leqslant |B_r|$
. Note that the proof of the upper bound for
${\mathcal {N}}(R; {\mathcal {X}})$
does not apply in this case, essentially because we do not have lower bounds for
$|\gamma ^r|$
in terms of
$|B_r|$
.
6.2 Proof of Theorem 1.2 and Corollary 1.3
We are ready to prove Theorem 1.2. In fact, we will establish a stronger result which permits controlling the parameters of the periodic orbits and the invariant tori. In what follows, we shall use the notation introduced in Sections 4 and 5 for the number of periodic orbits
${N^{\mathrm {o}}_u}(R;[\gamma ],{\mathcal {I}})$
, the number of Diophantine toroidal sets
${N^{\mathrm {t}}_u}(R;[{\mathcal T}],{\mathcal {J}}, V_0)$
(and the volume of the set of invariant tori
${V^{\mathrm {t}}_u}(R;[{\mathcal T}],{\mathcal {J}})$
) and the number of horseshoes
${N^{\mathrm {h}}_u}(R)$
. This is useful in itself, since we showed in Section 4.1 that the quantity
${N^{\mathrm {o}}_u}(R;[\gamma ],{\mathcal {I}})$
is finite but this does not need to be the case if one just counts
${N^{\mathrm {o}}_u}(R;[\gamma ])$
. Also, the choice of counting the volume of invariant tori instead of its number (which one definitely expect to be infinite) provides the trivial bound
${V^{\mathrm {t}}_u}(R;[{\mathcal T}],{\mathcal {J}})\leqslant |B_R|$
. Specifically, the result we prove is the following.
Theorem 6.2. Consider a closed curve
$\gamma $
and an embedded torus
${\mathcal T}$
of
${\mathbb {R}}^3$
. Then for any
${\mathcal {I}}=(T_1,T_2,\Lambda _1,\Lambda _2)$
, some
${\mathcal {J}}=(\omega _1,\omega _2,\tau _1,\tau _2)$
and some
$V_0>0$
, where

a Gaussian random Beltrami field u satisfies

with probability
$1$
, with constants that are all positive. In particular, the topological entropy of u is positive almost surely, and

with probability
$1$
.
Proof. For the ease of notation, let us denote by
$\Phi _R(u)$
the quantities
${N^{\mathrm {h}}_u}(R)$
,
${N^{\mathrm {o}}_u}(R;[\gamma ],{\mathcal {I}})$
and
${N^{\mathrm {t}}_u}(R;[{\mathcal T}],{\mathcal {J}},V_0)$
, in each case. Horseshoes are closed, and so are the set of periodic orbits isotopic to
$\gamma $
with parameters in
${\mathcal {I}}$
and the set of closed invariant solid tori of the kind counted by
${N^{\mathrm {t}}_u}(R;[{\mathcal T}],{\mathcal {J}},V_0)$
. Therefore, the lower bound for sets
$\Gamma $
whose components are closed proved in Lemma 6.1 ensures that, for any
$0<r<R$
,

where for any large
$m>1$
we have defined the truncation

We recall that the translation operator is defined as
$\tau _yu(\cdot )=u(\cdot +y)$
.
As the truncated random variable
$\Phi _r^m$
is in
$L^1(C^k({\mathbb {R}}^3,{\mathbb {R}}^3),\mu _u)$
for any m, one can consider the limit
$R\to \infty $
and apply Proposition 3.8 to conclude that

$\mu _u$
-almost surely, for any r and m. Corollaries 4.3, 4.8 and 5.3 imply that (for any
${\mathcal {I}}$
in the case of periodic orbits, for some
${\mathcal {J}}$
and some
$V_0>0$
in the case of invariant tori, and unconditionally in the case of horseshoes), there exists some
$r>0$
, some
$\delta>0$
and a Beltrami field
$u_0$
such that

for any divergence-free vector field
$w\in C^k({\mathbb {R}}^3,{\mathbb {R}}^3)$
with
$\|w-u_0\|_{C^4(B_r)}<\delta $
. As the random variable
$\Phi _r$
is nonnegative, and the measure
$\mu _u$
is supported on Beltrami fields (cf. Proposition 3.9), which are divergence-free, it is then immediate that, when picking the parameters
${\mathcal {I}}$
,
${\mathcal {J}}$
and
$V_0$
as above, one has for
$k\geqslant 4$

This is positive again by Proposition 3.9. So defining the constant, in each case, as

the first part of the theorem follows.
Finally, the topological entropy of u is positive almost surely because u has a horseshoe with probability 1; see Proposition 5.1. The estimate for the growth of the volume of Diophantine invariant tori follows from the trivial lower bound

Remark 6.3. A simple variation of the proof of Theorem 6.2 provides an analogous result for links. We recall that a link
$\mathcal L$
is a finite set of pairwise disjoint closed curves in
${\mathbb {R}}^3$
, which can be knotted and linked among them. More precisely, if
$N^{\mathrm {l}}(R;[\mathcal L],{\mathcal {I}})$
is the number of unions of hyperbolic periodic orbits of u that are contained in
$B_R$
, isotopic to the link
$\mathcal L$
, and whose periods and maximal Lyapunov exponents are in the intervals prescribed by
${\mathcal {I}}$
, then

To apply the lower bound obtained in Lemma 6.1 to estimate the number of links, it is enough to transform each link into a connected set by joining its different components by closed arcs. The proof then goes exactly as in Theorem 6.2 upon noticing that analogs of Proposition 4.2 and Corollary 4.3 also hold for links (the proof easily carries over to this case).
Proof of Corollary 1.3.
The corollary is now an immediate consequence of the fact that the number of isotopy classes of closed curves and embedded tori is countable. Indeed, by Theorem 1.2, with probability 1, a Gaussian random Beltrami field has infinitely many horseshoes, an infinite volume of ergodic invariant tori isotopic to a given embedded torus
${\mathcal T}$
and infinitely many periodic orbits isotopic to a given closed curve
$\gamma $
. Since the countable intersection of sets of probability 1 also has probability
$1$
, the claim follows.
6.3 Proof of Theorem 1.5
We are now ready to prove the asymptotics for the number of zeros of the Gaussian random Beltrami field u. Let us start by noticing that, almost surely, the zeros of u are nondegenerate. This is because

which is a consequence of the boundedness of the probability density function (cf. Remark 3.7) and that u is
$C^{\infty }$
almost surely; see [Reference Azais and Wschebor4, Proposition 6.5]. Hence, the intersection of the zero set

with a ball
$B_R$
is a finite set of points almost surely. The implicit function theorem then implies that these zeros are robust under
$C^1$
-small perturbations so that with probability
$1$
,
${\mathcal {N}}(R;{\mathcal {X}}_v)\geqslant {\mathcal {N}}(R;{\mathcal {X}}_w)$
for any vector field v that is close enough to w in the
$C^1$
norm. Summarizing, we have the following.
Proposition 6.4. Almost surely, the functional
$w\mapsto {\mathcal {N}}(R;{\mathcal {X}}_w)$
is lower semicontinuous in the
$C^k$
compact open topology for vector fields, for any
$k\geqslant 1$
. Furthermore,
${\mathcal {N}}(R;{\mathcal {X}}_w)<\infty $
with probability
$1$
.
Since the variance
${\mathbb {E}}[u(x)\otimes u(x)]$
is the identity matrix by Corollary 3.6, the Kac–Rice formula [Reference Azais and Wschebor4, Proposition 6.2] then enables us to compute the expected value of the random variable

as

Here, we have used that the above conditional expectation is independent of the point
$x\in {\mathbb {R}}^3$
by the translational invariance of the probability measure. We recall that the probability density function
$\rho (y):= (2\pi )^{-\frac 32}\, e^{-\frac 12|y|^2}$
was introduced in Remark 3.7.
To compute the above conditional expectation value, one can argue as follows.
Lemma 6.5. For any
$x\in {\mathbb {R}}^3$
,

where the constant
${\nu ^{\mathrm {z}}}$
is given by (1.4).
Proof. Let us first reduce the computation of the conditional expectation to that of an ordinary expectation by introducing a new random variable
$\zeta $
. Just like
$\nabla u(x)$
, this new variable takes values in the space of
$3\times 3$
matrices, which we will identify with
${\mathbb {R}}^9$
by labeling the matrix entries as

This variable is defined as

where the linear operator B (which is a
$9\times 3$
matrix if we identify
$\nabla u(x)$
with a vector in
${\mathbb {R}}^9$
) is chosen so that the covariance matrix of
$u(x)$
and
$\zeta $
is 0:

Here, we have used that the second matrix is in fact the identity by Corollary 3.6. An easy computation shows that then

as
$u(x)$
and
$\zeta $
are Gaussian vectors with zero mean, this condition ensures that they are independent random variables. Therefore, we can use the identity (6.5) to write the conditional expectation as

Our next goal is to compute the covariance matrix of
$\zeta $
in closed form, which will enable us to find the expectation of
$|\det \zeta |$
. By definition,

The basic observation now is that, for any Hermitian polynomials in three variables
$q(\xi )$
and
$q'(\xi )$
, the argument that we used to establish the formula (3.3) and Corollary 3.6 shows that

Here, we have used that
$q'(D)u_k$
is real-valued because
$q'$
is Hermitian. As all the matrix integrals in the calculation of
${\mathbb {E}}(\zeta \otimes \zeta )$
are of this form with
$q(\xi )=i\xi $
or
$1$
, the computation again boils down to evaluating integrals of the form
$\int _{\mathbb {S}} \xi ^{\alpha }\, d{\sigma }(\xi )$
, which can be computed using the formula (3.4).
Tedious but straightforward computations then yield the following explicit formula for the covariance matrix of
$\zeta $
:

Note that this matrix is not invertible: it has rank 5, and an orthogonal basis for the (
$4$
-dimensional) kernel is

where
$\{e_j\}_{j=1}^9$
denotes the canonical basis of
${\mathbb {R}}^9$
. As we are dealing with Gaussian vectors, this is equivalent to the assertion that

almost surely (which amounts to saying that
$\zeta $
is a traceless symmetric matrix). Notice that these equations define a
$5$
-dimensional subspace orthogonal to the kernel of
${\Sigma }$
. The remaining random variables
$\zeta ':= (\zeta _1,\zeta _2,\zeta _3,\zeta _5,\zeta _6)$
are independent Gaussians with zero mean and covariance matrix

By construction,
${\Sigma }'$
is an invertible matrix, so we can immediately write down a formula for the expectation value of
$|\det \zeta |$
:

with the cubic polynomial Q being defined as in equation (1.5). Since
$\frac 12 \zeta '\cdot {\Sigma }^{\prime -1}\zeta '= \widetilde Q(\zeta ')$
, where the quadratic polynomial
$\widetilde Q$
was defined in equation (1.6), and

we therefore have

The result then follows.
Remark 6.6. If one keeps track of the connection between
$\zeta $
and
$\nabla u(x)$
, it is not hard to see that the first condition
$\zeta _1+\zeta _5+\zeta _9=0$
in equation (6.6) is equivalent to
$\operatorname {\mathrm {div}} u(x)=0$
, while the remaining three just mean that
$\operatorname {\mathrm {curl}} u(x)= u(x)$
, at the points
$x\in {\mathbb {R}}^3$
, where
$u(x)=0$
.
In particular, this shows that
$\Phi _R\in L^1(C^k({\mathbb {R}}^3,{\mathbb {R}}^3),\mu _u)$
. For the ease of notation, let us define the ergodic mean operator

Since
${\mathcal {N}}(R,{\mathcal {X}}_w)$
is finite almost surely, cf. Proposition 6.4, the sandwich estimate proved in Lemma 6.1 implies that, almost surely,

for any
$0<r<R$
. Therefore, and using that
$|B_{R\pm r}|/|B_R|=(1\pm r/R)^3$
, one has

For fixed r, equation (6.3) and Proposition 3.8 ensure that

as
$R\to \infty $
; also, note that the limit (which is independent of r) has been computed in Lemma 6.5 above.
Therefore, if we let
$R\to \infty $
while r is held fixed, the right-hand side of the estimate before equation (6.7) tends to 0
$\mu _u$
-almost surely and in
$L^1(\mu _u)$
, so that

as
$R\to \infty $
. As
${\mathcal {A}}_R\Phi _r{\xrightarrow [\mathrm {a.s.}]{L^1}}{\nu ^{\mathrm {z}}}$
by (6.7), Theorem 1.5 is proven.
7 The Gaussian ensemble of Beltrami fields on the torus
7.1 Gaussian random Beltrami fields on the torus
As introduced in Section 1.3, a Beltrami field on the flat 3-torus
${\mathbb {T}}^3:=({\mathbb {R}}/2\pi \mathbb Z)^3$
(or, equivalently, on the cube of
${\mathbb {R}}^3$
of side length
$2\pi $
with periodic boundary conditions) is a vector field on
${\mathbb {T}}^3$
satisfying the equation

for some real number
$\lambda \neq 0$
. To put it differently, Beltrami fields on the torus are the eigenfields of the curl operator. It is easy to see that such an eigenfield is divergence-free and has zero mean, that is,
$\int _{{\mathbb {T}}^3} v\, dx=0$
.
Since
${\Delta } v+\lambda ^2 v=0$
, it is well known (see, e.g., [Reference Enciso, Lucà and Peralta-Salas10]) that the spectrum of the curl operator on the
$3$
-torus consists of the numbers of the form
$\lambda =\pm |k|$
for some vector with integer coefficients
$k\in \mathbb Z^3$
. For concreteness, we will henceforth assume that
$\lambda>0$
; the case of negative frequencies is completely analogous. Since k has integer coefficients, one can label the positive eigenvalues of curl by a positive integer L such that
$\lambda _L=L^{1/2}$
. Let us define

and note that the set
${\mathcal {Z}}_L$
is invariant under reflections (i.e.,
$-k\in {\mathcal {Z}}_L$
if
$k\in {\mathcal {Z}}_L$
).
The Beltrami fields corresponding to the eigenvalue
$\lambda _L$
must be of the form

for some
$V_k\in {\mathbb {C}}^3$
. Conversely, this expression defines a Beltrami field with frequency
$\lambda _L$
if and only if
$V_k= \overline {V_{-k}}$
(which ensures that v is real-valued) and

Since
$|k|=L^{1/2}$
, we infer from the proof of Proposition 2.1 that the vector
$V_k$
must be of the form

unless
$k=(\pm L^{1/2},0,0)$
. Here,
${\alpha }_k\in {\mathbb {C}}$
is an arbitrary complex number and the Hermitian vector field
$p(\xi )$
was defined in equation (2.4).
The multiplicity of the eigenvalue
$\lambda _L$
is given by the cardinality
$d_L:=\#{\mathcal {Z}}_L$
. By Legendre’s three-square theorem,
${\mathcal {Z}}_L$
is nonempty (and therefore
$\lambda _L$
is an eigenvalue of the curl operator) if and only if L is not of the form
$4^a(8b+7)$
for nonnegative integers a and b.
Based on the formulas (7.1) and (7.2), we are now ready to define a Gaussian random Beltrami field on the torus with frequency
$\lambda _L$
as

where the real and imaginary parts of the complex-valued random variable
$a^L_k$
are standard Gaussian variables. We also assume that these random variables are independent except for the constraint
$a^L_k=\overline {a^L_{-k}}$
. The inessential normalization factor
$(2\pi /d_L)^{1/2}$
has been introduced for later convenience.
Note that
$u^L(x)$
is a smooth
${\mathbb {R}}^3$
-valued function of the variable x, so it induces a Gaussian probability measure
$\mu ^L$
on the space of
$C^k$
-smooth vector fields on the torus,
$C^k({\mathbb {T}}^3,{\mathbb {R}}^3)$
. As before, we will always assume that
$k\geqslant 4$
to apply results from KAM theory. We will also employ the rescaled Gaussian random field

for any fixed point
$z\in {\mathbb {T}}^3$
.
7.2 Estimates for the rescaled covariance matrix
In what follows, we will restrict our attention to the positive integers L, which we will henceforth call admissible, that are not congruent with 0, 4 or 7 modulo 8. When L is congruent with 7 modulo 8, Legendre’s three-square theorem immediately implies that
${\mathcal {Z}}_L$
is empty. The reason to rule out numbers congruent with 0 or 4 modulo 8 is more subtle: A deep theorem of Duke [Reference Duke9], which addresses a question raised by Linnik, ensures that the set
${\mathcal {Z}}_L/L^{1/2}$
becomes uniformly distributed on the unit sphere as
$L\to \infty $
through integers that are congruent to 1, 2, 3, 5 or 6 modulo 8. This ensures that

as
$L\to \infty $
through admissible values, for any continuous function
$\phi $
on
${\mathbb {S}}$
. A particular case is when L goes to infinity through squares of odd values, that is, when
$L=(2m+1)^2$
and
$m\to \infty $
.
The covariance kernel of the Gaussian random variable
$u^L$
is the matrix-valued function

Following Nazarov and Sodin [Reference Nazarov and Sodin30], we will be most interested in the covariance kernel of the rescaled field
$u^{L,z}$
at a point
$z\in {\mathbb {T}}^3$
, which is given by

The following proposition ensures that, for large admissible frequencies L, the rescaled covariance kernel, and suitable generalizations thereof, tend to those of a Gaussian random Beltrami field on
${\mathbb {R}}^3$
,
$\kappa (x,y)$
, defined in equation (3.2):
Proposition 7.1. For any
$z\in {\mathbb {T}}^3$
, the rescaled covariance kernel
$\kappa ^{L,z}(x,y)$
has the following properties:
-
(i) It is invariant under translations and independent of z. That is, there exists some function
$\varkappa ^L$ such that
$$\begin{align*}\kappa^{L,z}(x,y)=\varkappa^L(x-y)\,. \end{align*}$$
-
(ii) Given any compact set
$K\subset {\mathbb {R}}^3$ , the covariance kernel satisfies
$$\begin{align*}\kappa^{L,z}(x,y)\to \kappa(x,y) \end{align*}$$
in
$C^s(K\times K)$ as
$L\to \infty $ through admissible values.
Proof. Let
${\alpha }$
,
${\beta }$
be any multi-indices, and recall the operator
$D=-i\nabla $
introduced in Section 3. By definition, and using the fact that
$u^L$
is real,

The independence properties of the Gaussian variables
$a^L_k$
(which have zero mean) imply that
${\mathbb {E}}^L (a^L_k\overline {a^L_{k'}})=0$
if
$k'\not \in \{k,-k\}$
. When
$k'=k$
, one has

and when
$k'=-k$
,

Therefore,
${\mathbb {E}}^L (a^L_k\overline {a^L_{k'}})=2\delta _{k k'}$
and we obtain

In particular, this formula shows that
$\kappa ^{L,z}(x,y)$
is independent of z and translation-invariant.
Using now the fact that
${\mathcal {Z}}_L$
becomes uniformly distributed on
${\mathbb {S}}$
as
$L\to \infty $
through admissible values, we obtain via Equation (7.4) that

By Proposition 3.4, the right-hand side equals
$D_x^{\alpha } D_y^{\beta }\kappa (x,y)$
, so the result follows.
7.3 A convergence result for probability measures
We shall next present a result showing that the probability measure defined by the rescaled field
$u^{L,z}$
converges, as
$L\to \infty $
, to that defined by the Gaussian random Beltrami field on
${\mathbb {R}}^3$
, u, on compact sets of
${\mathbb {R}}^3$
.
Lemma 7.2. Fix some
$R>0$
and denote by
$\mu ^{L,z}_R$
and
$\mu _{u,R}$
, respectively, the probability measures on
$C^k(B_R,{\mathbb {R}}^3)$
defined by the Gaussian random fields
$u^{L,z}$
and u. Then the measures
$\mu ^{L,z}_R$
converge weakly to
$\mu _{u,R}$
as
$L\to \infty $
through the admissible integers.
Proof. Let us start by noting that all the finite-dimensional distributions of the fields
$u^{L,z}$
converge to those of u as
$L\to \infty $
. Specifically, consider any finite number of points
$x^1,\dots , x^n\in {\mathbb {R}}^3$
, any indices
$j^1,\dots , j^n\in \{1,2,3\}$
, and any multi-indices with
$|{\alpha }^j|\leqslant k$
. Then it is not hard to see that the Gaussian vectors of zero expectation

converge in distribution to the Gaussian vector

as
$L\to \infty $
. This follows from the fact that their probability density functions are completely determined by the
$n\times n$
variance matrix

which converges to
${\Sigma }:=({\partial }_x^{{\alpha }^l}{\partial }_y^{{\alpha }^m}\kappa _{j^lj^m}(x,y)|_{(x,y)=(x^l,x^m)})$
as
$L\to \infty $
by Proposition 7.1. The latter, of course, is the covariance matrix of the Gaussian vector (7.5).
It is well known that this convergence of arbitrary Gaussian vectors is not enough to conclude that
$\mu ^{L,z}_R$
converges weakly to
$\mu _{u,R}$
. However, notice that, for any integer
$s\geqslant 0$
, the mean of the
$H^s$
-norm of
$u^{L,z}$
is uniformly bounded:

To pass to the last line, we have used Proposition 7.1 once more. As the constant
$M_{s,R}$
is independent of L, Sobolev’s inequality ensures that

for some constant M that only depends on R. For any
$\varepsilon>0$
, this implies that for all admissible L large enough

As the set
$\{ w\in C^k(B_R,{\mathbb {R}}^3): \|w\|_{C^{k+1}(B_R)}^2\leqslant M/\varepsilon \}$
is compact by the Arzelà–Ascoli theorem, we conclude that the sequence of probability measures
$\mu ^{L,z}_R$
is tight. Therefore, a straightforward extension to jet spaces of the classical results about the convergence of probability measures on the space of continuous functions [Reference Billingsley7, Theorem 7.1], carried out in [Reference Wilson34], permits to conclude that
$\mu ^{L,z}_R$
indeed converges weakly to
$\mu _{u,R}$
as
$L\to \infty $
. The lemma is then proven.
7.4 Proof of Theorem 1.6
We are now ready to prove our asymptotic estimates for high-frequency Beltrami fields on the torus. The basic idea is that, by the definition of the rescaling,

provided that
$r<R<L^{1/2}$
: this just means that the number of horseshoes that
$u^L$
has in the whole torus is certainly not less than those that are contained in a ball centered at any given point
$z\in {\mathbb {T}}^3$
of radius
$r/L^{1/2}<1$
. The same is clearly true as well when one counts invariant solid tori, periodic orbits or zeros instead.
For the ease of notation, let us denote by
$\Phi _r(w)$
the quantity
$N^{\mathrm {h}}_w(r)$
,
$N^{\mathrm {t}}_w(r;[{\mathcal T}],{\mathcal {J}},V_0)$
,
$N^{\mathrm {o}}_w(r;[\gamma ],{\mathcal {I}})$
or
$N^{\mathrm {z}}_w(r)$
(that is, the number of nondegenerate zeros of w in
$B_r$
), in each case. See Sections 4 and 5 for precise definitions. We recall that
$N^{\mathrm {z}}_w(r)={\mathcal {N}}(r;{\mathcal {X}}_w)$
with probability
$1$
, cf. Section 6.3. Theorems 6.2 (for periodic orbits, invariant tori and horseshoes) and 1.5 (for zeros) ensure that, given any
$m_1>0$
, any
$\delta _1>0$
, any closed curve
$\gamma $
and any embedded torus
${\mathcal T}$
, one can find some parameters
${\mathcal {I}}$
,
${\mathcal {J}}$
,
$V_0$
and
$r>0$
such that

Of course, here we are simply using that the volume
$|B_r|$
, which appears in the statements of Theorems 6.2 and 1.5 but not here, can be made arbitrarily large by taking a large r.
Let us now fix a constant
$R>r$
and a point
$z\in {\mathbb {T}}^3$
. We showed in Propositions 4.1, 4.6, 5.1 and 6.4 that the functionals that we are now denoting by
$\Phi _r$
are lower semicontinuous on the space
$C^k({\mathbb {R}}^3,{\mathbb {R}}^3)$
of divergence-free fields for
$k\geqslant 4$
. This implies that the set

is open in
$C^k(B_R,{\mathbb {R}}^3)$
. Lemma 7.2 ensures that the measure
$\mu ^{L,z}_R$
converges weakly to
$\mu _{u,R}$
as
$L\to \infty $
through the admissible integers. As the set
$\Omega _{r,R,m_1}$
is open, this is well-known to imply (see, e.g., [Reference Billingsley7, Theorem 2.1.iv]) that

We observe that
$\delta _1>0$
can be taken arbitrarily small if r is large enough (and
$r/L^{1/2}<R/L^{1/2}<1$
). Now, for any
$A\geqslant 1$
and L large enough, we can take A pairwise disjoint balls in
${\mathbb {T}}^3$
of radius
$r/L^{1/2}<A^{-1/3}$
centered at points
$\{z^a\}_{a=1}^A\subset {\mathbb {T}}^3$
. Setting
$m:=Am_1$
, the previous analysis, which is independent of the point z, readily implies that

where the superscript X stands for
$\mathrm {h,t,o}$
or
$\mathrm {z}$
, thus proving the part of the statement concerning the number of approximately equidistributed horseshoes, invariant tori isotopic to
${\mathcal T}$
, periodic orbits isotopic to
$\gamma $
or zeros. In fact, concerning invariant tori, we observe that obviously
$N^{\mathrm {t}}_w(r;[{\mathcal T}])=\infty $
if
$N^{\mathrm {t}}_w(r;[{\mathcal T}],{\mathcal {J}},V_0)\geqslant 1$
. Since the previous estimate ensures that
$N^{\mathrm {t}}_w(r;[{\mathcal T}],{\mathcal {J}},V_0)>m_1$
with probability
$1$
as
$L\to \infty $
, we infer that the probability of having an infinite number of (Diophantine) invariant tori isotopic to
${\mathcal T}$
also tends to 1 as
$L\to \infty $
through the admissible integers. However, this does not provide any information about the expected volume of the invariant tori.
The result about the topological entropy follows from the following observation. If we denote by
$\phi ^L_t$
the time-t flow of the Beltrami field
$u^L(z+\cdot )$
, and by
$\phi _t$
the flow of the rescaled field
$u^{L,z}$
, it is evident that

Then, the topological entropy
${h_{\mathrm {top}}}(u^L)$
, which is defined as the entropy of its time-
$1$
flow, satisfies


In the third equality, we have used that the topological entropy does not depend on the space scale (or equivalently, on the metric), and in the fourth equality we have used Abramov’s well-known formula (see, e.g., [Reference Gelfert and Motter19]). Since the rescaled field has a horseshoe in a ball of radius r with probability
$1$
as
$L\to \infty $
, and a horseshoe has positive topological entropy, say larger than some constant
${\nu ^{\mathrm {h}}}_*$
(see Proposition 5.1), equation (7.6) implies that the topological entropy of
$u^L$
is at least
${\nu ^{\mathrm {h}}}_* L^{1/2}$
.
Finally, we prove the statement about the expected values. As above, we use the functional
$\Phi _r(w)$
to denote the number of different objects (horseshoes, solid tori or periodic orbits). The case of zeros will be considered later. Note that, since
$\Phi _r$
is lower semicontinuous, and
$\mu ^{L,z}$
converges weakly to
$\mu _u$
as
$L\to \infty $
by Lemma 7.2, it is standard that [Reference Billingsley7, Exercise 2.6]

where we have picked some fixed, large enough r. Here, we have used the asymptotics in
${\mathbb {R}}^3$
, given by Theorem 6.2, to infer that the last expectation is positive if r is large. Notice that the constant
$\eta $
depends on
$[\gamma ],[{\mathcal T}],{\mathcal {I}}$
or
${\mathcal {J}}$
depending on the functional that we are considering, but we shall not write this dependence explicitly. Furthermore, as the distribution of the measure
$\mu ^{L,z}_R$
is in fact independent of z by Proposition 7.1, this ensures that there is some
$L_0$
independent of z such that

for all admissible
$L>L_0$
and all
$z\in {\mathbb {T}}^3$
.
Now, given any admissible
$L>L_0$
, it is standard that we can cover the torus
${\mathbb {T}}^3$
by balls
$\{ B_{r_L}(z^a): 1\leqslant a\leqslant A_L\}$
of radius
$r_L:=2r/L^{1/2}$
centered at
$z^a\in {\mathbb {T}}^3$
such that the smaller balls
$B_{r_L/2}(z^a)$
are pairwise disjoint. This implies that
$A_L\geqslant c L^{\frac 32}$
for some dimensional constant c. The expected value of, say, the number of horseshoes of
$u^L$
in
${\mathbb {T}}^3$
can then be controlled as follows, for any admissible
$L>L_0$
:

for some positive constant
$\nu _*$
independent of L. An analogous estimate holds for the expected value
${\mathbb {E}}^L N^{\mathrm o}([\gamma ])$
.
To estimate the volume of ergodic invariant tori isotopic to
${\mathcal T}$
, we can proceed as follows. For any admissible
$L>L_0$
, we have:

for some positive constant
$\nu ^{\mathrm {t}}_*([{\mathcal T}])$
independent of L. Here, we have used that the balls
$B_{r_L/2} (z^a)$
are pairwise disjoint and the sum of their volumes is, by construction, larger than
$|{\mathbb {T}}^3|/8$
.
Lastly, in the following lemma we consider the case of zeros:
Lemma 7.3.
$\displaystyle {\mathbb {E}}^L(L^{-\frac 32}{N^{\mathrm {z}}_{u^L}})\to (2\pi )^3{\nu ^{\mathrm {z}}}$
as
$L\to \infty $
through admissible values.
Proof. Let us use the notation

for the open cube of side
$2\pi R$
in
${\mathbb {R}}^3$
and call
$N_{u^L}^{\mathrm {z},*}$
the number of zeros of
$u^L$
(or rather of its periodic lift to
${\mathbb {R}}^3$
) that are contained in
$Q_1$
. By Bulinskaya’s lemma [Reference Azais and Wschebor4, Proposition 6.11], with probability 1 the zero set of
$u^L$
is nondegenerate (and hence a finite set of points) and the lift of
$u^L$
does not have any zeros on the boundary
${\partial } Q_1$
. Therefore, for any positive integer R,

almost surely. In particular, both quantities have the same expectation.
Let us now take some small positive real r and denote by
${N^{\mathrm {z}}_{u^L}}(y,r)$
the number of zeros of
$u^L$
(or rather of its lift to
${\mathbb {R}}^3$
) that are contained in the ball
$B_r(y)$
. The argument we used to prove the estimate for
${\mathcal {N}}(R;{\mathcal {X}})$
in Lemma 6.1 (starting now from the number of zeros in
$Q_1$
instead of in
$B_R$
) shows that

Note now that

The expected value of this quantity is

To pass to the second line, we have used that the expected value inside the integral is independent of the point z by Proposition 7.1; in particular, this value is independent of the point z one considers.
We can now argue just as in the case of
${\mathbb {R}}^3$
, discussed in detail in Subsection 6.3, so we will just sketch the arguments and refer to that subsection for the notation. The Kac–Rice formula ensures

and this conditional expectation can be transformed into an unconditional one just as in the proof of Lemma 6.5:

The fact that the covariance matrix of
$u^{L,z}$
converges to that of u as
$L\to \infty $
by Proposition 7.1 implies that

Hence, writing the aforementioned sandwich estimate as

and letting
$L\to \infty $
and then
$r\to 0$
, we infer that

The lemma follows.
Theorem 1.6 is then proven.
Appendix A. Fourier-theoretic characterization of Beltrami fields
For the benefit of the reader, in this appendix we describe what polynomially bounded Beltrami fields look like in Fourier space. As Beltrami fields are a particular class of vector-valued monochromatic waves, it is convenient to start the discussion by considering polynomially bounded solutions to the Helmholtz equation

As before, we consider the case of monochromatic waves on
${\mathbb {R}}^3$
, but the analysis applies essentially verbatim to any other dimension. The Fourier transform of this equation shows that

so the support of
${{\widehat {F}}}$
must be contained in the unit sphere,
${\mathbb {S}}$
. In spherical coordinates
$\rho :=|\xi |\in {\mathbb {R}}^+$
and
$\omega :=\xi /|\xi |\in {\mathbb {S}}$
, it is standard that this is equivalent to saying that
${{\widehat {F}}}$
is a finite sum of the form

Here,
$\delta ^{(n)}$
is the
$n^{\mathrm {th}}$
derivative of the Dirac measure and
$F_n$
is a distribution on the sphere, so
$F_n\in H^{s_n}({\mathbb {S}})$
for some
$s_n\in {\mathbb {R}}$
(because any compactly supported distribution is in a Sobolev space, possibly of negative order). Note that F is real-valued if and only if the functions
$F_n$
are Hermitian. Of course, there are also monochromatic waves that are not polynomially bounded, such as
$F:= e^{x_1}\cos (\sqrt 2 \, x_2)$
.
A classical result due to Herglotz [Reference Hörmander26, Theorem 7.1.28] ensures that if F is a monochromatic wave with the sharp fall-off at infinity, that is, such that

then there is a Hermitian vector-valued function
$f\in L^2({\mathbb {S}})$
such that
${{\widehat {F}}} = f\, \delta (\rho -1)$
. Furthermore, the value of the above limit is in the interval
$[C_1\|F\|^2_{L^2({\mathbb {S}})},C_2\|F\|^2_{L^2({\mathbb {S}})}]$
for some constants
$C_1,C_2$
. This bound means that, on an average sense,
$|F(x)|$
decays as
$C/|x|$
. The prime example of this behavior is given by
$f=1$
, which corresponds to
$F(x)=c |x|^{-1/2} J_{1/2}(|x|)$
.
The expression (1.3) corresponds to the case
$N=0$
above, since the function
$F_0$
with
${{\widehat {F}}}_0=f(\omega )\, \delta (\rho -1)$
is precisely

Also, if
$f\in H^{-k}({\mathbb {S}})$
with
$k\geqslant 0$
but not necessarily in
$L^2({\mathbb {S}})$
, the function
$F_0$
is bounded as [Reference Enciso, Peralta-Salas and Romaniega15, Appendix A]

Hence, in this case,
$F_0$
is bounded, on an average sense, by
$C|x|^{k-1}$
. Therefore, if
$f\in H^{-1}({\mathbb {S}})$
,
$F_0$
is uniformly bounded in average sense.
If f is a Gaussian random field, as considered in the Nazarov–Sodin theory (see equation (1.3a)), we showed in Proposition 3.2 that f is almost surely in
$H^{-1-\delta }({\mathbb {S}})$
for all
$\delta>0$
and not in
$L^2({\mathbb {S}})$
. This behavior morally corresponds to functions that are bounded on a average sense but do not decay at infinity, as illustrated by the function
$F_0:=\cos x_1$
generated by
$f:= \frac 12[\delta _{\xi _+}(\xi )+ \delta _{\xi _-}(\xi )]$
. This is the kind of behavior one needs to describe the expected local behavior of a high-energy eigenfunction on a compact manifold as one zooms in at a given point.
The monochromatic wave defined as
${{\widehat {F}}}_n:= f(\omega )\,\delta ^{(n)}(\rho -1)$
reads, in physical space, as

Note that the
$n^{\mathrm {th}}$
derivative term involves an
$n^{\mathrm {th}}$
power of x. Therefore, using the bound (A.1), one easily finds that
$F_n$
is bounded on average as
$C|x|^{n+k-1}$
if
$f\in H^{-k}({\mathbb {S}})$
; explicit examples with this growth can be easily constructed by taking f to be either a constant for
$k=0$
or the
$(k-1)^{\mathrm {th}}$
derivative of the Dirac measure for
$k\geqslant 1$
. Consequently, picking f as in equation (1.3a), the bound (A.1) morally leads to thinking of
$F_n$
as a function that grows as
$|x|^n$
at infinity, which cannot be the localized behavior of an eigenfunction. This is the rationale for defining a random monochromatic wave as in equations (1.3a) and (1.3b). In this direction, let us recall that the relation between random monochromatic waves and zoomed-in high-energy eigenfunctions on various compact manifolds is an influential long-standing conjecture of Berry [Reference Berry6]. A precise form of this relation has been recently established in the case of the round sphere and of the flat torus [Reference Nazarov and Sodin29, Reference Nazarov and Sodin30, Reference Rozenshein31], which heuristically shows that equations (1.3a) and (1.3b) is indeed the proper definition of random monochromatic waves for this purpose.
The reasoning leading to the definition of a random Beltrami field as equaiton (1.3) is completely analogous and the fact that one can relate Gaussian random Beltrami fields on
${\mathbb {R}}^3$
to high-frequency Beltrami fields on the torus just as in the case of the Nazarov–Sodin theory heuristically ensures that this is indeed the appropriate definition. For completeness, let us record that, just as in the case of monochromatic random waves, the Fourier transform of a polynomially bounded Beltrami field u is a finite sum of the form

where now
$f_n$
is a Hermitian
${\mathbb {C}}^3$
-valued distribution on
${\mathbb {S}}$
. For u to be a Beltrami field, there is an additional constraint on
$f_n$
coming from the fact that not every distribution supported on
${\mathbb {S}}$
satisfies the equation
$i\xi \times {\widehat {u}}(\xi )= {\widehat {u}}(\xi )$
. A straightforward computation shows that this constraint amounts to imposing that

on
${\mathbb {S}}$
for all
$0\leqslant j\leqslant N$
. Here,
${\alpha }_{k,l}:= \prod _{m=0}^{k-1} (l-m)$
with the convention that
${\alpha }_{0,l}:=1$
. To see this, it suffices to note that the action of
${\widehat {u}}$
and
$i\xi \times {\widehat {u}}$
on a vector field
$w\in C^{\infty }_c({\mathbb {R}}^3,{\mathbb {R}}^3)$
is

expand the
$n^{\mathrm {th}}$
derivative using the binomial formula and note that
${\alpha }_{k,l}$
is the
$k^{\mathrm {th}}$
derivative of
$\rho ^l$
at
$\rho =1$
.
Acknowledgements
The authors are deeply indebted to Alejandro Luque for the numerical computation of the Melnikov constants in Section 5.
Funding statement
A.E. is supported by the ERC Consolidator Grant 862342. The authors are also supported by the grant MTM PID2019-106715GB-C21 (D.P.-S. and A.R.) from Agencia Estatal de Investigación (AEI). This work is supported in part by the ICMAT–Severo Ochoa grant CEX2019-000904-S.
Competing interests
The authors have no competing interest to declare.
Data availability statement
Not applicable.
Ethical standards
The research meets all ethical guidelines, including adherence to the legal requirements of the study country.
Author contributions
A.E., D.P.-S. and A.R. designed the study, wrote the first draft and approved the final version of the manuscript.